Evaluation of Lidocaine and Metabolite Pharmacokinetics in Hyaluronic Acid Injection
Abstract
1. Introduction
2. Materials and Methods
2.1. Chemicals and Reagents
2.2. Animals
2.3. Animal Study Design
2.4. Analytical Methodology
2.5. Pharmacokinetics and Modeling
2.5.1. PK Analysis and Model Development
2.5.2. Model Evaluation
2.6. Statistical Analysis
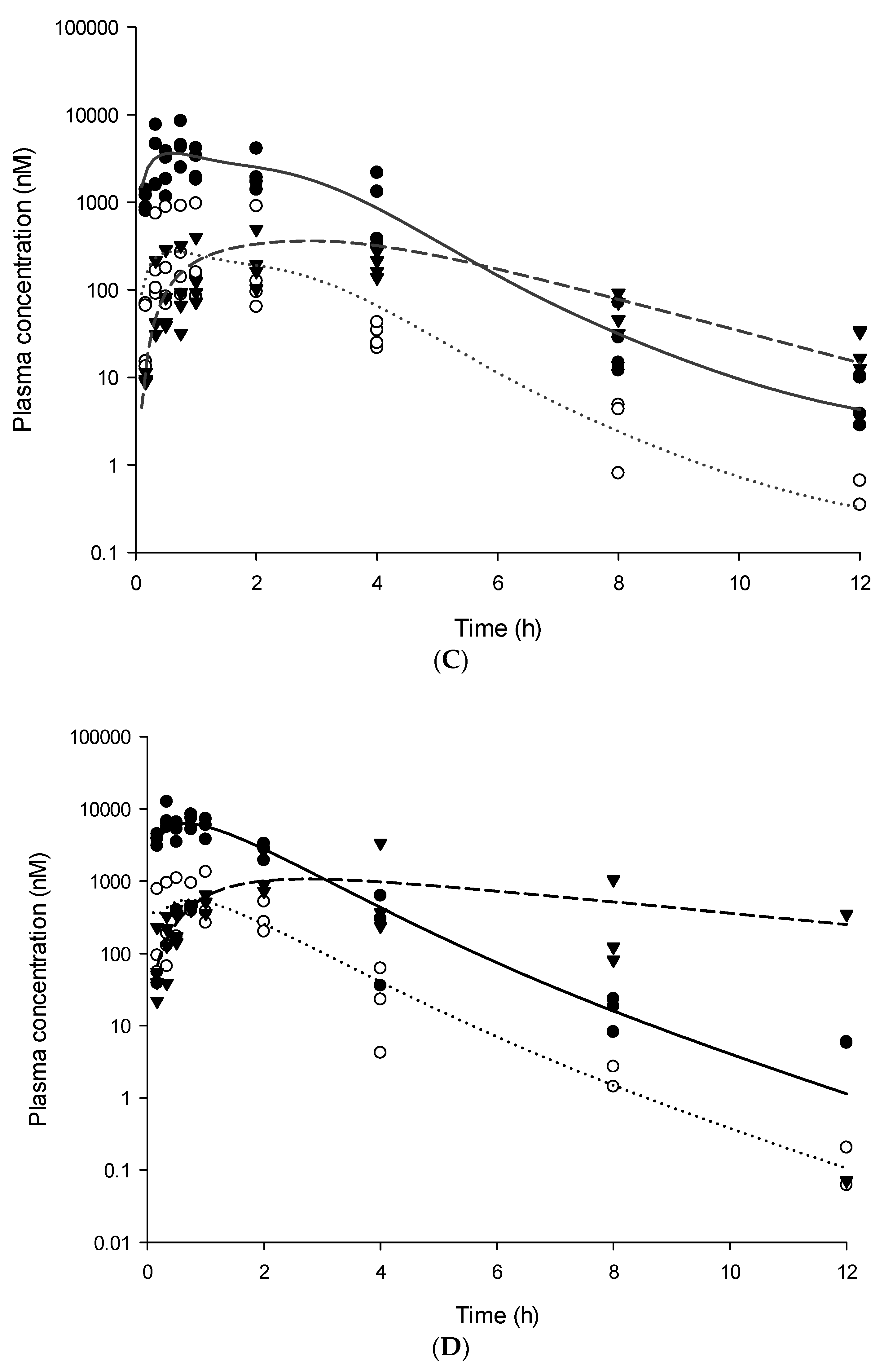
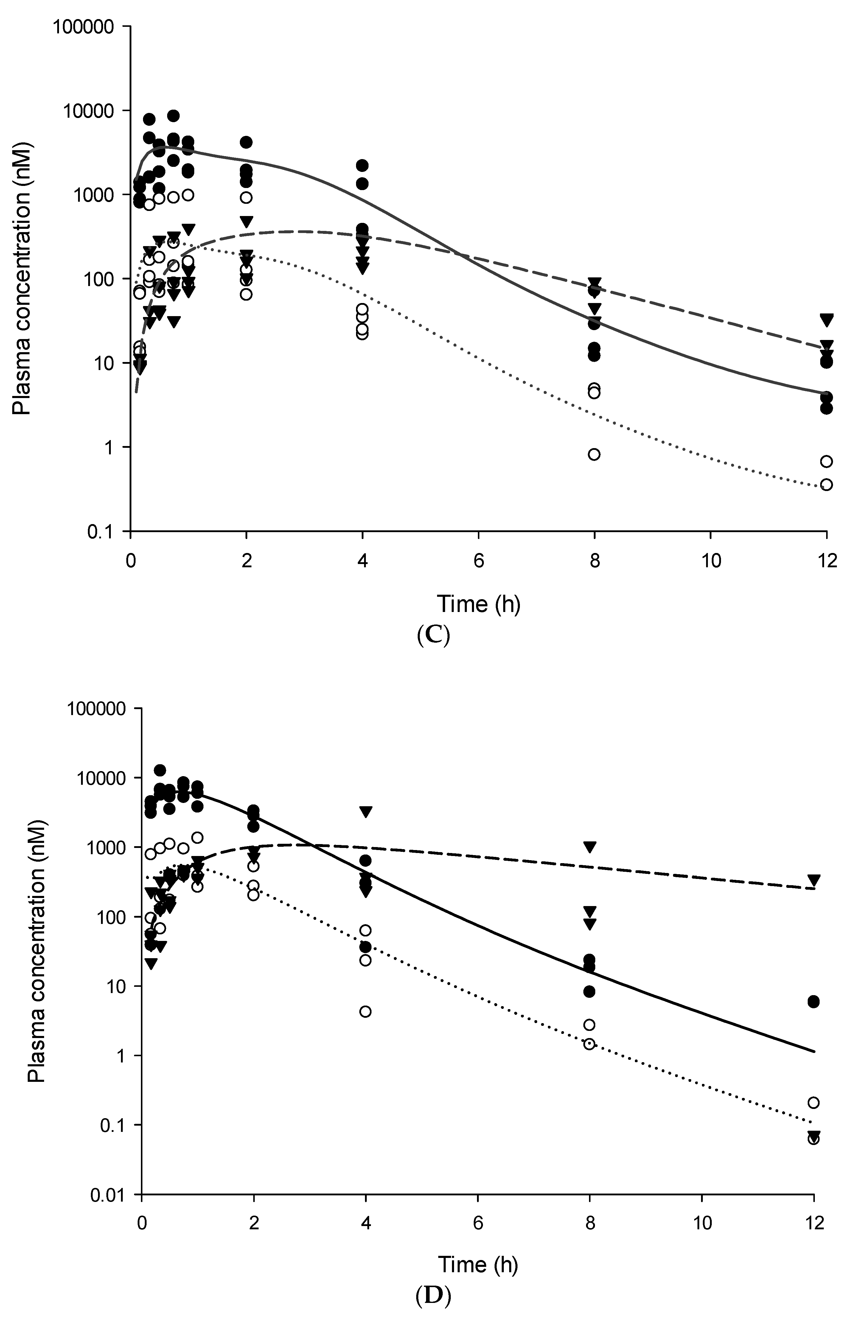
3. Results
3.1. Analytical Method Development and Validation
3.2. PK Model Development and Model Evaluation
4. Discussion
5. Conclusions
Author Contributions
Funding
Institutional Review Board Statement
Informed Consent Statement
Data Availability Statement
Conflicts of Interest
References
- Wang, C.; Luan, S.; Panayi, A.C.; Xin, M.; Mi, B.; Luan, J. Effectiveness and Safety of Hyaluronic Acid Gel with Lidocaine for the Treatment of Nasolabial Folds: A Systematic Review and Meta-analysis. Aesthetic Plast. Surg. 2018, 42, 1104–1110. [Google Scholar] [CrossRef] [PubMed]
- Levy, P.M.; De Boulle, K.; Raspaldo, H. Comparison of Injection Comfort of a New Category of Cohesive Hyaluronic Acid Filler with Preincorporated Lidocaine and a Hyaluronic Acid Filler Alone. Dermatol. Surg. 2009, 35 (Suppl. 1), 332–337. [Google Scholar] [CrossRef] [PubMed]
- Raspaldo, H.; De Boulle, K.; Levy, P.M. Longevity of effects of hyaluronic acid plus lidocaine facial filler. J. Cosmet. Dermatol. 2010, 9, 11–15. [Google Scholar] [CrossRef] [PubMed]
- Matarasso, S.L.; Carruthers, J.D.; Jewell, M.L. Consensus Recommendations for Soft-Tissue Augmentation with Nonanimal Stabilized Hyaluronic Acid (Restylane). Plast. Reconstr. Surg. 2006, 117 (Suppl. 3), 3S–34S. [Google Scholar] [CrossRef] [PubMed]
- Narang, P.K.; Crouthamel, W.G.; Carliner, N.H.; Fisher, M.L. Lidocaine and its active metabolites. Clin. Pharmacol. Ther. 1978, 24, 654–662. [Google Scholar] [CrossRef]
- Choquette, A.; Troncy, E.; Guillot, M.; Varin, F.; Del Castillo, J.R.E. Pharmacokinetics of Lidocaine Hydrochloride Administered with or without Adrenaline for the Paravertebral Brachial Plexus Block in Dogs. PLoS ONE 2017, 12, e0169745. [Google Scholar] [CrossRef]
- Burney, R.G.; DiFazio, C.A.; Peach, M.J.; Petrie, K.A.; Silvester, M.J. Anti-arrhythmic effects of lidocaine metabolites. Am. Hear. J. 1974, 88, 765–769. [Google Scholar] [CrossRef]
- Bennett, P.N.; Aarons, L.J.; Bending, M.R.; Steiner, J.A.; Rowland, M. Pharmacokinetics of lidocaine and its deethylated metabolite: Dose and time dependency studies in man. J. Pharmacokinet. Biopharm. 1982, 10, 265–281. [Google Scholar] [CrossRef]
- Bursi, R.; Piana, C.; Grevel, J.; Huntjens, D.; Boesl, I. Evaluation of the Population Pharmacokinetic Properties of Lidocaine and its Metabolites After Long-Term Multiple Applications of a Lidocaine Plaster in Post-Herpetic Neuralgia Patients. Eur. J. Drug Metab. Pharmacokinet. 2017, 42, 801–814. [Google Scholar] [CrossRef] [PubMed][Green Version]
- Júnior, E.R.; Bentley, M.V.L.B.; Marchetti, J.M. HPLC assay of lidocaine in in vitro dissolution test of the Poloxamer 407 gels. Rev. Bras. Ciências Farm. 2002, 38, 107–111. [Google Scholar] [CrossRef][Green Version]
- Malenović, A.; Medenica, M.; Ivanović, D.; Jancic, B.; Markovic, S. Development and validation of RP–HPLC method for cetrimonium bromide and lidocaine determination. Farmaco 2005, 60, 157–161. [Google Scholar] [CrossRef] [PubMed]
- Zivanovic, L.; Zecevic, M.; Markovic, S.; Petrovic, S.; Ivanovic, I. Validation of liquid chromatographic method for analysis of lidocaine hydrochloride, dexamethasone acetate, calcium dobesilate, buthylhydroxyanisol and degradation product hydroquinone in suppositories and ointment. J. Chromatogr. A 2005, 1088, 182–186. [Google Scholar] [CrossRef] [PubMed]
- Chik, Z.; Lee, T.D.; Holt, D.W.; Johnston, A.; Tucker, A.T. Validation of High-Performance Liquid Chromatographic—Mass Spectrometric Method for the Analysis of Lidocaine in Human Plasma. J. Chromatogr. Sci. 2006, 44, 262–265. [Google Scholar] [CrossRef] [PubMed]
- Abdelwahab, N.S. Determination of Thiomersal, Lidocaine and Phenylepherine in their Ternary Mixture. J. Chromatogr. Sep. Tech. 2013, 4, 8. [Google Scholar] [CrossRef]
- Belal, T.S.; Bedair, M.M.; Gazy, A.A.; Guirguis, K.M. Validated Selective HPLC-DAD Method for the Simultaneous Determination of Diclofenac Sodium and Lidocaine Hydrochloride in Presence of Four of Their Related Substances and Potential Impurities. Acta Chromatogr. 2015, 27, 477–493. [Google Scholar] [CrossRef]
- Grigoriev, A.; Nikitina, A.; Yaroshenko, I.S.; Sidorova, A. Development of a HPLC–MS/MS method for the simultaneous determination of nifedipine and lidocaine in human plasma. J. Pharm. Biomed. Anal. 2016, 131, 13–19. [Google Scholar] [CrossRef]
- Al Nebaihi, H.M.; Primrose, M.; Green, J.S.; Brocks, D.R. A High-Performance Liquid Chromatography Assay Method for the Determination of Lidocaine in Human Serum. Pharmaceutics 2017, 9, 52. [Google Scholar] [CrossRef]
- Meshram, D.B.; Mehta, K.; Mishra, P. Stability Indicating Analytical Method for the Simultaneous Estimation of Lidocaine and Nifedipine in the Combined Dosage Form. Der Pharma Chem. 2018, 10, 60–66. [Google Scholar]
- Yadlapalli, S.S.R.; Katari, N.K.; Surendrababu, M.S.; Karra, V.K.; Kommineni, V.; Jonnalagadda, S.B. Simultaneous quantification of lidocaine and prilocaine in human plasma by LC-MS/MS and its application in a human pharmacokinetic study. Pract. Lab. Med. 2019, 17, e00129. [Google Scholar] [CrossRef]
- Schnider, T.W.; Gaeta, R.; Brose, W.; Minto, C.F.; Gregg, K.M.; Shafer, S.L. Derivation and Cross-validation of Pharmacokinetic Parameters for Computer-controlled Infusion of Lidocaine in Pain Therapy. Anesthesiology 1996, 84, 1043–1050. [Google Scholar] [CrossRef]
- Burm, A.G.; de Boer, A.G.; van Kleef, J.W.; Vermeulen, N.P.; de Leede, L.G.; Spierdijk, J.; Breimer, D.D. Pharmacokinetics of lidocaine and bupivacaine and stable isotope labelled analogues: A study in healthy volunteers. Biopharm. Drug Dispos. 1988, 9, 85–95. [Google Scholar] [CrossRef] [PubMed]
- Le Normand, Y.; De Dieuleveult, C.; Athouel, A.; Queinnec, M.; De Villepoix, C.; Larousse, C. Pharmacokinetics of Lidocaine and Bupivacaine in Retrobulbar and Facial Block. Fundam. Clin. Pharmacol. 1989, 3, 95–102. [Google Scholar] [CrossRef] [PubMed]
- Maes, A.; Weiland, L.; Sandersen, C.; Gasthuys, F.; De Backer, P.; Croubels, S. Determination of lidocaine and its two N-desethylated metabolites in dog and horse plasma by high-performance liquid chromatography combined with electrospray ionization tandem mass spectrometry. J. Chromatogr. B Anal. Technol. Biomed. Life Sci. 2007, 852, 180–187. [Google Scholar] [CrossRef] [PubMed]
- Saluti, G.; Giusepponi, D.; Moretti, S.; Di Salvo, A.; Galarini, R. Flexible Method for Analysis of Lidocaine and Its Metabolite in Biological Fluids. J. Chromatogr. Sci. 2016, 54, 1193–1200. [Google Scholar] [CrossRef] [PubMed][Green Version]
- Liu, J.; Lv, X. The Pharmacokinetics and Pharmacodynamics of Lidocaine-Loaded Biodegradable Poly(lactic-co-glycolic acid) Microspheres. Int. J. Mol. Sci. 2014, 15, 17469–17477. [Google Scholar] [CrossRef] [PubMed]
- Hasan, B.; Asif, T.; Hasan, M. Lidocaine-Induced Systemic Toxicity: A Case Report and Review of Literature. Cureus 2017, 9, e1275. [Google Scholar] [CrossRef] [PubMed]
- Marra, D.E.; Yip, D.; Fincher, E.F.; Moy, R.L. Systemic Toxicity from Topically Applied Lidocaine in Conjunction with Fractional Photothermolysis. Arch. Dermatol. 2006, 142, 1024–1026. [Google Scholar] [CrossRef]
- Imaoka, S.; Enomoto, K.; Oda, Y.; Asada, A.; Fujimori, M.; Shimada, T.; Fujita, S.; Guengerich, F.P.; Funae, Y. Lidocaine metabolism by human cytochrome P-450s purified from hepatic microsomes: Comparison of those with rat hepatic cytochrome P-450s. J. Pharmacol. Exp. Ther. 1990, 255, 1385–1391. [Google Scholar]
- Leclercq, I.; Saliez, A.; Wallemacq, P.E.; Horsmans, Y.; Lambotte, L. The monoethylglycinexylidide test does not correctly evaluate lidocaine metabolism after ischemic liver injury in the rat. Hepatology 1997, 26, 1182–1188. [Google Scholar] [CrossRef]
- Diehl, K.-H.; Hull, R.; Morton, D.; Pfister, R.; Rabemampianina, Y.; Smith, D.; Vidal, J.-M.; Van De Vorstenbosch, C. A good practice guide to the administration of substances and removal of blood, including routes and volumes. J. Appl. Toxicol. 2001, 21, 15–23. [Google Scholar] [CrossRef]
- Adams, S.; Pacharinsak, C.; Animal Committee, U. o. B. C. Rat and Mouse Anesthesia and Analgesia: Formulary and General Drug Information. Curr. Protoc. Mouse Biol. 2015, 5, 51–63. [Google Scholar] [CrossRef] [PubMed]
- Hsu, Y.-W.; Somma, J.; Newman, M.F.; Mathew, J.P. Population Pharmacokinetics of Lidocaine Administered During and After Cardiac Surgery. J. Cardiothorac. Vasc. Anesthesia 2011, 25, 931–936. [Google Scholar] [CrossRef] [PubMed]
- Greenblatt, D.J. Pharmacokinetic Approach to the Clinical Use of Lidocaine Intravenously. JAMA J. Am. Med Assoc. 1976, 236, 273. [Google Scholar] [CrossRef]
- Savic, R.M.; Jonker, D.M.; Kerbusch, T.; Karlsson, M.O. Implementation of a transit compartment model for describing drug absorption in pharmacokinetic studies. J. Pharmacokinet. Pharmacodyn. 2007, 34, 711–726. [Google Scholar] [CrossRef] [PubMed]
- Deshpande, V.S.; Genter, M.B.; Jung, C.; Desai, P.B. Characterization of lidocaine metabolism by rat nasal microsomes: Implications for nasal drug delivery. Eur. J. Drug Metab. Pharmacokinet. 1999, 24, 177–182. [Google Scholar] [CrossRef] [PubMed]
- Van Ginneken, C.A.M.; Van Rossum, J.M.; Fleuren, H.L.J.M. Linear and nonlinear kinetics of drug elimination I. Kinetics on the basis of a single capacity-limited pathway of elimination with or without simultaneous supply-limited elimination. J. Pharmacokinet. Biopharm. 1974, 2, 395–415. [Google Scholar] [CrossRef] [PubMed]










| Lidocaine | |||
| Theoretical Conc. (ng/mL) | Measured Conc. (Mean ± S.D., ng/mL) | Precision (CV, %) | Accuracy (%) |
| Inter-day | |||
| 1 | 1.07 ± 0.07 | 6.90 | 107.35 |
| 3 | 3.17 ± 0.14 | 4.27 | 105.78 |
| 80 | 79.81 ± 9.33 | 11.68 | 99.77 |
| 400 | 370.68 ± 7.55 | 2.04 | 92.67 |
| Intra-day | |||
| 1 | 0.99 ± 0.14 | 13.94 | 98.80 |
| 3 | 3.03 ± 0.15 | 5.09 | 100.99 |
| 80 | 77.47 ± 3.19 | 4.11 | 96.83 |
| 400 | 367.38 ± 18.42 | 5.01 | 91.85 |
| MEGX | |||
| Theoretical Conc. (ng/mL) | Measured Concentration (Mean ± S.D., ng/mL) | Precision (CV, %) | Accuracy (%) |
| Inter-day | |||
| 1 | 0.97 ± 0.09 | 9.14 | 96.70 |
| 3 | 3.11 ± 0.17 | 5.47 | 103.61 |
| 80 | 82.95 ± 4.82 | 5.81 | 103.69 |
| 400 | 356.84 ± 8.01 | 3.98 | 89.21 |
| Intra-day | |||
| 1 | 1.00 ± 0.10 | 9.72 | 99.50 |
| 3 | 3.12 ± 0.17 | 5.55 | 104.14 |
| 80 | 77.87 ± 9.48 | 12.17 | 97.34 |
| 400 | 370.94 ± 33.10 | 8.92 | 92.73 |
| GX | |||
| Theoretical Conc. (ng/mL) | Measured Conc. (Mean ± S.D., ng/mL) | Precision (CV, %) | Accuracy (%) |
| Inter-day | |||
| 1 | 1.09 ± 0.05 | 4.70 | 108.76 |
| 3 | 3.07 ± 0.25 | 8.03 | 102.35 |
| 80 | 79.93 ± 5.58 | 6.98 | 99.91 |
| 400 | 402.79 ± 16.76 | 4.16 | 100.70 |
| Intra-day | |||
| 1 | 1.03 ± 0.09 | 8.21 | 103.62 |
| 3 | 3.00 ± 0.11 | 3.82 | 100.02 |
| 80 | 78.70 ± 8.71 | 11.07 | 98.38 |
| 400 | 421.79 ± 37.28 | 8.84 | 105.45 |
| Model | Model Description | −2LL | AIC | BIC |
|---|---|---|---|---|
| 100 | One compartment model with zero-order absorption | 2055.87 | 2071.87 | 2094.63 |
| 101 | One compartment model with first-order absorption | 2030.97 | 2046.97 | 2069.66 |
| 102 | One compartment model with first-order absorption with lag time | 2042.75 | 2062.75 | 2091.11 |
| 103 | One compartment model with first-order and zero-order absorption | 2049.48 | 2073.48 | 2102.65 |
| 104 | One compartment model with transit model absorption | 2042.76 | 2066.76 | 2100.79 |
| 105 | One compartment model with zero-order and transit model absorption | 2032.19 | 2064.19 | 2109.57 |
| 106 | One compartment model with combined first-order and transit model absorption | 2026.92 | 2058.92 | 2104.30 |
| 200 | Two compartment model with first-order absorption | 2028.62 | 2052.62 | 2081.84 |
| 201 | Two compartment model combined first-order and transit model absorption | 2019.79 | 2059.79 | 2121.83 |
| 202 | Two compartment model combined first-order and transit model absorption with non-linear clearance using Michaelis-Menten equation | 2015.44 | 2059.44 | 2116.52 |
| Group | Compound | Half-life (h) | Cmax or Co (ng/mL) | Tmax (h) | AUCinf (h × ng/mL) |
|---|---|---|---|---|---|
| Group 1 | Lidocaine | 1.34 (0.06) | 6710.62 (2089.38) | - | 1228.75 (87.41) |
| (0.3% solution, IV) | MEGX | 0.88 (0.16) | 197.49 (177.72) | 0.25 (0.11) | 97.38 (29.15) |
| GX | 2.58 (0.03) | 61.78 (22.44) | 0.33 (0.24) | 1786.53 (32.59) | |
| Group 2 | Lidocaine | 1.44 (0.07) | 542.48 (102.20) | 0.61 (0.24) | 856.03 (82.67) |
| (0.3% solution, SC) | MEGX | 1.60 (0.32) | 11.77 (11.08) | 0.78 (0.39) | 27.23 (16.80) |
| GX | 3.19 (0.11) | 14.71 (4.52) | 2.00 (0) | 108.14 (47.37) | |
| Group 3 | Lidocaine | 1.20 (0.13) | 1204.21 (535.43) | 0.58 (0.20) | 2588.77 (847.10) |
| (LHA 0.3%, SC) | MEGX | 0.98 (0.35) | 80.03 (80.50) | 0.81 (0.24) | 197.19 (219.90) |
| GX | 2.81 (0.89) | 44.87 (29.13) | 3.00 (1.16) | 270.83 (102.72) | |
| Group 4 | Lidocaine | 0.94 (0.22) | 2034.27 (616.60) | 0.54 (0.24) | 3088.04 (267.43) |
| (LHA 1%, SC) | MEGX | 0.75 (0.35) | 132.13 (95.55) | 0.75 (0.20) | 295.73 (177.43) |
| GX | 1.64 (0.92) | 143.95 (21.66) | 2.67 (1.15) | 1442.35 (1533.06) | |
| Group 5 | Lidocaine | 1.52 (0.19) | 6332.16 (2168.15) | 1.44 (0.66) | 22470.67 (5474.96) |
| (LHA 3%, SC) | MEGX | 1.12 (0.22) | 469.36 (266.15) | 2.25 (1.26) | 1979.03 (1477.58) |
| GX | 4.05 (0.65) | 424.31 (155.67) | 4.00 (0) | 3811.32 (1839.31) |
| Parameter (Unit) | Definition | Estimate | CV (%) | Bootstrap 95% CI |
|---|---|---|---|---|
| (Lower, Upper) | ||||
| Fixed effect | ||||
| Ka1 (h−1) | Absorption rate constant of first-order absorption | 5.92 | 12.97 | (5.19, 6.64) |
| V1/F (L) | Apparent volume of distribution of compartment 1 | 2.57 | 13.66 | (2.23, 2.89) |
| V2/F (L) | Apparent volume of distribution of compartment 2 | 0.07 | 3.22 | (0.06, 0.07) |
| CLd/F (L/h) | Inter-compartmental Clearance | 0.13 | 0.37 | (0.1323, 0.1332) |
| Fr | Fraction of the dose absorbed by first-order absorption | 0.373 | 1.19 | (0.371, 0.374) |
| MTT (h) | Mean Transit Time | 0.64 | 11.35 | (0.57, 0.70) |
| Ntr | Number of transit compartments | 4.97 | 0.17 | (4.96, 4.98) |
| Ka2(h−1) | Absorption rate constant from the final transit compartment to the central compartment | 1.67 | 4.73 | (1.59, 1.74) |
| Vmax (nmol/h) | Maximum rate of reaction | 423,962.94 | 10.05 | (383,479.15, 464,446.73) |
| Km (nmol/L) | Michaelis-Menten constant | 136,808.67 | 18.62 | (112,613.9, 161,003.44) |
| CLm1/F (L/h) | Apparent Metabolite (MEGX) clearance | 14.94 | 15.31 | (12.76, 17.11) |
| Fm1 | Fraction of the parent converted to first metabolite | 0.65 | 1.06 | (0.644, 0.646) |
| CLm2/F (L/h) | Apparent Metabolite clearance | 1.09 | 4.58 | (1.04, 1.14) |
| Fm2 | Fraction of the first metabolite converted to second metabolite | 0.47 | 13.67 | (0.46, 0.47) |
| Random effects | ||||
| ω V | IIV of V | 0.13 | 9.23 | (0.127, 0.152) |
| ω CLd | IIV of CLd | 0.19 | 6.84 | (0.181, 0.208) |
| ω Vmax | IIV of Vmax | 0.08 | 7.50 | (0.077, 0.089) |
| ω Km | IIV of Km | 0.17 | 7.06 | (0.159, 0.183) |
| ω CLm1 | IIV of CLm | 0.38 | 6.84 | (0.350, 0.402) |
| ω CLm2 | IIV of CLm2 | 0.23 | 6.96 | (0.216, 0.248) |
| Residual error | ||||
| ε1 | Proportional error of Lidocaine | 0.49 | 2.02 | (0.485, 0.504) |
| ε2 | Proportional error of MEGX | 0.58 | 3.20 | (0.562, 0.597) |
| ε3 | Proportional error of GX | 0.41 | 3.99 | (0.399, 0.430) |
Publisher’s Note: MDPI stays neutral with regard to jurisdictional claims in published maps and institutional affiliations. |
© 2021 by the authors. Licensee MDPI, Basel, Switzerland. This article is an open access article distributed under the terms and conditions of the Creative Commons Attribution (CC BY) license (http://creativecommons.org/licenses/by/4.0/).
Share and Cite
Kim, J.H.; Kang, D.W.; Choi, G.-W.; Lee, S.B.; Lee, S.; Cho, H.-Y. Evaluation of Lidocaine and Metabolite Pharmacokinetics in Hyaluronic Acid Injection. Pharmaceutics 2021, 13, 203. https://doi.org/10.3390/pharmaceutics13020203
Kim JH, Kang DW, Choi G-W, Lee SB, Lee S, Cho H-Y. Evaluation of Lidocaine and Metabolite Pharmacokinetics in Hyaluronic Acid Injection. Pharmaceutics. 2021; 13(2):203. https://doi.org/10.3390/pharmaceutics13020203
Chicago/Turabian StyleKim, Ju Hee, Dong Wook Kang, Go-Wun Choi, Sang Bok Lee, Seongjin Lee, and Hea-Young Cho. 2021. "Evaluation of Lidocaine and Metabolite Pharmacokinetics in Hyaluronic Acid Injection" Pharmaceutics 13, no. 2: 203. https://doi.org/10.3390/pharmaceutics13020203
APA StyleKim, J. H., Kang, D. W., Choi, G.-W., Lee, S. B., Lee, S., & Cho, H.-Y. (2021). Evaluation of Lidocaine and Metabolite Pharmacokinetics in Hyaluronic Acid Injection. Pharmaceutics, 13(2), 203. https://doi.org/10.3390/pharmaceutics13020203

