18F-Radiolabeled Translocator Protein (TSPO) PET Tracers: Recent Development of TSPO Radioligands and Their Application to PET Study
Abstract
1. Introduction
2. TSPO as an Indicator for Neuroinflammation
3. Development of 18F-Radiolabeled TSPO Ligands

| Chemical Class | TSPO Ligand | Binding Affinity/Lipophilicity | Stage of Research (Preclinical/Clinical) | Comments | Ref. |
|---|---|---|---|---|---|
| Phenoxyarylacetamides | [18F]FEPPA | Ki = 0.07 nM Log P = 2.99 | LPS mouse PD patients AD patients Psychosis patients | High binding affinity Suitable lipophilicity for brain penetration Effective in clinical application | [41,42,43,44,45] |
| [18F]Fluoromethyl-PBR28 | Ki = 1.85 nM Log D = 2.85 | LPS mouse (EAM) rats Ischemic stroke rat | Suitable lipophilicity Effective in clinical application Lack of clinical studies | [46,47] | |
| [18F]FEMPA | - | Atherosclerotic plaques in mice AD patients Friedreich ataxia patients | Rapid blood clearance and uptake High binding sensitivity to the human gene polymorphism rs6971 Effective in clinical application | [48,49,50] | |
| [18F]FEDAA1106 | Ki = 0.078 nM Log D = 3.81 | Rats MS patients AD patients | High binding affinity High lipophilicity Ineffective in clinical application | [51,52,53,54,55] | |
| [18F]DAA1106 | Ki = 0.043 nM Log P = 3.65 | Ischemic rats | High lipophilicity Lack of clinical studies | [56,57,58] | |
| [18F]PBR06 | Ki = 0.997 nM Log D = 4.05 | Stroke mouse HD mice MCAO mice AD mice Monkey MS patients | High lipophilicity Effective in preclinical and clinical studies | [59,60,61,62,63,64,65] | |
| Pyrazolopyrimidines | [18F]DPA-714 | Ki = 7.0 nM Log D = 2.44 | Mice, Monkey, Human PACNS patients AD patients Stroke patients MS patients PD patients ALS patients | Suitable lipophilicity Rapid penetration and good retention in the brain Effective in monitoring and diagnosis for many neurological diseases | [66,67,68,69,70,71,72,73,74,75,76,77] |
| [18F]VUIIS-1008 | Ki = 0.27 nM Log D = 2.5 | C6 Glioma-bearing rats | Suitable binding affinity and lipophilicity Effective in preclinical studies Lack of clinical studies | [78,79] | |
| [18F]DPA-C5yne | Ki = 0.35 nM Log P = 2.39 | Rat | Suitable binding affinity and lipophilicity Effective in preclinical studies Lack of clinical studies | [80,81] | |
| [18F]F-DPA | Ki = 1.7 nM Log D = 2.34 | Sprague Dawley Rat Neuropathic pain-induced rats Cerebral ischemia mice AD mice | Suitable lipophilicity Effective in preclinical studies Lack of clinical studies | [82,83,84,85,86] | |
| Imidazopyridine acetamides | [18F]PBR102 | Ki = 5.8 ± 0.4 Log P = 2.7 ± 0.1 | Rat Excitotoxin neuroinflammation mice Non-human primates Human | Suitable lipophilicity Effective in preclinical studies Good preclinical effect for many species | [87,88,89] |
| [18F]PBR111 | Ki= 3.2 ± 0.4 nM Log P = 3.2 ± 0.1 | Rat, Ops rat Non-human primates Human Schizophrenia patients Psychosis patients MS patients | Suitable lipophilicity Effective in preclinical studies Good preclinical effect for many species Effective in clinical application | [87,88,89,90,91,92] | |
| [18F]PBR316 | Ki = 6.0 ± 1.4 nM Log P = 2.16 ± 0.07 | Rats | Lack of preclinical and clinical studies | [93] | |
| [18F]CB251 | Ki = 0.27 ± 0.09 nM Log D = 3.00 ± 0.03 | Neuroinflammation rats Human glioblastoma | High binding affinity | [94,95,96] | |
| [18F]BS224 | Ki = 0.51 ± 0.03 nM Log D = 2.78 ± 0.04 | LPS rats Ischemic stroke rats | Suitable binding affinity and lipophilicity Effective in preclinical studies Lack of clinical studies | [97] | |
| Oxopurine | [18F]FEDAC | Ki = 1.3 nM Log D = 3.2 | Collagen arthritis mice Neuroinflammatory rat Monkey Atherosclerosis rabbit Human liver cell Acute myocardial infarction patients | Effective in preclinical studies with many species Lack of clinical studies | [98,99,100,101] |
| Acetamidobenzoxazolone | [18F]FEBMP | Ki = 6.6 ± 0.7 nM Log D = 3.4 | Ischemic rats MCAO rats AD mice | Effective in preclinical studies Lack of clinical studies | [102,103,104,105] |
| [18F]FPBMP | Ki = 16.7 ± 2.5 nM Log D = 3.5 | Ischemic rats | Lack of preclinical and clinical studies | [102,103,104,105] | |
| Pyridazinoindoles | [18F]SSR180575 | Ki = 1.19 ± 0.05 nM | Rat | Lack of preclinical and clinical studies | [106,107] |
| Tricyclic indoles | [18F]GE180 | Ki = 2.4 nM Log D = 2.95 | LPS-injected mouse MCAO rats AD mice Pigs Human High-grade glioma patient | Effective in preclinical studies with many species Poor brain penetration in clinical study Clinically effective for some given diseases | [108,109,110,111,112,113,114] |
| [18F]GE387 | Ki = 47.3 ± 7.0 nM | LPS rats Monkeys Humans | Low binding affinity Low binding sensitivity to the human gene polymorphism rs6971 | [115,116] | |
| Quinoline carboxamide | [18F]AB5186 | Ki = 2.8 ± 0.8 nM | Rats Glioma mice Baboon | Effective in preclinical studies Lack of clinical studies | [117,118,119,120] |
| Isoquinoline carboxamide | (R)- [18F] NEBIQUINIDE | Ki = 5.3 ± 0.6 nM Log P = 2.35 ± 0.14 | Rats | Low binding sensitivity to the human gene polymorphism rs6971 Lack of preclinical and clinical studies | [121] |
| Quinazoline carboxamide | [18F]ER176 | Ki = 3,10 ± 0,30 nM Log D = 3.55 ± 0.02 | Rats | High lipophilicity Lack of preclinical and clinical studies | [122,123] |
3.1. Phenoxyarylacetamides
3.1.1. [18F]FEPPA
3.1.2. [18F]Fluoromethyl-PBR28
3.1.3. [18F]FEMPA
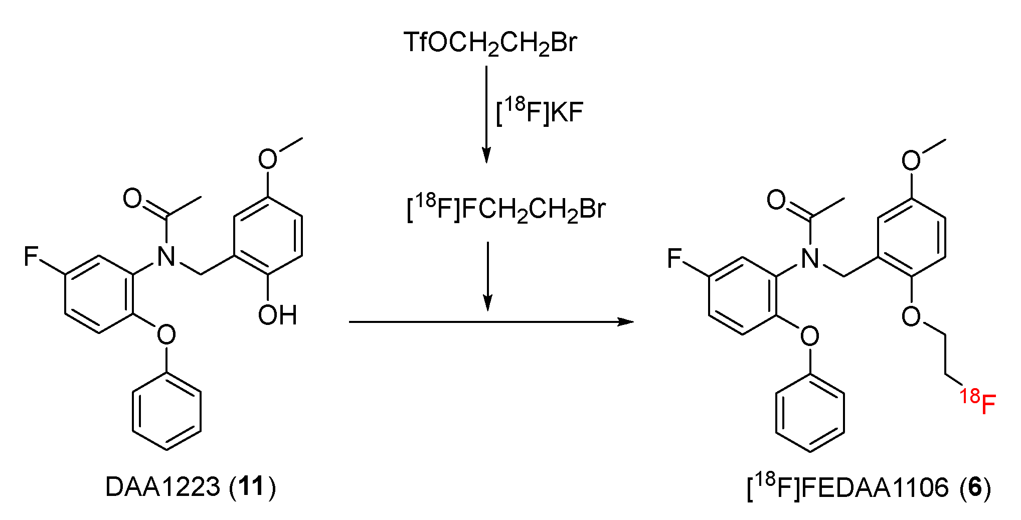
3.1.4. [18F]FEDAA1106
3.1.5. [18F]DAA1106
3.1.6. [18F]PBR06
3.2. Pyrazolopyrimidines
3.2.1. [18F]DPA-714
3.2.2. [18F]VUIIS-1008
3.2.3. [18F]DPA-C5yne
3.2.4. [18F]F-DPA
3.3. Imidazopyridine Acetamides
3.3.1. PBR102 and PBR111
3.3.2. PBR316
3.3.3. [18F]CB251
3.3.4. [18F]BS224
3.4. Oxopurine
3.5. Acetamidobenzoxazolone
[18F]FEBMP and [18F]FPBMP
3.6. Pyridazinoindoles
[18F]SSR180575
3.7. Tricyclic Indoles
3.7.1. [18F]GE180
3.7.2. [18F]GE387
3.8. Quinoline/Isoquinoline/Quinazoline Carboxamides
3.8.1. Quinoline Carboxamide
3.8.2. Isoquinoline Carboxamide
3.8.3. Quinazoline Carboxamide
4. Conclusions
Author Contributions
Funding
Institutional Review Board Statement
Informed Consent Statement
Data Availability Statement
Conflicts of Interest
References
- Nikolaus, P.; Bettina, W.; Nils, W. Mitochondrial proteins: From biogenesis to functional networks. Nat. Rev. Mol. Cell Biol. 2019, 20, 267–284. [Google Scholar]
- Braestrup, C.; Albrechtsen, R.; Squires, R.F. High densities of benzodiazepine receptors in human cortical areas. Nature 1977, 269, 702–704. [Google Scholar] [CrossRef] [PubMed]
- Papadopoulos, V.; Baraldi, M.; Guilarte, T.R.; Knudsen, T.B.; Lacapère, J.J.; Lindemann, P.; Norenberg, M.D.; Nutt, D.; Weizman, A.; Zhang, M.R.; et al. Translocator protein (18kDa): New nomenclature for the peripheral-type benzodiazepine receptor based on its structure and molecular function. Trends Pharmacol. Sci. 2006, 27, 402–409. [Google Scholar] [CrossRef] [PubMed]
- Jaremko, L.; Jaremko, M.; Giller, K.; Becker, S.; Zweckstetter, M. Structure of the mitochondrial translocator protein in complex with a diagnostic ligand. Science 2014, 343, 1363–1366. [Google Scholar] [CrossRef] [PubMed]
- Graham, A. Mitochondrial regulation of macrophage cholesterol homeostasis. Free Radic. Biol. Med. 2015, 89, 982–992. [Google Scholar] [CrossRef]
- Betlazar, C.; Ryan, J.M.; Richard, B.; Liu, G.J. The translocator protein (TSPO) in mitochondrial bioenergetics and immune processes. Cells 2020, 9, 512. [Google Scholar] [CrossRef]
- Repalli, J. Translocator protein (TSPO) role in aging and Alzheimer’s disease. Curr. Aging Sci. 2014, 7, 168–175. [Google Scholar] [CrossRef]
- Amani, B.; Vassilios, P. Regulation of translocator protein 18 kDa (TSPO) expression in health and disease states. Mol. Cell. Endocrinol. 2010, 327, 1–12. [Google Scholar]
- Tong, J.; Williams, B.; Rusjan, P.M.; Mizrahi, R.; Lacapère, J.J.; McCluskey, T.; Furukawa, Y.; Guttman, M.; Ang, L.C.; Boileau, I.; et al. Concentration, distribution, and influence of aging on the 18 kDa translocator protein in human brain: Implications for brain imaging studies. J. Cereb. Blood Flow Metab. 2020, 40, 1061–1076. [Google Scholar] [CrossRef]
- Lee, Y.; Park, Y.; Nam, H.; Lee, J.W.; Yu, S.W. Translocator protein (TSPO): The new story of the old protein in neuroinflammation. BMB Rep. 2020, 53, 20. [Google Scholar] [CrossRef]
- Selvaraj, V.; Stocco, D.M. The changing landscape in translocator protein (TSPO) function. Trends Endocrinol. Metab. 2015, 26, 341–348. [Google Scholar] [CrossRef]
- Chen, M.K.; Guilarte, T.R. Translocator protein 18 kDa (TSPO): Molecular sensor of brain injury and repair. Pharmacol Ther. 2008, 118, 1–17. [Google Scholar] [CrossRef]
- Guilarte, T.R. TSPO in diverse CNS pathologies and psychiatric disease: A critical review and a way forward. Pharmacol. Ther. 2019, 194, 44–58. [Google Scholar] [CrossRef]
- Mattner, F.; Staykova, M.; Berghofer, P.; Wong, H.J.; Fordham, S.; Callaghan, P.; Jackson, T.; Pham, T.; Gregoire, M.C.; Zahra, D.; et al. Central nervous system expression and PET imaging of the translocator protein in relapsing–remitting experimental autoimmune encephalomyelitis. J. Nucl. Med. 2013, 54, 291–298. [Google Scholar] [CrossRef]
- Ching, A.S.C.; Bertrand, K.; Annelaure, D.; Dirk, R.; Bertrand, T.; Frédéric, D. Current paradigm of the 18-kDa translocator protein (TSPO) as a molecular target for PET imaging in neuroinflammation and neurodegenerative diseases. Insights Imaging 2012, 3, 111–119. [Google Scholar] [CrossRef]
- Mukherjee, S.; Das, S.K. Translocator protein (TSPO) in breast cancer. Curr. Mol. Med. 2012, 12, 443–457. [Google Scholar]
- Weber, W.A. Positron emission tomography as an imaging biomarker. J. Clin. Oncol. 2006, 24, 3282–3292. [Google Scholar] [CrossRef]
- Guan, B.; Zhou, N.; Wu, C.Y.; Li, S.; Chen, Y.A.; Debnath, S.; Hofstad, M.; Ma, S.; Raj, G.V.; He, D.; et al. Validation of SV2A-targeted PET imaging for noninvasive assessment of neuroendocrine differentiation in prostate cancer. Int. J. Mol. Sci. 2021, 22, 13085. [Google Scholar] [CrossRef]
- Vaquero, J.J.; Kinahan, P. Positron emission tomography: Current challenges and opportunities for technological advances in clinical and preclinical imaging systems. Annu. Rev. Biomed. Eng. 2015, 17, 385–414. [Google Scholar] [CrossRef]
- Debnath, S.; Hao, G.; Guan, B.; Thapa, P.; Hao, J.; Hammers, H.; Sun, X. Theranostic small-molecule prodrug conjugates for targeted delivery and controlled release of toll-like receptor 7 agonists. Int. J. Mol. Sci. 2022, 23, 7160. [Google Scholar] [CrossRef]
- Phelps, M.E. Positron emission tomography provides molecular imaging of biological processes. Proc. Natl. Acad. Sci. USA 2000, 97, 9226–9233. [Google Scholar] [CrossRef] [PubMed]
- Pretze, M.; Große-Gehling, P.; Mamat, C. Cross-coupling reactions as valuable tool for the preparation of PET radiotracers. Molecules 2011, 16, 1129–1165. [Google Scholar] [CrossRef] [PubMed]
- Jacobson, O.; Kiesewetter, D.O.; Chen, X. Fluorine-18 radiochemistry, labeling strategies and synthetic routes. Bioconjug. Chem. 2015, 26, 1–8. [Google Scholar] [CrossRef] [PubMed]
- Li, M.; Zelchan, R.; Orlova, A. The Performance of FDA-Approved PET Imaging Agents in the Detection of Prostate Cancer. Biomedicines 2022, 10, 2533. [Google Scholar] [CrossRef]
- Donnelly, D.J. Small molecule PET tracers in drug discovery. Semin. Nucl. Med. 2017, 47, 454–460. [Google Scholar] [CrossRef]
- Ozenil, M.; Aronow, J.; Millard, M.; Langer, T.; Wadsak, W.; Hacker, M.; Pichler, V. Update on PET tracer development for muscarinic acetylcholine receptors. Pharmaceuticals 2021, 14, 530. [Google Scholar] [CrossRef]
- Debnath, S.; Stevens, C.; Brandenburg, O.; Sovich, J.; Gonzalez, P.; Qin, Q.; Haldeman, S.; Tcheuyap, V.T.; Christie, A.; Thapa, P.; et al. Development of a novel HIF2a PET tracer: From proof of concept to a clinical trial. Cancer Res. 2022, 82, 2478. [Google Scholar] [CrossRef]
- Debnath, S.; Zhou, N.; McLaughlin, M.; Rice, S.; Pillai, A.K.; Hao, G.; Sun, X. PSMA-Targeting imaging and theranostic agents-current status and future perspective. Int. J. Mol. Sci. 2022, 23, 1158. [Google Scholar] [CrossRef]
- Gendelman, H.E. Neural immunity: Friend or foe? J. Neurovirol. 2002, 8, 474–479. [Google Scholar] [CrossRef]
- Niranjan, R. Recent advances in the mechanisms of neuroinflammation and their roles in neurodegeneration. Neurochem. Int. 2018, 120, 13–20. [Google Scholar] [CrossRef]
- Lawson, L.J.; Perry, V.H.; Gordon, S. Turnover of resident microglia in the normal adult mouse brain. Neuroscience 1991, 48, 405–415. [Google Scholar] [CrossRef]
- Ronald, L.; Niklas, M.; Michael, S.; Kristin, A.; Kaj, B.; Bob, O.; Henrik, Z. Biomarkers for microglial activation in Alzheimer’s disease. J. Alzheimer’s Dis. 2011, 2011, 939426. [Google Scholar]
- Kuhlmann, A.C.; Tomás, R.G. Cellular and subcellular localization of peripheral benzodiazepine receptors after trimethyltin neurotoxicity. J. Neurochem. 2000, 74, 1694–1704. [Google Scholar] [CrossRef]
- Yao, R.; Ruiyuan, P.; Chao, S.; Xiaoheng, L.; Jinbo, C.; Jiangping, X.; Yunfeng, L. Translocator protein 18 kDa (TSPO) deficiency inhibits microglial activation and impairs mitochondrial function. Front. Pharmacol. 2020, 11, 986. [Google Scholar] [CrossRef]
- Nutma, E.; Gebro, E.; Marzin, M.C.; van der Valk, P.; Matthews, P.M.; Owen, D.R.; Amor, S. Activated microglia do not increase 18 kDa translocator protein (TSPO) expression in the multiple sclerosis brain. Glia 2021, 69, 2447–2458. [Google Scholar] [CrossRef]
- Camsonne, R.; Crouzel, C.; Comar, D.; Maziere, M.; Prenant, C.; Sastre, J.; Moulin, M.A.; Syrota, A. Synthesis of N-(11C) methyl, N-(methyl-1 propyl),(chloro-2 phenyl)-1 isoquinoleine carboxamide-3 (PK 11195): A new ligand for peripheral benzodiazepine receptors. J. Label. Compd. Radiopharm. 1984, 21, 985–991. [Google Scholar] [CrossRef]
- Annachiara, C.; Alexander, G.; Richard, B.B. In vivo imaging of neuroinflammation. Eur. Neuropsychopharmacol. 2002, 12, 581–586. [Google Scholar]
- Wang, J.K.; Taniguchi, T.; Spector, S. Properties of [3H]diazepam binding sites on rat blood platelets. Life Sci. 1980, 27, 1881–1888. [Google Scholar] [CrossRef]
- Farges, R.; Joseph Liauzun, E.; Shire, D.; Caput, D.; Le Fur, G.; Ferrara, P. Site-directed mutagenesis of the peripheral benzodiazepine receptor: Identification of amino acids implicated in the binding site of Ro5-4864. Mol. Pharmacol. 1994, 46, 1160–1167. [Google Scholar]
- Alam, M.; Jihye, L.; Lee, S.J. Recent progress in the development of TSPO PET ligands for neuroinflammation imaging in neurological diseases. Eur. J. Nucl. Med. Mol. Imaging 2017, 51, 283–296. [Google Scholar] [CrossRef]
- Wilson, A.A.; Armando, G.; Jun, P.; Patrick, M.C.; Karin, A.S.; Sylvain, H.; Neil, V. Radiosynthesis and initial evaluation of [18F]-FEPPA for PET imaging of peripheral benzodiazepine receptors. Nucl. Med. Biol. 2008, 35, 305–314. [Google Scholar] [CrossRef] [PubMed]
- Vignal, N.; Salvatore, C.; Nathalie, R.P.; Carine, S.; Fortune, H.; Thibaut, G.; Xavier, D.; Laure, S.M.; Benoit, H. [18F]FEPPA a TSPO radioligand: Optimized radiosynthesis and evaluation as a PET radiotracer for brain inflammation in a peripheral LPS-injected mouse model. Molecules 2018, 23, 1375. [Google Scholar] [CrossRef] [PubMed]
- Suridjan, I.; Pollock, B.G.; Verhoeff, N.P.L.G.; Voineskos, A.N.; Chow, T.; Rusjan, P.M.; Lobaugh, N.J.; Houle, S.; Mulsant, B.H.; Mizrahi, R. In-vivo imaging of grey and white matter neuroinflammation in Alzheimer’s disease: A positron emission tomography study with a novel radioligand, [18F]-FEPPA. Mol. Psychiatry 2015, 20, 1579–1587. [Google Scholar] [CrossRef] [PubMed]
- Ghadery, C.; Yuko, K.; Sarah, C.; Madeleine, H.; Pablo, R.; Jinhee, K.; Sylvain, H.; Antonio, P.S. Microglial activation in Parkinson’s disease using [18F]-FEPPA. J. Neuroinflammation 2017, 14, 8. [Google Scholar] [CrossRef] [PubMed]
- Hafizi, S.; Tseng, H.H.; Rao, N.; Selvanathan, T.; Kenk, M.; Bazinet, R.P.; Suridjan, I.; Wilson, A.A.; Meyer, J.H.; Remington, G.; et al. Imaging microglial activation in untreated first-episode psychosis: A PET study with [18F] FEPPA. Am. J. Psychiatry 2017, 174, 118–124. [Google Scholar] [CrossRef]
- Varrone, A.; Oikonen, V.; Forsberg, A.; Joutsa, J.; Takano, A.; Solin, O.; Haaparanta-Solin, M.; Nag, S.; Nakao, R.; Al-Tawil, N.; et al. Positron emission tomography imaging of the 18-kDa translocator protein (TSPO) with [18F] FEMPA in Alzheimer’s disease patients and control subjects. Eur. J. Nucl. Med. Mol. Imaging 2015, 42, 438–446. [Google Scholar] [CrossRef]
- Hellberg, S.; Silvola, J.M.; Kiugel, M.; Liljenbäck, H.; Savisto, N.; Li, X.G.; Thiele, A.; Lehmann, L.; Heinrich, T.; Vollmer, S.; et al. 18-kDa translocator protein ligand 18F-FEMPA: Biodistribution and uptake into atherosclerotic plaques in mice. J. Nucl. Cardiol. 2017, 24, 862–871. [Google Scholar] [CrossRef]
- Khan, W.; Corben, L.A.; Bilal, H.; Vivash, L.; Delatycki, M.B.; Egan, G.F.; Harding, I.H. Neuroinflammation in the Cerebellum and Brainstem in Friedreich Ataxia: An [18F]-FEMPA PET Study. Mov. Disord. 2022, 37, 218–224. [Google Scholar] [CrossRef]
- Chaki, S.; Funakoshi, T.; Yoshikawa, R.; Okuyama, S.; Okubo, T.; Nakazato, A.; Nagamine, M.; Tomisawa, K. Binding characteristics of [3H] DAA1106, a novel and selective ligand for peripheral benzodiazepine receptors. Eur. J. Pharmacol. 1999, 371, 197–204. [Google Scholar] [CrossRef]
- Zhang, M.R.; Kida, T.; Noguchi, J.; Furutsuka, K.; Maeda, J.; Suhara, T.; Suzuki, K. [11C] DAA1106: Radiosynthesis and in vivo binding to peripheral benzodiazepine receptors in mouse brain. Nucl. Med. Biol. 2003, 30, 513–519. [Google Scholar] [CrossRef]
- Zhang, M.R.; Maeda, J.; Furutsuka, K.; Yoshida, Y.; Ogawa, M.; Suhara, T.; Suzuki, K. [18F] FMDAA1106 and [18F] FEDAA1106: Two positron-emitter labeled ligands for peripheral benzodiazepine receptor (PBR). Bioorg. Med. Chem. Lett. 2003, 13, 201–204. [Google Scholar] [CrossRef]
- Zhang, M.R.; Maeda, J.; Ogawa, M.; Noguchi, J.; Ito, T.; Yoshida, Y.; Okauchi, T.; Obayashi, S.; Suhara, T.; Suzuki, K. Development of a new radioligand, N-(5-fluoro-2-phenoxyphenyl)-N-(2-[18F] fluoroethyl-5-methoxybenzyl) acetamide, for PET imaging of peripheral benzodiazepine receptor in primate brain. J. Med. Chem. 2004, 47, 2228–2235. [Google Scholar] [CrossRef]
- Juhász, C.; Dwivedi, S.; Kamson, D.O.; Michelhaugh, S.K.; Mittal, S. Comparison of amino acid positron emission tomographic radiotracers for molecular imaging of primary and metastatic brain tumors. Mol. Imaging 2014, 13, 7290-2014. [Google Scholar] [CrossRef]
- Takano, A.; Piehl, F.; Hillert, J.; Varrone, A.; Nag, S.; Gulyás, B.; Stenkrona, P.; Villemagne, V.L.; Rowe, C.C.; Macdonell, R.; et al. In vivo TSPO imaging in patients with multiple sclerosis: A brain PET study with [18F] FEDAA1106. EJNMMI Res. 2013, 3, 30. [Google Scholar] [CrossRef]
- Varrone, A.; Mattsson, P.; Forsberg, A.; Takano, A.; Nag, S.; Gulyás, B.; Borg, J.; Boellaard, R.; Al-Tawil, N.; Eriksdotter, M.; et al. In vivo imaging of the 18-kDa translocator protein (TSPO) with [18F]FEDAA1106 and PET does not show increased binding in Alzheimer’s disease patients. Eur. J. Nucl. Med. Mol. Imaging 2013, 40, 921–931. [Google Scholar] [CrossRef]
- Zhang, M.R.; Kumata, K.; Suzuki, K. A practical route for synthesizing a PET ligand containing [18F] fluorobenzene using reaction of diphenyliodonium salt with [18F] F−. Tetrahedron Lett. 2007, 48, 8632–8635. [Google Scholar] [CrossRef]
- Zhang, M.R.; Kumata, K.; Maeda, J.; Haradahira, T.; Noguchi, J.; Suhara, T.; Halldin, C.; Suzuki, K. N-(5-Fluoro-2-phenoxyphenyl)-N-(2-[131I] iodo-5-methoxybenzyl) acetamide: A potent iodinated radioligand for the peripheral-type benzodiazepine receptor in brain. J. Med. Chem. 2007, 50, 848–855. [Google Scholar] [CrossRef]
- Kumata, K.; Zhang, Y.; Fujinaga, M.; Ohkubo, T.; Mori, W.; Yamasaki, T.; Hanyu, M.; Xie, L.; Hatori, A.; Zhang, M.R. [18F] DAA1106: Automated radiosynthesis using spirocyclic iodonium ylide and preclinical evaluation for positron emission tomography imaging of translocator protein (18 kDa). Bioorg. Med. Chem. 2018, 26, 4817–4822. [Google Scholar] [CrossRef]
- Lartey, F.M.; Ahn, G.O.; Shen, B.; Cord, K.T.; Smith, T.; Chua, J.Y.; Rosenblum, S.; Liu, H.; James, M.L.; Chernikova, S.; et al. PET imaging of stroke-induced neuroinflammation in mice using [18F]PBR06. Mol. Imaging Biol. 2014, 16, 109–117. [Google Scholar] [CrossRef]
- Simmons, D.A.; James, M.L.; Belichenko, N.P.; Semaan, S.; Condon, C.; Kuan, J.; Shuhendler, A.J.; Miao, Z.; Chin, F.T.; Longo, F.M. TSPO–PET imaging using [18F] PBR06 is a potential translatable biomarker for treatment response in Huntington’s disease: Preclinical evidence with the p75NTR ligand LM11A-31. Hum. Mol. Genet. 2018, 27, 2893–2912. [Google Scholar] [CrossRef]
- James, M.L.; Belichenko, N.P.; Nguyen, T.V.; Andrews, L.E.; Ding, Z.; Liu, H.; Bodapati, D.; Arksey, N.; Shen, B.; Cheng, Z.; et al. PET imaging of translocator protein (18 kDa) in a mouse model of Alzheimer’s disease using N-(2, 5-dimethoxybenzyl)-2-18F-fluoro-N-(2-phenoxyphenyl) acetamide. J. Nucl. Med. 2015, 56, 311–316. [Google Scholar] [CrossRef] [PubMed]
- Lartey, F.M.; Ahn, G.O.; Ali, R.; Rosenblum, S.; Miao, Z.; Arksey, N.; Shen, B.; Colomer, M.V.; Rafat, M.; Liu, H.; et al. The relationship between serial [18F]PBR06 PET imaging of microglial activation and motor function following stroke in mice. Mol. Imaging Biol. 2014, 16, 821–829. [Google Scholar] [CrossRef] [PubMed]
- Singhal, T.; O’Connor, K.; Dubey, S.; Belanger, A.P.; Hurwitz, S.; Chu, R.; Tauhid, S.; Kijewski, M.F.; DiCarli, M.F.; Weiner, H.L.; et al. 18F-PBR06 versus 11C-PBR28 PET for assessing white matter translocator protein binding in multiple sclerosis. Clin. Nucl. Med. 2018, 43, 289–295. [Google Scholar] [CrossRef] [PubMed]
- Singhal, T.; O’Connor, K.; Dubey, S.; Pan, H.; Chu, R.; Hurwitz, S.; Cicero, S.; Tauhid, S.; Silbersweig, D.; Stern, E.; et al. Gray matter microglial activation in relapsing vs progressive MS: A [F-18] PBR06-PET study. Neurol. Neuroimmunol. NeuroInflammation 2019, 6, 5. [Google Scholar] [CrossRef] [PubMed]
- Singhal, T.; Cicero, S.; Pan, H.; Carter, K.; Dubey, S.; Chu, R.; Glanz, B.; Hurwitz, S.; Tauhid, S.; Park, M.A.; et al. Regional microglial activation in the substantia nigra is linked with fatigue in MS. Neurol. Neuroimmunol. NeuroInflammation 2020, 7, 5. [Google Scholar] [CrossRef]
- James, M.L.; Fulton, R.R.; Vercoullie, J.; Henderson, D.J.; Garreau, L.; Chalon, S.; Dolle, F.; Selleri, S.; Guilloteau, D.; Kassiou, M. DPA-714, a new translocator protein–specific ligand: Synthesis, radiofluorination, and pharmacologic characterization. J. Nucl. Med. 2008, 49, 814–822. [Google Scholar] [CrossRef]
- Lavisse, S.; Inoue, K.; Jan, C.; Peyronneau, M.A.; Petit, F.; Goutal, S.; Dauguet, J.; Guillermier, M.; Dollé, F.; Rbah-Vidal, L.; et al. [18F] DPA-714 PET imaging of translocator protein TSPO (18 kDa) in the normal and excitotoxically-lesioned nonhuman primate brain. Eur. J. Nucl. Med. Mol. Imaging 2015, 42, 478–494. [Google Scholar] [CrossRef]
- Ribeiro, M.J.; Vercouillie, J.; Debiais, S.; Cottier, J.P.; Bonnaud, I.; Camus, V.; Banister, S.; Kassiou, M.; Arlicot, N.; Guilloteau, D. Could 18F-DPA-714 PET imaging be interesting to use in the early post-stroke period? EJNMMI Res. 2014, 4, 28. [Google Scholar] [CrossRef]
- Lavisse, S.; García-Lorenzo, D.; Peyronneau, M.A.; Bodini, B.; Thiriez, C.; Kuhnast, B.; Comtat, C.; Remy, P.; Stankoff, B.; Bottlaender, M. Optimized quantification of translocator protein radioligand 18F-DPA-714 uptake in the brain of genotyped healthy volunteers. J. Nucl. Med. 2015, 56, 1048–1054. [Google Scholar] [CrossRef]
- Golla, S.S.; Boellaard, R.; Oikonen, V.; Hoffmann, A.; Van Berckel, B.N.; Windhorst, A.D.; Virta, J.; Haaparanta-Solin, M.; Luoto, P.; Savisto, N.; et al. Quantification of [18F]DPA-714 binding in the human brain: Initial studies in healthy controls and Alzheimer’s disease patients. J. Cereb. Blood Flow Metab. 2015, 35, 766–772. [Google Scholar] [CrossRef]
- Backhaus, P.; Roll, W.; Beuker, C.; Zinnhardt, B.; Seifert, R.; Wenning, C.; Eisenblätter, M.; Thomas, C.; Schmidt-Pogoda, A.; Strunk, D.; et al. Initial experience with [18F]DPA-714 TSPO-PET to image inflammation in primary angiitis of the central nervous system. Eur. J. Nucl. Med. Mol. Imaging 2020, 47, 2131–2141. [Google Scholar] [CrossRef]
- Hagens, M.H.; Golla, S.V.; Wijburg, M.T.; Yaqub, M.; Heijtel, D.; Steenwijk, M.D.; Schober, P.; Brevé, J.J.; Schuit, R.C.; Reekie, T.A.; et al. In vivo assessment of neuroinflammation in progressive multiple sclerosis: A proof of concept study with [18F]DPA714 PET. J. Neuroinflammation 2018, 15, 314. [Google Scholar] [CrossRef]
- Lavisse, S.; Goutal, S.; Wimberley, C.; Tonietto, M.; Bottlaender, M.; Gervais, P.; Kuhnast, B.; Peyronneau, M.A.; Barret, O.; Lagarde, J.; et al. Increased microglial activation in patients with Parkinson disease using [18F]-DPA714 TSPO PET imaging. Park. Relat. Disord. 2021, 82, 29–36. [Google Scholar] [CrossRef]
- Van Weehaeghe, D.; Babu, S.; De Vocht, J.; Zürcher, N.R.; Chew, S.; Tseng, C.E.; Loggia, M.L.; Koole, M.; Rezaei, A.; Schramm, G.; et al. Moving toward multicenter therapeutic trials in amyotrophic lateral sclerosis: Feasibility of data pooling using different translocator protein PET radioligands. J. Nucl. Med. 2020, 61, 1621–1627. [Google Scholar] [CrossRef]
- Lee, H.; Noh, Y.; Kim, W.R.; Seo, H.E.; Park, H.M. Translocator Protein (18 kDa) Polymorphism (rs6971) in the Korean Population. Dement. Neurocogn. Disord. 2022, 21, 71. [Google Scholar] [CrossRef]
- Hamelin, L.; Lagarde, J.; Dorothée, G.; Leroy, C.; Labit, M.; Comley, R.A.; de Souza, L.C.; Corne, H.; Dauphinot, L.; Bertoux, M.; et al. Early and protective microglial activation in Alzheimer’s disease: A prospective study using 18F-DPA-714 PET imaging. Brain 2016, 139, 1252–1264. [Google Scholar] [CrossRef]
- Hamelin, L.; Lagarde, J.; Dorothée, G.; Potier, M.C.; Corlier, F.; Kuhnast, B.; Caillé, F.; Dubois, B.; Fillon, L.; Chupin, M.; et al. Distinct dynamic profiles of microglial activation are associated with progression of Alzheimer’s disease. Brain 2018, 141, 1855–1870. [Google Scholar] [CrossRef]
- Tang, D.; McKinley, E.T.; Hight, M.R.; Uddin, M.I.; Harp, J.M.; Fu, A.; Nickels, M.L.; Buck, J.R.; Manning, H.C. Synthesis and structure–activity relationships of 5, 6, 7-substituted pyrazolopyrimidines: Discovery of a novel TSPO PET ligand for cancer imaging. J. Med. Chem. 2013, 56, 3429–3433. [Google Scholar] [CrossRef]
- Tang, D.; Li, J.; Buck, J.R.; Tantawy, M.N.; Xia, Y.; Harp, J.M.; Nickels, M.L.; Meiler, J.; Manning, H.C. Evaluation of TSPO PET ligands [18F] VUIIS1009A and [18F]VUIIS1009B: Tracers for cancer imaging. Mol. Imaging Biol. 2017, 19, 578–588. [Google Scholar] [CrossRef]
- Médran-Navarrete, V.; Bernards, N.; Kuhnast, B.; Damont, A.; Pottier, G.; Peyronneau, M.A.; Kassiou, M.; Marguet, F.; Puech, F.; Boisgard, R.; et al. [18F]DPA-C5yne, a novel fluorine-18-labelled analogue of DPA-714: Radiosynthesis and preliminary evaluation as a radiotracer for imaging neuroinflammation with PET. J. Label. Compd. Radiopharm. 2014, 57, 410–418. [Google Scholar] [CrossRef]
- Médran-Navarrete, V.; Damont, A.; Peyronneau, M.A.; Kuhnast, B.; Bernards, N.; Pottier, G.; Marguet, F.; Puech, F.; Boisgard, R.; Dollé, F. Preparation and evaluation of novel pyrazolo [1, 5-a] pyrimidine acetamides, closely related to DPA-714, as potent ligands for imaging the TSPO 18 kDa with PET. Bioorg. Med. Chem. Lett. 2014, 24, 1550–1556. [Google Scholar] [CrossRef] [PubMed]
- Damont, A.; Médran-Navarrete, V.; Cacheux, F.; Kuhnast, B.; Pottier, G.; Bernards, N.; Marguet, F.; Puech, F.; Boisgard, R.; Dollé, F. Novel pyrazolo [1, 5-a] pyrimidines as translocator protein 18 kDa (TSPO) ligands: Synthesis, in vitro biological evaluation,[18F]-labeling, and in vivo neuroinflammation PET images. J. Med. Chem. 2015, 58, 7449–7464. [Google Scholar] [CrossRef] [PubMed]
- Keller, T.; Krzyczmonik, A.; Forsback, S.; Picón, F.R.L.; Kirjavainen, A.K.; Takkinen, J.; Rajander, J.; Cacheux, F.; Damont, A.; Dollé, F.; et al. Radiosynthesis and preclinical evaluation of [18F]F-DPA, a novel pyrazolo [1, 5a] pyrimidine acetamide TSPO radioligand, in healthy Sprague Dawley rats. Mol. Imaging Biol. 2017, 19, 736–745. [Google Scholar] [CrossRef] [PubMed]
- Shimochi, S.; Keller, T.; Kujala, E.; Khabbal, J.; Rajander, J.; Löyttyniemi, E.; Solin, O.; Nuutila, P.; Kanaya, S.; Yatkin, E.; et al. Evaluation of [18F]F-DPA PET for Detecting Microglial Activation in the Spinal Cord of a Rat Model of Neuropathic Pain. Mol. Imaging Biol. 2022, 24, 641–650. [Google Scholar] [CrossRef] [PubMed]
- Keller, T.; López-Picón, F.R.; Krzyczmonik, A.; Forsback, S.; Kirjavainen, A.K.; Takkinen, J.S.; Alzghool, O.; Rajander, J.; Teperi, S.; Cacheux, F.; et al. [18F]F-DPA for the detection of activated microglia in a mouse model of Alzheimer’s disease. Nucl. Med. Biol. 2018, 67, 1–9. [Google Scholar] [CrossRef]
- López-Picón, F.R.; Keller, T.; Bocancea, D.; Helin, J.S.; Krzyczmonik, A.; Helin, S.; Damont, A.; Dollé, F.; Rinne, J.O.; Haaparanta-Solin, M.; et al. Direct Comparison of [18F]F-DPA with [18F]DPA-714 and [11C]PBR28 for Neuroinflammation Imaging in the same Alzheimer’s Disease Model Mice and Healthy Controls. Mol. Imaging Biol. 2022, 24, 157–166. [Google Scholar] [CrossRef]
- Fookes, C.J.; Pham, T.Q.; Mattner, F.; Greguric, I.; Loc’h, C.; Liu, X.; Berghofer, P.; Shepherd, R.; Gregoire, M.C.; Katsifis, A. Synthesis and biological evaluation of substituted [18F] imidazo [1, 2-a] pyridines and [18F] pyrazolo [1, 5-a] pyrimidines for the study of the peripheral benzodiazepine receptor using positron emission tomography. J. Med. Chem. 2008, 51, 3700–3712. [Google Scholar] [CrossRef]
- Eberl, S.; Katsifis, A.; Peyronneau, M.A.; Wen, L.; Henderson, D.; Loc’h, C.; Greguric, I.; Verschuer, J.; Pham, T.; Lam, P.; et al. Preclinical in vivo and in vitro comparison of the translocator protein PET ligands [18F]PBR102 and [18F]PBR111. Eur. J. Nucl. Med. Mol. Imaging 2017, 44, 296–307. [Google Scholar] [CrossRef]
- Hobson, B.A.; Rowland, D.J.; Sisó, S.; Guignet, M.A.; Harmany, Z.T.; Bandara, S.B.; Saito, N.; Harvey, D.J.; Bruun, D.A.; Garbow, J.R.; et al. TSPO PET using [18F]PBR111 reveals persistent neuroinflammation following acute diisopropylfluorophosphate intoxication in the rat. Toxicol. Sci. 2019, 170, 330–344. [Google Scholar] [CrossRef]
- Ottoy, J.; De Picker, L.; Verhaeghe, J.; Deleye, S.; Kosten, L.; Sabbe, B.; Coppens, V.; Timmers, M.; Van Nueten, L.; Ceyssens, S.; et al. 18F-PBR111 PET imaging in healthy controls and schizophrenia: Test–retest reproducibility and quantification of neuroinflammation. J. Nucl. Med. 2018, 59, 1267–1274. [Google Scholar] [CrossRef]
- De Picker, L.; Ottoy, J.; Verhaeghe, J.; Deleye, S.; Fransen, E.; Kosten, L.; Sabbe, B.; Coppens, V.; Timmers, M.; de Boer, P.; et al. State-associated changes in longitudinal [18F]-PBR111 TSPO PET imaging of psychosis patients: Evidence for the accelerated ageing hypothesis? Brain Behav. Immun. 2019, 77, 46–54. [Google Scholar] [CrossRef]
- Datta, G.; Colasanti, A.; Kalk, N.; Owen, D.; Scott, G.; Rabiner, E.A.; Gunn, R.N.; Lingford-Hughes, A.; Malik, O.; Ciccarelli, O.; et al. 11C-PBR28 and 18F-PBR111 detect white matter inflammatory heterogeneity in multiple sclerosis. J. Nucl. Med. 2017, 58, 1477–1482. [Google Scholar] [CrossRef]
- Mattner, F.; Katsifis, A.; Bourdier, T.; Loc’h, C.; Berghofer, P.; Fookes, C.; Hung, T.T.; Jackson, T.; Henderson, D.; Pham, T.; et al. Synthesis and pharmacological evaluation of [18F]PBR316: A novel PET ligand targeting the translocator protein 18 kDa (TSPO) with low binding sensitivity to human single nucleotide polymorphism rs6971. RSC Med. Chem. 2021, 12, 1207–1221. [Google Scholar] [CrossRef]
- Perrone, M.; Moon, B.S.; Park, H.S.; Laquintana, V.; Jung, J.H.; Cutrignelli, A.; Lopedota, A.; Franco, M.; Kim, S.E.; Lee, B.C.; et al. A novel PET imaging probe for the detection and monitoring of translocator protein 18 kDa expression in pathological disorders. Sci. Rep. 2016, 6, 20422. [Google Scholar] [CrossRef]
- Denora, N.; Laquintana, V.; Pisu, M.G.; Dore, R.; Murru, L.; Latrofa, A.; Trapani, G.; Sanna, E. 2-Phenyl-imidazo [1, 2-a] pyridine compounds containing hydrophilic groups as potent and selective ligands for peripheral benzodiazepine receptors: Synthesis, binding affinity and electrophysiological studies. J. Med. Chem. 2008, 51, 6876–6888. [Google Scholar] [CrossRef]
- Kim, K.; Kim, H.; Bae, S.H.; Lee, S.Y.; Kim, Y.H.; Na, J.; Lee, C.H.; Lee, M.S.; Ko, G.B.; Kim, K.Y.; et al. [18F]CB251 PET/MR imaging probe targeting translocator protein (TSPO) independent of its Polymorphism in a Neuroinflammation Model. Theranostics 2020, 10, 9315–9331. [Google Scholar] [CrossRef]
- Lee, S.H.; Denora, N.; Laquintana, V.; Mangiatordi, G.F.; Lopedota, A.; Lopalco, A.; Cutrignelli, A.; Franco, M.; Delre, P.; Song, I.H.; et al. Radiosynthesis and characterization of [18F]BS224: A next-generation TSPO PET ligand insensitive to the rs6971 polymorphism. Eur. J. Nucl. Med. Mol. Imaging 2021, 49, 110–124. [Google Scholar] [CrossRef]
- Yanamoto, K.; Kumata, K.; Yamasaki, T.; Odawara, C.; Kawamura, K.; Yui, J.; Hatori, A.; Suzuki, K.; Zhang, M.R. [18F]FEAC and [18F]FEDAC: Two novel positron emission tomography ligands for peripheral-type benzodiazepine receptor in the brain. Bioorg. Med. Chem. Lett. 2009, 19, 1707–1710. [Google Scholar] [CrossRef]
- Chung, S.J.; Youn, H.; Jeong, E.J.; Park, C.R.; Kim, M.J.; Kang, K.W.; Zhang, M.R.; Cheon, G.J. In vivo imaging of activated macrophages by 18F-FEDAC, a TSPO targeting PET ligand, in the use of biologic disease-modifying anti-rheumatic drugs (bDMARDs). Biochem. Biophys. Res. Commun. 2018, 506, 216–222. [Google Scholar] [CrossRef]
- Maekawa, K.; Tsuji, A.B.; Yamashita, A.; Sugyo, A.; Katoh, C.; Tang, M.; Nishihira, K.; Shibata, Y.; Koshimoto, C.; Zhang, M.R.; et al. Translocator protein imaging with 18F-FEDAC-positron emission tomography in rabbit atherosclerosis and its presence in human coronary vulnerable plaques. Atherosclerosis 2021, 337, 7–17. [Google Scholar] [CrossRef]
- Yui, J.; Maeda, J.; Kumata, K.; Kawamura, K.; Yanamoto, K.; Hatori, A.; Yamasaki, T.; Nengaki, N.; Higuchi, M.; Zhang, M.R. 18F-FEAC and 18F-FEDAC: PET of the monkey brain and imaging of translocator protein (18 kDa) in the infarcted rat brain. J. Nucl. Med. 2010, 51, 1301–1309. [Google Scholar] [CrossRef] [PubMed]
- Tiwari, A.K.; Yui, J.; Fujinaga, M.; Kumata, K.; Shimoda, Y.; Yamasaki, T.; Xie, L.; Hatori, A.; Maeda, J.; Nengaki, N.; et al. Characterization of a novel acetamidobenzoxazolone-based PET ligand for translocator protein (18 kDa) imaging of neuroinflammation in the brain. J. Neurochem. 2014, 129, 712–720. [Google Scholar] [CrossRef] [PubMed]
- Tiwari, A.K.; Fujinaga, M.; Yui, J.; Yamasaki, T.; Xie, L.; Kumata, K.; Mishra, A.K.; Shimoda, Y.; Hatori, A.; Ji, B.; et al. Synthesis and evaluation of new 18F-labelled acetamidobenzoxazolone-based radioligands for imaging of the translocator protein (18 kDa, TSPO) in the brain. Org. Biomol. Chem. 2014, 12, 9621–9630. [Google Scholar] [CrossRef] [PubMed]
- Yamasaki, T.; Hatori, A.; Zhang, Y.; Mori, W.; Kurihara, Y.; Ogawa, M.; Wakizaka, H.; Rong, J.; Wang, L.; Liang, S.; et al. Neuroprotective effects of minocycline and KML29, a potent inhibitor of monoacylglycerol lipase, in an experimental stroke model: A small-animal positron emission tomography study. Theranostics 2021, 11, 9492. [Google Scholar] [CrossRef] [PubMed]
- Ji, B.; Ono, M.; Yamasaki, T.; Fujinaga, M.; Zhang, M.R.; Seki, C.; Aoki, I.; Kito, S.; Sawada, M.; Suhara, T.; et al. Detection of Alzheimer’s disease-related neuroinflammation by a PET ligand selective for glial versus vascular translocator protein. J. Cereb. Blood Flow Metab. 2021, 41, 2076–2089. [Google Scholar] [CrossRef]
- Cheung, Y.Y.; Nickels, M.L.; Tang, D.; Buck, J.R.; Manning, H.C. Facile synthesis of SSR180575 and discovery of 7-chloro-N, N, 5-trimethyl-4-oxo-3 (6-[18F] fluoropyridin-2-yl)-3, 5-dihydro-4H-pyridazino [4, 5-b] indole-1-acetamide, a potent pyridazinoindole ligand for PET imaging of TSPO in cancer. Bioorg. Med. Chem. Lett. 2014, 24, 4466–4471. [Google Scholar] [CrossRef][Green Version]
- Damont, A.; Marguet, F.; Puech, F.; Dollé, F. Synthesis and in vitro characterization of novel fluorinated derivatives of the TSPO 18 kDa ligand SSR180575. Eur. J. Med. Chem. 2015, 101, 736–745. [Google Scholar] [CrossRef][Green Version]
- Wadsworth, H.; Jones, P.A.; Chau, W.F.; Durrant, C.; Fouladi, N.; Passmore, J.; O’Shea, D.; Wynn, D.; Morisson-Iveson, V.; Ewan, A.; et al. [18F]GE-180: A novel fluorine-18 labelled PET tracer for imaging translocator protein 18 kDa (TSPO). Bioorg. Med. Chem. Lett. 2012, 22, 1308–1313. [Google Scholar] [CrossRef]
- Dickens, A.M.; Vainio, S.; Marjamäki, P.; Johansson, J.; Lehtiniemi, P.; Rokka, J.; Rinne, J.; Solin, O.; Haaparanta-Solin, M.; Jones, P.A.; et al. Detection of microglial activation in an acute model of neuroinflammation using PET and radiotracers 11C-(R)-PK11195 and 18F-GE-180. J. Nucl. Med. 2014, 55, 466–472. [Google Scholar] [CrossRef]
- Boutin, H.; Murray, K.; Pradillo, J.; Maroy, R.; Smigova, A.; Gerhard, A.; Jones, P.A.; Trigg, W. 18F-GE-180: A novel TSPO radiotracer compared to 11C-R-PK11195 in a preclinical model of stroke. Eur. J. Nucl. Med. Mol. Imaging 2015, 42, 503–511. [Google Scholar] [CrossRef]
- Liu, B.; Le, K.X.; Park, M.A.; Wang, S.; Belanger, A.P.; Dubey, S.; Frost, J.L.; Holton, P.; Reiser, V.; Jones, P.A.; et al. In vivo detection of age-and disease-related increases in neuroinflammation by 18F-GE180 TSPO microPET imaging in wild-type and Alzheimer’s transgenic mice. J. Neurosci. 2015, 35, 15716–15730. [Google Scholar] [CrossRef]
- de Lange, C.; Solberg, R.; Holtedahl, J.E.; Tulipan, A.; Barlinn, J.; Trigg, W.; Wickstrøm, T.; Saugstad, O.D.; Malinen, E.; Revheim, M.E. Dynamic TSPO-PET for assessing early effects of cerebral hypoxia and resuscitation in new born pigs. Nucl. Med. Biol. 2018, 66, 49–57. [Google Scholar] [CrossRef]
- Unterrainer, M.; Fleischmann, D.F.; Diekmann, C.; Vomacka, L.; Lindner, S.; Vettermann, F.; Brendel, M.; Wenter, V.; Ertl-Wagner, B.; Herms, J.; et al. Comparison of 18F-GE-180 and dynamic 18F-FET PET in high grade glioma: A double-tracer pilot study. Eur. J. Nucl. Med. Mol. Imaging 2019, 46, 580–590. [Google Scholar] [CrossRef]
- Zanotti-Fregonara, P.; Pascual, B.; Rizzo, G.; Yu, M.; Pal, N.; Beers, D.; Carter, R.; Appel, S.H.; Atassi, N.; Masdeu, J.C. Head-to-head comparison of 11C-PBR28 and 18F-GE180 for quantification of the translocator protein in the human brain. J. Nucl. Med. 2018, 59, 1260–1266. [Google Scholar] [CrossRef]
- Qiao, L.; Fisher, E.; McMurray, L.; Milicevic Sephton, S.; Hird, M.; Kuzhuppilly-Ramakrishnan, N.; Williamson, D.J.; Zhou, X.; Werry, E.; Kassiou, M.; et al. Radiosynthesis of (R, S)-[18F]GE387: A potential PET radiotracer for imaging translocator protein 18 kDa (TSPO) with low binding sensitivity to the human gene polymorphism rs6971. ChemMedChem 2019, 14, 982–993. [Google Scholar] [CrossRef]
- Ramakrishnan, N.K.; Hird, M.; Thompson, S.; Williamson, D.J.; Qiao, L.; Owen, D.R.; Brooks, A.F.; Scott, P.J.; Bacallado, S.; O’Brien, J.T.; et al. Preclinical evaluation of (S)-[18F]GE387, a novel 18-kDa translocator protein (TSPO) PET radioligand with low binding sensitivity to human polymorphism rs6971. Eur. J. Nucl. Med. Mol. Imaging 2021, 49, 125–136. [Google Scholar] [CrossRef]
- Stevenson, L.; Tavares, A.A.; Brunet, A.; McGonagle, F.I.; Dewar, D.; Pimlott, S.L.; Sutherland, A. New iodinated quinoline-2-carboxamides for SPECT imaging of the translocator protein. Bioorg. Med. Chem. Lett. 2010, 20, 954–957. [Google Scholar] [CrossRef]
- Blair, A.; Stevenson, L.; Dewar, D.; Pimlott, S.L.; Sutherland, A. Structure–activity relationships of novel iodinated quinoline-2-carboxamides for targeting the translocator protein. MedChemComm 2013, 4, 1461–1466. [Google Scholar] [CrossRef]
- Blair, A.; Zmuda, F.; Malviya, G.; Tavares, A.A.; Tamagnan, G.D.; Chalmers, A.J.; Dewar, D.; Pimlott, S.L.; Sutherland, A. A novel 18F-labelled high affinity agent for PET imaging of the translocator protein. Chem. Sci. 2015, 6, 4772–4777. [Google Scholar] [CrossRef]
- MacAskill, M.G.; Stadulyte, A.; Williams, L.; Morgan, T.E.; Sloan, N.L.; Alcaide-Corral, C.J.; Walton, T.; Wimberley, C.; McKenzie, C.A.; Spath, N.; et al. Quantification of macrophage-driven inflammation during myocardial infarction with 18F-LW223, a novel TSPO radiotracer with binding independent of the rs6971 human polymorphism. J. Nucl. Med. 2021, 62, 536–544. [Google Scholar] [CrossRef]
- Berroterán-Infante, N.; Kalina, T.; Fetty, L.; Janisch, V.; Velasco, R.; Vraka, C.; Hacker, M.; Haug, A.R.; Pallitsch, K.; Wadsak, W.; et al. (R)-[18F] NEBIFQUINIDE: A promising new PET tracer for TSPO imaging. Eur. J. Med. Chem. 2019, 176, 410–418. [Google Scholar] [CrossRef]
- Ikawa, M.; Lohith, T.G.; Shrestha, S.; Telu, S.; Zoghbi, S.S.; Castellano, S.; Taliani, S.; Da Settimo, F.; Fujita, M.; Pike, V.W.; et al. 11C-ER176, a radioligand for 18-kDa translocator protein, has adequate sensitivity to robustly image all three affinity genotypes in human brain. J. Nucl. Med. 2017, 58, 320–325. [Google Scholar] [CrossRef] [PubMed]
- Siméon, F.G.; Lee, J.H.; Morse, C.L.; Stukes, I.; Zoghbi, S.S.; Manly, L.S.; Liow, J.S.; Gladding, R.L.; Dick, R.M.; Yan, X.; et al. Synthesis and screening in mice of fluorine-containing PET radioligands for TSPO: Discovery of a promising 18F-Labeled ligand. J. Med. Chem. 2021, 64, 16731–16745. [Google Scholar] [CrossRef] [PubMed]
- Chauveau, F.; Boutin, H.; Van Camp, N.; Dollé, F.; Tavitian, B. Nuclear imaging of neuroinflammation: A comprehensive review of [11C] PK11195 challengers. Eur. J. Nucl. Med. Mol. Imaging 2008, 35, 2304–2319. [Google Scholar] [CrossRef] [PubMed]
- Moon, B.S.; Kim, B.S.; Park, C.; Jung, J.H.; Lee, Y.W.; Lee, H.Y.; Chi, D.Y.; Lee, B.C.; Kim, S.E. [18F] Fluoromethyl-PBR28 as a potential radiotracer for TSPO: Preclinical comparison with [11C] PBR28 in a rat model of neuroinflammation. Bioconjugate Chem. 2014, 25, 442–450. [Google Scholar] [CrossRef]
- Moon, B.S.; Jung, J.H.; Park, H.S.; Contino, M.; Denora, N.; Lee, B.C.; Kim, S.E. Preclinical comparison study between [18F] fluoromethyl-PBR28 and its deuterated analog in a rat model of neuroinflammation. Bioorg. Med. Chem. Lett. 2018, 28, 2925–2929. [Google Scholar] [CrossRef]
- Kim, G.R.; Paeng, J.C.; Jung, J.H.; Moon, B.S.; Lopalco, A.; Denora, N.; Lee, B.C.; Kim, S.E. Assessment of TSPO in a rat experimental autoimmune myocarditis model: A comparison study between [18F]fluoromethyl-PBR28 and [18F]CB251. Int. J. Mol. Sci. 2018, 19, 276. [Google Scholar] [CrossRef]
- Oh, C.; Song, I.H.; Lee, W.; Jeon, M.; Choi, J.; Baek, S.; Lee, B.C.; Kim, S.E.; Im, H.J. Brown adipose tissue imaging using the TSPO tracer [18F] fluoromethyl-PBR28-d2: A comparison with [18F] FDG. Nucl. Med. Biol. 2020, 90, 98–103. [Google Scholar] [CrossRef]
- Song, Y.S.; Lee, S.H.; Jung, J.H.; Song, I.H.; Park, H.S.; Moon, B.S.; Kim, S.E.; Lee, B.C. TSPO expression modulatory effect of acetylcholinesterase inhibitor in the ischemic stroke rat model. Cells. 2021, 10, 1350. [Google Scholar] [CrossRef]
- Briard, E.; Zoghbi, S.S.; Siméon, F.G.; Imaizumi, M.; Gourley, J.P.; Shetty, H.U.; Lu, S.; Fujita, M.; Innis, R.B.; Pike, V.W. Single-step high-yield radiosynthesis and evaluation of a sensitive 18F-labeled ligand for imaging brain peripheral benzodiazepine receptors with PET. J. Med. Chem. 2009, 52, 688–699. [Google Scholar] [CrossRef]
- Škopić, M.K.; Bugain, O.; Jung, K.; Onstein, S.; Brandherm, S.; Kalliokoski, T.; Brunschweiger, A. Design and synthesis of DNA-encoded libraries based on a benzodiazepine and a pyrazolopyrimidine scaffold. MedChemComm 2016, 7, 1957–1965. [Google Scholar] [CrossRef]
- James, M.L.; Fulton, R.R.; Henderson, D.J.; Eberl, S.; Meikle, S.R.; Thomson, S.; Allan, R.D.; Dolle, F.; Fulham, M.J.; Kassiou, M. Synthesis and in vivo evaluation of a novel peripheral benzodiazepine receptor PET radioligand. Bioorg. Med. Chem. 2005, 13, 6188–6194. [Google Scholar] [CrossRef]
- Coughlin, J.M.; Wang, Y.; Ambinder, E.B.; Ward, R.E.; Minn, I.; Vranesic, M.; Kim, P.K.; Ford, C.N.; Higgs, C.; Hayes, L.N.; et al. In vivo markers of inflammatory response in recent-onset schizophrenia: A combined study using [11C] DPA-713 PET and analysis of CSF and plasma. Transl. Psychiatry 2016, 6, 777. [Google Scholar] [CrossRef]
- Zivkovic, B.; Morel, E.; Joly, D.; Perrault, G.; Sanger, D.J.; Lloyd, K.G. Pharmacological and behavioral profile of alpidem as an anxiolytic. Pharmacopsychiatry 1990, 23, 108–113. [Google Scholar] [CrossRef]
- Thominiaux, C.; Mattner, F.; Greguric, I.; Boutin, H.; Chauveau, F.; Kuhnast, B.; Grégoire, M.C.; Loc’h, C.; Valette, H.; Bottlaender, M.; et al. Radiosynthesis of 2-[6-chloro-2-(4-iodophenyl) imidazo [1, 2-a] pyridin-3-yl]-N-ethyl-N-[11C] methyl-acetamide,[11C]CLINME, a novel radioligand for imaging the peripheral benzodiazepine receptors with PET. J. Label. Compd. Radiopharm. 2007, 50, 229–236. [Google Scholar] [CrossRef]
- Boutin, H.; Chauveau, F.; Thominiaux, C.; Kuhnast, B.; Grégoire, M.C.; Jan, S.; Trebossen, R.; Dollé, F.; Tavitian, B.; Mattner, F.; et al. In vivo imaging of brain lesions with [11C]CLINME, a new PET radioligand of peripheral benzodiazepine receptors. Glia 2007, 55, 1459–1468. [Google Scholar] [CrossRef]
- Van Camp, N.; Boisgard, R.; Kuhnast, B.; Thézé, B.; Viel, T.; Grégoire, M.C.; Chauveau, F.; Boutin, H.; Katsifis, A.; Dollé, F.; et al. In vivo imaging of neuroinflammation: A comparative study between [18F]PBR111, [11C]CLINME and [11C]PK11195 in an acute rodent model. Eur. J. Nucl. Med. Mol. Imaging 2010, 37, 962–972. [Google Scholar] [CrossRef]
- Mattner, F.; Quinlivan, M.; Greguric, I.; Pham, T.; Liu, X.; Jackson, T.; Berghofer, P.; Fookes, C.J.R.; Dikic, B.; Gregoire, M.C.; et al. Radiosynthesis, in vivo biological evaluation, and imaging of brain lesions with [123I]-CLINME, a new SPECT tracer for the translocator protein. Dis. Markers 2015, 2015, 729698. [Google Scholar] [CrossRef]
- Vanda, D.; Zajdel, P.; Soural, M. Imidazopyridine-based selective and multifunctional ligands of biological targets associated with psychiatric and neurodegenerative diseases. Eur. J. Med. Chem. 2019, 181, 111569. [Google Scholar] [CrossRef]
- Kita, A.; Kohayakawa, H.; Kinoshita, T.; Ochi, Y.; Nakamichi, K.; Kurumiya, S.; Furukawa, K.; Oka, M. Antianxiety and antidepressant-like effects of AC-5216, a novel mitochondrial benzodiazepine receptor ligand. Br. J. Pharmacol. 2004, 142, 1059–1072. [Google Scholar] [CrossRef]
- Zhang, M.R.; Kumata, K.; Maeda, J.; Yanamoto, K.; Hatori, A.; Okada, M.; Higuchi, M.; Obayashi, S.; Suhara, T.; Suzuki, K. 11C-AC-5216: A novel PET ligand for peripheral benzodiazepine receptors in the primate brain. J. Nucl. Med. 2007, 48, 1853–1861. [Google Scholar] [CrossRef] [PubMed]
- Fukaya, T.; Kodo, T.; Ishiyama, T.; Kakuyama, H.; Nishikawa, H.; Baba, S.; Masumoto, S. Design, synthesis and structure–activity relationships of novel benzoxazolone derivatives as 18 kDa translocator protein (TSPO) ligands. Bioorg. Med. Chem. 2012, 20, 5568–5582. [Google Scholar] [CrossRef] [PubMed]
- Nicolas, I.; Bijani, C.; Brasseur, D.; Pratviel, G.; Bernadou, J.; Robert, A. Metalloporphyrin-catalyzed hydroxylation of the N, N-dimethylamide function of the drug molecule SSR180575 to a stable N-methyl-N-carbinolamide. Comptes Rendus Chim. 2013, 16, 1002–1007. [Google Scholar] [CrossRef]
- Leducq-Alet, N.; Vin, V.; Savi, P.; Bono, F. TNF-alpha induced PMN apoptosis in whole human blood: Protective effect of SSR180575, a potent and selective peripheral benzodiazepine ligand. Biochem. Biophys. Res. Commun. 2010, 399, 475–479. [Google Scholar] [CrossRef] [PubMed]
- Vin, V.; Leducq, N.; Bono, F.; Herbert, J.M. Binding characteristics of SSR180575, a potent and selective peripheral benzodiazepine ligand. Biochem. Biophys. Res. Commun. 2003, 310, 785–790. [Google Scholar] [CrossRef]
- Ferzaz, B.; Brault, E.; Bourliaud, G.; Robert, J.P.; Poughon, G.; Claustre, Y.; Marguet, F.; Liere, P.; Schumacher, M.; Nowicki, J.P.; et al. SSR180575 (7-chloro-N, N, 5-trimethyl-4-oxo-3-phenyl-3, 5-dihydro-4H-pyridazino [4, 5-b] indole-1-acetamide), a peripheral benzodiazepine receptor ligand, promotes neuronal survival and repair. J. Pharmacol. Exp. Ther. 2002, 301, 1067–1078. [Google Scholar] [CrossRef]
- Leducq, N.; Bono, F.; Sulpice, T.; Vin, V.; Janiak, P.; Le Fur, G.; O’Connor, S.E.; Herbert, J.M. Role of peripheral benzodiazepine receptors in mitochondrial, cellular, and cardiac damage induced by oxidative stress and ischemia-reperfusion. J. Pharmacol. Exp. Ther. 2003, 306, 828–837. [Google Scholar] [CrossRef]
- Thominiaux, C.; Damont, A.; Kuhnast, B.; Demphel, S.; Le Helleix, S.; Boisnard, S.; Rivron, L.; Chauveau, F.; Boutin, H.; Van Camp, N.; et al. Radiosynthesis of 7-chloro-N, N-dimethyl-5-[11C] methyl-4-oxo-3-phenyl-3, 5-dihydro-4H-pyridazino [4, 5-b] indole-1-acetamide,[11C] SSR180575, a novel radioligand for imaging the TSPO (peripheral benzodiazepine receptor) with PET. J. Label. Compd. Radiopharm. 2010, 53, 767–773. [Google Scholar] [CrossRef]
- Chauveau, F.; Boutin, H.; Van Camp, N.; Thominiaux, C.; Hantraye, P.; Rivron, L.; Marguet, F.; Castel, M.N.; Rooney, T.; Benavides, J.; et al. In vivo imaging of neuroinflammation in the rodent brain with [11C]SSR180575, a novel indoleacetamide radioligand of the translocator protein (18 kDa). Eur. J. Nucl. Med. Mol. Imaging 2011, 38, 509–514. [Google Scholar] [CrossRef]
- Owen, D.R.; Narayan, N.; Wells, L.; Healy, L.; Smyth, E.; Rabiner, E.A.; Galloway, D.; Williams, J.B.; Lehr, J.; Mandhair, H.; et al. Pro-inflammatory activation of primary microglia and macrophages increases 18 kDa translocator protein expression in rodents but not humans. J. Cereb. Blood Flow Metab. 2017, 37, 2679–2690. [Google Scholar] [CrossRef]
- Notter, T.; Coughlin, J.M.; Sawa, A.; Meyer, U. Reconceptualization of translocator protein as a biomarker of neuroinflammation in psychiatry. Mol. Psychiatry 2018, 23, 36–47. [Google Scholar] [CrossRef]




























Publisher’s Note: MDPI stays neutral with regard to jurisdictional claims in published maps and institutional affiliations. |
© 2022 by the authors. Licensee MDPI, Basel, Switzerland. This article is an open access article distributed under the terms and conditions of the Creative Commons Attribution (CC BY) license (https://creativecommons.org/licenses/by/4.0/).
Share and Cite
Luu, T.G.; Kim, H.-K. 18F-Radiolabeled Translocator Protein (TSPO) PET Tracers: Recent Development of TSPO Radioligands and Their Application to PET Study. Pharmaceutics 2022, 14, 2545. https://doi.org/10.3390/pharmaceutics14112545
Luu TG, Kim H-K. 18F-Radiolabeled Translocator Protein (TSPO) PET Tracers: Recent Development of TSPO Radioligands and Their Application to PET Study. Pharmaceutics. 2022; 14(11):2545. https://doi.org/10.3390/pharmaceutics14112545
Chicago/Turabian StyleLuu, Truong Giang, and Hee-Kwon Kim. 2022. "18F-Radiolabeled Translocator Protein (TSPO) PET Tracers: Recent Development of TSPO Radioligands and Their Application to PET Study" Pharmaceutics 14, no. 11: 2545. https://doi.org/10.3390/pharmaceutics14112545
APA StyleLuu, T. G., & Kim, H.-K. (2022). 18F-Radiolabeled Translocator Protein (TSPO) PET Tracers: Recent Development of TSPO Radioligands and Their Application to PET Study. Pharmaceutics, 14(11), 2545. https://doi.org/10.3390/pharmaceutics14112545

