Recent Progress in Drug Release Testing Methods of Biopolymeric Particulate System
Abstract
1. Introduction
2. In Vitro Drug Release Testing Methods
2.1. Sample and Separate (SS) Method
2.2. Dialysis Membrane (DM) Method
2.3. Continuous Flow (CF) Method
2.4. Characteristics of In Vitro Drug Release Testing Methods
3. Accelerated In Vitro Release Testing Methods
4. In Vitro–In Vivo Correlation (IVIVC)
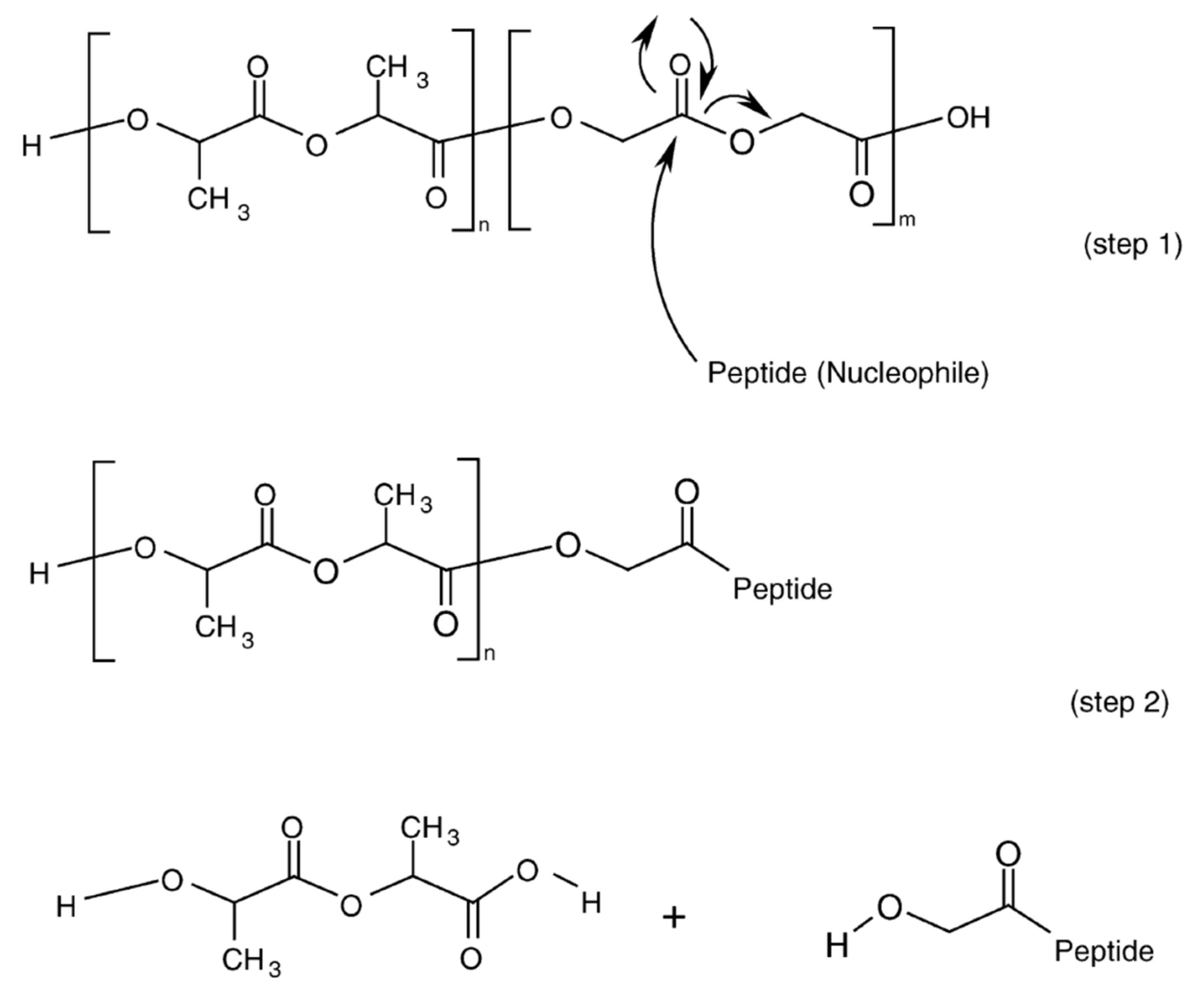
5. Stability of Drugs in PLGA Particulate Formulations
6. Conclusion and Future Perspectives
Author Contributions
Funding
Conflicts of Interest
References
- Ding, D.; Zhu, Q. Recent advances of PLGA micro/nanoparticles for the delivery of biomacromolecular therapeutics. Mater. Sci. Eng. C Mater. Biol. Appl. 2018, 92, 1041–1060. [Google Scholar] [CrossRef]
- Blasi, P. Poly (lactic acid)/poly (lactic-co-glycolic acid)-based microparticles: An overview. J. Pharm. Investig. 2019, 49, 337–346. [Google Scholar] [CrossRef]
- Emami, F.; Yazdi, S.J.M.; Na, D.H. Poly (lactic acid)/poly(lactic-co-glycolic acid) particulate carriers for pulmonary drug delivery. J. Pharm. Investig. 2019, 49, 427–442. [Google Scholar] [CrossRef]
- Anderson, J.M.; Shive, M.S. Biodegradation and biocompatibility of PLA and PLGA microspheres. Adv. Drug Deliv. Rev. 1997, 28, 5–24. [Google Scholar] [CrossRef]
- Elmowafy, E.M.; Tiboni, M.; Soliman, M.E. Biocompatibility, biodegradation and biomedical applications of poly (lactic acid)/poly (lactic-co-glycolic acid) micro and nanoparticles. J. Pharm. Investig. 2019, 49, 347–380. [Google Scholar] [CrossRef]
- Swider, E.; Koshkina, O.; Tel, J.; Cruz, L.J.; de Vries, I.J.M.; Srinivas, M. Customizing poly (lactic-co-glycolic acid) particles for biomedical applications. Acta Biomater. 2018, 73, 38–51. [Google Scholar] [CrossRef] [PubMed]
- Park, E.J.; Amatya, S.; Kim, M.S.; Park, J.H.; Seol, E.; Lee, H.; Shin, Y.H.; Na, D.H. Long-acting injectable formulations of antipsychotic drugs for the treatment of schizophrenia. Arch. Pharm. Res. 2013, 36, 651–659. [Google Scholar] [CrossRef] [PubMed]
- Lee, W.Y.; Asadujjaman, M.; Jee, J.P. Long acting injectable formulations: The state of the arts and challenges of poly(lactic-co-glycolic acid) microsphere, hydrogel, organogel and liquid crystal. J. Pharm. Investig. 2019, 49, 459–476. [Google Scholar] [CrossRef]
- Zhai, J.; Wang, Y.E.; Zhou, X.; Ma, Y.; Guan, S. Long-term sustained release poly (lactic-co-glycolic acid) microspheres of asenapine maleate with improved bioavailability for chronic neuropsychiatric diseases. Drug Deliv. 2020, 27, 1283–1291. [Google Scholar] [CrossRef] [PubMed]
- Schoubben, A.; Ricci, M.; Giovagnoli, S. Meeting the unmet: From traditional to cutting-edge techniques for poly lactide and poly lactide-co-glycolide microparticle manufacturing. J. Pharm. Investig. 2019, 49, 381–404. [Google Scholar] [CrossRef]
- Mitra, A.; Wu, Y. Use of in vitro-in vivo correlation (IVIVC) to facilitate the development of polymer-based controlled release injectable formulations. Recent Pat. Drug Deliv. Formul. 2010, 4, 94–104. [Google Scholar] [CrossRef]
- Siepmann, J.; Elkharraz, K.; Siepmann, F.; Klose, D. How autocatalysis accelerates drug release from PLGA-based microparticles: A quantitative treatment. Biomacromolecules 2005, 6, 2312–2319. [Google Scholar] [CrossRef]
- Cleland, J.L. Design and production of single immunization vaccines using polylactide polyglycolide microsphere systems. In Vaccine Design; Powell, M.F., Newman, M.J., Eds.; Plenum: New York, NY, USA, 1995; pp. 439–472. [Google Scholar]
- Brown, C.K.; Friedel, H.D.; Barker, A.R.; Buhse, L.F.; Keitel, S.; Cecil, T.L.; Kraemer, J.; Morris, J.M.; Reppas, C.; Stickelmeyer, M.P.; et al. FIP/AAPS joint workshop report: Dissolution/in vitro release testing of novel/special dosage forms. AAPS PharmSciTech 2011, 12, 782–794. [Google Scholar] [CrossRef]
- Andhariya, J.V.; Burgess, D.J. Recent advances in testing of microsphere drug delivery systems. Expert Opin. Drug Deliv. 2016, 13, 593–608. [Google Scholar] [CrossRef] [PubMed]
- D’Souza, S.S.; DeLuca, P.P. Methods to assess in vitro drug release from injectable polymeric particulate systems. Pharm. Res. 2006, 23, 460–474. [Google Scholar] [CrossRef] [PubMed]
- Amatya, S.; Park, E.J.; Park, J.H.; Kim, J.S.; Seol, E.; Lee, H.; Choi, H.; Shin, Y.H.; Na, D.H. Drug release testing methods of polymeric particulate drug formulations. J. Pharm. Investig. 2013, 43, 259–266. [Google Scholar] [CrossRef]
- Emami, J. In vitro—In vivo correlation: From theory to applications. J. Pharm. Pharm. Sci. 2006, 9, 169–189. [Google Scholar] [PubMed]
- D’Souza, S.; Faraj, J.A.; Giovagnoli, S.; Deluca, P.P. IVIVC from long acting olanzapine microspheres. Int. J. Biomater. 2014, 2014, 407065. [Google Scholar] [CrossRef]
- Shen, J.; Burgess, D.J. In vitro-in vivo correlation for complex non-oral drug products: Where do we stand? J. Control. Release 2015, 219, 644–651. [Google Scholar] [CrossRef]
- Park, K. IVIVC of parenteral PLGA microspheres. J. Control. Release 2015, 218, 116. [Google Scholar] [CrossRef]
- Andhariya, J.V.; Jog, R.; Shen, J.; Choi, S.; Wang, Y.; Zou, Y.; Burgess, D.J. Development of Level A in vitro-in vivo correlations for peptide loaded PLGA microspheres. J. Control. Release 2019, 308, 1–13. [Google Scholar] [CrossRef]
- Lee, D.S.; Kang, D.W.; Choi, G.W.; Choi, H.G.; Cho, H.Y. Development of level A in vitro-vivo correlation for electrosprayed microspheres containing leuprolide: Physicochemical, pharmacokinetic, and pharmacodynamic evaluation. Pharmaceutics 2020, 12, 36. [Google Scholar] [CrossRef] [PubMed]
- Savaser, A.; Esim, O.; Kurbanoglu, S.; Ozkan, S.A.; Ozkan, Y. Current perspectives on drug release studies from polymeric nanoparticles. In Organic Materials as Smart Nanocarriers for Drug Delivery; Grumezescu, A.M., Ed.; Elsevier: Amsterdam, The Netherland, 2018; pp. 101–145. [Google Scholar]
- Byeon, H.J.; Kim, I.; Choi, J.S.; Lee, E.S.; Shin, B.S.; Youn, Y.S. PEGylated apoptotic protein-loaded PLGA microspheres for cancer therapy. Int. J. Nanomed. 2015, 10, 739–748. [Google Scholar]
- Hirota, K.; Doty, A.C.; Ackermann, R.; Zhou, J.; Olsen, K.F.; Feng, M.R.; Wang, Y.; Choi, S.; Qu, W.; Schwendeman, A.S. Characterizing release mechanisms of leuprolide acetate-loaded PLGA microspheres for IVIVC development I: In vitro evaluation. J. Control. Release 2016, 244, 302–313. [Google Scholar] [CrossRef]
- Yen, S.Y.; Sung, K.C.; Wang, J.J.; Hu, Y.-P.O. Controlled release of nalbuphine propionate from biodegradable microspheres: In vitro and in vivo studies. Int. J. Pharm. 2001, 220, 91–99. [Google Scholar] [CrossRef]
- Janagam, D.R.; Wang, L.; Ananthula, S.; Johnson, J.R.; Lowe, T.L. An accelerated release study to evaluate long-acting contraceptive levonorgestrel-containing in situ forming depot systems. Pharmaceutics 2016, 8, 28. [Google Scholar] [CrossRef] [PubMed]
- Schoubben, A.; Blasi, P.; Deluca, P.P. Effect of agitation regimen on the in vitro release of leuprolide from poly (lactic-co-glycolic) acid microparticles. J. Pharm. Sci. 2012, 101, 1212–1220. [Google Scholar] [CrossRef]
- Park, E.J.; Na, D.H.; Lee, K.C. In vitro release study of mono-PEGylated growth hormone-releasing peptide-6 from PLGA microspheres. Int. J. Pharm. 2007, 343, 281–283. [Google Scholar] [CrossRef]
- Wei, G.; Pettway, G.J.; McCauley, L.K.; Ma, P.X. The release profiles and bioactivity of parathyroid hormone from poly (lactic-co-glycolic acid) microspheres. Biomaterials 2004, 25, 345–352. [Google Scholar] [CrossRef]
- Ye, M.; Duan, H.; Yao, L.; Fang, Y.; Zhang, X.; Dong, L.; Yang, F.; Yang, X.; Pan, W. A method of elevated temperatures coupled with magnetic stirring to predict real time release from long acting progesterone PLGA microspheres. Asian J. Pharm. Sci. 2019, 14, 222–232. [Google Scholar] [CrossRef]
- Fang, Y.; Zhang, N.; Li, Q.; Chen, J.; Xiong, S.; Pan, W. Characterizing the release mechanism of donepezil-loaded PLGA microspheres in vitro and in vivo. J. Drug Deliv. Sci. Technol. 2019, 51, 430–437. [Google Scholar] [CrossRef]
- Woo, B.H.; Na, K.H.; Dani, B.A.; Jiang, G.; Thanoo, B.C.; DeLuca, P.P. In vitro characterization and in vivo testosterone suppression of 6-month release poly (D,L-lactide) leuprolide microspheres. Pharm. Res. 2002, 19, 546–550. [Google Scholar] [CrossRef]
- Kim, H.; Burgess, D.J. Effect of drug stability on the analysis of release data from controlled release microspheres. J. Microencapsul. 2002, 19, 631–640. [Google Scholar] [CrossRef]
- Murty, S.B.; Na, D.H.; Thanoo, B.C.; DeLuca, P.P. Impurity formation studies with peptide-loaded polymeric microspheres Part II. In vitro evaluation. Int. J. Pharm. 2005, 297, 62–72. [Google Scholar] [CrossRef]
- Shameem, M.; Lee, H.; DeLuca, P.P. A short term (accelerated release) approach to evaluate peptide release from PLGA depot-formulations. AAPS PharmSci 1999, 1, E7. [Google Scholar] [CrossRef] [PubMed]
- Guo, W.; Quan, P.; Fang, L.; Cun, D.; Yang, M. (2015) Sustained release donepezil loaded PLGA microspheres for injection: Preparation, in vitro and in vivo study. Asian J. Pharm. Sci. 2015, 10, 405–414. [Google Scholar] [CrossRef]
- Park, S.; Kim, D.H.; Kim, Y.; Park, J.H.; Lee, M.; Song, I.S.; Shim, C.K. Comparative in vitro release and clinical pharmacokinetics of leuprolide from Luphere 3M Depot, a 3-month release formulation of leuprolide acetate. Drug Dev. Ind. Pharm. 2017, 43, 441–447. [Google Scholar] [CrossRef]
- Gu, B.; Papadimitrakopoulos, F.; Burgess, D.J. PLGA microsphere/PVA hydrogel coatings suppress the foreign body reaction for 6 months. J. Control. Release 2018, 289, 35–43. [Google Scholar] [CrossRef] [PubMed]
- Li, X.; He, G.; Su, F.; Chu, Z.; Xu, L.; Zhang, Y.; Zhou, J.; Ding, Y. Regorafenib-loaded poly (lactide-co-glycolide) microspheres designed to improve transarterial chemoembolization therapy for hepatocellular carcinoma. Asian J. Pharm. Sci. 2020, 15, 739–751. [Google Scholar] [CrossRef] [PubMed]
- Chen, W.; Palazzo, A.; Hennink, W.E.; Kok, R.J. Effect of particle size on drug loading and release kinetics of gefitinib-loaded PLGA microspheres. Mol. Pharm. 2017, 14, 459–467. [Google Scholar] [CrossRef]
- Lim, J.H.; Na, Y.G.; Lee, H.K.; Kim, S.J.; Lee, H.J.; Bang, K.H.; Wang, M.; Pyo, Y.C.; Huh, H.W.; Cho, C.W. Effect of surfactant on the preparation and characterization of gemcitabine-loaded particles. J. Pharm. Investig. 2019, 49, 271–278. [Google Scholar] [CrossRef]
- Maniyar, M.G.; Kokare, C.R. Formulation and evaluation of spray dried liposomes of lopinavir for topical application. J. Pharm. Investig. 2019, 49, 259–270. [Google Scholar] [CrossRef]
- Wallenwein, C.M.; Nova, M.V.; Janas, C.; Jablonka, L.; Gao, G.F.; Thurn, M.; Albrecht, V.; Wiehe, A.; Wacker, M.G. A dialysis-based in vitro drug release assay to study dynamics of the drug-protein transfer of temoporfin liposomes. Eur. J. Pharm. Biopharm. 2019, 143, 44–50. [Google Scholar] [CrossRef] [PubMed]
- Nothnagel, L.; Wacker, M.G. How to measure release from nanosized carriers? Eur. J. Pharm. Sci. 2018, 120, 199–211. [Google Scholar] [CrossRef] [PubMed]
- Yan, F.; Li, B.; Shen, F.; Fu, Q. Formulation and characterization of albumin microspheres containing norcantharidate for liver tumor targeting. Drug Deliv. 2015, 22, 862–868. [Google Scholar] [CrossRef]
- D’Souza, S.S.; DeLuca, P.P. Development of a dialysis in vitro release method for biodegradable microspheres. AAPS PharmSciTech 2005, 6, E323–E328. [Google Scholar] [CrossRef]
- Siepmann, J.; Faisant, N.; Akiki, J.; Richard, J.; Benoit, J.P. Effect of the size of biodegradable microparticles on drug release: Experiment and theory. J. Control. Release 2004, 96, 123–134. [Google Scholar] [CrossRef]
- Yang, F.; Chen, D.; Guo, Z.F.; Zhang, Y.M.; Liu, Y.; Askin, S.; Craig, D.Q.; Zhao, M. The application of novel nano-thermal and imaging techniques for monitoring drug microstructure and distribution within PLGA microspheres. Int. J. Pharm. 2017, 522, 34–49. [Google Scholar] [CrossRef]
- Chaurasia, S.; Mounika, K.; Bakshi, V.; Prasad, V. 3-month parenteral PLGA microsphere formulations of risperidone: Fabrication, characterization and neuropharmacological assessments. Mater. Sci. Eng. C Mater. Biol. Appl. 2017, 75, 1496–1505. [Google Scholar] [CrossRef]
- Weng, J.; Tong, H.H.Y.; Chow, S.F. In vitro release study of the polymeric drug nanoparticles: Development and validation of a novel method. Pharmaceutics 2020, 12, 732. [Google Scholar] [CrossRef] [PubMed]
- Faisant, N.; Siepmann, J.; Benoit, J.P. PLGA-based microparticles: Elucidation of mechanisms and a new, simple mathematical model quantifying drug release. Eur. J. Pharm. Sci. 2002, 15, 355–366. [Google Scholar] [CrossRef]
- Chidambaram, N.; Burgess, D.J. A novel in vitro release method for submicron sized dispersed systems. AAPS PharmSci 1999, 1, E11. [Google Scholar] [CrossRef]
- Xu, X.; Khan, M.A.; Burgess, D.J. A two-stage reverse dialysis in vitro dissolution testing method for passive targeted liposomes. Int. J. Pharm. 2012, 426, 211–218. [Google Scholar] [CrossRef]
- Solomon, D.; Gupta, N.; Mulla, N.S.; Shukla, S.; Guerrero, Y.A.; Gupta, V. Role of in vitro release methods in liposomal formulation development: Challenges and regulatory perspective. AAPS J. 2017, 19, 1669–1681. [Google Scholar] [CrossRef]
- Fornaguera, C.; Dols-Perez, A.; Calderó, G.; García-Celma, M.J.; Camarasa, J.; Solans, C. PLGA nanoparticles prepared by nano-emulsion templating using low-energy methods as efficient nanocarriers for drug delivery across the blood-brain barrier. J. Control. Release 2015, 211, 134–143. [Google Scholar] [CrossRef] [PubMed]
- Tomic, I.; Vidis-Millward, A.; Mueller-Zsigmondy, M.; Cardot, J.M. Setting accelerated dissolution test for PLGA microspheres containing peptide, investigation of critical parameters affecting drug release rate and mechanism. Int. J. Pharm. 2016, 505, 42–51. [Google Scholar] [CrossRef] [PubMed]
- Qu, S.; Zhao, L.; Zhu, J.; Wang, C.; Dai, C.; Guo, H.; Hao, Z. Preparation and testing of cefquinome-loaded poly lactic-co-glycolic acid microspheres for lung targeting. Drug Deliv. 2017, 24, 745–751. [Google Scholar] [CrossRef]
- Loureiro, J.A.; Gomes, B.; Fricker, G.; Coelho, M.A.N.; Rocha, S.; Pereira, M.C. Cellular uptake of PLGA nanoparticles targeted with anti-amyloid and anti-transferrin receptor antibodies for Alzheimer’s disease treatment. Colloids Surf. B Biointerfaces 2016, 145, 8–13. [Google Scholar] [CrossRef] [PubMed]
- D’Souza, S. A review of in vitro drug release test methods for nano-sized dosage forms. Adv. Pharm. 2014, 2014, 304757. [Google Scholar]
- Zhang, Z.; Wang, X.; Li, B.; Hou, Y.; Yang, J.; Yi, L. Development of a novel morphological paclitaxel-loaded PLGA microspheres for effective cancer therapy: In vitro and in vivo evaluations. Drug Deliv. 2018, 25, 166–177. [Google Scholar] [CrossRef]
- Zhang, Y.; Wischke, C.; Mittal, S.; Mitra, A.; Schwendeman, S.P. Design of controlled release PLGA microspheres for hydrophobic fenretinide. Mol. Pharm. 2016, 13, 2622–2630. [Google Scholar] [CrossRef]
- Zolnik, B.S.; Raton, J.-L.; Burgess, D.J. Application of USP apparatus 4 and in situ fiber optic analysis to microsphere release testing. Dissolut. Technol. 2005, 12, 11–14. [Google Scholar] [CrossRef]
- Voisine, J.M.; Zolnik, B.S.; Burgess, D.J. In situ fiber optic method for long-term in vitro release testing of microspheres. Int. J. Pharm. 2008, 356, 206–211. [Google Scholar] [CrossRef]
- Shen, J.; Burgess, D.J. In vitro dissolution testing strategies for nanoparticulate drug delivery systems: Recent developments and challenges. Drug Deliv. Transl. Res. 2013, 3, 409–415. [Google Scholar] [CrossRef] [PubMed]
- Shen, J.; Burgess, D.J. Accelerated in vitro release testing methods for extended release parenteral dosage forms. J. Pharm. Pharmacol. 2012, 64, 986–996. [Google Scholar] [CrossRef] [PubMed]
- Burgess, D.J.; Crommelin, D.J.A.; Hussain, A.J.; Chen, M.-L. EUFEPS Workshop Report, Assuring quality and performance of sustained and controlled release parenterals. Eur. J. Pharm. Sci. 2004, 21, 679–690. [Google Scholar] [CrossRef] [PubMed]
- Yuan, W.; Kuai, R.; Dai, Z.; Yuan, Y.; Zheng, N.; Jiang, W.; Noble, C.; Hayes, M.; Szoka, F.C.; Schwendeman, A. Development of a flow-through USP-4 apparatus drug release assay to evaluate doxorubicin liposomes. AAPS J. 2017, 19, 150–160. [Google Scholar] [CrossRef] [PubMed]
- Forrest, W.P.; Reuter, K.G.; Shah, V.; Kazakevich, I.; Heslinga, M.; Dudhat, S.; Patel, S.; Neri, C.; Mao, Y. USP Apparatus 4: A valuable in vitro tool to enable formulation development of long-acting parenteral (LAP) nanosuspension formulations of poorly water-soluble compounds. AAPS PharmSciTech 2018, 19, 413–424. [Google Scholar] [CrossRef]
- Andhariya, J.V.; Shen, J.; Wang, Y.; Choi, S.; Burgess, D.J. Effect of minor manufacturing changes on stability of compositionally equivalent PLGA microspheres. Int. J. Pharm. 2019, 566, 532–540. [Google Scholar] [CrossRef]
- Rudd, N.D.; Reibarkh, M.; Fang, R.; Mittal, S.; Walsh, P.L.; Brunskill, A.P.J.; Forrest, W.P. Interpreting in vitro release performance from long-acting parenteral nanosuspensions using USP-4 dissolution and spectroscopic techniques. Mol. Pharm. 2020, 17, 1734–1747. [Google Scholar] [CrossRef]
- Fotaki, N. Flow-through cell apparatus (USP apparatus 4): Operation and features. Dissolut. Technol. 2011, 18, 46–49. [Google Scholar] [CrossRef]
- Iyer, S.S.; Barr, W.H.; Karnes, H.T. Profiling in vitro drug release from subcutaneous implants: A review of current status and potential implications on drug product development. Biopharm. Drug Dispos. 2006, 27, 157–170. [Google Scholar] [CrossRef]
- Brown, W. Apparatus 4 flow-through cell: Some thoughts on operational characteristics. Dissolut. Technol. 2005, 12, 28–30. [Google Scholar] [CrossRef]
- Bhardwaj, U.; Burgess, D.J. A novel USP apparatus 4 based release testing method for dispersed systems. Int. J. Pharm. 2010, 388, 287–294. [Google Scholar] [CrossRef] [PubMed]
- Tang, J.; Srinivasan, S.; Yuan, W.; Ming, R.; Liu, Y.; Dai, Z.; Noble, C.O.; Hayes, M.E.; Zheng, N.; Jiang, W.; et al. Development of a flow-through USP 4 apparatus drug release assay for the evaluation of amphotericin B liposome. Eur. J. Pharm. Biopharm. 2019, 134, 107–116. [Google Scholar] [CrossRef]
- Rawat, A.; Burgess, D.J. USP apparatus 4 method for in vitro release testing of protein loaded microspheres. Int. J. Pharm. 2011, 409, 178–184. [Google Scholar] [CrossRef] [PubMed]
- Andhariya, J.V.; Shen, J.; Choi, S.; Wang, Y.; Zou, Y.; Burgess, D.J. Development of in vitro-in vivo correlation of parenteral naltrexone loaded polymeric microspheres. J. Control. Release 2017, 255, 27–35. [Google Scholar] [CrossRef] [PubMed]
- Kohno, M.; Andhariya, J.V.; Wan, B.; Bao, Q.; Rothstein, S.; Hezel, M.; Wang, Y.; Burgess, D.J. The effect of PLGA molecular weight differences on risperidone release from microspheres. Int. J. Pharm. 2020, 582, 119339. [Google Scholar] [CrossRef]
- Shen, J.; Choi, S.; Qu, W.; Wang, Y.; Burgess, D.J. In vitro-in vivo correlation of parenteral risperidone polymeric microspheres. J. Control. Release 2015, 218, 2–12. [Google Scholar] [CrossRef]
- Tipnis, N.P.; Shen, J.; Jackson, D.; Leblanc, D.; Burgess, D.J. Flow-through cell-based in vitro release method for triamcinolone acetonide poly (lactic-co-glycolic) acid microspheres. Int. J. Pharm. 2020, 579, 119130. [Google Scholar] [CrossRef]
- Kamberi, M.; Nayak, S.; Myo-Min, K.; Carter, T.P.; Hancock, L.; Feder, D. A novel accelerated in vitro release method for biodegradable coating of drug eluting stents: Insight to the drug release mechanisms. Eur. J. Pharm. Sci. 2009, 37, 217–222. [Google Scholar] [CrossRef]
- Larsen, C.; Larsen, S.W.; Jensen, H.; Yaghmur, A.; Ostergaard, J. Role of in vitro release models in formulation development and quality control of parenteral depots. Expert Opin. Drug Deliv. 2009, 6, 1283–1295. [Google Scholar] [CrossRef]
- Burgess, D.J.; Hussain, A.S.; Ingallinera, T.S.; Chen, M.L. Assuring quality and performance of sustained and controlled release parenterals: AAPS workshop report, co-sponsored by FDA and USP. Pharm. Res. 2002, 19, 1761–1768. [Google Scholar] [CrossRef] [PubMed]
- Qi, F.; Wu, J.; Li, H.; Ma, G. Recent research and development of PLGA/PLA microspheres/nanoparticles: A review in scientific and industrial aspects. Front. Chem. Sci. Eng. 2019, 13, 14–27. [Google Scholar] [CrossRef]
- Rawat, A.; Stippler, E.; Shah, V.P.; Burgess, D.J. Validation of USP apparatus 4 method for microsphere in vitro release testing using Risperdal Consta. Int. J. Pharm. 2011, 420, 198–205. [Google Scholar] [CrossRef] [PubMed]
- Shen, J.; Burgess, D.J. Accelerated in vitro release testing of implantable PLGA microsphere/PVA hydrogel composite coatings. Int. J. Pharm. 2012, 422, 341–348. [Google Scholar] [CrossRef] [PubMed]
- D’Souza, S.S.; Faraj, J.A.; DeLuca, P.P. A model-dependent approach to correlate accelerated with real-time release from biodegradable microspheres. AAPS PharmSciTech 2005, 6, E553–E564. [Google Scholar] [CrossRef]
- Zolnik, B.S.; Leary, P.E.; Burgess, D.J. Elevated temperature accelerated release testing of PLGA microspheres. J. Control. Release 2006, 112, 293–300. [Google Scholar] [CrossRef]
- Duda, J.L.; Zielinski, J.M. Free-volume theory. In Diffusion in Polymers; Neogi, P., Ed.; Marcel Dekker: New York, NY, USA, 1996. [Google Scholar]
- Kang, J.; Schwendeman, S.P. Pore closing and opening in biodegradable polymers and their effect on the controlled release of proteins. Mol. Pharm. 2007, 4, 104–118. [Google Scholar] [CrossRef]
- Zolnik, B.S.; Burgess, D.J. Effect of acidic pH on PLGA microsphere degradation and release. J. Control. Release 2007, 122, 338–344. [Google Scholar] [CrossRef]
- Faisant, N.; Akiki, J.; Siepmann, F.; Benoit, J.P.; Siepmann, J. Effects of the type of release medium on drug release from PLGA-based microparticles: Experiment and theory. Int. J. Pharm. 2006, 314, 189–197. [Google Scholar] [CrossRef] [PubMed]
- Giteau, A.; Venier-Julienne, M.C.; Aubert-Pouëssel, A.; Benoit, J.P. How to achieve sustained and complete protein release from PLGA-based microparticles? Int. J. Pharm. 2008, 350, 14–26. [Google Scholar] [CrossRef] [PubMed]
- Selmin, F.; Blasi, P.; DeLuca, P.P. Accelerated polymer biodegradation of risperidone poly (D, L-lactide-co-glycolide) microspheres. AAPS PharmSciTech 2012, 13, 1465–1472. [Google Scholar] [CrossRef] [PubMed]
- Machatschek, R.; Lendlein, A. Fundamental insights in PLGA degradation from thin film studies. J. Control. Release 2020, 319, 276–284. [Google Scholar] [CrossRef] [PubMed]
- von Burkersroda, F.; Schedl, L.; Göpferich, A. Why degradable polymers undergo surface erosion or bulk erosion. Biomaterials 2002, 23, 4221–4231. [Google Scholar] [CrossRef]
- Xu, Y.; Kim, C.S.; Saylor, D.M.; Koo, D. Polymer degradation and drug delivery in PLGA-based drug-polymer applications: A review of experiments and theories. J. Biomed. Mater. Res. B Appl. Biomater. 2017, 105, 1692–1716. [Google Scholar] [CrossRef]
- Walden, M.; Nicholls, F.A.; Smith, K.J.; Tucker, G.T. The effect of ethanol on the release of opioids from oral prolonged-release preparations. Drug Dev. Ind. Pharm. 2007, 33, 1101–1111. [Google Scholar] [CrossRef]
- Xie, X.; Li, Z.; Zhang, L.; Chi, Q.; Yang, Y.; Zhang, H.; Yang, Y.; Mei, X. A novel accelerated in vitro release method to evaluate the release of thymopentin from PLGA microspheres. Pharm. Dev. Technol. 2015, 20, 633–640. [Google Scholar] [CrossRef]
- Hu, X.; Zhang, J.; Tang, X.; Li, M.; Ma, S.; Liu, C.; Gao, Y.; Zhang, Y.; Liu, Y.; Yu, F.; et al. An accelerated release method of risperidone loaded PLGA microspheres with good IVIVC. Curr. Drug Deliv. 2018, 15, 87–96. [Google Scholar] [CrossRef]
- Shen, J.; Lee, K.; Choi, S.; Qu, W.; Wang, Y.; Burgess, D.J. A reproducible accelerated in vitro release testing method for PLGA microspheres. Int. J. Pharm. 2016, 498, 274–282. [Google Scholar] [CrossRef]
- Garner, J.; Skidmore, S.; Park, H.; Park, K.; Choi, S.; Wang, Y. Beyond Q1/Q2: The impact of manufacturing conditions and test methods on drug release from PLGA-based microparticle depot formulations. J. Pharm. Sci. 2018, 107, 353–361. [Google Scholar] [CrossRef]
- Food and Drug Administration. Guidance for Industry: Extended Release Oral Dosage Forms: Development, Evaluation and Application of In Vitro/In Vivo Correlations; Food and Drug Administration: Rockville, MD, USA, 1997. [Google Scholar]
- D’Souza, S.S.; Faraj, J.A.; Giovagnoli, S.; Deluca, P.P. In vitro-in vivo correlation from lactide-co-glycolide polymeric dosage forms. Prog. Biomater. 2014, 3, 131–142. [Google Scholar] [CrossRef] [PubMed]
- Andhariya, J.V.; Jog, R.; Shen, J.; Choi, S.; Wang, Y.; Zou, Y.; Burgess, D.J. In vitro-in vivo correlation of parenteral PLGA microspheres: Effect of variable burst release. J. Control. Release 2019, 314, 25–37. [Google Scholar] [CrossRef] [PubMed]
- Zolnik, B.S.; Burgess, D.J. Evaluation of in vivo-in vitro release of dexamethasone from PLGA microspheres. J. Control. Release 2008, 127, 137–145. [Google Scholar] [CrossRef] [PubMed]
- Rawat, A.; Bhardwaj, U.; Burgess, D.J. Comparison of in vitro-in vivo release of Risperdal® Consta® microspheres. Int. J. Pharm. 2012, 434, 115–121. [Google Scholar] [CrossRef] [PubMed]
- Park, C.W.; Lee, H.J.; Oh, D.W.; Kang, J.H.; Han, C.S.; Kim, D.W. Preparation and in vitro/in vivo evaluation of PLGA microspheres containing norquetiapine for long-acting injection. Drug Des. Devel. Ther. 2018, 12, 711–719. [Google Scholar] [CrossRef] [PubMed]
- Kaihara, M.; Hojo, K.; Tajiri, T.; Kambayashi, A.; Yoshida, T.; Katakawa, Y.; Motonaga, K.; Kimura, S.I.; Iwao, Y.; Kondo, H. Novel dissolution approach for tacrolimus-loaded microspheres using a dialysis membrane for in vitro-in vivo correlation. Chem. Pharm. Bull. 2019, 67, 467–475. [Google Scholar] [CrossRef]
- Crotts, G.; Park, T.G. Protein delivery from poly(lactic-co-glycolic acid) biodegradable microspheres: Release kinetics and stability issues. J. Microencapsul. 1998, 15, 699–713. [Google Scholar] [CrossRef]
- Van de Weert, M.; Hennink, W.E.; Jiskoot, W. Protein instability in poly (lactic-co-glycolic acid) microparticles. Pharm. Res. 2000, 17, 1159–1167. [Google Scholar] [CrossRef]
- Schwendeman, S.P. Recent advances in the stabilization of proteins encapsulated in injectable PLGA delivery systems. Crit. Rev. Ther. Drug Carrier Syst. 2002, 19, 73–98. [Google Scholar] [CrossRef]
- Park, E.J.; Tak, T.H.; Na, D.H.; Lee, K.C. Effect of PEGylation on stability of peptide in poly (lactide-co-glycolide) microspheres. Arch. Pharm. Res. 2010, 33, 1111–1116. [Google Scholar] [CrossRef] [PubMed]
- Marquette, S.; Peerboom, C.; Yates, A.; Denis, L.; Langer, I.; Amighi, K.; Goole, J. Stability study of full-length antibody (anti-TNF alpha) loaded PLGA microspheres. Int. J. Pharm. 2014, 470, 41–50. [Google Scholar] [CrossRef] [PubMed]
- Diana, J.N.; Tao, Y.; Du, Q.; Wang, M.; Kumar, C.U.; Wu, F.; Jin, T. PLGA Microspheres of hGH of preserved native state prepared using a self-regulated process. Pharmaceutics 2020, 12, 683. [Google Scholar] [CrossRef]
- Fu, K.; Pack, D.W.; Klibanov, A.M.; Langer, R. Visual evidence of acidic environment within degrading poly (lactic-co-glycolic acid) (PLGA) microspheres. Pharm. Res. 2000, 17, 100–106. [Google Scholar] [CrossRef] [PubMed]
- Ding, A.G.; Shenderova, A.; Schwendeman, S.P. Prediction of microclimate pH in poly (lactic-co-glycolic acid) films. J. Am. Chem. Soc. 2006, 128, 5384–5390. [Google Scholar] [CrossRef] [PubMed]
- Liu, Y.; Ghassemi, A.H.; Hennink, W.E.; Schwendeman, S.P. The microclimate pH in poly (D,L-lactide-co-hydroxymethyl glycolide) microspheres during biodegradation. Biomaterials 2012, 33, 7584–7593. [Google Scholar] [CrossRef]
- Bilati, U.; Allémann, E.; Doelker, E. Strategic approaches for overcoming peptide and protein instability within biodegradable nano- and microparticles. Eur. J. Pharm. Biopharm. 2005, 59, 375–388. [Google Scholar] [CrossRef]
- Li, T.; Chandrashekar, A.; Beig, A.; Walker, J.; Hong, J.K.Y.; Benet, A.; Kang, J.; Ackermann, R.; Wang, Y.; Qin, B.; et al. Characterization of attributes and in vitro performance of exenatide-loaded PLGA long-acting release microspheres. Eur. J. Pharm. Biopharm. 2021, 158, 401–409. [Google Scholar] [CrossRef]
- Lucke, A.; Kiermaier, J.; Göpferich, A. Peptide acylation by poly (alpha-hydroxy esters). Pharm. Res. 2002, 19, 175–181. [Google Scholar] [CrossRef]
- Na, D.H.; Youn, Y.S.; Lee, S.D.; Son, M.W.; Kim, W.B.; DeLuca, P.P.; Lee, K.C. Monitoring of peptide acylation inside degrading PLGA microspheres by capillary electrophoresis and MALDI-TOF mass spectrometry. J. Control. Release 2003, 92, 291–299. [Google Scholar] [CrossRef]
- Murty, S.B.; Goodman, J.; Thanoo, B.; Deluca, P.P. Identification of chemically modified peptide from poly (D, L-lactide-co-glycolide) microspheres under in vitro release conditions. AAPS PharmSciTech 2003, 4, 392–405. [Google Scholar] [CrossRef][Green Version]
- Murty, S.B.; Thanoo, B.C.; Wei, Q.; DeLuca, P.P. Impurity formation studies with peptide-loaded polymeric microspheres Part I. In vivo evaluation. Int. J. Pharm. 2005, 297, 50–61. [Google Scholar] [CrossRef] [PubMed]
- Liang, R.; Li, X.; Shi, Y.; Wang, A.; Sun, K.; Liu, W.; Li, Y. Effect of water on exenatide acylation in poly (lactide-co-glycolide) microspheres. Int. J. Pharm. 2013, 454, 344–353. [Google Scholar] [CrossRef]
- Shirangi, M.; Hennink, W.E.; Somsen, G.W.; van Nostrum, C.F. Acylation of arginine in goserelin-loaded PLGA microspheres. Eur. J. Pharm. Biopharm. 2016, 99, 18–23. [Google Scholar] [CrossRef] [PubMed]
- Guo, N.; Zhang, Q.; Sun, Y.; Yang, H. Separation and identification of acylated leuprorelin inside PLGA microspheres. Int. J. Pharm. 2019, 560, 273–281. [Google Scholar] [CrossRef] [PubMed]
- Na, D.H.; DeLuca, P.P. PEGylation of octreotide: I. Separation of positional isomers and stability against acylation by poly (D,L-lactide-co-glycolide). Pharm. Res. 2005, 22, 736–742. [Google Scholar] [CrossRef]
- Na, D.H.; Lee, J.E.; Jang, S.W.; Lee, K.C. Formation of acylated growth hormone-releasing peptide-6 by poly(lactide-co-glycolide) and its biological activity. AAPS PharmSciTech 2007, 8, 43. [Google Scholar] [CrossRef] [PubMed]
- Liang, R.; Li, X.; Zhang, R.; Shi, Y.; Wang, A.; Chen, D.; Sun, K.; Liu, W.; Li, Y. Acylation of exenatide by glycolic acid and its anti-diabetic activities in db/db mice. Pharm. Res. 2014, 31, 1958–1966. [Google Scholar] [CrossRef] [PubMed]
- Wang, A.; Yan, X.; Liang, R.; Wang, L.; Chu, L.; Sun, K.; Fu, F. Preparation and evaluation of lactic acid acylated exenatide and its long-acting preparation. Pharm. Dev. Technol. 2019, 24, 1229–1235. [Google Scholar] [CrossRef] [PubMed]
- Na, D.H.; Murty, S.B.; Lee, K.C.; Thanoo, B.C.; DeLuca, P.P. Preparation and stability of poly(ethylene glycol) (PEG)ylated octreotide for application to microsphere delivery. AAPS PharmSciTech 2003, 4, E72. [Google Scholar] [CrossRef]
- Na, D.H.; Lee, K.C.; DeLuca, P.P. PEGylation of octreotide: II. Effect of N-terminal mono-PEGylation on biological activity and pharmacokinetics. Pharm. Res. 2005, 22, 743–749. [Google Scholar] [CrossRef] [PubMed]
- Houchin, M.L.; Neuenswander, S.A.; Topp, E.M. Effect of excipients on PLGA film degradation and the stability of an incorporated peptide. J. Control. Release 2007, 117, 413–420. [Google Scholar] [CrossRef] [PubMed]
- Sophocleous, A.M.; Zhang, Y.; Schwendeman, S.P. A new class of inhibitors of peptide sorption and acylation in PLGA. J. Control. Release 2009, 137, 179–184. [Google Scholar] [CrossRef][Green Version]
- Zhang, Y.; Sophocleous, A.M.; Schwendeman, S.P. Inhibition of peptide acylation in PLGA microspheres with water-soluble divalent cationic salts. Pharm. Res. 2009, 26, 1986–1994. [Google Scholar] [CrossRef][Green Version]
- Ahn, J.H.; Park, E.J.; Lee, H.S.; Lee, K.C.; Na, D.H. Reversible blocking of amino groups of octreotide for the inhibition of formation of acylated peptide impurities in poly (lactide-co-glycolide) delivery systems. AAPS PharmSciTech 2011, 12, 1220–1226. [Google Scholar] [CrossRef][Green Version]
- Zhang, Y.; Schwendeman, S.P. Minimizing acylation of peptides in PLGA microspheres. J. Control. Release 2012, 162, 119–126. [Google Scholar] [CrossRef] [PubMed][Green Version]
- Lim, S.M.; Eom, H.N.; Jiang, H.H.; Sohn, M.; Lee, K.C. Evaluation of PEGylated exendin-4 released from poly (lactic-co-glycolic acid) microspheres for antidiabetic therapy. J. Pharm. Sci. 2015, 104, 72–80. [Google Scholar] [CrossRef] [PubMed]
- Vaishya, R.D.; Mandal, A.; Gokulgandhi, M.; Patel, S.; Mitra, A.K. Reversible hydrophobic ion-paring complex strategy to minimize acylation of octreotide during long-term delivery from PLGA microparticles. Int. J. Pharm. 2015, 489, 237–245. [Google Scholar] [CrossRef] [PubMed]
- Qi, F.; Yang, L.; Wu, J.; Ma, G.; Su, Z. Microcosmic mechanism of dication for inhibiting acylation of acidic Peptide. Pharm. Res. 2015, 32, 2310–2317. [Google Scholar] [CrossRef]
- Shirangi, M.; Najafi, M.; Rijkers, D.T.; Kok, R.J.; Hennink, W.E.; van Nostrum, C.F. Inhibition of octreotide acylation inside PLGA microspheres by derivatization of the amines of the peptide with a self-immolative protecting group. Bioconjug. Chem. 2016, 27, 576–585. [Google Scholar] [CrossRef]
- Liu, J.; Xu, Y.; Wang, Y.; Ren, H.; Meng, Z.; Liu, K.; Liu, Z.; Huang, H.; Li, X. Proton oriented-“Smart Depot” for responsive release of Ca2+ to inhibit peptide acylation in PLGA microspheres. Pharm. Res. 2019, 36, 119. [Google Scholar] [CrossRef]
- Zheng, N.; Sun, D.D.; Zou, P.; Jiang, W. Scientific and regulatory considerations for generic complex drug products containing nanomaterials. AAPS J. 2017, 19, 619–631. [Google Scholar] [CrossRef]
- Rawat, A.; Burgess, D.J. Effect of physical ageing on the performance of dexamethasone loaded PLGA microspheres. Int. J. Pharm. 2011, 415, 164–168. [Google Scholar] [CrossRef]
- Wang, Y.; Burgess, D.J. Influence of storage temperature and moisture on the performance of microsphere/hydrogel composites. Int. J. Pharm. 2013, 454, 310–315. [Google Scholar] [CrossRef]






| Product | Drug | Company | Administration Route | Indications (Approval Year) |
|---|---|---|---|---|
| Arestin | Minocycline hydrochloride | OraPharma | Periodontal | Adult periodontitis (2001) |
| Bydureon | Exenatide | Amylin | SC | Type 2 diabetes (2012) |
| Decapeptyl | Triptorelin acetate | Debiopharm | IM | Prostate cancer (1986) |
| Lupron Depot | Leuprolide acetate | TAP Pharmaceuticals | IM | Prostate cancer (1996) |
| Lupron Depot-PED | Leuprolide acetate | TAP Pharmaceuticals | IM | Central precocious puberty (2011) |
| Risperdal Consta | Risperidone | Janssen Pharmaceuticals | IM | Schizophrenia (2003) |
| Salvacyl LP | Triptorelin acetate/embonate | Ipsen | IM | Severe sexual deviations (2006) |
| Sandostatin LAR | Octreotide acetate | Novartis | SC | Acromegaly (1997) |
| Somatuline Depot | Lanreotide acetate | Ipsen-Beafour | SC | Acromegaly (2007) |
| Suprecur MP | Buserelin acetate | Sanofi-Aventis | IM | Endometriosis (2002) |
| Trelstar Depot | Triptorelin pamoate | Debiopharm | IM | Prostate cancer (2000) |
| Triptodur | Triptorelin pamoate/embonate | Debiopharm | IM | Central precocious puberty (2017) |
| Vivitrol | Naltrexone | Alkermes | IM | Alcohol dependence (2006), Opioid dependence (2010) |
| Signifor LAR | Pasireotide pamoate | Novartis | IM | Acromegaly (2014) |
| Zilretta | Triamcinolone acetonide | Flexion Therapeutics | IA | Osteoarthritis pain of knee (2017) |
| Methods | Sample and Separate (SS) | Dialysis Membrane (DM) | Continuous Flow (CF) |
|---|---|---|---|
| Compendial apparatus | USP apparatus II (paddle) | - | USP apparatus IV (Flow-through cell) |
| Sample container | Tube or Basket | Dialysis sac | Flow-through cell |
| Sampling | Sampling supernatant of the release medium after particle separation by centrifugation or filtration | Sampling bulk media outside the dialysis sac containing the microparticles | Sampling from a reservoir where the release medium is circulated through the cells containing the microparticles |
| Advantages | Easy to perform and accurate measurement of the initial burst drug release | Convenient sampling and minimal particle loss | Automated process, multiple time points sampling available and in situ detection methods applicable |
| Disadvantages | Cumbersome sampling process and undesirable withdrawal of microparticles from the medium | Slow equilibration with the outer media leading to inaccurate measurement of initial drug levels | Expensive and maintenance-intensive equipment, and the difficulty of long-term release testing |
| Factor | Condition | In Vitro Release Method | Drug | Reference |
|---|---|---|---|---|
| Temperature | 45 °C | CF | Risperidone | [87] |
| 40, 50, 55, 60 °C | SS | Leuprolide | [37] | |
| 50, 55, 60 °C | DM | Leuprolide | [89] | |
| 45, 53, 60, 70 °C | CF | Dexamethasone | [90] | |
| 45, 53, 60, 65 °C | DM | 5-fluorouracil | [94] | |
| 40, 45, 50, 55 °C | SS | Thymopentin | [101] | |
| 45, 50, 55 °C | SS | Risperidone | [102] | |
| pH | 2.4 | CF | Dexamethasone | [93] |
| 1.3, 7.4, 10.8 | DM | 5-fluorouracil | [94] | |
| 4.7, 7.0 | SS | Thymopentin | [101] | |
| 5.0, 7.0, 9.0 | SS | Risperidone | [102] | |
| Organic solvent | Acetonitrile, ethanol, acetone 10% (v/v) | SS | Thymopentin | [101] |
| Ethanol 10, 20, 30% (v/v) | SS | Risperidone | [102] | |
| Osmolarity | 280, 370, 560, 700, 840 mOsm/L | DM | 5-fluorouracil | [94] |
| 300, 500, 700 mOsm/L | SS | Risperidone | [102] |
| Drug Encapsulated in Microparticles | In Vitro Methods | In Vivo Animals | R2 | References |
|---|---|---|---|---|
| Donepezil | SS | Rats | >0.97 | [38] |
| Leuprolide | SS | Rabbits | >0.97 | [22] |
| Naltrexone | CF | Rabbits | >0.94 | [79] |
| Norquetiapine | SS | Rats | >0.98 | [110] |
| Olanzapine | DM | Rats | >0.96 | [19] |
| Risperidone | SS | Rats | >0.95 | [102] |
| DM | Rats | >0.97 | [106] | |
| CF | Rabbits | >0.97 | [81] |
Publisher’s Note: MDPI stays neutral with regard to jurisdictional claims in published maps and institutional affiliations. |
© 2021 by the authors. Licensee MDPI, Basel, Switzerland. This article is an open access article distributed under the terms and conditions of the Creative Commons Attribution (CC BY) license (https://creativecommons.org/licenses/by/4.0/).
Share and Cite
Kim, Y.; Park, E.J.; Kim, T.W.; Na, D.H. Recent Progress in Drug Release Testing Methods of Biopolymeric Particulate System. Pharmaceutics 2021, 13, 1313. https://doi.org/10.3390/pharmaceutics13081313
Kim Y, Park EJ, Kim TW, Na DH. Recent Progress in Drug Release Testing Methods of Biopolymeric Particulate System. Pharmaceutics. 2021; 13(8):1313. https://doi.org/10.3390/pharmaceutics13081313
Chicago/Turabian StyleKim, Yejin, Eun Ji Park, Tae Wan Kim, and Dong Hee Na. 2021. "Recent Progress in Drug Release Testing Methods of Biopolymeric Particulate System" Pharmaceutics 13, no. 8: 1313. https://doi.org/10.3390/pharmaceutics13081313
APA StyleKim, Y., Park, E. J., Kim, T. W., & Na, D. H. (2021). Recent Progress in Drug Release Testing Methods of Biopolymeric Particulate System. Pharmaceutics, 13(8), 1313. https://doi.org/10.3390/pharmaceutics13081313

