Assessment of Vehicle Volatility and Deposition Layer Thickness in Skin Penetration Models
Abstract
1. Introduction
2. Materials and Methods
2.1. Two Models of Penetration into the Stratum Corneum
2.1.1. Model A
2.1.2. Model B
2.2. IVPT Data
2.3. Assessment of Model A Deposition Layer Capacity
2.4. Optimization and Assessment of Predictive Performance of Models A and B
2.4.1. Optimization and Assessment of Model A
2.4.2. Optimization and Assessment of Model B
2.5. AIC Analysis
2.6. Software
3. Results
3.1. Assessment of Model A Deposition Layer Capacity
3.2. Optimization of Models A and B
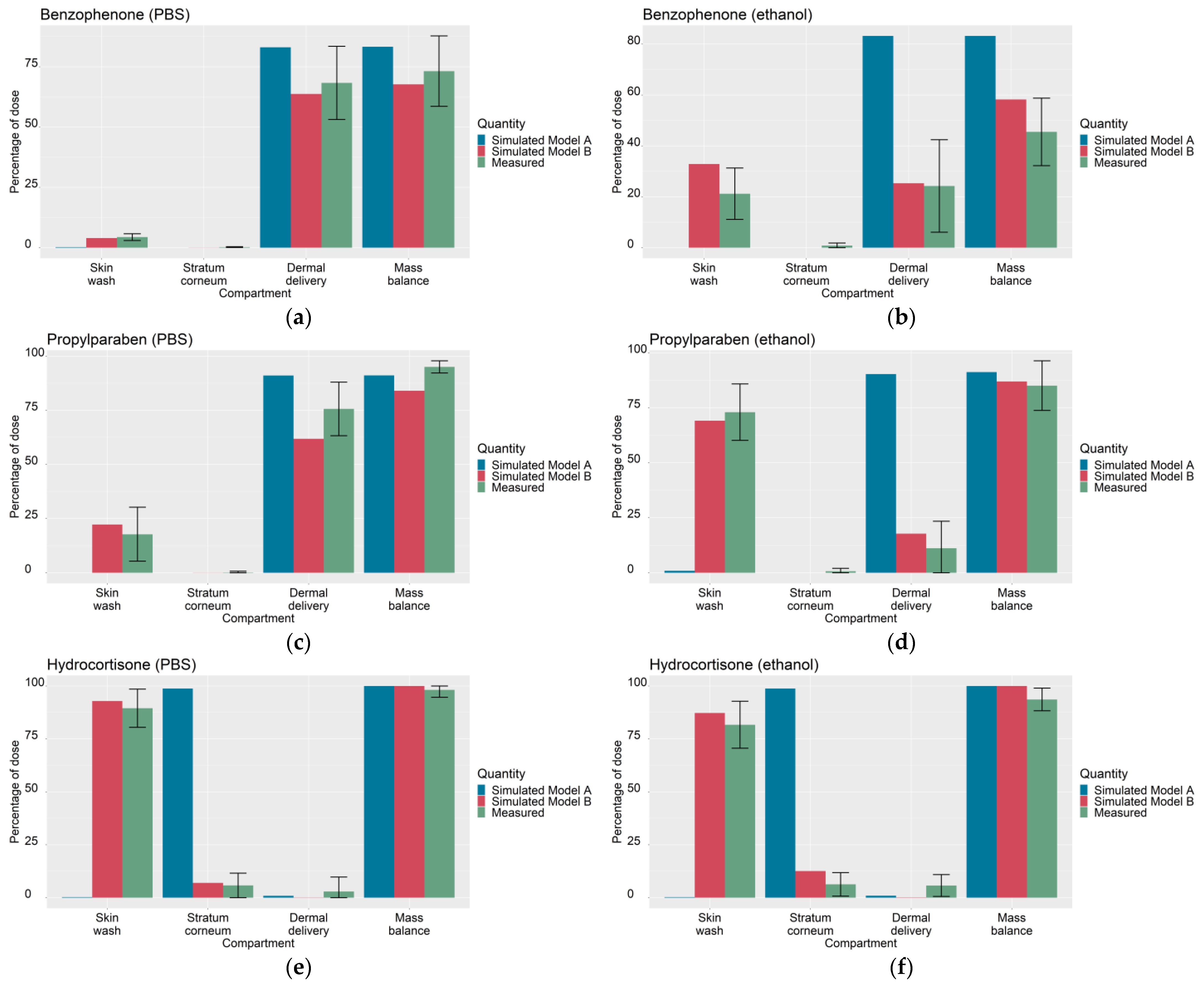
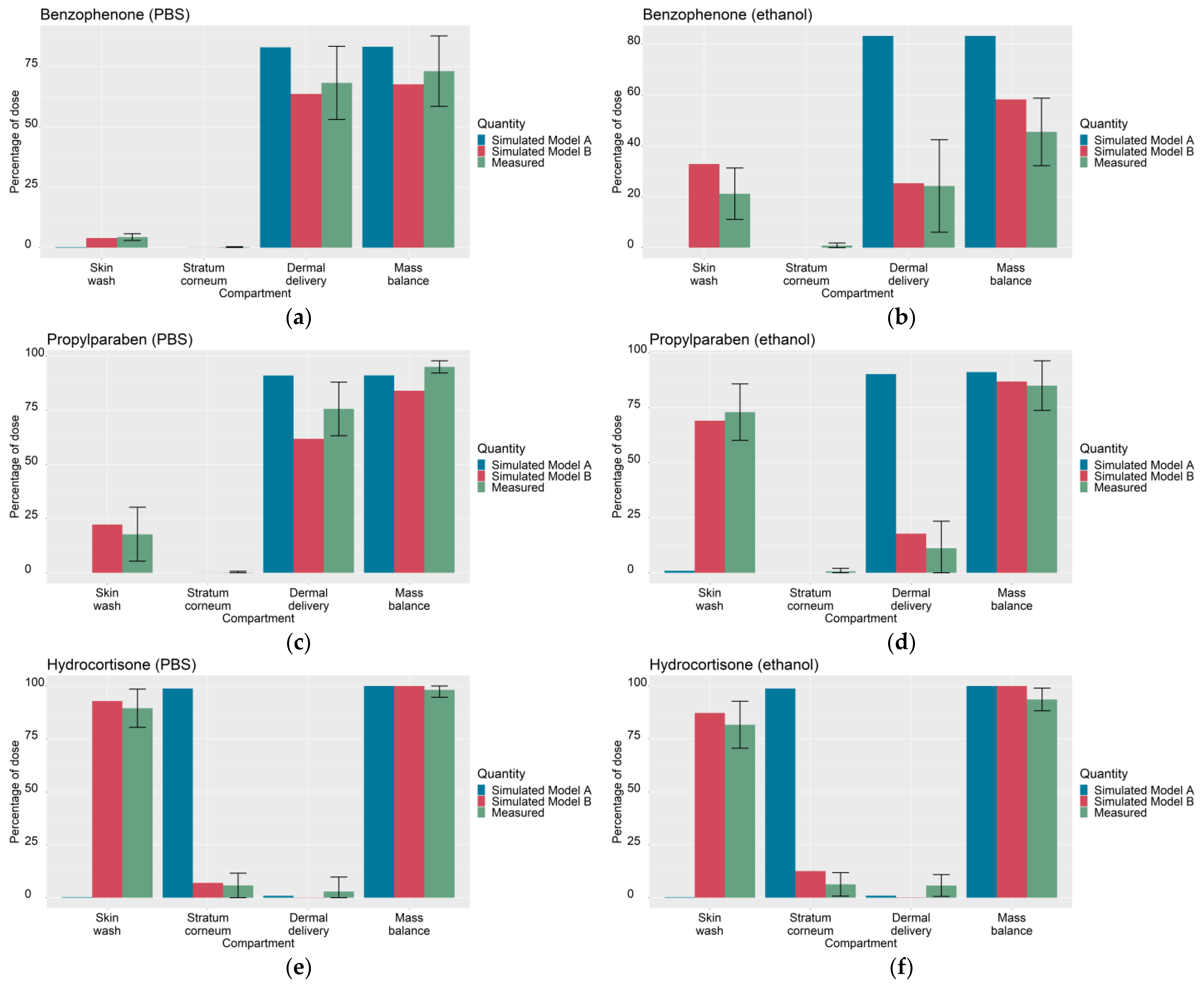
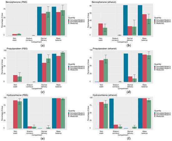
3.3. Assessment of Models A and B
4. Discussion
4.1. Model A Overpredicts the Capacity of the Deposition Layer
4.2. Vehicle Volatility Limits Permeant Diffusion into the SC
4.3. Model B Predicts Greater Permeant Accumulation on the Skin Surface
4.4. Relative Predictive Accuracy of Models A and B
4.5. Application of the Learned Model B Parameters to Future Dermal Absorption Estimates
4.6. Implications for Risk Assessment
4.7. Future Research Directions: Workflow Development for Formulation Selection
4.8. Limitations
5. Conclusions
Author Contributions
Funding
Institutional Review Board Statement
Informed Consent Statement
Data Availability Statement
Conflicts of Interest
Appendix A. Nomenclature
| Nomenclature | |
| Concentration of the permeant in the stratum corneum, at skin depth and time . | |
| Concentration of the permeant in the epidermis, at skin depth and time . | |
| Concentration of the permeant in the dermis, at skin depth and time . | |
| Wind velocity | |
| Dose of permeant (mass per area). | |
| Permeant mass per area of skin on skin surface. | |
| Saturation concentration of permeant in stratum corneum. | |
| Partition coefficient of permeant in stratum corneum relative to water. | |
| Stratum corneum diffusion constant. | |
| Partition coefficient of permeant in viable epidermis relative to water. | |
| Viable epidermis diffusion constant. | |
| Partition coefficient of permeant in dermis relative to water. | |
| Dermis diffusion constant. | |
| Dermis clearance rate constant. | |
| Rate of evaporation of permeant. | |
| Rate of evaporation of vehicle. | |
| Stratum corneum thickness | |
| Epidermis thickness | |
| Dermis thickness | |
| Proportion of stratum corneum thickness occupied by deposition layer | |
| Measured mean skin wash at time | |
| Measured mean stratum corneum accumulation at time | |
| Measured mean cumulative dermal delivery at time | |
| Measured mean mass balance at time | |
| Measured standard deviation in skin wash at time | |
| Measured standard deviation in stratum corneum accumulation at time | |
| Measured standard deviation in cumulative dermal delivery at time | |
| Measured standard deviation in mass balance at time | |
Appendix B. Mathematical Details
| Model A | Model B |
|---|---|
| Initial conditions | |
| Boundary conditions | |
| for otherwise | |
| (in vivo case) | |
| (in vitro case) | |
| Dynamics | |
| for | |
| for | |
| with (in vivo case), (in vitro case) for | |
| Quantity | Definition |
|---|---|
| Skin wash | |
| Stratum corneum accumulation | |
| Cumulative dermal delivery | |
| Mass balance as a percentage of dose |
| Quantity | Definition |
|---|---|
| Skin wash error at time | |
| Stratum corneum accumulation error at time | |
| Cumulative dermal delivery error at time | |
| Root sum of squares error at time | |
| Mass balance error at time |
- as defined in Table A4 for the th IVPT evaluated at time h.
- for the th IVPT, the error was evaluated using:
- ○
- the model estimates for IVPT at time h, generated by Model A using , and,
- ○
- corresponding to the mass balance of IVPT at time h as measured in Hewitt et al. [5].
- as defined in Table A4 for theth IVPT evaluated at time h,
- for IVPT , the error was evaluated using:
- ○
- the model estimates for IVPT , at time h, generated by Model B using
- ▪
- ,
- ▪
- and for PBS solvent IVPTs, and,
- ▪
- and for ethanol solvent IVPTs
Appendix C. Assessment of Model A Deposition Layer Capacity
| Compound | Dose (µg/cm2) | Skin Wash (µg/cm2) | Deposition Layer Capacity > Dose? | |||
|---|---|---|---|---|---|---|
| 1-4-Phenylenediamine | 0.91 | 3.75 | 31,035.56 | 4.03 | 0.49 | Yes |
| 2-4-Dichloroacetophenone | 0.78 | 19.75 | 12,439.82 | 1.62 | 0.0048 | Yes |
| 2-4-Dinitrochlorobenzene | 4.26 | 18.28 | 7492.78 | 0.97 | 0.44 | No |
| 2-5-Diaminotoluene sulfate | 0.94 | 5.01 | 39,584.87 | 5.15 | 0.72 | Yes |
| 2-Acetyl aminofluorene (ethanol solvent) | 1.3 | 42.00 | 168.00 | 0.02 | 1.12 | No |
| 2-amino-3-methylimidazo[4-5-f]quinoline | 3.21 | 11.10 | 5880.38 | 0.76 | 2.37 | No |
| 2-aminophenol | 5.85 | 6.45 | 129,005.20 | 16.77 | 2.18 | Yes |
| 2-Nitro-1-4-phenylenediamine | 5.78 | 6.11 | 5861.87 | 0.76 | 3.67 | No |
| 4-Amino-3-nitrophenol | 11.76 | 5.68 | 11,301.56 | 1.47 | 6.08 | No |
| 4-Aminophenol | 4.48 | 4.56 | 3466.24 | 0.45 | 3.71 | No |
| 4-Bromophenyl isocyanate (ethanol solvent) | 1.24 | 61.92 | 2167.30 | 0.28 | 0.9 | No |
| 4-Chloroaniline | 5.08 | 14.22 | 46,230.42 | 6.01 | 1.94 | Yes |
| 4-Chlorobutyric acid | 66.36 | 10.04 | 825,457.00 | 107.31 | 54.83 | Yes |
| 4-Methylvaleric acid | 20.3 | 15.85 | 134,428.20 | 17.48 | 3.08 | No |
| 4-Nitro-1-2-Phenylenediamine | 1.18 | 7.58 | 1590.91 | 0.21 | 0.54 | No |
| 4-Tolunitrile | 1.89 | 17.20 | 13,588.19 | 1.77 | 0.043 | No |
| 6-Methylcoumarin | 4.21 | 15.06 | 7381.77 | 0.96 | 0.135 | No |
| 7-Ethoxycoumarin | 1.13 | 20.22 | 15,769.40 | 2.05 | 0.066 | Yes |
| Acetophenone | 10.27 | 11.95 | 105,894.70 | 13.77 | 0.2 | Yes |
| alpha-Methyl-1-3-benzodioxole- 5-propionaldehyde | 2.63 | 23.98 | 8151.58 | 1.06 | 0.36 | No |
| Anisyl alcohol | 11.95 | 8.71 | 17,415.46 | 2.26 | 0.58 | No |
| Basic Red 76 (Chloride salt) | 53.27 | 3.71 | 33,537.68 | 4.36 | 51.1 | No |
| Benzoic Acid | 7.92 | 14.64 | 65,135.30 | 8.47 | 4.33 | Yes |
| Benzophenone (ethanol solvent) | 0.99 | 44.66 | 9825.68 | 1.28 | 0.21 | Yes |
| Benzophenone (PBS solvent) | 1.28 | 44.66 | 9825.68 | 1.28 | 0.056 | No |
| Benzyl bromide (acetone solvent) | 9.12 | 34.52 | 252,705.50 | 32.85 | 0.23 | Yes |
| Benzylidene acetone | 3.91 | 16.94 | 36,091.70 | 4.69 | 0.25 | Yes |
| Caffeine | 1.08 | 4.28 | 74,864.29 | 9.73 | 0.58 | Yes |
| Cinnamic acid | 1.62 | 17.73 | 14,004.37 | 1.82 | 1.16 | Yes |
| Cinnamyl Alcohol | 6.72 | 15.51 | 61,724.10 | 8.02 | 0.28 | Yes |
| Cyclophosphamide monohydrate | 47.42 | 6.49 | 52,502.84 | 6.83 | 39.45 | No |
| Diethanolamine | 10.2 | 2.03 | 2,029,273.00 | 263.81 | 9.88 | Yes |
| Diethyleneglycol butyl ether | 64.11 | 6.22 | 3,080,250.00 | 400.43 | 0.66 | Yes |
| Diethylmaleate | 24.08 | 18.70 | 288,926.00 | 37.56 | 3.12 | Yes |
| Dimethyl fumarate | 6.24 | 5.07 | 405,633.60 | 52.73 | 0.31 | Yes |
| Dimethyl phthalate | 1.31 | 12.12 | 38,530.15 | 5.01 | 0.21 | Yes |
| ethylhexyl acrylate | 6.63 | 133.87 | 170,015.20 | 22.10 | 1.67 | Yes |
| Eugenol | 6.23 | 19.75 | 63,383.82 | 8.24 | 0.29 | Yes |
| Geraniol (ethanol solvent) | 2.92 | 67.95 | 23,782.20 | 3.09 | 0.77 | Yes |
| Geraniol (PBS solvent) | 2.36 | 67.95 | 23,782.20 | 3.09 | 0.13 | Yes |
| HC Red No3 | 22.04 | 6.03 | 22,018.61 | 2.86 | 19.91 | No |
| Hydrocortisone (ethanol solvent) | 5.41 | 12.20 | 11,833.66 | 1.54 | 4.42 | No |
| Hydrocortisone (PBS solvent) | 5.53 | 12.20 | 11,833.66 | 1.54 | 4.95 | No |
| Hydroquinone | 15.73 | 6.33 | 375,682.60 | 48.84 | 9.05 | Yes |
| Ibuprofen | 2.51 | 113.73 | 46,630.21 | 6.06 | 1.89 | Yes |
| Isoeugenol | 3.52 | 38.77 | 23,262.68 | 3.02 | 0.6 | No |
| Methyl Methane sulfonate | 24.83 | 3.35 | 1,775,874.00 | 230.86 | 2.14 | Yes |
| Methylisothiazolinone | 13.62 | 2.79 | 1,497,644.00 | 194.69 | 0.83 | Yes |
| Methylparaben | 3.21 | 15.62 | 36,555.72 | 4.75 | 0.54 | Yes |
| Naphthalene (ethanol solvent) | 0.93 | 50.70 | 1520.88 | 0.20 | 0.114 | No |
| Nitrobenzene | 3.7 | 14.43 | 67,672.38 | 8.80 | 0.28 | Yes |
| Propylparaben (ethanol solvent) | 2.96 | 38.77 | 20,160.99 | 2.62 | 2.16 | No |
| Propylparaben (PBS solvent-experiment 2) | 2.51 | 38.77 | 20,160.99 | 2.62 | 0.75 | Yes |
| Propylparaben (PBS solvent-experiment 1) | 2.42 | 38.77 | 20,160.99 | 2.62 | 0.43 | Yes |
| Resorcinol | 97.86 | 7.21 | 3,630,053.00 | 471.91 | 16.69 | Yes |
| Testosterone (ethanol solvent) | 1.64 | 51.80 | 6734.57 | 0.88 | 1.41 | No |
| Tetramethyl thiuram disulfide (ethanol solvent) | 1.21 | 13.26 | 1590.72 | 0.21 | 0.917 | No |
| Thioglycolic acid | 72.46 | 4.70 | 2,214,796.00 | 287.92 | 47.69 | Yes |
| trans-Cinnamaldehyde | 2.42 | 14.96 | 20,939.01 | 2.72 | 0.1 | Yes |
| Triclosan (ethanol solvent) | 1.81 | 364.45 | 14,577.90 | 1.90 | 1.41 | Yes |
| Vanillin | 3.3 | 9.35 | 79,078.40 | 10.28 | 0.72 | Yes |
References
- Krüse, J.; Golden, D.; Wilkinson, S.; Williams, F.; Kezic, S.; Corish, J. Analysis, Interpretation, and Extrapolation of Dermal Permeation Data Using Diffusion-Based Mathematical Models. J. Pharm. Sci. 2007, 96, 682–703. [Google Scholar] [CrossRef]
- Kasting, G.B.; Miller, M.A. Kinetics of finite dose absorption through skin 2: Volatile compounds. J. Pharm. Sci. 2006, 95, 268–280. [Google Scholar] [CrossRef] [PubMed]
- Anissimov, Y.G.; Jepps, O.G.; Dancik, Y.; Roberts, M.S. Mathematical and pharmacokinetic modelling of epidermal and dermal transport processes. Adv. Drug Deliv. Rev. 2013, 65, 169–190. [Google Scholar] [CrossRef]
- Chia-Ming, C.; Flynn, G.L.; Weiner, N.D.; Szpunar, G.J. Bioavailability assessment of topical delivery systems: Effect of vehicle evaporation upon in vitro delivery of minoxidil from solution formulations. Int. J. Pharm. 1989, 55, 229–236. [Google Scholar] [CrossRef]
- Hewitt, N.J.; Grégoire, S.; Cubberley, R.; Duplan, H.; Eilstein, J.; Ellison, C.; Lester, C.; Fabian, E.; Fernandez, J.; Géniès, C.; et al. Measurement of the penetration of 56 cosmetic rel-evant chemicals into and through human skin using a standardized protocol. J. Appl. Toxicol. 2019, 40, 403–415. [Google Scholar] [CrossRef] [PubMed]
- Oliviera, G.; Hadgraft, J.; Lane, M.E. The Influence of volatile solvents on transport across model membranes and hu-man skin. Int. J. Pharm. 2012, 435, 38–49. [Google Scholar] [CrossRef] [PubMed]
- Akhter, S.A.; Barry, B.W. Absorption through human skin of ibuprofen and flurbiprofen; effect of dose variation, de-posited drug films, occlusion and the penetration enhancer N-methyl-2-pyrrolidone. J. Pharm. Pharmacol. 1985, 37, 27–37. [Google Scholar] [CrossRef] [PubMed]
- Otto, A.; Du Plessis, J.; Wiechers, J.W. Formulation effects of topical emulsions on transdermal and dermal delivery. Int. J. Cosmet. Sci. 2009, 31, 1–19. [Google Scholar] [CrossRef]
- Dancik, Y.; Miller, M.A.; Jaworska, J.; Kasting, G.B. Design and performance of a spreadsheet-based model for estimat-ing bioavailability of chemicals from dermal exposure. Adv. Drug Deliv. Rev. 2013, 65, 221–236. [Google Scholar] [CrossRef] [PubMed]
- Kasting, G.B. Kinetics of Finite Dose Absorption through Skin 1. Vanillylnonanamide. J. Pharm. Sci. 2001, 90, 202–212. [Google Scholar] [CrossRef]
- Nitsche, J.M.; Wang, T.-F.; Kasting, G.B. A two-phase analysis of solute partitioning into the stratum corneum. J. Pharm. Sci. 2006, 95, 649–666. [Google Scholar] [CrossRef] [PubMed]
- Wang, T.-F.; Kasting, G.B.; Nitsche, J.M. A multiphase microscopic diffusion model for stratum corneum permeability. I. formulation, solution, and illustrative results for representative compounds. J. Pharm. Sci. 2006, 95, 620–648. [Google Scholar] [CrossRef]
- Wang, T.; Kasting, G.B.; Nitsche, J.M. A multiphase microscopic diffusion model for stratum corneum permeability. II. estimation of physicochemical parameters, and application to a large permeability database. J. Pharm. Sci. 2007, 96, 3024–3051. [Google Scholar] [CrossRef] [PubMed]
- Kretsos, K.; Miller, M.A.; Zamora-Estrada, G.; Kasting, G.B. Partitioning, diffusivity and clearance of skin permeants in mammalian dermis. Int. J. Pharm. 2008, 346, 64–79. [Google Scholar] [CrossRef] [PubMed]
- Haq, A.; Michniak-Kohn, B. Effects of solvents and penetration enhancers on transdermal delivery of thymoquinone: Permeability and skin deposition study. Drug Deliv. 2018, 25, 1943–1949. [Google Scholar] [CrossRef]
- Bozdogan, H. Model selection and Akaike’s Information Criterion (AIC): The general theory and its analytical extensions. Psychometrika 1987, 52, 345–370. [Google Scholar] [CrossRef]
- Hamadeh, A.; Sevestre, M.; Edginton, A. Implementation of Dancik et al (2013) Skin Permeation Model in MoBi. 22 May 2019. Available online: https://github.com/Open-Systems-Pharmacology/Skin-permeation-model (accessed on 31 March 2021).
- Nelder, J.A.; Mead, R. A simplex method for function minimization. Comput. J. 1965, 7, 308–313. [Google Scholar] [CrossRef]
- Cheruvu, H.S.; Liu, X.; Grice, J.E.; Roberts, M.S. Modeling percutaneous absorption for successful drug discovery and development. Expert Opin. Drug Discov. 2020, 15, 1181–1198. [Google Scholar] [CrossRef]
- Samaras, E.G.; Riviere, J.E.; Ghafourian, T. The effect of formulations and experimental conditions on in vitro human skin permeation—Data from updated EDETOX database. Int. J. Pharm. 2012, 434, 280–291. [Google Scholar] [CrossRef]
- Davis, A.F.; Gyurik, R.J.; Hadgraft, J.; Pellett, M.A.; Walters, K.A. Formulation strategies for modulating skin permea-tion. In Dermatological and Transdermal Formulations; Marcel Dekker: New York, NY, USA, 2002; pp. 271–317. [Google Scholar]
- Kasting, G.B.; Miller, M.A.; Bhatt, V.D. A Spreadsheet-Based Method for Estimating the Skin Disposition of Volatile Compounds: Application to N,N-Diethyl-m-Toluamide (DEET). J. Occup. Environ. Hyg. 2008, 5, 633–644. [Google Scholar] [CrossRef] [PubMed]
- Dancik, Y.; A Troutman, J.; Jaworska, J. A framework incorporating the impact of exposure scenarios and application conditions on risk assessment of chemicals applied to skin. Silico Pharmacol. 2013, 1, 10. [Google Scholar] [CrossRef]
- Vickers, C.F.H. Existence of Reservoir in the Stratum Corneum. Arch. Dermatol. 1963, 88, 20–23. [Google Scholar] [CrossRef] [PubMed]
- Shaker, D.S.; Ishak, R.A.H.; Ghoneim, A.; Elhuoni, M.A. Nanoemulsion: A Review on Mechanisms for the Transdermal Delivery of Hydrophobic and Hydrophilic Drugs. Sci. Pharm. 2019, 87, 17. [Google Scholar] [CrossRef]
- Kurakula, M.; Ahmed, O.; Fahmy, U.; Ahmed, T. Solid lipid nanoparticles for transdermal delivery of avanafil: Optimiza-tion, formulation, in-vitro and ex-vivo studies. J. Liposome Res. 2016, 26, 288–296. [Google Scholar] [CrossRef]
- Friberg, S.E. Micelles, microemulsions, liquid crystals, and the structure of stratum corneum lipids. J. Soc. Cosmet. Chem 1990, 41, 155–171. [Google Scholar]







| 1-4-Phenylenediamine | Caffeine |
| 2-5-Diaminotoluene sulfate | Cinnamic acid |
| 2-Amino-3-methylimidazo [4-5-f]quinoline | Cinnamyl Alcohol |
| 2-Aminophenol | Cyclophosphamide monohydrate |
| 2-Nitro-1-4-phenylenediamine | Diethanolamine |
| 4-Amino-3-nitrophenol | HC Red No3 |
| 4-Nitro-1-2-Phenylenediamine | Hydroquinone |
| 6-Methylcoumarin | Ibuprofen |
| 7-Ethoxycoumarin | Methylparaben |
| Anisyl alcohol | Propylparaben (experiment 2 in [5]) |
| Basic Red 76 (Chloride salt) | Resorcinol |
| Benzoic Acid | Thioglycolic acid |
| Benzylidene acetone | Vanillin |
| 2-Acetylaminofluorene |
| 4-Bromophenyl isocyanate |
| Testosterone |
| Tetramethyl thiuram disulfide |
| Triclosan |
| Model | Parameter | Description | Calibrated Value |
|---|---|---|---|
| A | Wind velocity | 43 cm/min | |
| B | Wind velocity | 0.68 cm/min | |
| B | Deposition layer proportion of SC under PBS vehicle | 0.03 | |
| B | Deposition layer proportion of SC under ethanol vehicle | 0.05 | |
| B | Evaporation rate of PBS vehicle | 0.0055 cm/min | |
| B | Evaporation rate of ethanol vehicle | 0.014 cm/min |
| Solvent | Compound | Dose (µg/cm2) | Skin Washat t = 24 h (µg/cm2) | Stratum Corneum Accumulation at t = 24 h (µg/cm2) | Cumulative Dermal Delivery at t = 24 h (µg/cm2) | |||||||||
|---|---|---|---|---|---|---|---|---|---|---|---|---|---|---|
| Observed | Predicted | Observed | Predicted | Observed | Predicted | |||||||||
| Mean | SD | Model A | Model B | Mean | SD | Model A | Model B | Mean | SD | Model A | Model B | |||
| PBS | 6-Methylcoumarin | 4.21 | 0.14 | 0.08 | 0.01 | 3.62 | 0.01 | 0 | 0.04 | 0.01 | 4.06 | 0.14 | 3.59 | 0.47 |
| Vanillin | 3.3 | 0.72 | 0.24 | 0 | 1.80 | 0.06 | 0.02 | 0.44 | 0.20 | 1.92 | 0.33 | 2.85 | 1.28 | |
| 7-Ethoxycoumarin | 1.13 | 0.07 | 0.04 | 0 | 0.59 | 0 | 0 | 0.04 | 0.02 | 1.08 | 0.06 | 1.06 | 0.48 | |
| 4-Amino-3-nitrophenol | 11.76 | 6.08 | 1.4 | 0.69 | 11.35 | 0.41 | 0.27 | 7.97 | 0.23 | 4.94 | 1.60 | 3.09 | 0.17 | |
| Caffeine | 1.08 | 0.58 | 0.21 | 0 | 0 | 0.02 | 0.01 | 1.05 | 1.05 | 0.44 | 0.21 | 0.03 | 0.03 | |
| Benzoic Acid | 7.92 | 4.33 | 0.61 | 0 | 4.20 | 0.17 | 0.08 | 0 | 0 | 2.74 | 0.64 | 7.92 | 3.60 | |
| Thioglycolic acid | 72.46 | 47.69 | 5.12 | 0 | 41.19 | 4.32 | 1.23 | 0.93 | 0.25 | 10.28 | 6.69 | 71.53 | 19.21 | |
| 2-5-Diaminotoluene sulfate | 0.94 | 0.72 | 0.04 | 0 | 0 | 0.02 | 0.01 | 0.33 | 0.32 | 0.14 | 0.03 | 0.61 | 0.61 | |
| Propylparaben (PBS—experiment 2) | 2.51 | 0.75 | 0.15 | 0 | 0.60 | 0.03 | 0.02 | 0 | 0 | 1.66 | 0.23 | 2.51 | 1.52 | |
| Cyclophosphamide monohydrate | 47.42 | 39.45 | 6.39 | 23.56 | 45.64 | 1.60 | 1.08 | 23.8 | 1.73 | 4.87 | 5.27 | 0.07 | 0.01 | |
| Resorcinol | 97.86 | 16.69 | 5.79 | 0 | 69.81 | 5.13 | 2.96 | 0.01 | 0 | 72.61 | 8.89 | 97.85 | 27.98 | |
| Benzylidene acetone | 3.91 | 0.25 | 0.04 | 0 | 0.01 | 0.06 | 0.01 | 0.01 | 0 | 2.83 | 0.15 | 3.90 | 1.70 | |
| Ibuprofen | 2.51 | 1.89 | 0.42 | 0 | 0 | 0.11 | 0.06 | 0 | 0 | 0.56 | 0.41 | 2.51 | 2.50 | |
| Methylparaben | 3.21 | 0.54 | 0.29 | 0 | 0.99 | 0.01 | 0 | 0.02 | 0.01 | 2.47 | 0.30 | 3.19 | 1.34 | |
| 2-Aminophenol | 5.85 | 2.18 | 0.93 | 0 | 3.51 | 0.19 | 0.09 | 0.33 | 0.13 | 2.89 | 0.85 | 5.52 | 2.14 | |
| Anisyl alcohol | 11.95 | 0.58 | 0.29 | 0.02 | 10.76 | 0.01 | 0.01 | 1.14 | 0.07 | 10.17 | 0.69 | 10.79 | 0.79 | |
| Cinnamic acid | 1.62 | 1.16 | 0.14 | 0 | 0.64 | 0.05 | 0.02 | 0 | 0 | 0.39 | 0.14 | 1.62 | 0.70 | |
| 2-Nitro-1-4-phenylenediamine | 5.78 | 3.67 | 1.25 | 0.01 | 5.56 | 0.08 | 0.06 | 3.67 | 0.11 | 1.95 | 1.12 | 2.11 | 0.11 | |
| Cinnamyl Alcohol | 6.72 | 0.28 | 0.19 | 0 | 0.01 | 0 | 0 | 0 | 0 | 5.86 | 0.37 | 6.72 | 3.00 | |
| Diethanolamine | 10.2 | 9.88 | 0.28 | 0 | 0 | 0.13 | 0.06 | 7.89 | 7.92 | 0.19 | 0.20 | 2.31 | 2.28 | |
| 1-4-Phenylenediamine | 0.91 | 0.49 | 0.06 | 0 | 0 | 0.09 | 0.03 | 0.43 | 0.42 | 0.17 | 0.06 | 0.48 | 0.48 | |
| Hydroquinone | 15.73 | 9.05 | 1.90 | 0 | 9.33 | 1.54 | 0.87 | 1.08 | 0.44 | 4.01 | 2.59 | 14.65 | 5.95 | |
| 2-amino-3-methylimidazo[4 -5-f]quinoline | 3.21 | 2.37 | 0.33 | 0.01 | 2.98 | 0.51 | 0.26 | 1.23 | 0.08 | 0.29 | 0.21 | 1.97 | 0.15 | |
| 4-Nitro-1-2-Phenylenediamine | 1.18 | 0.54 | 0.11 | 0 | 1.12 | 0.05 | 0.01 | 0.39 | 0.02 | 0.55 | 0.09 | 0.79 | 0.05 | |
| Basic Red 76 (Chloride salt) | 53.27 | 51.10 | 0.78 | 45.69 | 52.15 | 0.48 | 0.21 | 7.58 | 1.12 | 0.12 | 0.11 | 0 | 0 | |
| HC Red No3 | 22.04 | 19.91 | 0.85 | 6.59 | 21.30 | 0.81 | 0.49 | 14.06 | 0.63 | 0.62 | 0.41 | 1.39 | 0.11 | |
| Ethanol | 4-Bromophenyl isocyanate | 1.24 | 0.90 | 0.14 | 0 | 0 | 0.21 | 0.10 | 0 | 0 | 0.03 | 0.02 | 0.05 | 0.04 |
| 2-Acetyl aminofluorene | 1.3 | 1.12 | 0.07 | 0.77 | 1.29 | 0.03 | 0.02 | 0.12 | 0 | 0.08 | 0.05 | 0.40 | 0.01 | |
| Testosterone | 1.64 | 1.41 | 0.13 | 0.01 | 1.35 | 0.07 | 0.03 | 0.27 | 0.05 | 0.08 | 0.06 | 1.36 | 0.24 | |
| Tetramethyl thiuram disulfide | 1.21 | 0.92 | 0.07 | 0 | 1.12 | 0.04 | 0.02 | 0.67 | 0.05 | 0.05 | 0.03 | 0.44 | 0.04 | |
| Triclosan | 1.81 | 1.41 | 0.07 | 0 | 1.30 | 0.22 | 0.07 | 0.12 | 0.03 | 0.08 | 0.02 | 1.69 | 0.48 | |
| Solvent | Quantity | Model A | Model B |
|---|---|---|---|
| PBS | Skin wash error | 2392 | 5343 |
| Stratum corneum accumulation error | 51,691 | 28,925 | |
| Cumulative dermal delivery error | 851 | 1566 | |
| Weighted sum of squares error | 54,926 | 35,772 | |
| Ethanol | Skin wash error | 764 | 59 |
| Stratum corneum accumulation error | 885 | 14 | |
| Cumulative dermal delivery error | 7200 | 405 | |
| Weighted sum of squares error | 8848 | 478 |
Publisher’s Note: MDPI stays neutral with regard to jurisdictional claims in published maps and institutional affiliations. |
© 2021 by the authors. Licensee MDPI, Basel, Switzerland. This article is an open access article distributed under the terms and conditions of the Creative Commons Attribution (CC BY) license (https://creativecommons.org/licenses/by/4.0/).
Share and Cite
Hamadeh, A.; Troutman, J.; Edginton, A.N. Assessment of Vehicle Volatility and Deposition Layer Thickness in Skin Penetration Models. Pharmaceutics 2021, 13, 807. https://doi.org/10.3390/pharmaceutics13060807
Hamadeh A, Troutman J, Edginton AN. Assessment of Vehicle Volatility and Deposition Layer Thickness in Skin Penetration Models. Pharmaceutics. 2021; 13(6):807. https://doi.org/10.3390/pharmaceutics13060807
Chicago/Turabian StyleHamadeh, Abdullah, John Troutman, and Andrea N. Edginton. 2021. "Assessment of Vehicle Volatility and Deposition Layer Thickness in Skin Penetration Models" Pharmaceutics 13, no. 6: 807. https://doi.org/10.3390/pharmaceutics13060807
APA StyleHamadeh, A., Troutman, J., & Edginton, A. N. (2021). Assessment of Vehicle Volatility and Deposition Layer Thickness in Skin Penetration Models. Pharmaceutics, 13(6), 807. https://doi.org/10.3390/pharmaceutics13060807

