Design, Preparation, Characterization and Evaluation of Five Cocrystal Hydrates of Fluconazole with Hydroxybenzoic Acids
Abstract
1. Introduction
2. Materials and Methods
2.1. Materials
2.2. Sample Preparations
2.3. Single-Crystal X-ray Diffraction (SXRD) Analysis
2.4. Powder X-ray Diffraction (PXRD) Analysis
2.5. Thermal Analysis
2.6. Fourier Transform Infrared Spectroscopy (FT−IR) Analysis
2.7. Stability Test
2.8. Apparent Powder and Intrinsic Dissolution Experiments
3. Results and Discussion
3.1. Cocrystal Design
3.2. Crystallographic Analysis
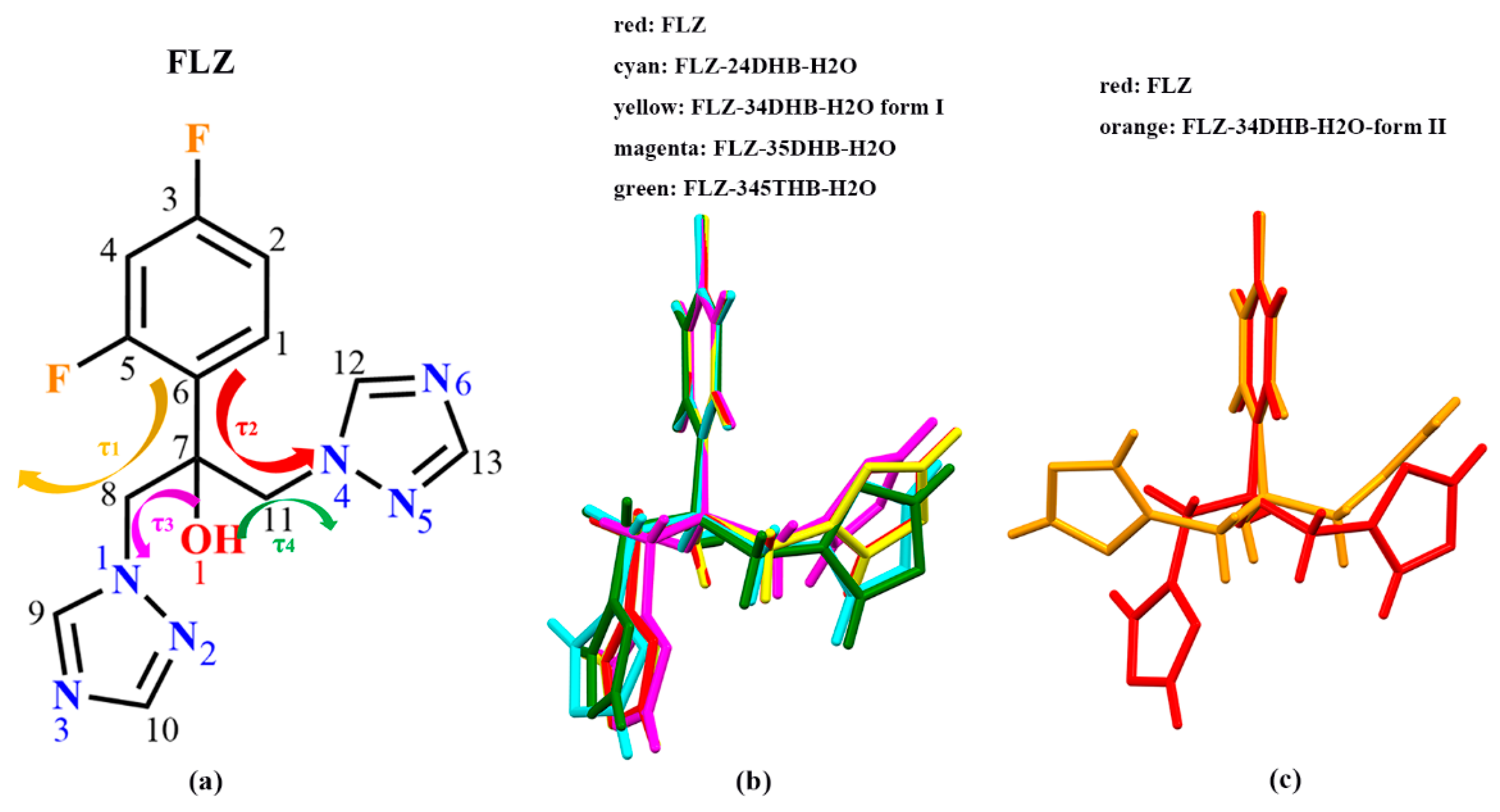
3.3. Structure Overlay
3.4. PXRD Analysis
3.5. Thermal Analysis
3.6. FT−IR Analysis
3.7. Stability Study
3.8. Apparent Powder and Intrinsic Dissolution Experiments
4. Conclusions
Supplementary Materials
Author Contributions
Funding
Institutional Review Board Statement
Informed Consent Statement
Data Availability Statement
Acknowledgments
Conflicts of Interest
References
- Richardson, K.; Cooper, K. Bistriazole Antifungal Agents. U.S. Patent Application US4466974 A, 21 August 1984. [Google Scholar]
- Aaltonen, J.; Allesø, M.; Mirza, S.; Koradia, V.; Gordon, K.C.; Rantanen, J. Solid form screening−a review. Eur. J. Pharm. Biopharm. 2009, 71, 23–37. [Google Scholar] [CrossRef] [PubMed]
- Kristl, A.; Srčič, S.; Vrečer, F.; Šuštar, B.; Vojnovic, D. Polymorphism and pseudopolymorphism: Influencing the dissolution properties of the guanine derivative acyclovir. Int. J. Pharm. 1996, 139, 231–235. [Google Scholar] [CrossRef]
- Noonan, T.J.; Chibale, K.; Cheuka, P.M.; Bourne, S.A.; Caira, M.R. Cocrystal and salt forms of an imidazopyridazine antimalarial drug lead. J. Pharm. Sci. 2019, 139, 231–235. [Google Scholar] [CrossRef]
- Arrhenius, G. X-ray diffraction procedures for polycrystalline and amorphous materials. J. Chem. Educ. 1955, 32, 228. [Google Scholar] [CrossRef]
- Morissette, S.L.; Almarsson, Ö.; Peterson, M.L.; Remenar, J.F.; Read, M.J.; Lemmo, A.V.; Ellis, S.; Cima, M.J.; Gardner, C.R. High-throughput crystallization: Polymorphs, salts, co-crystals and solvates of pharmaceutical solids. Adv. Drug Deliv. Rev. 2004, 56, 275–300. [Google Scholar] [CrossRef] [PubMed]
- Yu, H.M.; Zhang, Y.; Zhang, B.X.; Wang, Y.; Zhang, L.; Zhang, H.L.; Gong, N.B.; Lu, Y.; Du, G.H. Salt or/and cocrystal? The case of the antidepressant drug venlafaxine. CrystEngComm 2021, 23, 2665–2672. [Google Scholar] [CrossRef]
- Modh, N.B.; Chotai, N.P.; Patel, V.A.; Patel, B.G. Preparation, characterization and evaluation of fluconazole polymorphs. Int. J. Res. Pharm. Biomed. Sci. 2010, 1, 124–127. [Google Scholar]
- Yang, Y.L.; Ho, Y.A.; Cheng, H.H.; Ho, M.; Lo, H.J. Susceptibilities of Candida species to amphotericin B and fluconazole: The emergence of fluconazole resistance in Candida tropicalis. Infect. Control Hosp. Epidemiol. 2004, 25, 60–64. [Google Scholar] [CrossRef]
- Gu, X.; Jiang, W. Characterization of polymorphic forms of fluconazole using Fourier Transform Raman spectroscopy. J. Pharm. Sci. 1995, 84, 1438–1441. [Google Scholar] [CrossRef]
- Dash, A.K.; Elmquist, W.F. Profiles of Drug Substances, Excipients and Related Methodology; Brittain, H.G., Ed.; Academic Press: San Diego, CA, USA, 2001; pp. 67–113. [Google Scholar]
- Richardson, K.; Cooper, K.; Marriott, M.; Tarbit, M.; Troke, F.; Whittle, P. Discovery of fluconazole, a novel antifungal agent. Clin. Infect. Dis. 1990, 12, S267–S271. [Google Scholar] [CrossRef]
- Karanam, M.; Dev, S.; Choudhury, A.R. New polymorphs of fluconazole: Results from cocrystallization experiments. Cryst. Growth Des. 2011, 12, 240–252. [Google Scholar] [CrossRef]
- Caira, M.R.; Alkhamis, K.A.; Obaidat, R.M. Preparation and crystal characterization of a polymorph, a monohydrate, and an ethyl acetate solvate of the antifungal fluconazole. J. Pharm. Sci. 2003, 93, 601–611. [Google Scholar] [CrossRef] [PubMed]
- Basford, P.A.; Cameron, C.A.; Cruz-Cabeza, A.J. Conformational change initiates dehydration in fluconazole monohydrate. Cryst. Growth Des. 2020, 20, 6044–6056. [Google Scholar] [CrossRef]
- Alkhamis, K.A.; Obaidat, A.A.; Nuseirat, A.F. Solid-state characterization of fluconazole. Pharm. Dev. Technol. 2002, 7, 491–503. [Google Scholar] [CrossRef] [PubMed]
- Charoo, N.; Cristofoletti, R.; Graham, A.; Lartey, P.; Abrahamsson, B.; Groot, D.W.; Kopp, S.; Langguth, P.; Polli, J.; Shah, V.P.; et al. Biowaiver monograph for immediate-release solid oral dosage forms: Fluconazole. J. Pharm. Sci. 2014, 103, 3843–3858. [Google Scholar] [CrossRef]
- Owoyemi, B.C.D.; da Silva, C.C.P.; Diniz, L.F.; Souza, M.S.; Ellena, J.; Carneiro, R.L. Fluconazolium oxalate: Synthesis and structural characterization of a highly soluble crystalline form. CrystEngComm 2019, 21, 1114–1121. [Google Scholar] [CrossRef]
- Radhi, Z.A.; Albadri, A.A.; Jihad, M.I. Preparation, characterization, and in-vitro evaluation of tenoxicam-paracetamol cocrystal. Int. J. Drug Deliv. Technol. 2021, 10, 542–546. [Google Scholar] [CrossRef]
- Qiao, S.; Wang, J.H.; Yu, Y.W.; Liu, Y.C.; Yang, Z.W.; Li, H.Z. Two novel TNB energetic cocrystals with low melting point: A potential strategy to construct melt cast explosive carriers. CrystEngComm 2022, 24, 2948–2953. [Google Scholar] [CrossRef]
- Gong, N.B.; Zhang, Y.; Wang, Y.; Yu, H.M.; Zhang, B.X.; Zhang, H.L.; Lu, Y.; Du, G.H. Versatile salts as a strategy to modify the biopharmaceutical properties of venlafaxine and a potential hypoglycemic effect study. Cryst. Growth Des. 2020, 20, 3131–3193. [Google Scholar] [CrossRef]
- Wang, J.; Dai, X.L.; Lu, T.B.; Chen, J.M. Temozolomide–hesperetin drug–drug cocrystal with optimized performance in stability, dissolution, and tabletability. Cryst. Growth Des. 2021, 21, 838–846. [Google Scholar] [CrossRef]
- Almansa, C.; Merce, R.; Tesson, N.; Farran, J.; Tomas, J.; Plata-Salaman, C.R. Co-crystal of tramadol hydrochloride−celecoxib (ctc): A novel API−API co-crystal for the treatment of pain. Cryst. Growth Des. 2017, 17, 1884–1892. [Google Scholar] [CrossRef]
- Shinozaki, T.; Ono, M.; Higashi, K.; Moribe, K. A Novel drug-drug cocrystal of levofloxacin and metacetamol: Reduced hygroscopicity and improved photostability of levofloxacin. J. Pharm. Sci. 2019, 108, 2383–2390. [Google Scholar] [CrossRef] [PubMed]
- Kastelic, J.; Hodnik, Ž.; Šket, P.; Plavec, J.; La, N.; Leban, I.; Pajk, M.; Planinšek, O.; Kikelj, D. Fluconazole cocrystals with dicarboxylic acids. Cryst. Growth Des. 2010, 10, 4943–4953. [Google Scholar] [CrossRef]
- Alizadeh, N.; Rezakhani, Z. Extractive spectrophotometric determination of ketoconazole, clotrimazole and fluconazole by ion-pair complex formation with bromothymol blue and picric acid. J. Chil. Chem. Soc. 2012, 57, 1104–1108. [Google Scholar] [CrossRef]
- Kastelic, J.; Kikelj, D.; Leban, I.; Lah, N. Fluconazole–malonic acid (1/1), Acta Crystallogr. Sect. E Struct. Rep. Online 2013, 69, o378–o379. [Google Scholar] [CrossRef]
- Owoyemi, B.C.D.; da Silva, C.C.P.; Souza, M.S.; Diniz, L.F.; Ellena, J.; Carneiro, R.L. Fluconazole: Synthesis and structural characterization of four new pharmaceutical cocrystal forms. Cryst. Growth Des. 2019, 19, 648–657. [Google Scholar] [CrossRef]
- Surov, A.; Voronin, A.; Vasilev, N.; Churakov, A.V. Cocrystals of fluconazole with aromatic carboxylic acids: Competition between anhydrous and hydrated solid forms. Cryst. Growth Des. 2020, 20, 1218–1228. [Google Scholar] [CrossRef]
- Sheldrick, G.M. SHELXT–Integrated space-group and crystal-structure determination, Acta Crystallogr. Sect. A Found. Adv. 2015, 71, 3–8. [Google Scholar] [CrossRef]
- Sheldrick, G.M.; Schneider, T.R. SHELXL: High-resolution refinement. Methods Enzymol. 1997, 277, 319–343. [Google Scholar] [CrossRef]
- Chinese Pharmacopoeia Commission. Guiding principles for stability studies of bulk drugs and pharmaceutical preparations, fourth ed. In Pharmacopoeia of People’s Republic of China; Chinese Pharmacopoeia Commission: Beijing, China, 2020. [Google Scholar]
- Desiraju, G.R. Crystal engineering: Structure, property and beyond. IUCrJ 2017, 4, 710–711. [Google Scholar] [CrossRef]
- Gołdyn, M.; Larowska, D.; Nowak, W.; Bartoszak-Adamska, E. Synthon hierarchy in theobromine cocrystals with hydroxybenzoic acids as coformers. CrystEngComm 2019, 21, 7373–7388. [Google Scholar] [CrossRef]
- Available online: https://www.fda.gov/food/food-ingredients-packaging/generally-recognized-safe-gras (accessed on 13 November 2022).
- Sroka, Z.; Cisowski, W. Hydrogen peroxide scavenging, antioxidant and anti-radical activity of some phenolic acids. Food Chem. Toxicol. 2003, 41, 753–758. [Google Scholar] [CrossRef]
- Yu, L.; Reutzel-Edens, S.M.; Mitchell, C.A. Crystallization and polymorphism of conformationally flexible molecules: Problems, patterns, and strategies. Org. Proc. Res. Dev. 2000, 4, 396–402. [Google Scholar] [CrossRef]
- Aitipamula, S.; Chow, P.S.; Tan, R.B.H. Co-crystals of caffeine and piracetam with 4-hydroxybenzoic acid: Unravelling the hidden hydrates of 1:1 co-crystals. CrystEngComm 2012, 14, 2381–2385. [Google Scholar] [CrossRef]
- Clampitt, B.H. Differential thermal analysis of the cocrystal peak in linear–high pressure polyethylene blends. J. Polym. Sci., Part A Gen. Pap. 1965, 35, 577–579. [Google Scholar] [CrossRef]
- Chandrasekaran, K.; Kumar, T.R. Structural, spectral, thermodynamical, NLO, HOMO, LUMO and NBO analysis of fluconazole. Spectrochim. Acta. Part A 2015, 150, 974–991. [Google Scholar] [CrossRef]
- Good, D.J.; Rodríguez-Hornedo, N. Solubility advantage of pharmaceutical cocrystals. Cryst. Growth Des. 2009, 9, 2252–2264. [Google Scholar] [CrossRef]
- Higuchi, W.I.; Parker, A.P.; Hamlin, W.E.J. Dissolution kinetics of a weak acid, 1,1-hexamethylene p-tolylsulfonylsemicarbazide, and its sodium salt. J. Pharm. Sci. 1965, 54, 8–11. [Google Scholar] [CrossRef]
- Shevchenko, A.; Bimbo, L.M.; Miroshnyk, I.; Haarala, J.; Jelínková, K.; Syrjänen, K.; van Veen, B.; Kiesvaara, J.; Santos, H.A.; Yliruusi, J. A new cocrystal and salts of itraconazole: Comparison of solid-state properties, stability and dissolution behavior. Int. J. Pharm. 2012, 436, 403–409. [Google Scholar] [CrossRef]
- Healy, A.M.; McCarthy, L.G.; Gallagher, K.M.; Corrigan, O.I. Sensitivity of dissolution rate to location in the paddle dissolution apparatus. J. Pharm. Pharmacol. 2002, 54, 441–444. [Google Scholar] [CrossRef]











| Title 1 | FLZ−24DHB−H2O | FLZ−34DHB−H2O | FLZ−34DHB−H2O | FLZ−34DHB−H2O | FLZ−34DHB−H2O |
|---|---|---|---|---|---|
| Formula | C16.5H17F2N6O4 | C16.5H17F2N6O4 | C20H20F2N6O6 | C20H20F2N6O6 | C20H20F2N6O7 |
| Formula weight | 401.36 | 401.36 | 478.42 | 478.42 | 494.42 |
| Crystal size (mm) | 0.16 × 0.28 × 0.47 | 0.21 × 0.28 × 0.39 | 0.17 × 0.26 × 0.38 | 0.24 × 0.28 × 0.45 | 0.03 × 0.18 × 0.39 |
| Description | block | block | plate | column | column |
| Crystal system | triclinic | triclinic | monoclinic | monoclinic | monoclinic |
| Space group | P−1 P | P | P21 | P21/n | P21/c |
| Unit cell parameters (Å, °) | 7.542 (1) | 7.475 (1) | 5.970 (1) | 8.497 (1) | 21.104 (1) |
| 7.960 (1) | 8.105 (1) | 14.762 (1) | 23.250 (1) | 7.425 (1) | |
| 15.683 (1) | 15.619 (1) | 11.971 (1) | 11.632 (1) | 13.951 (1) | |
| 90.51 (1) | 85.10 (1) | 90 | 90 | 90 | |
| 103.54 (1) | 76.48 (1) | 94.40 (1) | 103.23 (1) | 103.25 (1) | |
| 101.02 (1) | 79.33 (1) | 90 | 90 | 90 | |
| Volume (Å3) | 897.02 (5) | 903.22 (6) | 1051.85 (2) | 2236.91 (4) | 2128.13 (4) |
| Z/Z’ | 2/1 | 2/1 | 2/1 | 4/1 | 4/1 |
| Density (g cm−3) | 1.486 | 1.476 | 1.511 | 1.421 | 1.543 |
| Independent reflections | 3413 | 3427 | 3872 | 4369 | 4022 |
| Reflections with I > 2σ(I) | 3220 | 3245 | 3855 | 4028 | 3931 |
| Rint | 0.029 | 0.016 | 0.033 | 0.020 | 0.029 |
| final R, wR(F2) value | 0.041, 0.110 | 0.050, 0.145 | 0.029, 0.076 | 0.036, 0.094 | 0.041, 0.106 |
| GOF | 1.092 | 1.059 | 1.042 | 1.059 | 1.009 |
| Completeness | 0.980 | 0.975 | 0.989 | 0.998 | 0.981 |
| CCDC | 2203456 | 2203457 | 2203458 | 2203459 | 2203460 |
| Samples | τ1(°) | τ2(°) | τ3(°) | τ4(°) |
|---|---|---|---|---|
| FLZ | 174.77 | 68.20 | 56.74 | 57.75 |
| FLZ−24DHB−H2O (1:0.5:1) | −177.03 (10) | −55.20 (12) | 67.01 (13) | 64.67 (13) |
| FLZ−34DHB−H2O (1:0.5:1) | −177.76 (13) | −56.10 (17) | 66.17 (18) | 64.22 (18) |
| FLZ−34DHB−H2O (1:1:1) | 57.90 (1) | −45.60 (1) | −61.90 (1) | 72.90 (1) |
| FLZ−35DHB−H2O (1:1:1) | 179.41 (10) | −59.37 (12) | 56.32 (14) | 61.31 (12) |
| FLZ−345THB−H2O (1:1:1) | −173.17 (10) | −64.57 (14) | 68.88 (14) | 62.19 (14) |
| Compound | 2,4-Difluoro Phenol | Carbonyl Group |
|---|---|---|
| –O−H Stretch | –C=O Strech | |
| FLZ form II | 3117 | - |
| FLZ−24DHB−H2O (1:0.5:1) | 3512, 3110 | 1619 |
| FLZ−34DHB−H2O (1:0.5:1) | 3526, 3112 | 1668 (w) |
| FLZ−34DHB−H2O (1:1:1) | 3439 | 1594 |
| FLZ−35DHB−H2O (1:1:1) | 3472 | 1681 |
| FLZ−345THB−H2O (1:1:1) | 3453, 3339, 3121 | 1679 |
Publisher’s Note: MDPI stays neutral with regard to jurisdictional claims in published maps and institutional affiliations. |
© 2022 by the authors. Licensee MDPI, Basel, Switzerland. This article is an open access article distributed under the terms and conditions of the Creative Commons Attribution (CC BY) license (https://creativecommons.org/licenses/by/4.0/).
Share and Cite
Yu, H.; Zhang, B.; Liu, M.; Xing, W.; Hu, K.; Yang, S.; He, G.; Gong, N.; Du, G.; Lu, Y. Design, Preparation, Characterization and Evaluation of Five Cocrystal Hydrates of Fluconazole with Hydroxybenzoic Acids. Pharmaceutics 2022, 14, 2486. https://doi.org/10.3390/pharmaceutics14112486
Yu H, Zhang B, Liu M, Xing W, Hu K, Yang S, He G, Gong N, Du G, Lu Y. Design, Preparation, Characterization and Evaluation of Five Cocrystal Hydrates of Fluconazole with Hydroxybenzoic Acids. Pharmaceutics. 2022; 14(11):2486. https://doi.org/10.3390/pharmaceutics14112486
Chicago/Turabian StyleYu, Hongmei, Baoxi Zhang, Meiju Liu, Wenhui Xing, Kun Hu, Shiying Yang, Guorong He, Ningbo Gong, Guanhua Du, and Yang Lu. 2022. "Design, Preparation, Characterization and Evaluation of Five Cocrystal Hydrates of Fluconazole with Hydroxybenzoic Acids" Pharmaceutics 14, no. 11: 2486. https://doi.org/10.3390/pharmaceutics14112486
APA StyleYu, H., Zhang, B., Liu, M., Xing, W., Hu, K., Yang, S., He, G., Gong, N., Du, G., & Lu, Y. (2022). Design, Preparation, Characterization and Evaluation of Five Cocrystal Hydrates of Fluconazole with Hydroxybenzoic Acids. Pharmaceutics, 14(11), 2486. https://doi.org/10.3390/pharmaceutics14112486

