Antimicrobial Applications of Green Synthesized Bimetallic Nanoparticles from Ocimum basilicum
Abstract
1. Introduction
2. Materials and Methods
2.1. Materials
2.2. Tested Microorganisms
2.3. Preparation of Plant Extract and Synthesis of Bimetallic Nanoparticles
2.4. Biosynthesis of NPs
2.5. Dynamic Light Scattering and Zeta Potential
2.6. Fourier Transformed Infrared Spectroscopy
2.7. Transmission Electron Microscopy (TEM) Analysis
2.8. Disk Diffusion Test
2.9. Minimum Inhibition Concentration (MIC) Assay
2.10. Time Killing Test
2.11. Checkerboard Assay
2.12. MTT Assay
2.13. Statistical Analysis
3. Results
3.1. Synthesis of NPs and Characterization
3.2. Evaluation of Antibacterial Activity by Disk Diffusion Test
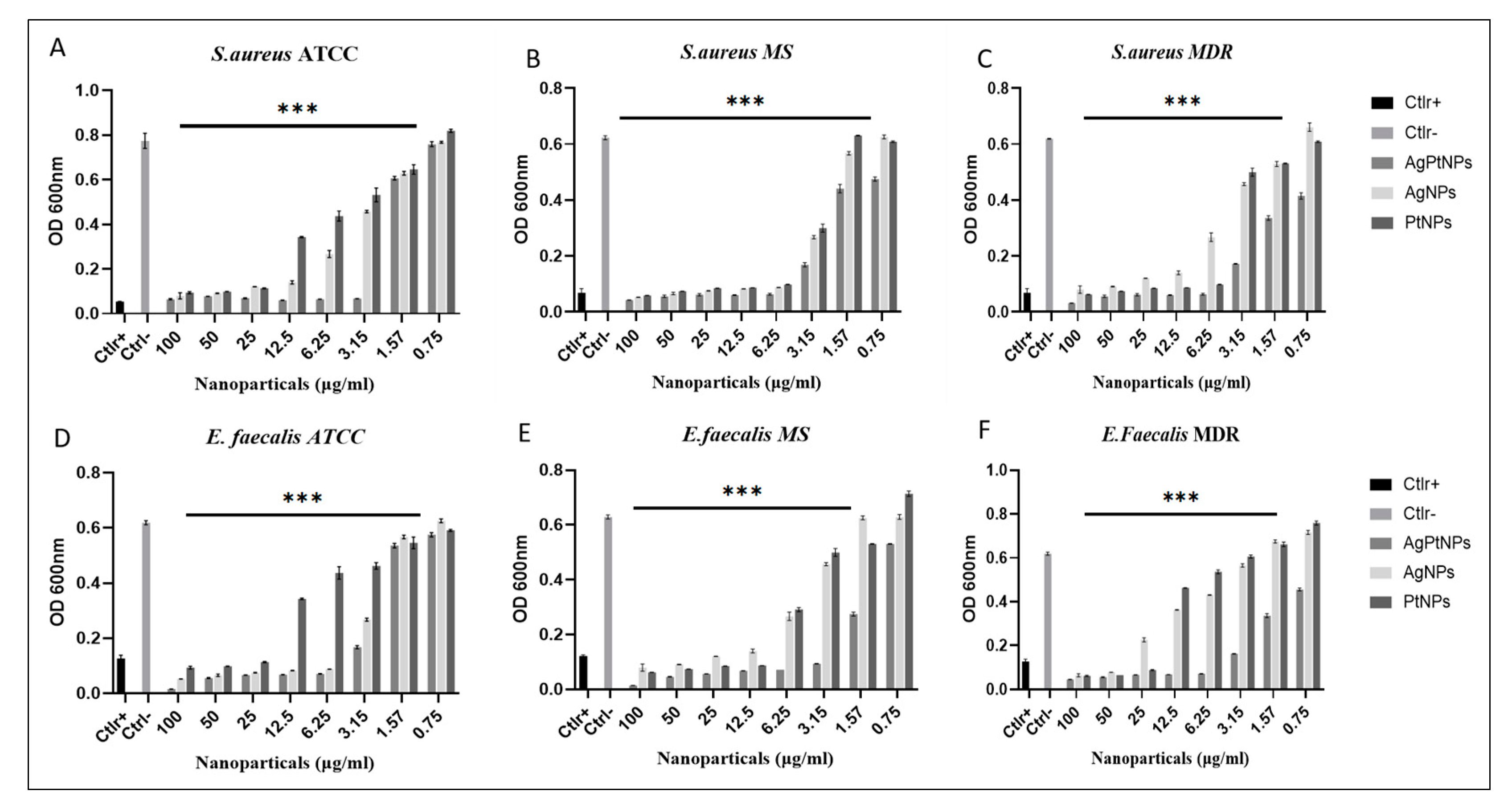
3.3. Evaluation of Antibacterial Activity by MIC
3.4. Evaluation of Synergistic Effect of AgPtNPs
3.5. Evaluation of Kinetic Action of NPs
3.6. Evaluation of Cell Viability against NPs Treatment
4. Discussion
5. Conclusions
Author Contributions
Funding
Institutional Review Board Statement
Informed Consent Statement
Data Availability Statement
Acknowledgments
Conflicts of Interest
References
- Staroń, A.; Długosz, O. Antimicrobial Properties of Nanoparticles in the Context of Advantages and Potential Risks of Their Use. J. Environ. Sci. Health Part A 2021, 56, 680–693. [Google Scholar] [CrossRef] [PubMed]
- Padilla-Cruz, A.L.; Garza-Cervantes, J.A.; Vasto-Anzaldo, X.G.; García-Rivas, G.; León-Buitimea, A.; Morones-Ramírez, J.R. Synthesis and Design of Ag–Fe Bimetallic Nanoparticles as Antimicrobial Synergistic Combination Therapies against Clinically Relevant Pathogens. Sci. Rep. 2021, 11, 5351. [Google Scholar] [CrossRef] [PubMed]
- Gupta, A.; Makabenta, J.M.V.; Schlüter, F.; Landis, R.F.; Das, R.; Cuppels, M.; Rotello, V.M. Functionalized Polymers Enhance Permeability of Antibiotics in Gram-Negative MDR Bacteria and Biofilms for Synergistic Antimicrobial Therapy. Adv. Therap. 2020, 3, 2000005. [Google Scholar] [CrossRef] [PubMed]
- Yaqoob, A.A.; Ahmad, H.; Parveen, T.; Ahmad, A.; Oves, M.; Ismail, I.M.I.; Qari, H.A.; Umar, K.; Mohamad Ibrahim, M.N. Recent Advances in Metal Decorated Nanomaterials and Their Various Biological Applications: A Review. Front. Chem. 2020, 8, 341. [Google Scholar] [CrossRef] [PubMed]
- Huh, A.J.; Kwon, Y.J. “Nanoantibiotics”: A New Paradigm for Treating Infectious Diseases Using Nanomaterials in the Antibiotics Resistant Era. J. Control. Release 2011, 156, 128–145. [Google Scholar] [CrossRef]
- Martinez-Gutierrez, F.; Olive, P.L.; Banuelos, A.; Orrantia, E.; Nino, N.; Sanchez, E.M.; Ruiz, F.; Bach, H.; Av-Gay, Y. Synthesis, Characterization, and Evaluation of Antimicrobial and Cytotoxic Effect of Silver and Titanium Nanoparticles. Nanomed. Nanotechnol. Biol. Med. 2010, 6, 681–688. [Google Scholar] [CrossRef]
- Phippen, W.B.; Simon, J.E. Anthocyanins in Basil (Ocimum basilicum L.). J. Agric. Food Chem. 1998, 46, 1734–1738. [Google Scholar] [CrossRef]
- Pirtarighat, S.; Ghannadnia, M.; Baghshahi, S. Biosynthesis of Silver Nanoparticles Using Ocimum basilicum Cultured under Controlled Conditions for Bactericidal Application. Mater. Sci. Eng. C 2019, 98, 250–255. [Google Scholar] [CrossRef]
- Grayer, R.J.; Kite, G.C.; Goldstone, F.J.; Bryan, S.E.; Paton, A.; Putievsky, E. Infraspecific Taxonomy and Essential Oil Chemotypes in Sweet Basil, Ocimum basilicum. Phytochemistry 1996, 43, 1033–1039. [Google Scholar] [CrossRef]
- Chalchat, J.-C.; Garry, R.-P.; Sidibé, L.; Harama, M. Aromatic Plants of Mali (I): Chemical Composition of Essential Oils of Ocimum basilicum L. J. Essent. Oil Res. 1999, 11, 375–380. [Google Scholar] [CrossRef]
- Gold, M.; Tomberlin, J.K.; Diener, S.; Zurbrügg, C.; Mathys, A. Decomposition of Biowaste Macronutrients, Microbes, and Chemicals in Black Soldier Fly Larval Treatment: A Review. Waste Manag. 2018, 82, 302–318. [Google Scholar] [CrossRef] [PubMed]
- Loza, K.; Heggen, M.; Epple, M. Synthesis, Structure, Properties, and Applications of Bimetallic Nanoparticles of Noble Metals. Adv. Funct. Mater. 2020, 30, 1909260. [Google Scholar] [CrossRef]
- Ranpariya, B.; Salunke, G.; Karmakar, S.; Babiya, K.; Sutar, S.; Kadoo, N.; Kumbhakar, P.; Ghosh, S. Antimicrobial Synergy of Silver-Platinum Nanohybrids With Antibiotics. Front. Microbiol. 2021, 11, 610968. [Google Scholar] [CrossRef] [PubMed]
- Zanti, G.; Peeters, D. DFT Study of Bimetallic Palladium−Gold Clusters Pd n Au m of Low Nuclearities (n + m ≤ 14). J. Phys. Chem. A 2010, 114, 10345–10356. [Google Scholar] [CrossRef]
- Olajire, A.A.; Kareem, A.; Olaleke, A. Green Synthesis of Bimetallic Pt@Cu Nanostructures for Catalytic Oxidative Desulfurization of Model Oil. J. Nanostruct. Chem. 2017, 7, 159–170. [Google Scholar] [CrossRef]
- Kalita, N.K.; Ganguli, J.N. Hibiscus sabdariffa L. Leaf Extract Mediated Green Synthesis of Silver Nanoparticles and Its Use in Catalytic Reduction of 4-Nitrophenol. Inorg. Nano-Met. Chem. 2017, 47, 788–793. [Google Scholar] [CrossRef]
- Abdelsattar, A.S.; Hakim, T.A.; Rezk, N.; Farouk, W.M.; Hassan, Y.Y.; Gouda, S.M.; El-Shibiny, A. Green Synthesis of Silver Nanoparticles Using Ocimum basilicum L. and Hibiscus Sabdariffa L. Extracts and Their Antibacterial Activity in Combination with Phage ZCSE6 and Sensing Properties. J. Inorg. Organomet. Polym. 2022, 32, 1951–1965. [Google Scholar] [CrossRef]
- Silver, S. Bacterial Silver Resistance: Molecular Biology and Uses and Misuses of Silver Compounds. FEMS Microbiol. Rev. 2003, 27, 341–353. [Google Scholar] [CrossRef]
- Rathod, D.; Golinska, P.; Wypij, M.; Dahm, H.; Rai, M. A New Report of Nocardiopsis Valliformis Strain OT1 from Alkaline Lonar Crater of India and Its Use in Synthesis of Silver Nanoparticles with Special Reference to Evaluation of Antibacterial Activity and Cytotoxicity. Med. Microbiol. Immunol. 2016, 205, 435–447. [Google Scholar] [CrossRef]
- Shinde, S.; Folliero, V.; Chianese, A.; Zannella, C.; De Filippis, A.; Rosati, L.; Prisco, M.; Falanga, A.; Mali, A.; Galdiero, M.; et al. Synthesis of Chitosan-Coated Silver Nanoparticle Bioconjugates and Their Antimicrobial Activity against Multidrug-Resistant Bacteria. Appl. Sci. 2021, 11, 9340. [Google Scholar] [CrossRef]
- Ghasemi, F.; Jalal, R. Antimicrobial Action of Zinc Oxide Nanoparticles in Combination with Ciprofloxacin and Ceftazidime against Multidrug-Resistant Acinetobacter baumannii. J. Glob. Antimicrob. Resist. 2016, 6, 118–122. [Google Scholar] [CrossRef] [PubMed]
- Xie, Y.; He, Y.; Irwin, P.L.; Jin, T.; Shi, X. Antibacterial Activity and Mechanism of Action of Zinc Oxide Nanoparticles against Campylobacter jejuni. Appl. Environ. Microbiol. 2011, 77, 2325–2331. [Google Scholar] [CrossRef] [PubMed]
- Fadwa, A.O.; Alkoblan, D.K.; Mateen, A.; Albarag, A.M. Synergistic Effects of Zinc Oxide Nanoparticles and Various Antibiotics Combination against Pseudomonas aeruginosa Clinically Isolated Bacterial Strains. Saudi J. Biol. Sci. 2021, 28, 928–935. [Google Scholar] [CrossRef] [PubMed]
- Ameen, F. Optimization of the Synthesis of Fungus-Mediated Bi-Metallic Ag-Cu Nanoparticles. Appl. Sci. 2022, 12, 1384. [Google Scholar] [CrossRef]
- Indhira, D.; Krishnamoorthy, M.; Ameen, F.; Bhat, S.A.; Arumugam, K.; Ramalingam, S.; Priyan, S.R.; Kumar, G.S. Biomimetic Facile Synthesis of Zinc Oxide and Copper Oxide Nanoparticles from Elaeagnus Indica for Enhanced Photocatalytic Activity. Environ. Res. 2022, 212, 113323. [Google Scholar] [CrossRef]
- Spiridigliozzi, L.; Bortolotti, M.; Accardo, G.; Vergara, A.; Frattini, D.; Ferone, C.; Cioffi, R.; Dell’Agli, G. An In-Depth Multi-Technique Characterization of Rare Earth Carbonates—RE2(CO3)3·2H2O—Owning Tengerite-Type Structure. J. Rare Earths 2022, 40, 1281–1290. [Google Scholar] [CrossRef]
- Loo, Y.Y.; Rukayadi, Y.; Nor-Khaizura, M.-A.-R.; Kuan, C.H.; Chieng, B.W.; Nishibuchi, M.; Radu, S. In Vitro Antimicrobial Activity of Green Synthesized Silver Nanoparticles Against Selected Gram-Negative Foodborne Pathogens. Front. Microbiol. 2018, 9, 1555. [Google Scholar] [CrossRef]
- Gupta, A.; Saleh, N.M.; Das, R.; Landis, R.F.; Bigdeli, A.; Motamedchaboki, K.; Rosa Campos, A.; Pomeroy, K.; Mahmoudi, M.; Rotello, V.M. Synergistic Antimicrobial Therapy Using Nanoparticles and Antibiotics for the Treatment of Multidrug-Resistant Bacterial Infection. Nano Futures 2017, 1, 015004. [Google Scholar] [CrossRef]
- Joshi, R. Chemical Composition and Antimicrobial Activity of the Essential Oil of Ocimum basilicum L. (Sweet Basil) from Western Ghats of North West Karnataka, India. Ancient Sci. Life 2014, 33, 149. [Google Scholar] [CrossRef]
- Hong, T.; Yin, J.-Y.; Nie, S.-P.; Xie, M.-Y. Applications of Infrared Spectroscopy in Polysaccharide Structural Analysis: Progress, Challenge and Perspective. Food Chem. X 2021, 12, 100168. [Google Scholar] [CrossRef]
- Unuofin, J.O.; Oladipo, A.O.; Msagati, T.A.M.; Lebelo, S.L.; Meddows-Taylor, S.; More, G.K. Novel Silver-Platinum Bimetallic Nanoalloy Synthesized from Vernonia Mespilifolia Extract: Antioxidant, Antimicrobial, and Cytotoxic Activities. Arab. J. Chem. 2020, 13, 6639–6648. [Google Scholar] [CrossRef]
- Rai, M.K.; Deshmukh, S.D.; Ingle, A.P.; Gade, A.K. Silver Nanoparticles: The Powerful Nanoweapon against Multidrug-Resistant Bacteria: Activity of Silver Nanoparticles against MDR Bacteria. J. Appl. Microbiol. 2012, 112, 841–852. [Google Scholar] [CrossRef] [PubMed]
- Biel, M.A.; Sievert, C.; Usacheva, M.; Teichert, M.; Balcom, J. Antimicrobial Photodynamic Therapy Treatment of Chronic Recurrent Sinusitis Biofilms. Int. Forum Allergy Rhinol. 2011, 1, 329–334. [Google Scholar] [CrossRef] [PubMed]
- Kuppusamy, P.; Yusoff, M.M.; Maniam, G.P.; Govindan, N. Biosynthesis of Metallic Nanoparticles Using Plant Derivatives and Their New Avenues in Pharmacological Applications—An Updated Report. Saudi Pharm. J. 2016, 24, 473–484. [Google Scholar] [CrossRef] [PubMed]
- Chopade, B.; Ghosh, S.; Nitnavare, R.; Dewle, A.; Tomar, G.B.; Chippalkatti, R.; More, P.; Kitture, R.; Kale, S.; Bellare, J. Novel Platinum–Palladium Bimetallic Nanoparticles Synthesized by Dioscorea Bulbifera: Anticancer and Antioxidant Activities. IJN 2015, 10, 7477. [Google Scholar] [CrossRef]
- Grasmik, V.; Breisch, M.; Loza, K.; Heggen, M.; Köller, M.; Sengstock, C.; Epple, M. Synthesis and Biological Characterization of Alloyed Silver–Platinum Nanoparticles: From Compact Core–Shell Nanoparticles to Hollow Nanoalloys. RSC Adv. 2018, 8, 38582–38590. [Google Scholar] [CrossRef]
- Saeb, A.T.M.; Alshammari, A.S.; Al-Brahim, H.; Al-Rubeaan, K.A. Production of Silver Nanoparticles with Strong and Stable Antimicrobial Activity against Highly Pathogenic and Multidrug Resistant Bacteria. Sci. World J. 2014, 2014, 704708. [Google Scholar] [CrossRef]
- Das, M.; Smita, S.S. Biosynthesis of Silver Nanoparticles Using Bark Extracts of Butea Monosperma (Lam.) Taub. and Study of Their Antimicrobial Activity. Appl. Nanosci. 2018, 8, 1059–1067. [Google Scholar] [CrossRef]
- Vazquez-Muñoz, R.; Meza-Villezcas, A.; Fournier, P.G.J.; Soria-Castro, E.; Juarez-Moreno, K.; Gallego-Hernández, A.L.; Bogdanchikova, N.; Vazquez-Duhalt, R.; Huerta-Saquero, A. Enhancement of Antibiotics Antimicrobial Activity Due to the Silver Nanoparticles Impact on the Cell Membrane. PLoS ONE 2019, 14, e0224904. [Google Scholar] [CrossRef]
- Selvi, A.M.; Palanisamy, S.; Jeyanthi, S.; Vinosha, M.; Mohandoss, S.; Tabarsa, M.; You, S.; Kannapiran, E.; Prabhu, N.M. Synthesis of Tragia Involucrata Mediated Platinum Nanoparticles for Comprehensive Therapeutic Applications: Antioxidant, Antibacterial and Mitochondria-Associated Apoptosis in HeLa Cells. Process. Biochem. 2020, 98, 21–33. [Google Scholar] [CrossRef]
- Malapermal, V.; Botha, I.; Krishna, S.B.N.; Mbatha, J.N. Enhancing Antidiabetic and Antimicrobial Performance of Ocimum basilicum, and Ocimum sanctum (L.) Using Silver Nanoparticles. Saudi J. Biol. Sci. 2017, 24, 1294–1305. [Google Scholar] [CrossRef] [PubMed]
- Khair-ul-Bariyah, S. An Extensive Survey of the Phytochemistry and Therapeutic Potency of Ocimum Sanctum (Queen of Herbs). Pak. J. Chem 2013, 3, 8–18. [Google Scholar] [CrossRef]











| Antibiotic Resistance Profile of the ATCC Bacterial Strains | ||
|---|---|---|
| Antibiotics | MIC (mg/L) | Interpretation |
| S. aureus ATCC 6538 | ||
| Fusidic acid | ≤0.5 | S |
| Daptomycin | 0.25 | S |
| Erythromycin | ≤0.25 | S |
| Fosfomycin | ≤8 | S |
| Gentamicin | ≤0.5 | S |
| Linezolid | 2 | S |
| Levofloxacin | ≤0.12 | S |
| Oxacillin | ≤0.25 | S |
| Teicoplanin | ≤0.5 | S |
| Tetracycline | ≤1 | S |
| Tigecycline | ≤0.12 | S |
| Trimethoprim/sulfamethoxazole | ≤10 | S |
| Vancomycin | 0.5 | S |
| Penicillin | ≤0.03 | S |
| Rifampicin | ≤0.03 | S |
| E. faecalis ATCC 29212 | ||
| Ampicillin | 2 | S |
| Gentamicin/syn | 500 | S |
| Imipenem | 1 | S |
| Linezolid | 2 | S |
| Teicoplanin | 0.5 | S |
| Tigecycline | 0.12 | S |
| Vancomycin | 2 | S |
| Cefuroxime | 64 | R |
| E. coli ATCC 11229 | ||
| Amikacin | 2 | S |
| Amoxicillin/clavulanate | 2 | S |
| Ampicillin | 8 | S |
| Cefepime | 1 | S |
| Cefotaxime | 1 | S |
| Ceftazidime | 1 | S |
| Cefuroxime | 4 | S |
| Ciprofloxacin | 0.25 | S |
| Ertapenem | 0.5 | S |
| Fosfomycin | 16 | S |
| Gentamicin | 1 | S |
| Imipenem | 0.25 | S |
| Levofloxacin | 0.5 | S |
| Meropenem | 0.25 | S |
| Piperacillin | 8 | S |
| Piperacillin/tazobactam | 4 | S |
| Tobramycin | 1 | S |
| Trimethoprim/sulfamethoxazole | 20 | S |
| Tigecycline | 0.5 | S |
| K. pneumoniae ATCC 10031 | ||
| Ciprofloxacin | 0.25 | S |
| Fosfomycin | 16 | S |
| Ampicillin | 8 | S |
| Gentamicin | 1 | S |
| Trimethoprim/sulfamethoxazole | 20 | S |
| Amikacin | 2 | S |
| Amoxicillin/clavulanate | 2 | S |
| Cefepime | 1 | S |
| Cefotaxime | 1 | S |
| Cefotaxime | 1 | S |
| Ertapenem | 0.5 | S |
| Imipenem | 0.5 | S |
| Meropenem | 0.25 | S |
| Piperacillin/tazobactam | 4 | S |
| Colistin | 0.5 | S |
| Antibiotic Resistance Profile of the Clinical Isolated Bacteria | ||
|---|---|---|
| Antibiotics | MIC (mg/L) | Interpretation |
| S. aureus MS | ||
| Fusidic acid | 0.5 | S |
| Daptomycin | 0.25 | S |
| Erythromycin | 0.25 | S |
| Fosfomycin | 8 | S |
| Gentamicin | 0.5 | S |
| Linezolid | 2 | S |
| Levofloxacin | 0.12 | S |
| Oxacillin | 0.25 | S |
| Teicoplanin | 0.5 | S |
| Tetracycline | 1 | S |
| Tigecycline | 0.12 | S |
| Trimethoprim/sulfamethoxazole | 10 | S |
| Vancomycin | 0.5 | S |
| Penicillin | 0.03 | S |
| S. aureus MDR | ||
| Fusidic acid | 0.5 | S |
| Daptomycin | 0.25 | S |
| Erythromycin | 4 | R |
| Fosfomycin | 64 | R |
| Gentamicin | 8 | R |
| Linezolid | 2 | S |
| Levofloxacin | 8 | R |
| Oxacillin | 2 | R |
| Teicoplanin | 0.5 | S |
| Tetracycline | 1 | S |
| Tigecycline | 0.12 | S |
| Trimethoprim/sulfamethoxazole | 20 | S |
| Vancomycin | 0.5 | S |
| Penicillin | 0.25 | R |
| Rifampicin | 2 | R |
| E. faecalis MS | ||
| Ampicillin | 2 | S |
| Gentamicin/syn | 500 | S |
| Imipenem | 2 | S |
| Linezolid | 2 | S |
| Teicoplanin | 0.5 | S |
| Tigecycline | 0.25 | S |
| Vancomycin | 2 | S |
| Cefuroxime | 64 | R |
| E. faecalis MDR | ||
| Ampicillin | 8 | R |
| Gentamicin/syn | 500 | R |
| Imipenem | 8 | R |
| Linezolid | 2 | S |
| Teicoplanin | 0.5 | S |
| Tigecycline | 0.25 | R |
| Vancomycin | 2 | S |
| E. coli MS | ||
| Amikacin | 2 | S |
| Amoxicillin/clavulanate | 2 | S |
| Ampicillin | 8 | S |
| Cefepime | 1 | S |
| Cefotaxime | 1 | S |
| Ceftazidime | 1 | S |
| Cefuroxime | 4 | S |
| Ciprofloxacin | 0.25 | S |
| Ertapenem | 0.5 | S |
| Fosfomycin | 16 | S |
| Gentamicin | 1 | S |
| Imipenem | 0.25 | S |
| Levofloxacin | 0.5 | S |
| Meropenem | 0.25 | S |
| Piperacillin | 8 | S |
| Piperacillin/tazobactam | 4 | S |
| Tobramycin | 1 | S |
| Trimethoprim/sulfamethoxazole | 20 | S |
| Tigecycline | 0.5 | S |
| E. coli MDR | ||
| Amikacin | 16 | R |
| Amoxicillin/clavulanate | 32/2 | R |
| Ampicillin | 8 | R |
| Cefepime | 8 | R |
| Cefotaxime | 4 | R |
| Ceftazidime | 8 | R |
| Cefuroxime | 8 | R |
| Ciprofloxacin | 1 | R |
| Ertapenem | 0.25 | R |
| Fosfomycin | 16 | R |
| Gentamicin | 4 | R |
| Imipenem | 0.25 | R |
| Levofloxacin | 2 | R |
| Meropenem | 0.125 | R |
| Piperacillin | 16 | R |
| Piperacillin/tazobactam | 16/4 | R |
| Tobramycin | 4 | R |
| Trimethoprim/sulfamethoxazole | 1/19 | R |
| Tigecycline | 1 | R |
| K. pneumoniae MS | ||
| Ciprofloxacin | 0.25 | S |
| Fosfomycin | 16 | S |
| Ampicillin | 1 | S |
| Gentamicin | 20 | S |
| Trimethoprim/sulfamethoxazole | 2 | S |
| Amikacin | 8 | S |
| Amoxicillin/clavulanate | 2 | S |
| Cefepime | 1 | S |
| Cefotaxime | 1 | S |
| Cefotaxime | 1 | S |
| Ertapenem | 0.5 | S |
| Imipenem | 0.25 | S |
| Meropenem | 0.25 | S |
| Piperacillin/tazobactam | 4 | S |
| Colistin | 0.5 | S |
| K. pneumoniae MDR | ||
| Ciprofloxacin | 4 | R |
| Fosfomycin | 64 | S |
| Ampicillin | 1 | S |
| Gentamicin | 320 | R |
| Trimethoprim/sulfamethoxazole | 64 | R |
| Amikacin | 32 | R |
| Amoxicillin/clavulanate | 8 | R |
| Cefepime | 64 | R |
| Cefotaxime | 64 | R |
| Cefotaxime | 64 | R |
| Ertapenem | 8 | R |
| Imipenem | 16 | R |
| Meropenem | 16 | R |
| Piperacillin/tazobactam | 128 | R |
| Colistin | 0.5 | S |
| Bacterial Strain | Zone of Inhibition (mm) | |||
|---|---|---|---|---|
| AgPtNPs | AgNPs Alone | PtNPs Alone | Control Positive | |
| S. aureus ATCC | 14.3 ± 1.374 | 9.3 ± 0.608 | 6.2 ± 0.264 | 30.76 ± 0.737 |
| S. aureus MS | 18.56 ± 1.040 | 9.03 ± 0.057 | 7.76 ± 0.251 | 31.3 ± 0.793 |
| S. aureus MDR | 21.43 ± 0.896 | 10.66 ± 0.577 | 9.43 ± 0.513 | 31.72 ± 2.44 |
| E. coli ATCC | 13.87 ± 1.205 | 8.33 ± 0.577 | 6.46 ± 0.503 | 37.76 ± 2.21 |
| E. coli MS | 9.633 ± 0.721 | 6.23 ± 0.321 | 6 ± 0 | 36.63 ± 1.35 |
| E. coli MDR | 14.9 ± 1.069 | 8.8 ± 0.435 | 6.83 ± 0.288 | 38.86 ± 1.001 |
| E. faecalis ATCC | 18.9 ± 0.950 | 9.56 ± 0.513 | 9.53 ± 0.50 | 30.73 ± 0.763 |
| E. faecalis MS | 21.033 ± 0.650 | 10.96 ± 0.950 | 9.2 ± 0.346 | 29.46 ± 0.602 |
| E. faecalis MDR | 23.16 ± 0.472 | 9.9 ± 0.854 | 9.8 ± 0.173 | 29.5 ± 1.539 |
| K. pneumoniae ATCC | 13.63 ± 0.550 | 9.63 ± 0.550 | 6.66 ± 0.577 | 37.2 ± 2.264 |
| K. pneumoniae MS | 18.4 ± 0.781 | 7.3 ± 0.608 | 6.33 ± 0.577 | 38.53 ± 1.266 |
| K. pneumoniae MDR | 19.86 ± 0.115 | 9.6 ± 0.529 | 8.83 ± 0.288 | 38.46 ± 1.3012 |
| Bacterial Strain | MIC Value (µg/mL) | ||
|---|---|---|---|
| AgPtNPs | AgNPs | PtNPs | |
| S. aureusATCC | 3.12 | 6.25 | 12.5 |
| S. aureus MS | 1.56 | 3.12 | 3.12 |
| S. aureus MDR | 1.56 | 6.25 | 3.12 |
| E. faecalisATCC | 3.12 | 3.12 | 6.25 |
| E. faecalis MS | 3.12 | 6.25 | 6.25 |
| E. faecalis MDR | 3.12 | 6.25 | 12.5 |
| Bacterial Strain | MIC Value (µg/mL) | ||
|---|---|---|---|
| AgPtNPs | AgNPs | PtNPs | |
| E. coli ATCC | 1.56 | 25 | 25 |
| E. coli MS | 1.56 | 6.25 | 6.25 |
| E. coli MDR | 3.25 | 6.25 | 12.5 |
| K. pneumoniae ATCC | 3.25 | 12.5 | 12.5 |
| K. pneumoniae MS | 1.56 | 12.5 | 6.25 |
| K. pneumoniae MDR | 1.56 | 6.25 | 6.25 |
| Test Organism | FIC Index | Effect |
|---|---|---|
| S. aureusATCC | 0 | Synergistic effect |
| S. aureus MS | 0.46 | Synergistic effect |
| S. aureus MDR | 0.5 | Synergistic effect |
| E. coli ATCC | 0.326 | Synergistic effect |
| E. coli MS | 0.45 | Synergistic effect |
| E. coli MDR | 0.376 | Synergistic effect |
| E. faecalisATCC | 0.46 | Synergistic effect |
| E. faecalis MS | 0.66 | Additive effect |
| E. faecalis MDR | 0.5 | Additive effect |
| K. pneumoniae ATCC | 0.31 | Synergistic effect |
| K. pneumoniae MS | 0.31 | Synergistic effect |
| K. pneumoniae MDR | 0.75 | Additive effect |
Publisher’s Note: MDPI stays neutral with regard to jurisdictional claims in published maps and institutional affiliations. |
© 2022 by the authors. Licensee MDPI, Basel, Switzerland. This article is an open access article distributed under the terms and conditions of the Creative Commons Attribution (CC BY) license (https://creativecommons.org/licenses/by/4.0/).
Share and Cite
More, P.R.; Zannella, C.; Folliero, V.; Foglia, F.; Troisi, R.; Vergara, A.; Franci, G.; De Filippis, A.; Galdiero, M. Antimicrobial Applications of Green Synthesized Bimetallic Nanoparticles from Ocimum basilicum. Pharmaceutics 2022, 14, 2457. https://doi.org/10.3390/pharmaceutics14112457
More PR, Zannella C, Folliero V, Foglia F, Troisi R, Vergara A, Franci G, De Filippis A, Galdiero M. Antimicrobial Applications of Green Synthesized Bimetallic Nanoparticles from Ocimum basilicum. Pharmaceutics. 2022; 14(11):2457. https://doi.org/10.3390/pharmaceutics14112457
Chicago/Turabian StyleMore, Pragati Rajendra, Carla Zannella, Veronica Folliero, Francesco Foglia, Romualdo Troisi, Alessandro Vergara, Gianluigi Franci, Anna De Filippis, and Massimiliano Galdiero. 2022. "Antimicrobial Applications of Green Synthesized Bimetallic Nanoparticles from Ocimum basilicum" Pharmaceutics 14, no. 11: 2457. https://doi.org/10.3390/pharmaceutics14112457
APA StyleMore, P. R., Zannella, C., Folliero, V., Foglia, F., Troisi, R., Vergara, A., Franci, G., De Filippis, A., & Galdiero, M. (2022). Antimicrobial Applications of Green Synthesized Bimetallic Nanoparticles from Ocimum basilicum. Pharmaceutics, 14(11), 2457. https://doi.org/10.3390/pharmaceutics14112457

