Abstract
Glaucoma is one of the leading causes of irreversible blindness worldwide. It is characterized by progressive optic neuropathy in association with damage to the optic nerve head and, subsequently, visual loss if it is left untreated. Among the drug classes used for the long-term treatment of open-angle glaucoma, prostaglandin analogues (PGAs) are the first-line treatment and are available as marketed eye drop formulations for intraocular pressure (IOP) reduction by increasing the trabecular and uveoscleral outflow. PGAs have low aqueous solubility and are very unstable (i.e., hydrolysis) in aqueous solutions, which may hamper their ocular bioavailability and decrease their chemical stability. Additionally, treatment with PGA in conventional eye drops is associated with adverse effects, such as conjunctival hyperemia and trichiasis. It has been a very challenging for formulation scientists to develop stable aqueous eye drop formulations that increase the PGAs’ solubility and enhance their therapeutic efficacy while simultaneously lowering their ocular side effects. Here the physiochemical properties and chemical stabilities of the commercially available PGAs are reviewed, and the compositions of their eye drop formulations are discussed. Furthermore, the novel PGA formulations for glaucoma treatment are reviewed.
1. Introduction
Glaucoma is a group of eye diseases that causes the progressive degeneration of the retinal ganglion cells and the retinal nerve fiber layer. The most common type of glaucoma is primary open-angle glaucoma (POAG), representing 74% of all glaucoma cases [1]. POAG is caused by the obstruction of the aqueous humor outflow within the trabecular network which increases the intraocular pressure (IOP) with consequent optic nerve damage [1,2]. Prostaglandins (PGs) are eicosanoids derived from arachidonic acid and other polyunsaturated fatty acids which have diverse biological activities, including the relaxation of smooth muscles. In general, PGs are lipophilic, chemically unstable, and poorly water-soluble compounds composed of a cyclopentane ring with two side chains [3,4].
In 1977, Camras, Bito and Eakins [5] showed that PGF2α lowered the IOP in rabbits. It was discovered that PGs reduce the IOP by enhancing the aqueous humor outflow, and the first antiglaucoma prostaglandin analog (PGA), latanoprost, received the Food and Drug Administration’s approval between August 2000 and March 2001 [6]. Now PGAs are considered the drugs of choice for the treatment of POAG [7,8]. Currently there are five PGAs marketed as aqueous eye drops. These are 0.01% bimatoprost ophthalmic solution (Lumigan®, Allergan, Irvine, CA, USA), 0.005% latanoprost ophthalmic solution (Xalatan®, Pfizer, New York, NY, USA) and emulsion (Xelpros®, Sun Ophthalmics, Cranbury, NJ, USA), 0.024% latanoprostene bunod ophthalmic solution (Vyzulta®, Bausch & Lomb, Bridgewater, NJ, USA), 0.0015% tafluprost ophthalmic solution (Taflotan®, Santen, Osaka, Japan, and Zioptan®, Akron, Lake Forest, IL, USA/Merck, Kenilworth, NJ, USA), 0.004% travoprost ophthalmic solution (Travatan®, in Europe) and Travatan Z® (in the USA, Novartis, Cambridge, MA, USA). All these PGA are PGF2α derivatives; four are ester prodrugs of the corresponding acids, while one, bimatoprost, is an amide prodrug (Table 1). For example, latanoprost is an isopropyl ester (i.e., a prodrug) of latanoprost acid, which is a PGF2α analog. Likewise, tafluprost and travoprost are isopropyl ester prodrugs of tafluprost acid and travoprost acid, respectively. Latanoprost is hydrolyzed by the corneal esterase to yield the biologically active agent latanoprost acid [6]. Bimatoprost is also rapidly hydrolyzed by ocular esterase to the biologically active bimatoprost acid [9].
Table 1.
Structure and physicochemical properties of prostaglandin F2α and its analogs, which are currently used in ophthalmology.
Bimatoprost, latanoprost, tafluprost and travoprost appear to have very comparable efficacy regarding IOP reduction in patients with primary open-angle glaucoma [10]. Latanoprostene bunod is a prodrug of two active entities, latanoprost acid and butanediol mononitrate, which yields nitric oxide [11]. Nitric oxide lowers the IOP and improves the ocular blood flow, both of which can result in neuroprotection [12]. Thus, latanoprostene bunod might have some therapeutic advantages over the other PGAs, although the difference was shown to be insignificant with regard to the reduction in IOP [13]. An enhanced therapeutic efficacy has been obtained by combining the PGAs with non-prostaglandin IOP-lowering drugs. Examples of such combinations are 0.005% latanoprost with 0.02% netarsudil (Roclanda®, Aerie Pharmaceuticals, Durham, NC, USA), 0.005% latanoprost with 0.5% timolol (Xalacom®, Pfizer, New York, NY, USA), 0.03% bimatoprost with 0.5% timolol (Ganfort®, Allergan, Irvine, CA, USA), 0.004% travoprost with 0.5% timolol (DuoTrav®, Novartis, Basel, Switzerland) and 0.0015% tafluprost with 0.5% timolol (Taptiqom®, Santen, Osaka, Japan).
The monographs for latanoprost, latanoprost compounded topical solution, travoprost and travoprost ophthalmic solution are in the USP43-NF38, while the Ph. Eur. 10.3 only has a monograph for latanoprost. The following is a review of the physiochemical properties of the PGAs currently used in ophthalmology, their solubilization and stability in aqueous solutions and the composition of their eye drop formulations.
2. Physicochemical Properties and Eye Drop Formulations
PGAs reduce the IOP by ciliary muscle relaxation and increased aqueous humor outflow [14]. Thus, when applied topically to the eye, the PGA molecules must permeate the cornea into the aqueous humor to access their receptors. Po/w is the partition coefficient (i.e., the concentration ratio at equilibrium) of an uncharged molecule between 1-octanol and water, while Do/w is the partition coefficient of an ionizable compound at some fixed pH or ionization. Compounds with low Po/w are hydrophilic and, in general, water-soluble, while compounds with high Po/w are lipophilic and poorly soluble in water. The optimal LogPo/w value (i.e., 10-logarithm of Po/w) for drug permeation from the aqueous tear fluid, through the cornea and into the aqueous humor is between 1 and 3, in which the drugs with LogPo/w values less than 1 or greater than about 3 display a decreased ability to permeate the lipophilic cornea [15]. Prostaglandin F2α and latanoprost acid are fully ionized in the tear fluid with a LogDo/w value much less than unity, while their PGAs (i.e., ester prodrug analogues) have LogPo/w values between 3.8 and 4.8, except bimatoprost (i.e., the amide prodrug analog) which has a LogPo/w value of 2.8 (Table 1). Accordingly, bimatoprost has the optimal LogPo/w value for transcorneal permeation, while the acids are too hydrophilic at a physiologic pH and the other PGAs a bit too lipophilic.
All the PGAs in Table 1 are practically insoluble in water, although bimatoprost appears to be slightly more soluble than the other PGAs in the table. The more optimal lipophilicity and slightly greater solubility increases the ability of bimatoprost to permeate from the aqueous tear fluid into the eye and can explain the slightly greater efficacy of bimatoprost compared to the other PGAs [10,13]. The PGAs are very potent drugs with low aqueous solubility which are administered topically to the eye in close to PGA saturated aqueous eye drop solutions. In other words, the dissolved PGA molecules will possess a high level of thermodynamic activity in the aqueous exterior and, thus, the molecules will have the maximum tendency to partition from the aqueous tear fluid into the lipophilic cornea [16,17]. This enhances their ability to permeate into the eye in spite of their greater than optimum LogPo/w value.
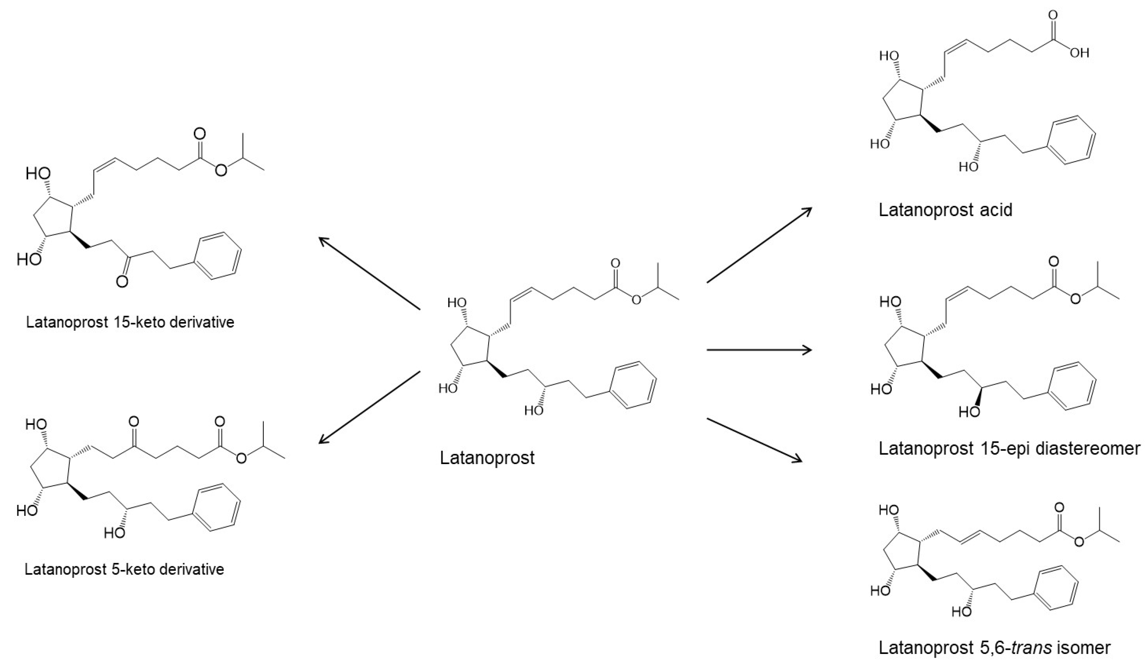
The PGs are derivatives of long chain fatty acids containing a substituted cyclopentane ring which are rapidly dehydrated in aqueous solutions and known to form epimers under strong acidic and alkaline conditions [18,19,20]. Additionally, PGs and their analogs contain one or more double bonds and, thus, are sensitive towards oxidation. While PGE2 and related PGs are very unstable in aqueous environment, PGF2α and its derivatives are, in general, less susceptible to chemical degradation. The major degradation pathways of PGAs in aqueous media are hydrolysis to form the PG acids (i.e., the active form of the PGAs), epimerization, trans isomerization and oxidation. For example, known degradation products of latanoprost in aqueous solutions are latanoprost acid, the latanoprost 15-epi diastereomer and the latanoprost 5,6-trans isomer, as well as oxidation products, such as the latanoprost 5-keto and 15-keto derivatives (Figure 1). Latanoprost undergoes photoinduced degradation and the highly lipophilicity drug is absorbed into plastic containers [21,22,23].
Figure 1.
The main degradation products of latanoprost. Based on USP43-NF38 and Ph. Eur. 10.3, as well as reference [22]. Other degradation products have also been identified during forced degradation under somewhat extreme conditions [22].
Xalatan® contains 0.05 mg/mL of latanoprost in an aqueous solution of benzalkonium chloride (0.02%) as a preservative, sodium chloride for adjustment of the tonicity, a pH 6.7 phosphate buffer (sodium dihydrogen phosphate monohydrate 4.60 mg/mL and anhydrous disodium phosphate 4.74 mg/mL) and water for injection. In an unopened original package, the eye drops have a shelf-life of 36 months when stored in a refrigerator (2–8 °C) protected from light. The addition of non-ionic surfactants, such as polyoxyl 40 stearate and polyethylene glycol monostearate 25, and cyclodextrins to the aqueous eye drop media will increase the shelf-life of the latanoprost eye drops [23,24,25,26,27]. It was reported that latanoprost eye drops in the presence of 2-hydroxypropyl-β-cyclodextrin were stable at 25 °C and 60% relative humidity for at least six months, while the one containing a non-ionic surfactant remained stable for up to 24 months under the same storage conditions [23,24]. The proposed mechanism is that the interaction between the ester group of latanoprost and the complex micelle of those non-ionic surfactants results in hydrolysis being inhibited [27]. For the role of cyclodextrin, it shields the ester group of latanoprost inside the cavity, providing degradation protection [26].
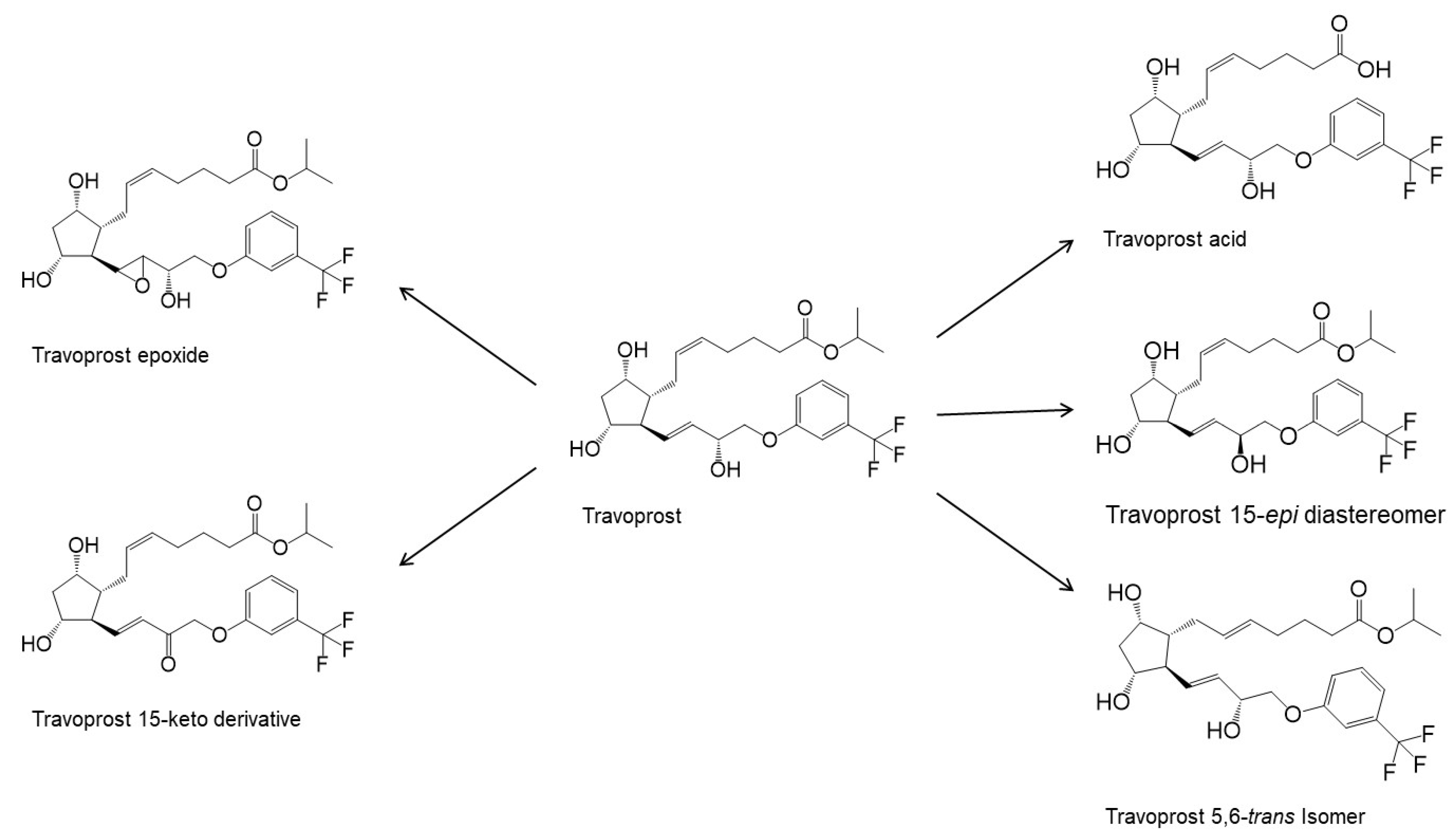
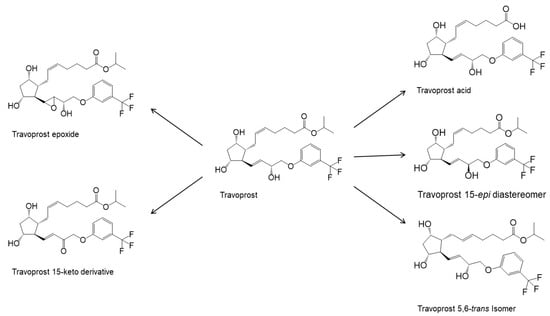
The degradation profile of travoprost (Figure 2) is very similar to that of latanoprost, and in aqueous solutions, travoprost is most stable at pH 6.0 ± 0.2 [28]. Travatan® contains 0.04 mg/mL of travoprost, polyquaternium-1 (0.01 mg/mL) as preservative, polyethylene glycol 40 hydrogenated castor oil (2 mg/mL) which increases the chemical stability and solubility of travoprost, boric acid, propylene glycol (7.5 mg/mL), mannitol and sodium chloride in purified water. Travatan Z® contains 0.04 mg/mL of travoprost in an aqueous solution containing polyethylene glycol 40 hydrogenated castor oil, and a pH 5.7 buffer-preservative system (sofZia®) which is composed of boric acid, propylene glycol, sorbitol, zinc chloride and purified water [29].
Figure 2.
Degradation products of travoprost. Based on USP43-NF38 and reference [30].
The aqueous eye drops compositions of tafluprost and bimatoprost are also simple aqueous buffer solutions. Tafluprost is, like latanoprost and travoprost, an isopropyl ester with its maximum stability at pH between 5.5 and 6.7, while bimatoprost is an amide with its maximum stability between pH 6.8 and 7.8. In general, amides are more chemically stable than esters of comparable structures and studies have shown that bimatoprost eye drops are more stable than, for example, latanoprost and travoprost eye drops [31,32]. Tafluprost is the first preservative-free commercially available PGA (Zioptan®) containing 0.015 mg/mL of tafluprost in an aqueous solution containing polysorbate 80 as a solubilizer, glycerol, phosphate buffer and disodium edetate. Unopened cartons and foil pouches should be stored in the refrigerator (2–8 °C). After the foil pouch is opened, the unit-dose containers may be stored in the opened pouch for up to 28 days at room temperature (20–25 °C) [33].
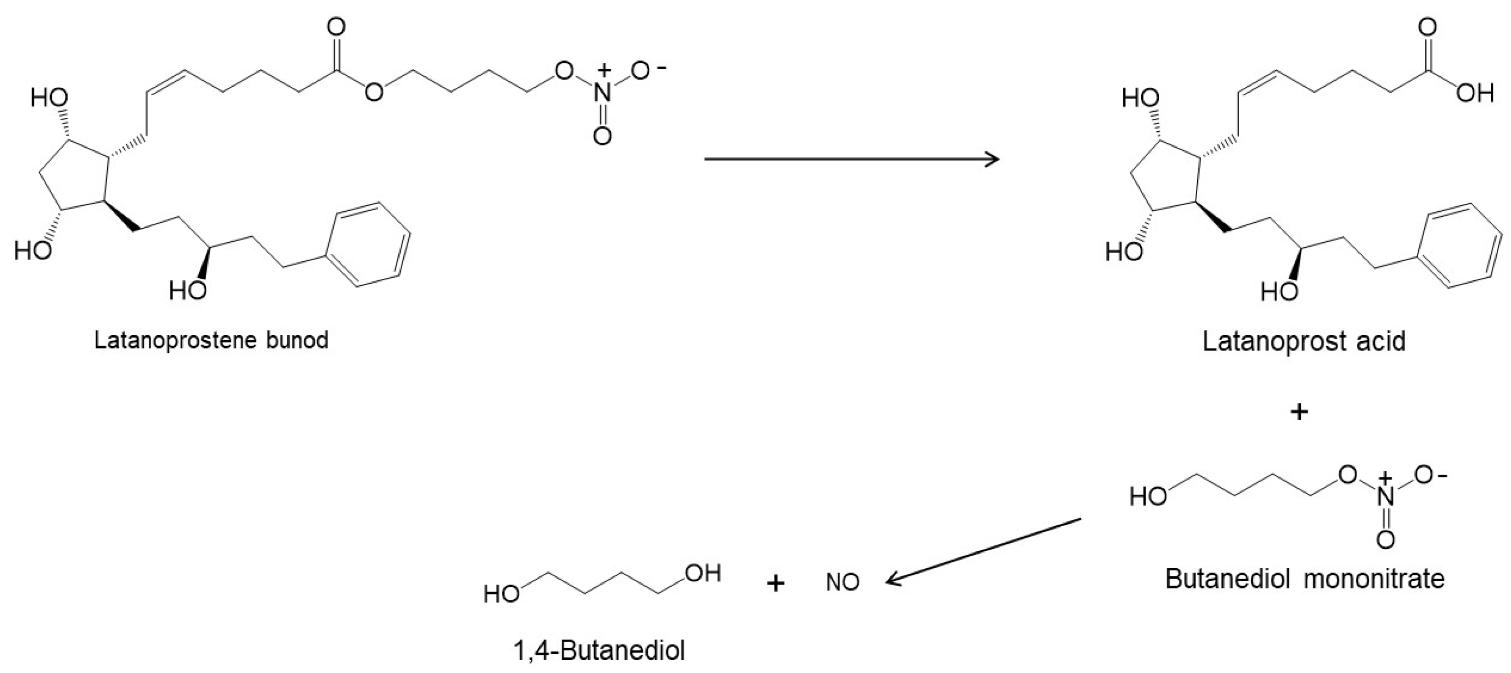
Latanoprostene bunod is a double ester prodrug releasing two active drugs upon hydrolysis (Figure 3). Thus, one would expect that this double ester would be more chemically unstable than the other monoester prodrugs, such as latanoprost. However, the shelf-life of Vyzulta® in unopened containers is similar to those of the other ester PGAs. Vyzulta® contains 0.24 mg/mL of latanoprostene bunod in an aqueous solution containing polysorbate 80, glycerol, 0.2 mg/mL of benzalkonium chloride, pH 5.5 citrate buffer and disodium edetate. The shelf-life of Vyzulta® unopened containers is up to 3 years at 2 to 8 °C.
Figure 3.
Hydrolysis of latanoprostene bunod [11,34].
Most of the commercially marketed PGA eye drops mentioned above contain benzalkonium chloride as a preservative. The concentration of benzalkonium chloride in eye drops ranges from 0.004% to 0.02% [35]. Its bactericidal activity is effective against both Gram-positive and Gram-negative bacteria, including fungi. It has been reported that benzalkonium chloride can act as a penetration enhancer, increasing the penetration of drug molecules from the surface into ocular tissues [36]. However, most in vivo studies do not support these findings [37]. To decrease the overall adverse effects of 0.03% bimatoprost, mainly conjunctival hyperemia, while maintaining the IOP-lowering effect, 0.01% bimatoprost was introduced and the concentration of benzalkonium chloride was increased from 0.005% to 0.02% [38]. However, it is well-known that the common side effects of benzalkonium chloride are conjunctival hyperemia, superficial punctate keratitis and a decrease in tear production which results in ocular discomfort and inflammation [39]. Consequently, the higher benzalkonium chloride concentration in the new bimatoprost eye drops (0.01% Lumigan, Allegan, Inc.) should result in not decreased but increased side effects, such as hyperemia, which is not the case [38]. Some studies have reported that the preserved and preservative-free PGA eye drops do not differ significantly in IOP lowering efficacy [40,41,42]. This observation might promote the marketing of novel preservative-free PGA eye drops.
3. Novel PGA Formulations
Cyclodextrins can solubilize and stabilize PGF2α and other PGs in both aqueous solutions and solid phases [43,44,45,46,47]. Likewise, cyclodextrins are known to increase both the aqueous solubility and chemical stability of the PGAs. For example, 2-hydroxypropyl-β-cyclodextrin forms a water-soluble complex with latanoprost without decreasing the IOP-lowering effect of the drug in a rabbit model [24]. According to the investigators, the eye drop solution was stable when stored at 25 °C for at least 6 months. 2-Hydroxypropyl-β-cyclodextrin has also been shown to solubilize and stabilize tafluprost [48]. Through the formation of inclusion complexes, it has been shown that propylamino-β-cyclodextrin increases the solubilization and chemical stability of latanoprost. The in vivo ocular tolerance study in rabbits revealed that the latanoprost/propylamino-β-cyclodextrin complex eye drop formulation decreases ocular irritation when compared to the commercially available latanoprost 0.005% formulation (Xalatan®, Pfizer Inc., New York, NY, USA) [26]. Gonzalez et al. (2007) [49] investigated the efficacy, safety and chemical stability of a novel cyclodextrin-containing latanoprost eye drop in comparison to Xalatan®. The efficacy and toxicological profiles of the two latanoprost eye drops were comparable, but the eye drops containing cyclodextrin displayed improved chemical stability at 25 °C and 40 °C. Latanoprost has been formulated as an aqueous eye drop microsuspension in which the microparticles consisted of solid latanoprost/γ-cyclodextrin complexes [25]. In vitro and in vivo studies in rabbits showed that the aqueous eye drop microsuspension resulted in an almost four-fold increase in topical bioavailability and a significant enhancement in the chemical stability of the drug compared to the commercial eye drops (Xalatan®).
Biocompatible lipid-based nanocarriers have emerged as a potential alternative to conventional ocular drug delivery systems [50,51]. These include micro- and nanoemulsions deliver lipophilic and poorly water-soluble drugs to the ocular surface [52,53,54]. The preservative-free 0.005% latanoprost cationic emulsion (Catioprost®) is formulated using Novasorb® technology. The cationic nanoemulsion of latanoprost was as effective as Xalatan® for lowering IOP and was well tolerated by the rabbit ocular surface. Additionally, it was able to promote a healing process of the injured cornea which boosted the compliance of long-term patients [55,56,57]. When compared to Travasan®Z in Phase II clinical data, Catioprost® decreased the IOP to the same level as Travatan®Z and caused less conjunctival hyperemia [58]. Ismail et al. (2020) [59] developed travoprost eye drop nanoemulsions composed of labrafac lipophile® and tween 80 and studied the eye drops in vivo in rabbits. The eye drops showed prolonged IOP-lowering effects, a good level of safety and no irritation in the rabbit ocular tissues. Recently, a novel ophthalmic latanoprost 0.005% nanoemulsion was prepared and the cytotoxicity on human epithelial conjunctival cells was reported by Tau et al. (2022). It revealed that the new latanoprost nanoemulsion might cause less discomfort on the eye surface than currently available latanoprost solutions [60].
Liposomes and lipids for ocular delivery of prostaglandins have also been investigated [51,61]. Latanoprost loaded unilamellar liposomes were prepared and evaluated in eye drops. However, latanoprost could not permeate from this vehicle through the corneal epithelium, and thus it did not show any IOP reduction in vivo in rabbits. After a single subconjunctival injection, the resulting liposome formulation had an IOP-lowering effect that was sustained for up to 50 days without toxic side effects [62]. Later, the same group developed a new latanoprost-loaded egg-phosphatidylcoline liposome that resulted in the sustained delivery of latanoprost for up to 90 days and 120 days in vivo in rabbits and nonhuman primates, respectively, after a single subconjunctival injection [63,64]. Niosomes are promising ocular delivery systems formed by the self-assembly of nonionic surfactants in aqueous solutions [65,66]. A novel latanoprost niosome loaded into a poloxamer gel system had a prolonged drug release and an effective reduction in the IOP of normotensive rabbits for 3 days with no ocular irritation [67].
A thermosensitive latanoprost-loaded hydrogel composed of chitosan, gelatin and glycerol phosphate demonstrated significant IOP-lowering effects in rabbits [68]. Another thermosensitive pluronic based in situ gel for latanoprost was investigated and it was found that the optimum formulation enhanced the transcorneal permeation, resulting in a rapid decrease in IOP and a high therapeutic response compared to the reference eye drops. Furthermore, latanoprost loaded in situ gelling formulation was found to be more stable under storage conditions at 4 and 25 °C than the conventional eye drops [69]. Various types of minitablets have been developed for topical drug delivery to the eye [70]. Minitablets containing bimatoprost have been successfully developed and tested in humans (Biophta, France; www.biophta.com, accessed on 11 July 2022). After its administration to the cul de sac, the tablet transforms into an in-situ gel which releases the drug continuously for 7 days. The PGA-loaded nanotechnology platforms and other ocular biomaterials for the treatment of glaucoma are summarized in Table 2.
Table 2.
Case examples of PGA-loaded nanotechnology-based formulations and ocular biomaterial containing PGA for treatment of glaucoma.
4. Conclusions
Nowadays, the only therapeutic approach to treating glaucoma is lowering the IOP. Non-invasive methods for delivering antiglaucoma drugs are preferred, especially topical administration in the form of aqueous eye drops. Five PGAs, i.e., latanoprost, bimatoprost, travoprost, tafluprost and latanoprostene bunod, are currently available as topical eye drops. Most of the PGA preparations contain preservatives that can result in side effects and local irritation. The use of non-preservative eye drop formulations has improved the ocular tolerance profile. Glaucoma patients are often on chronic therapies with multiple antiglaucoma drugs prescribed by their physicians. Fixed drug combinations (i.e., more than one active compounds in the same medication) in preservative-free eye drop formulations help to reduce the number of instillations, which leads to a reduction in the adverse reactions and an improvement the patient’s compliance. The low aqueous solubility of PGA compounds and their chemical instability in aqueous media are the main drawbacks of PGA eye drop formulation development. Thus, novel and patient-friendly PGA eye drop formulations with fewer side effects, including enhanced physical and chemical stability at room temperature, need to be developed. Among the drug delivery systems mentioned above, aqueous cyclodextrin-based nanoemulsions and in situ gel systems are potential nanocarriers for PGA formulations. These systems use biocompatible and biodegradable excipients and are suitable for large-scale production, easily applied to the site of action, and improve the ocular drug bioavailability, resulting in a greater IOP reduction compared to conventional eye drop formulations.
The development of PGA ophthalmic formulations is still challenging. The various PGAs possess different physiochemical properties which may require different formulation approaches, but in general PGAs are potent drugs that possess low aqueous solubility and poor chemical stability in aqueous-based eye drops.
Author Contributions
Conceptualization, T.L.; writing—original draft preparation, T.L. and P.J.; writing—review and editing, T.L. and P.J. All authors have read and agreed to the published version of the manuscript.
Funding
This work was financially supported by Faculty of Pharmaceutical Sciences, Chulalongkorn University.
Institutional Review Board Statement
Not applicable.
Informed Consent Statement
Not applicable.
Data Availability Statement
Not applicable.
Conflicts of Interest
The authors declare no conflict of interest.
References
- Zukerman, R.; Harris, A.; Vercellin, A.V.; Siesky, B.; Pasquale, L.R.; Ciulla, T.A. Molecular genetics of glaucoma: Subtype and ethnicity considerations. Genes 2021, 12, 55. [Google Scholar] [CrossRef] [PubMed]
- Leske, M.C.; Heijl, A.; Hussein, M.; Bengtsson, B.; Hyman, L.; Komaroff, E. Factors for glaucoma progression and the effect of treatment: The early manifest glaucoma trial. Arch. Ophthalmol. 2003, 121, 48–56. [Google Scholar] [CrossRef] [PubMed]
- Sali, T. Prostaglandins. In Encyclopedic Reference of Immunotoxicology; Assenmacher, M., Avraham, H.K., Avraham, S., Bala, S., Barnett, J., Basketter, D., Ben-David, Y., Berek, C., Blümel, J., Bolliger, A.P., et al., Eds.; Springer: Berlin/Heidelberg, Germany, 2005; pp. 537–540. [Google Scholar]
- Shaw, J.E.; Ramwell, P.W. Prostaglandins: A general review. Res. Prostaglandins 1971, 1, 1–8. [Google Scholar] [PubMed]
- Camras, C.B.; Bito, L.Z.; Eakins, K.E. Reduction of intraocular pressure by prostaglandins applied topically to the eyes of conscious rabbits. Investig. Ophthalmol. Vis. Sci. 1977, 16, 1125–1134. [Google Scholar]
- Russo, A.; Riva, I.; Pizzolante, T.; Noto, F.; Quaranta, L. Latanoprost ophthalmic solution in the treatment of open angle glaucoma or raised intraocular pressure: A review. Clin. Ophthalmol. 2008, 2, 897–905. [Google Scholar] [PubMed]
- Wang, T.; Cao, L.; Jiang, Q.; Zhang, T. Topical medication therapy for glaucoma and ocular hypertension. Front. Pharmacol. 2021, 12, 749858. [Google Scholar] [CrossRef] [PubMed]
- Katsanos, A.; Riva, I.; Bozkurt, B.; Holló, G.; Quaranta, L.; Oddone, F.; Irkec, M.; Dutton, G.N.; Konstas, A.G. A new look at the safety and tolerability of prostaglandin analogue eyedrops in glaucoma and ocular hypertension. Expert Opin. Drug Saf. 2022, 21, 525–539. [Google Scholar] [CrossRef] [PubMed]
- Davies, S.S.; Ju, W.-K.; Neufeld, A.H.; Abran, D.; Chemtob, S.; Roberts, L.J. Hydrolysis of Bimatoprost (Lumigan) to its free acid by ocular tissue in vitro. J. Ocul. Pharmacol. Ther. 2003, 19, 45–54. [Google Scholar] [CrossRef] [PubMed]
- Moussa, W.G.E.H.; Farhat, R.G.; Nehme, J.C.; Sahyoun, M.A.; Schakal, A.R.; Jalkh, A.E.; Karam, M.P.A.; Azar, G.G. Comparison of efficacy and ocular surface disease index score between bimatoprost, latanoprost, travoprost, and tafluprost in glaucoma patients. J. Ophthalmol. 2018, 1319628. [Google Scholar] [CrossRef]
- Najjar, A.; Najjar, A.; Karaman, R. Newly developed prodrugs and prodrugs in development; an insight of the recent years. Molecules 2020, 25, 884. [Google Scholar] [CrossRef]
- Samaha, D.; Diaconu, V.; Bouchard, J.F.; Desalliers, C.; Dupont, A. Effect of latanoprostene bunod on optic nerve head blood flow. Optom. Vis. Sci. 2022, 99, 172–176. [Google Scholar] [CrossRef]
- Harasymowycz, P.; Royer, C.; Mathurin, K.; Lachaine, J.; Beauchemin, C.; Cui, A.X.; Barbeau, M.; Jobin-Gervais, K.; Mathurin, K.; Lachaine, J.; et al. Short-term efficacy of latanoprostene bunod for the treatment of open-angle glaucoma and ocular hypertension: A systematic literature review and a network meta-analysis. Br. J. Ophthalmol. 2022, 106, 640–647. [Google Scholar] [CrossRef] [PubMed]
- Winkler, N.S.; Fautsch, M.P. Effects of prostaglandin analogues on aqueous humor outflow pathways. J. Ocul. Pharmacol. Ther. 2014, 30, 102–109. [Google Scholar] [CrossRef] [PubMed]
- Yoshida, F.; Topliss, J.G. Unified model for the corneal permeability of related and diverse compounds with respect to their physicochemical properties. J. Pharm. Sci. 1996, 85, 819–823. [Google Scholar] [CrossRef] [PubMed]
- Loftsson, T. Topical drug delivery to the retina: Obstacles and routes to success. Expert Opin. Drug Deliv. 2022, 19, 9–21. [Google Scholar] [CrossRef] [PubMed]
- Sripetch, S.; Loftsson, T. Topical drug delivery to the posterior segment of the eye: Thermodynamic considerations. Int. J. Pharm. 2021, 597, 120332. [Google Scholar] [CrossRef]
- Hageman, M.J. Prostaglandin E2. In Chemical Stability of Pharmaceuticals: A Handbook for Pharmacists, 2nd ed.; Connors, K.A., Amidon, G.L., Stella, V.J., Eds.; John Wiley & Sons: New York, NY, USA, 1986; pp. 719–727. [Google Scholar]
- Oesterling, T.O.; Morozowich, W.; Roseman, T.J. Prostaglandins. J. Pharm. Sci. 1972, 61, 1861–1895. [Google Scholar] [CrossRef] [PubMed]
- Stehle, R.G. Physical chemistry, stability, and handling of prostaglandins E2, F2α, D2, and I2: A critical summary. Methods Enzymol. 1982, 86, 436–458. [Google Scholar]
- Morgan, P.V.; Proniuk, S.; Blanchard, J.; Noecker, R.J. Effect of temperature and light on the stability of latanoprost and its clinical relevance. J. Glaucoma 2001, 10, 401–405. [Google Scholar] [CrossRef]
- Velpandian, T.; Kotnala, A.; Halder, N.; Ravi, A.K.; Archunan, V.; Sihota, R. Stability of latanoprost in generic formulations using controlled degradation and patient usage simulation studies. Curr. Eye Res. 2015, 40, 561–571. [Google Scholar] [CrossRef]
- Ochiai, A.; Iida, K.; Takabe, H.; Kawamura, E.; Sato, Y.; Kato, Y.; Ohkuma, M.; Danjo, K. Formulation design of latanoprost eye drops to improve the stability at room temperature. J. Pharm. Sci. Technol. 2010, 70, 324–332. [Google Scholar]
- Sawatdee, S.; Phetmung, H.; Srichana, T. Development of a stable latanoprost solution for use as eye drops. Chiang Mai J. Sci. 2013, 40, 656–668. [Google Scholar]
- Zhou, X.; Li, X.; Xu, J.; Cheng, Y.; Cao, F. Latanoprost-loaded cyclodextrin microaggregate suspension eye drops for enhanced bioavailability and stability. Eur. J. Pharm. Sci. 2021, 160, 105758. [Google Scholar] [CrossRef] [PubMed]
- Rodriguez-Aller, M.; Guinchard, S.; Guillarme, D.; Pupier, M.; Jeannerat, D.; Rivara-Minten, E.; Veuthey, J.-L.; Gurny, R. New prostaglandin analog formulation for glaucoma treatment containing cyclodextrins for improved stability, solubility and ocular tolerance. Eur. J. Pharm. Biopharm. 2015, 95, 203–214. [Google Scholar] [CrossRef]
- Ochiai, A.; Danjo, K. The stabilization mechanism of latanoprost. Int. J. Pharm. 2011, 410, 23–30. [Google Scholar] [CrossRef] [PubMed]
- Airy, S.; Chiou, J.; Nguyen, H.; Jani, R.; Gan, O.; Kabra, B.; Nguyen, H.; Weiner, A. Developmental preformulation studies in the design of travoprost ophthalmic solution 0.004% (TRAVANTAN®). In Proceedings of the American Association of Pharmaceutical Scientists (AAPS) Annual Meeting, Toronto, ON, Canada, 16–29 October 2002. [Google Scholar]
- Kahook, M.Y. Travoprost Z ophthalmic solution with sofZia: Clinical safety and efficacy. Expert Rev. Ophthalmol. 2007, 2, 363–368. [Google Scholar] [CrossRef]
- Alviset, G.; Corvis, Y.; Hammad, K.; Lemut, J.; Maury, M.; Mignet, N.; Boudy, V. New preservative-free formulation for the enhanced ocular bioavailability of prostaglandin analogues in glaucoma. Pharmaceutics 2022, 14, 453. [Google Scholar] [CrossRef]
- Loftson, T. Drug Stability for Pharmaceutical Scientists; Academic Press: Cambridge, CA, USA, 2014; p. 170. [Google Scholar]
- Johnson, T.V.; Gupta, P.K.; Vudathala, D.K.; Blair, I.A.; Tanna, A.P. Thermal stability of bimatoprost, latanoprost, and travoprost under simulated daily use. J. Ocul. Pharmacol. Ther. 2011, 27, 51–59. [Google Scholar] [CrossRef]
- Swymer, C.; Neville, M.W. Tafluprost: The first preservative-free prostaglandin to treat open-angle glaucoma and ocular hypertension. Ann. Pharmacother. 2012, 46, 1506–1510. [Google Scholar] [CrossRef]
- Kaufman, P.L. Latanoprostene bunod ophthalmic solution 0.024% for IOP lowering in glaucoma and ocular hypertension. Expert Opin. Pharmacother. 2017, 18, 433–444. [Google Scholar] [CrossRef]
- Baudouin, C.; Labbé, A.; Liang, H.; Pauly, A.; Brignole-Baudouin, F. Preservatives in eyedrops: The good, the bad and the ugly. Prog. Retin. Eye Res. 2010, 29, 312–334. [Google Scholar] [CrossRef]
- Goldstein, M.H.; Silva, F.Q.; Blender, N.; Tran, T.; Vantipalli, S. Ocular benzalkonium chloride exposure: Problems and solutions. Eye 2022, 36, 361–368. [Google Scholar] [CrossRef] [PubMed]
- Johannsdottir, S.; Jansook, P.; Stefansson, E.; Kristinsdottir, I.M.; Asgrimsdottir, G.M.; Loftsson, T. Topical drug delivery to the posterior segment of the eye: The effect of benzalkonium chloride on topical dexamethasone penetration into the eye in vivo. J. Drug Deliv. Sci. Technol. 2018, 48, 125–127. [Google Scholar] [CrossRef]
- Xu, K.M.; Cho, R.; Chan, T.Y.B. Retrospective analysis of switching bimatoprost 0.01% to bimatoprost 0.03% in patients with various types of glaucoma and ocular hypertension. Clin. Ophthalmol. 2022, 16, 2385–2390. [Google Scholar] [CrossRef] [PubMed]
- Rosin, L.M.; Bell, N.P. Preservative toxicity in glaucoma medication: Clinical evaluation of benzalkonium chloride-free 0.5% timolol eye drops. Clin. Ophthalmol. 2013, 7, 2131–2135. [Google Scholar] [CrossRef]
- Pellinen, P.; Lokkila, J. Corneal penetration into rabbit aqueous humor is comparable between preserved and preservative-free tafluprost. Ophthalmic Res. 2009, 41, 118–122. [Google Scholar] [CrossRef] [PubMed]
- Economou, M.A.; Laukeland, H.K.; Grabska-Liberek, I.; Rouland, J.F. Better tolerance of preservative-free latanoprost compared to preserved glaucoma eye drops: The 12-month real-life FREE study. Clin. Ophthalmol. 2018, 12, 2399–2407. [Google Scholar] [CrossRef] [PubMed]
- Kim, J.M.; Park, S.W.; Seong, M.; Ha, S.J.; Lee, J.W.; Rho, S.; Lee, C.E.; Kim, K.N.; Kim, T.W.; Sung, K.R.; et al. Comparison of the safety and efficacy between preserved and preservative-free latanoprost and preservative-free tafluprost. Pharmaceuticals 2021, 14, 501. [Google Scholar] [CrossRef]
- Uekama, K.; Hirayama, F.; Fujise, A.; Otagiri, M.; Inaba, K.; Saito, H. Inclusion complexation of prostaglandin F2 alpha with gamma-cyclodextrin in solution and solid phases. J. Pharm. Sci. 1984, 73, 382–384. [Google Scholar] [CrossRef]
- Gu, F.-G.; Cui, F.-D.; Gao, Y.-L. Effect of complexation with hydroxylpropyl-β-cyclodextrin on solubility, dissolution rate and chemical stability of prostaglandin E1. J. Chin. Pharm. Sci. 2004, 13, 158–165. [Google Scholar]
- Uekama, K.; Hirayama, F.; Yamada, Y.; Inaba, K.; Ikeda, K. Improvements of dissolution characteristics and chemical stability of 16,16-dimethyl-trans-Δ2-prostaglandin E1 methyl ester by cyclodextrin complexation. J. Pharm. Sci. 1979, 68, 1059–1060. [Google Scholar] [CrossRef]
- Inaba, K.; Wakuda, T.; Uekama, K. Prostaglandins and their cyclodextrin complexes. J. Incl. Phenom. 1984, 2, 467–474. [Google Scholar] [CrossRef]
- Uekama, K.; Hieda, Y.; Hirayama, F.; Arima, H.; Sudoh, M.; Yagi, A.; Terashima, H. Stabilizing and solubilizing effects of sulfobutyl ether β-cyclodextrin on prostaglandin E1 analog. Pharm. Res. 2001, 18, 1578–1585. [Google Scholar] [CrossRef]
- Kumar, P.V.T.; Kumar, A.A.; Rao, N.S. Formulation and evaluation of tafluprost ophthalmic solution. J. Drug Deliv. Ther. 2019, 9, 18–24. [Google Scholar] [CrossRef]
- Gonzalez, J.R.; Baiza-Duran, L.; Quintana-Hau, J.; Tornero-Montaño, R.; Castaneda-Hernandez, G.; Ortiz, M.; Alarcon-Oceguera, F.; Beltran-Loustaunau, M.; Cortez-Gastelum, M.; Garcidueñas-Mejia, J.; et al. Comparison of the stability, efficacy, and adverse effect profile of the innovator 0.005% latanoprost ophthalmic solution and a novel cyclodextrin-containing formulation. J. Clin. Pharmacol. 2007, 47, 121–126. [Google Scholar] [CrossRef]
- Battaglia, L.; Serpe, L.; Foglietta, F.; Muntoni, E.; Gallarate, M.; Del Pozo Rodriguez, A.; Solinis, M.A. Application of lipid nanoparticles to ocular drug delivery. Expert Opin. Drug Deliv. 2016, 13, 1743–1757. [Google Scholar] [CrossRef] [PubMed]
- Jacob, S.; Nair, A.B.; Shah, J.; Gupta, S.; Boddu, S.H.S.; Sreeharsha, N.; Joseph, A.; Shinu, P.; Morsy, M.A. Lipid nanoparticles as a promising drug delivery carrier for topical ocular therapy-An overview on recent advances. Pharmaceutics 2022, 14, 533. [Google Scholar] [CrossRef]
- Habib, F.; El-Mahdy, M.; Maher, S. Microemulsions for ocular delivery: Evaluation and characterization. J. Drug Deliv. Sci. Technol. 2011, 21, 485–489. [Google Scholar] [CrossRef]
- Singh, M.; Bharadwaj, S.; Lee, K.E.; Kang, S.G. Therapeutic nanoemulsions in ophthalmic drug administration: Concept in formulations and characterization techniques for ocular drug delivery. J. Control. Release 2020, 328, 895–916. [Google Scholar] [CrossRef] [PubMed]
- Tamilvanan, S.; Benita, S. The potential of lipid emulsion for ocular delivery of lipophilic drugs. Eur. J. Pharm. Biopharm. 2004, 58, 357–368. [Google Scholar] [CrossRef]
- Liang, H.; Baudouin, C.; Faure, M.O.; Lambert, G.; Brignole-Baudouin, F. Comparison of the ocular tolerability of a latanoprost cationic emulsion versus conventional formulations of prostaglandins: An in vivo toxicity assay. Mol. Vis. 2009, 15, 1690–1699. [Google Scholar]
- Daull, P.; Buggage, R.; Lambert, G.; Faure, M.O.; Serle, J.; Wang, R.F.; Garrigue, J.S. A comparative study of a preservative-free latanoprost cationic emulsion (Catioprost) and a BAK-preserved latanoprost solution in animal models. J. Ocul. Pharmacol. Ther. 2012, 28, 515–523. [Google Scholar] [CrossRef]
- Liang, H.; Baudouin, C.; Daull, P.; Garrigue, J.-S.; Buggage, R.; Brignole-Baudouin, F. In vitro and In vivo evaluation of a preservative-free cationic emulsion of latanoprost in corneal wound healing models. Cornea 2012, 31, 1319–1329. [Google Scholar] [CrossRef] [PubMed]
- Daull, P.; Amrane, M.; Garrigue, J.-S. Novasorb® cationic nanoemulsion and latanoprost: The ideal combination for glaucoma management? Glaucoma 2017, 2, 107. [Google Scholar] [CrossRef]
- Ismail, A.; Nasr, M.; Sammour, O. Nanoemulsion as a feasible and biocompatible carrier for ocular delivery of travoprost: Improved pharmacokinetic/pharmacodynamic properties. Int. J. Pharm. 2020, 583, 119402. [Google Scholar] [CrossRef]
- Tau, J.; Passerini, M.S.; Del Papa, M.; Aguilar, A.; Berra, A. A novel ophthalmic latanoprost 0.005% nanoemulsion: A cytotoxicity study. Graefes Arch. Clin. Exp. Ophthalmol. 2022, 260, 1941–1946. [Google Scholar] [CrossRef]
- Agarwal, R.; Iezhitsa, I.; Agarwal, P.; Abdul Nasir, N.A.; Razali, N.; Alyautdin, R.; Ismail, N.M. Liposomes in topical ophthalmic drug delivery: An update. Drug Deliv. 2016, 23, 1075–1091. [Google Scholar] [CrossRef] [PubMed]
- Natarajan, J.V.; Chattopadhyay, S.; Ang, M.; Darwitan, A.; Foo, S.; Zhen, M.; Koo, M.; Wong, T.T.; Venkatraman, S.S. Sustained release of an anti-glaucoma drug: Demonstration of efficacy of a liposomal formulation in the rabbit eye. PLoS ONE 2011, 6, e24513. [Google Scholar] [CrossRef]
- Natarajan, J.V.; Ang, M.; Darwitan, A.; Chattopadhyay, S.; Wong, T.T.; Venkatraman, S.S. Nanomedicine for glaucoma: Liposomes provide sustained release of latanoprost in the eye. Int. J. Nanomed. 2012, 7, 123–131. [Google Scholar] [CrossRef]
- Natarajan, J.V.; Darwitan, A.; Barathi, V.A.; Ang, M.; Htoon, H.M.; Boey, F.; Tam, K.C.; Wong, T.T.; Venkatraman, S.S. Sustained Drug Release in Nanomedicine: A Long-Acting Nanocarrier-Based Formulation for Glaucoma. ACS Nano 2014, 8, 419–429. [Google Scholar] [CrossRef] [PubMed]
- Verma, A.; Tiwari, A.; Saraf, S.; Panda, P.K.; Jain, A.; Jain, S.K. Emerging potential of niosomes in ocular delivery. Expert Opin. Drug Deliv. 2021, 18, 55–71. [Google Scholar] [CrossRef] [PubMed]
- Durak, S.; Esmaeili Rad, M.; Alp Yetisgin, A.; Eda Sutova, H.; Kutlu, O.; Cetinel, S.; Zarrabi, A. Niosomal drug delivery systems for ocular disease-recent advances and future prospects. Nanomaterials 2020, 10, 1191. [Google Scholar] [CrossRef]
- Fathalla, D.; Fouad, E.A.; Soliman, G.M. Latanoprost niosomes as a sustained release ocular delivery system for the management of glaucoma. Drug Dev. Ind. Pharm. 2020, 46, 806–813. [Google Scholar] [CrossRef]
- Cheng, Y.-H.; Tsai, T.-H.; Jhan, Y.-Y.; Chiu, A.W.-H.; Tsai, K.-L.; Chien, C.-S.; Chiou, S.-H.; Liu, C.J.-L. Thermosensitive chitosan-based hydrogel as a topical ocular drug delivery system of latanoprost for glaucoma treatment. Carbohydr. Polym. 2016, 144, 390–399. [Google Scholar] [CrossRef]
- Khattab, A.; Marzok, S.; Ibrahim, M. Development of optimized mucoadhesive thermosensitive pluronic based in situ gel for controlled delivery of Latanoprost: Antiglaucoma efficacy and stability approaches. J. Drug Deliv. Sci. Technol. 2019, 53, 101134. [Google Scholar] [CrossRef]
- Moosa, R.M.; Choonara, Y.E.; du Toit, L.C.; Kumar, P.; Carmichael, T.; Tomar, L.K.; Tyagi, C.; Pillay, V. A review of topically administered mini- tablets for drug delivery to the anterior segment of the eye. J. Pharm. Pharmacol. 2014, 66, 490–506. [Google Scholar] [CrossRef]
- Rubenicia, A.M.L.; Cubillan, L.D.P.; Sicam, V.A.D.P.; Macabeo, A.P.G.; Villaflores, O.B.; Castillo, A.L. Intraocular pressure reduction effect of 0.005% latanoprost eye drops in a hyaluronic acid-chitosan nanoparticle drug delivery system in albino rabbits. Transl. Vis. Sci. Technol. 2021, 10, 2. [Google Scholar] [CrossRef]
- Kim, S.N.; Min, C.H.; Kim, Y.K.; Ha, A.; Park, C.G.; Lee, S.H.; Park, K.H.; Choy, Y.B. Iontophoretic ocular delivery of latanoprost-loaded nanoparticles via skin-attached electrodes. Acta Biomater. 2022, 144, 32–41. [Google Scholar] [CrossRef]
- Schnichels, S.; Hurst, J.; de Vries, J.W.; Ullah, S.; Gruszka, A.; Kwak, M.; Löscher, M.; Dammeier, S.; Bartz-Schmidt, K.-U.; Spitzer, M.S.; et al. Self-assembled DNA nanoparticles loaded with travoprost for glaucoma-treatment. Nanomed. Nanotechnol. Biol. Med. 2020, 29, 102260. [Google Scholar] [CrossRef]
- González-Cela-Casamayor, M.A.; López-Cano, J.J.; Bravo-Osuna, I.; Andrés-Guerrero, V.; Vicario-de-la-Torre, M.; Guzmán-Navarro, M.; Benítez-Del-Castillo, J.M.; Herrero-Vanrell, R.; Molina-Martínez, I.T. Novel osmoprotective DOPC-DMPC liposomes loaded with antihypertensive drugs as potential strategy for glaucoma treatment. Pharmaceutics 2022, 14, 1405. [Google Scholar] [CrossRef]
- Ciolino, J.B.; Stefanescu, C.F.; Ross, A.E.; Salvador-Culla, B.; Cortez, P.; Ford, E.M.; Wymbs, K.A.; Sprague, S.L.; Mascoop, D.R.; Rudina, S.S.; et al. In vivo performance of a drug-eluting contact lens to treat glaucoma for a month. Biomaterials 2014, 35, 432–439. [Google Scholar] [CrossRef] [PubMed]
- Xue, Y.; Gao, Q.; Zhang, L. Extended ocular delivery of latanoprost from niosome-laden contact lenses: In vitro characterization and in vivo studies. J. Drug Deliv. Sci. Technol. 2022, 68, 103044. [Google Scholar] [CrossRef]
- Dang, H.; Dong, C.; Zhang, L. Sustained latanoprost release from PEGylated solid lipid nanoparticle-laden soft contact lens to treat glaucoma. Pharm. Dev. Technol. 2022, 27, 127–133. [Google Scholar] [CrossRef] [PubMed]
- Yan, F.; Liu, Y.; Han, S.; Zhao, Q.; Liu, N. Bimatoprost imprinted silicone contact lens to treat glaucoma. AAPS PharmSciTech 2020, 21, 63. [Google Scholar] [CrossRef] [PubMed]
- Franca, J.R.; Foureaux, G.; Fuscaldi, L.L.; Ribeiro, T.G.; Rodrigues, L.B.; Bravo, R.; Castilho, R.O.; Yoshida, M.I.; Cardoso, V.N.; Fernandes, S.O.; et al. Bimatoprost-loaded ocular inserts as sustained release drug delivery systems for glaucoma treatment: In vitro and in vivo evaluation. PLoS ONE 2014, 9, e95461. [Google Scholar] [CrossRef]
- Brandt, J.D.; Sall, K.; DuBiner, H.; Benza, R.; Alster, Y.; Walker, G.; Semba, C.P. Six-month intraocular pressure reduction with a topical bimatoprost ocular insert: Results of a Phase II Randomized Controlled study. Ophthalmology 2016, 123, 1685–1694. [Google Scholar] [CrossRef]
- Shukr, M.H.; Ismail, S.; El-Hossary, G.G.; El-Shazly, A.H. Spanlastics nanovesicular ocular insert as a novel ocular delivery of travoprost: Optimization using Box-Behnken design and in vivo evaluation. J. Liposome Res. 2022, 1–11. [Google Scholar] [CrossRef]
Publisher’s Note: MDPI stays neutral with regard to jurisdictional claims in published maps and institutional affiliations. |
© 2022 by the authors. Licensee MDPI, Basel, Switzerland. This article is an open access article distributed under the terms and conditions of the Creative Commons Attribution (CC BY) license (https://creativecommons.org/licenses/by/4.0/).









