Eutectic Formation of Naproxen with Some Dicarboxylic Acids
Abstract
:1. Introduction
2. Materials and Methods
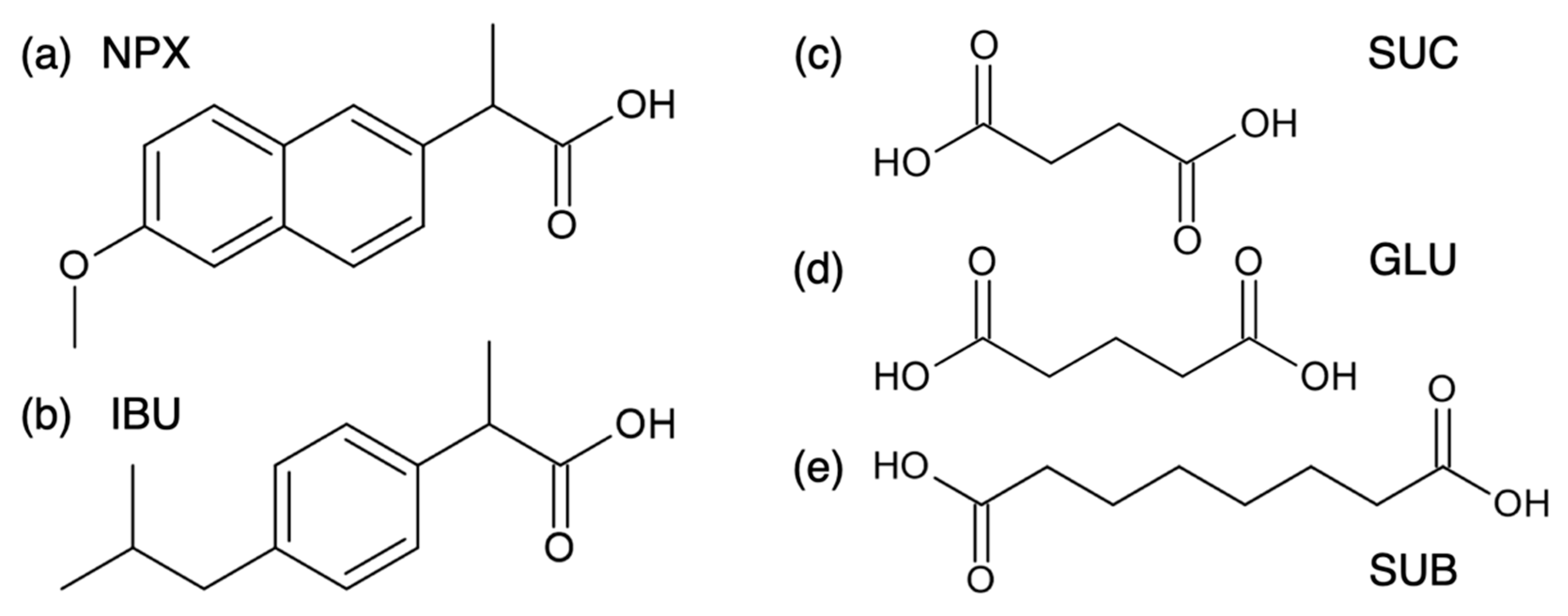
2.1. Materials
2.2. Thermal Analysis for Melting Diagrams
2.3. Characterization of Melt Crystallized NPX/SUB Mixtures
3. Results and Discussion
3.1. Melting Behaviors of APIs with Dicarboxylic Acids
3.2. Screening Molecular Pairs for Successful Eutectic Formation
3.3. Dissolution Behavior and Microstructure of NPX/SUB Eutectics
4. Conclusions
Supplementary Materials
Author Contributions
Funding
Data Availability Statement
Conflicts of Interest
References
- Kawabata, Y.; Wada, K.; Nakatani, M.; Yamada, S.; Onoue, S. Formulation design for poorly water-soluble drugs based on biopharmaceutics classification system: Basic approaches and practical applications. Int. J. Pharm. 2011, 420, 1–10. [Google Scholar] [CrossRef]
- Loftsson, T.; Brewster, M.E. Pharmaceutical applications of cyclodextrins: Basic science and product development. J. Pharm. Pharmacol. 2010, 62, 1607–1621. [Google Scholar] [CrossRef]
- Florence, A.T.; Attwood, D. Physicochemical Principles of Pharmacy: In Manufature, Formulation and Clinical Use, 6th ed.; Pharmaceutical Press: London, UK, 2016; pp. 351–375. [Google Scholar]
- Noyes, A.A.; Whitney, W.R. The rate of solution of solid substances in their own solution. J. Am. Chem. Soc. 1897, 19, 930–934. [Google Scholar] [CrossRef] [Green Version]
- He, X. Integration of physical, chemical, mechanical, and biopharmaceutical properties in solid oral dosage form development. In Developing Solid Oral Dosage Forms, 1st ed.; Qiu, Y., Chen, Y., Zhang, G.G.Z., Liu, L., Porter, W.R., Eds.; Academic Press: Burlington, MA, USA, 2009; pp. 409–441. [Google Scholar]
- Boyd, B.J.; Bergström, C.A.S.; Vinarov, Z.; Kuentz, M.; Brouwers, J.; Augustijns, P.; Brandl, M.; Bernkop-Schnürch, A.; Shrestha, N.; Préat, V.; et al. Successful oral delivery of poorly water-soluble drugs both depends on the intraluminal behavior of drugs and of appropriate advanced drug delivery systems. Eur. J. Pharm. Sci. 2019, 137, 104967. [Google Scholar] [CrossRef]
- Jones, W.; Motherwell, W.D.S.; Trask, A.V. Pharmaceutical cocrystals: An emerging approach to physical property enhancement. MRS Bull. 2006, 31, 875–879. [Google Scholar] [CrossRef] [Green Version]
- Jermain, S.V.; Brough, C.; Williams, R.O., III. Amorphous solid dispersions and nanocrystal technologies for poorly water-soluble drug delivery–An update. Int. J. Pharm. 2018, 535, 379–392. [Google Scholar] [CrossRef] [PubMed]
- Kesisoglou, F.; Panmai, S.; Wu, Y. Nanosizing–Oral formulation development and biopharmaceutical evaluation. Adv. Drug. Deliv. Rev. 2007, 59, 631–644. [Google Scholar] [CrossRef] [PubMed]
- Shegokar, R.; Müller, R.H. Nanocrystals: Industrially feasible multifunctional formulation technology for poorly soluble actives. Int. J. Pharm. 2010, 399, 129–139. [Google Scholar] [CrossRef]
- Choi, I.; Park, S.Y.; Lee, S.-W.; Kang, Z.; Jin, Y.S.; Kim, I.W. Dissolution enhancement of sorafenib tosylate by co-milling with tetradecanol post-extracted using supercritical carbon dioxide. Pharmazie 2020, 75, 13–17. [Google Scholar]
- Cherukuvada, S.; Nangia, A. Eutectics as improved pharmaceutical materials: Design, properties and characterization. Chem. Commun. 2014, 50, 906–923. [Google Scholar] [CrossRef] [PubMed]
- Law, D.; Wang, W.; Schmitt, E.A.; Long, M.A. Prediction of poly(ethylene glycol)-drug eutectic compositions using an index based on the van’t Hoff equation. Pharm. Res. 2002, 19, 315–321. [Google Scholar] [CrossRef] [PubMed]
- Law, D.; Wang, W.; Schmitt, E.A.; Qiu, Y.; Krill, S.L.; Fort, J.J. Properties of rapidly dissolving eutectic mixtures of poly(ethylene glycol) and fenofibrate: The eutectic microstructure. J. Pharm. Sci. 2003, 92, 505–515. [Google Scholar] [CrossRef]
- Vippagunta, S.R.; Wang, Z.; Hornung, S.; Krill, S.L. Factors affecting the formation of eutectic solid dispersions and their dissolution behavior. J. Pharm. Sci. 2007, 96, 294–304. [Google Scholar] [CrossRef]
- Sekiguchi, K.; Obi, N. Studies on absorption of eutectic mixture. I. A comparison of the behavior of eutectic mixture of sulfathiazole and that of ordinary sulfathiazone in man. Chem. Pharm. Bull. 1961, 9, 866–872. [Google Scholar] [CrossRef] [Green Version]
- Goldberg, A.H.; Gibaldi, M.; Kanig, J.L. Increasing dissolution rates and gastrointestinal absorption of drugs via solid solutions and eutectic mixtures. III. Experimental evaluations of griseofulvin–succinic acid solid solution. J. Pharm. Sci. 1966, 55, 487–492. [Google Scholar] [CrossRef]
- Chiou, W.L.; Niazi, S. Differential thermal analysis and X-ray diffraction studies of griseofulvin-succinic acid solid dispersions. J. Pharm. Sci. 1973, 62, 498–501. [Google Scholar] [CrossRef] [PubMed]
- Figueirêdo, C.B.M.; Nadvorny, D.; de Medeiros Vieira, A.C.Q.; Sobrinho, J.L.S.; Neto, P.J.R.; Lee, P.I.; de La Roca Soares, M.F. Enhancement of dissolution rate through eutectic mixture and solid solution of posaconazole and benznidazole. Int. J. Pharm. 2017, 525, 32–42. [Google Scholar] [CrossRef]
- Bazzo, G.C.; Pezzini, B.R.; Stulzer, H.K. Eutectic mixtures as an approach to enhance solubility, dissolution rate and oral bioavailability of poorly water-soluble drugs. Int. J. Pharm. 2020, 588, 119741. [Google Scholar] [CrossRef]
- Jin, S.; Jang, J.; Lee, S.; Kim, I.W. Binary mixtures of some active pharmaceutical ingredients with fatty alcohols—the criteria of successful eutectic formation and dissolution improvement. Pharmaceutics 2020, 12, 1098. [Google Scholar] [CrossRef] [PubMed]
- Évora, A.O.L.; Castro, R.A.E.; Maria, T.M.R.; Silva, M.R.; Ter Horst, J.H.; Canotilho, J.; Eusébio, M.E.S. A thermodynamic based approach on the investigation of a diflunisal pharmaceutical co-crystal with improved intrinsic dissolution rate. Int. J. Pharm. 2014, 466, 68–75. [Google Scholar] [CrossRef]
- Évora, A.O.L.; Castro, R.A.E.; Maria, T.M.R.; Silva, M.R.; Ter Horst, J.H.; Canotilho, J.; Eusébio, M.E.S. Co-crystals of diflunisal and isomeric pyridinecarboxamides–a thermodynamics and crystal engineering contribution. CrystEngComm 2016, 18, 4749–4759. [Google Scholar] [CrossRef] [Green Version]
- Kim, H.; Jang, S.; Kim, I.W. Enhanced dissolution of naproxen by combining cocrystallization and eutectic formation. Pharmaceutics 2021, 13, 618. [Google Scholar] [CrossRef]
- Greenhalgh, D.J.; Williams, A.C.; Timmins, P.; York, P. Solubility parameters as predictors of miscibility in solid dispersions. J. Pharm. Sci. 1999, 88, 1182–1190. [Google Scholar] [CrossRef] [PubMed]
- Dinge, A. Eutectic Mixtures of Drugs with Poor Aqueous Solubility—Solid State Characterization and Dissolution Studies. Ph.D. Thesis, Temple University, Philadelphia, PA, USA, 2012. [Google Scholar]
- Fedors, R.F. A method for estimating both the solubility parameters and molar volumes of liquids. Polym. Eng. Sci. 1974, 14, 147–154. [Google Scholar] [CrossRef]
- Gupta, J.; Nunes, C.; Vyas, S.; Jonnalagadda, S. Prediction of solubility parameters and miscibility of pharmaceutical compounds by molecular dynamics simulations. J. Phys. Chem. B 2011, 115, 2014–2023. [Google Scholar] [CrossRef] [PubMed]
- Ponnammal, P.; Kanaujia, P.; Yani, Y.; Ng, W.K.; Tan, R.B.H. Orally disintegrating tablets containing melt extruded amorphous solid dispersion of tacrolimus for dissolution enhancement. Pharmaceutics 2018, 10, 35. [Google Scholar] [CrossRef] [Green Version]
- Leuner, C.; Dressman, J. Improving drug solubility for oral delivery using solid dispersions. Eur. J. Pharm. Biopharm. 2000, 50, 47–60. [Google Scholar] [CrossRef]
- Morgan, C. Investigating Eutectic Mixtures for Poorly Soluble Compounds. Master’s Thesis, University of Kansas, Lawrence, KS, USA, 2014. [Google Scholar]
- Niazi, S.K. Handbook of Pharmaceutical Manufacturing Formulations: Compressed Solid Products, 2nd ed.; Informa Healthcare: New York, NY, USA, 2009; pp. 387–388. [Google Scholar]
- Yu, Q.; Dang, L.; Black, S.; Wei, H. Crystallization of the polymorphs of succinic acid via sublimation at different temperatures in the presence or absence of water and isopropanol vapor. J. Cryst. Growth 2012, 340, 209–215. [Google Scholar] [CrossRef]
- Corvis, Y.; Négrier, P.; Lazerges, M.; Massip, S.; Léger, J.-M.; Espeau, P. Lidocaine/L-menthol binary system: Cocrystallization versus solid-state immiscibility. J. Phys. Chem. B 2010, 114, 5420–5426. [Google Scholar] [CrossRef] [PubMed] [Green Version]
- Levine, I.N. Physical Chemistry, 6th ed.; McGraw-Hill: New York, NY, USA, 2009; pp. 351–394. [Google Scholar]
- Lacy, C.F.; Armstrong, L.L.; Goldman, M.P.; Lance, L.L. Drug Information Handbook: A Comprehensive Resource for All Clinicians and Healthcare Professionals, 17th ed.; Lexi-Comp: Hudson, OH, USA, 2008; pp. 1087–1089. [Google Scholar]
- Galia, E.; Nicolaides, E.; Hörter, D.; Löbenberg, R.; Reppas, C.; Dressman, J.B. Evaluation of various dissolution media for predicting in vivo performance of class I and II drugs. Pharm. Res. 1998, 15, 698–705. [Google Scholar] [CrossRef] [PubMed]
- Lipert, M.P.; Roy, L.; Childs, S.L.; Rodríguez-Hornedo, N. Cocrystal solubilization in biorelevant media and its prediction from drug solubilization. J. Pharm. Sci. 2015, 104, 4153–4163. [Google Scholar] [CrossRef] [PubMed] [Green Version]
- Callister, W.D., Jr.; Rethwisch, D.G. Materials Science and Engineering: An Introduction, 9th ed.; Wiley: Hoboken, NJ, USA, 2014; pp. 297–355. [Google Scholar]




| Type | Compound | δ (MPa1/2) |
|---|---|---|
| API | NPX | 23.37 |
| IBU | 20.91 | |
| Dicarboxylic acid | SUC | 27.02 |
| GLU | 25.79 | |
| SUB | 23.50 | |
| Fatty alcohol 1 | TD | 18.87 |
| OD | 18.61 | |
| DC | 18.44 |
| Type | Compound | Ic | Compound | Ic |
|---|---|---|---|---|
| API/ Dicarboxylic acid | NPX/SUC | −0.71 | IBU/SUC | −3.12 |
| NPX/GLU | 1.28 | IBU/GLU | −0.62 | |
| NPX/SUB | 0.31 | IBU/SUB | −1.83 | |
| API/ Fatty alcohol 1 | NPX/TD | 2.52 | IBU/TD | 0.94 |
| NPX/OD | 2.08 | IBU/OD | 0.40 | |
| NPX/DC | 1.80 | IBU/DC | 0.04 |
Publisher’s Note: MDPI stays neutral with regard to jurisdictional claims in published maps and institutional affiliations. |
© 2021 by the authors. Licensee MDPI, Basel, Switzerland. This article is an open access article distributed under the terms and conditions of the Creative Commons Attribution (CC BY) license (https://creativecommons.org/licenses/by/4.0/).
Share and Cite
Kim, D.; Jang, S.; Kim, I.W. Eutectic Formation of Naproxen with Some Dicarboxylic Acids. Pharmaceutics 2021, 13, 2081. https://doi.org/10.3390/pharmaceutics13122081
Kim D, Jang S, Kim IW. Eutectic Formation of Naproxen with Some Dicarboxylic Acids. Pharmaceutics. 2021; 13(12):2081. https://doi.org/10.3390/pharmaceutics13122081
Chicago/Turabian StyleKim, Dahye, Soeun Jang, and Il Won Kim. 2021. "Eutectic Formation of Naproxen with Some Dicarboxylic Acids" Pharmaceutics 13, no. 12: 2081. https://doi.org/10.3390/pharmaceutics13122081
APA StyleKim, D., Jang, S., & Kim, I. W. (2021). Eutectic Formation of Naproxen with Some Dicarboxylic Acids. Pharmaceutics, 13(12), 2081. https://doi.org/10.3390/pharmaceutics13122081

