A New Approach for the Microencapsulation of Clitoria Ternatea Petal Extracts by a High-Pressure Processing Method
Abstract
1. Introduction
2. Material and Methods
2.1. Materials and Preparation of Clitoria Ternatea Petal Extract
2.2. Preparation of Liposomes
2.3. Characterization of Liposomes
3. Results and Discussion
3.1. Liposome Morphology
3.2. Liposomes of CT Petal Extract Prepared by the HPP Method
3.2.1. Effect of Pressure on Liposome Formation
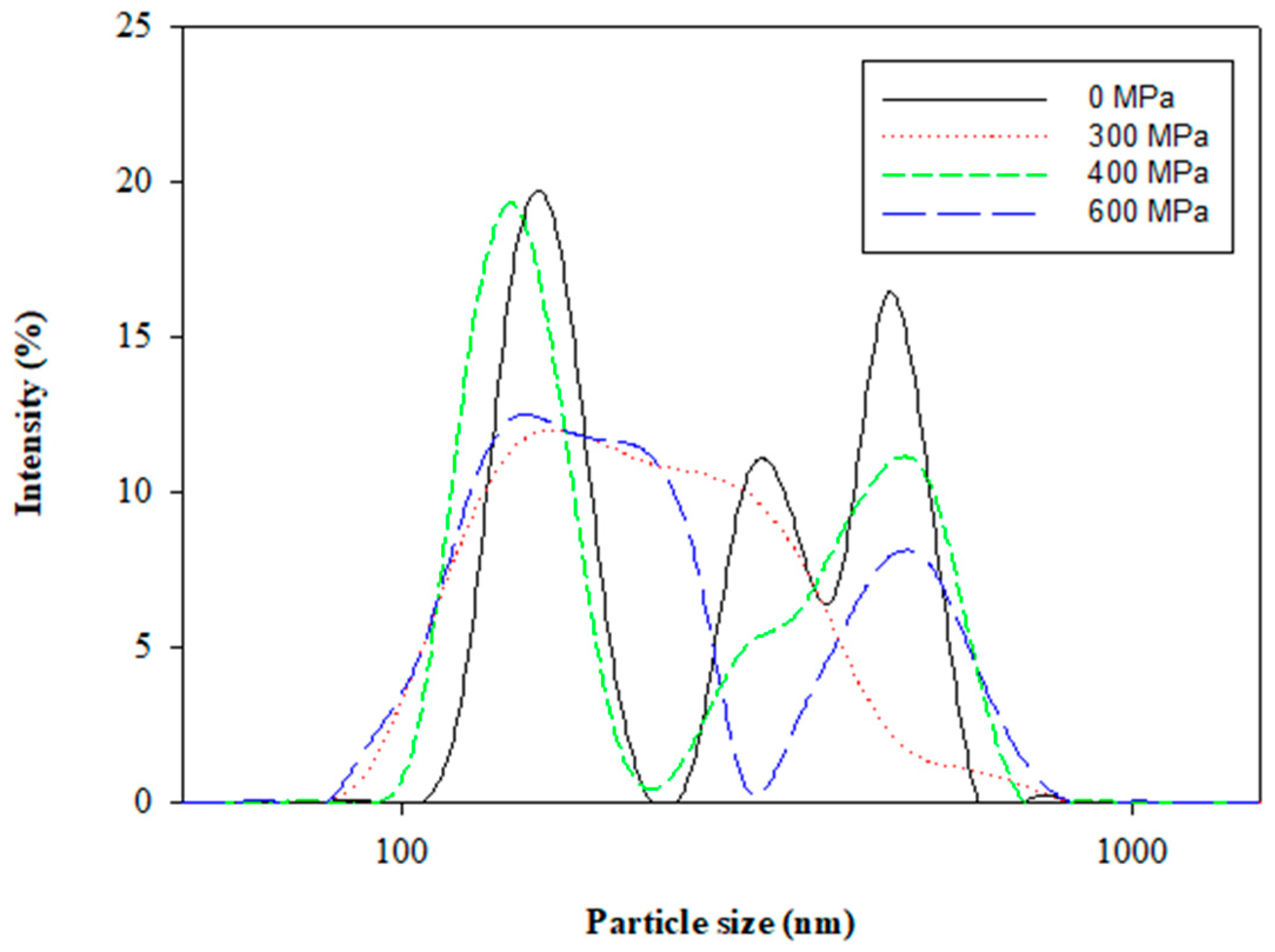
3.2.2. Particle Size Distribution
3.2.3. Encapsulation Efficiency
3.3. Effects of Different Homogenization Types on Mean Particle Size, Pdi, And Encapsulation Efficiency of Liposomes
3.4. Mechanisms of Liposome Formation via the HPP Method
- When ethanol and dissolved phospholipids are injected into an aqueous buffer, the spontaneous formation of liposomes was observed.
- In pressurization processing, large molecules such as phospholipids were compressed by hydrostatic pressure, which may cause small molecules such as water molecules to penetrate and fill the spaces between phospholipid molecules. Simultaneously, the double-layered phospholipids of the external membrane were packed tightly in the compression stage, thus promoting the transition to a gel state. Random movements of the phospholipid acyl chains produced by HPP caused water molecules to infiltrate between the hydrophilic phospholipid head groups and into the bilayers [24,25].
- During decompression, the structure of the phospholipid bilayer was lost and pores were formed due to the fast adiabatic expansion of water. Water molecules rapidly escaped from the pores and break up the structure of the phospholipid bilayer to form transient phospholipid fragments. In microbial cells and spores, fast decompressions may lead to higher inactivation due to the fast-adiabatic expansion of water [25,26]. The previous studies proposed that the aqueous phase was first mixed with the phospholipid, supercritical fluid, and co-solvent mixture and later rapidly decompressed by spraying through a nozzle [25]. The size of liposomes obtained was in the range of 0.2–4 m [27].
- After the formation of the transient solution, the temporarily separated phospholipids and cholesterol recombined rapidly due to the Van Der Waals force and hydrophobic interactions. In re-organization processing, these fragments self-assembled in solutions to form liposomes with a smaller particle size and a uniform distribution.
4. Conclusions
Author Contributions
Funding
Data Availability Statement
Conflicts of Interest
References
- Escher, G.B.; Marques, M.B.; Carmo, M.A.V.; Azevedo, L.; Furtado, M.M.; Sant’Ana, A.S.; Silva, M.C.; Genovese, M.I.; Wen, M.; Zhang, L.; et al. Clitoria ternatea L. petal bioactive compounds display antioxidant, antihemolytic and antihypertensive effects, inhibit α-amylase and α-glucosidase activities and reduce human LDL cholesterol and DNA induced oxidation. Food Res. Int. 2020, 128, 108763. [Google Scholar] [CrossRef] [PubMed]
- Verma, P.R.; Itankar, P.R.; Arora, S.K. Evaluation of antidiabetic antihyperlipidemic and pancreatic regeneration, potential of aerial parts of Clitoria ternatea. Rev. Bras. Farmacogn. 2013, 23, 819–829. [Google Scholar] [CrossRef]
- Anthika, B.; Kusumocahyo, S.P.; Sutanto, H. Ultrasonic approach in Clitoria ternatea (Butterfly Pea) extraction in water and extract sterilization by ultrafiltration for eye drop active ingredient. Procedia Chem. 2015, 16, 237–244. [Google Scholar] [CrossRef][Green Version]
- Singh, N.K.; Garabadu, D.; Sharma, P.; Shrivastava, S.K.; Mishra, P. Anti-allergy and anti-tussive activity of Clitoria ternatea L. in experimental animals. J. Ethnopharmacol. 2018, 224, 15–26. [Google Scholar] [CrossRef]
- Adhikary, R.; Sultana, S.; Bishayi, B. Clitoria ternatea flower petals: Effect on TNFR1 neutralization via downregulation of synovial matrix metalloproteases. J. Ethnopharmacol. 2018, 210, 209–222. [Google Scholar] [CrossRef]
- Dangles, O.; Fenger, J.-A. The chemical reactivity of anthocyanins and its consequences in food science and nutrition. Molecules 2018, 23, 1970. [Google Scholar] [CrossRef]
- Arabshahi-D, S.; Devi, D.V.; Urooj, A. Evaluation of antioxidant activity of some plant extracts and their heat, pH and storage stability. Food Chem. 2007, 100, 1100–1105. [Google Scholar] [CrossRef]
- Altin, G.; Gültekin-Özgüven, M.; Ozcelik, B. Chitosan coated liposome dispersions loaded with cacao hull waste extract: Effect of spray drying on physico-chemical stability and in vitro bioaccessibility. J. Food Eng. 2018, 223, 91–98. [Google Scholar] [CrossRef]
- Lee, H. Molecular simulations of PEGylated biomolecules, liposomes, and nanoparticles for drug delivery applications. Pharmaceutics 2020, 12, 533. [Google Scholar] [CrossRef]
- Franzè, S.; Selmin, F.; Rocco, P.; Colombo, G.; Casiraghi, A.; Cilurzo, F. Preserving the integrity of liposomes prepared by ethanol injection upon freeze-drying: Insights from combined molecular dynamics simulations and experimental data. Pharmaceutics 2020, 12, 530. [Google Scholar] [CrossRef]
- Tsai, W.C.; Rizvi, S.S.H. Simultaneous microencapsulation of hydrophilic and lipophilic bioactives in liposomes produced by an ecofriendly supercritical fluid process. Food Res. Int. 2017, 99, 256–262. [Google Scholar] [CrossRef] [PubMed]
- ur Rahman, U.; Sahar, A.; Ishaq, A.; Aadil, R.M.; Zahoor, T.; Ahmad, M.H. Advanced meat preservation methods: A mini review. J. Food Saf. 2018, 38, e12467. [Google Scholar] [CrossRef]
- Huang, H.W.; Hsu, C.P.; Wang, C.-Y. Healthy expectations of high hydrostatic pressure treatment in food processing industry. J. Food Drug Anal. 2020, 28, 1–13. [Google Scholar] [CrossRef] [PubMed]
- Ucak, I.; Gokoglu, N.; Toepfl, S.; Galanakis, C.M. Inhibitory effects of high pressure processing on Photobacterium phosphoreum and Morganella psychrotolerans in vacuum packed herring (Clupea harengus). J. Food Saf. 2018, 38, e12519. [Google Scholar] [CrossRef]
- Murchie, L.W.; Cruz-Romero, M.; Kerry, J.P.; Linton, M.; Patterson, M.F.; Smiddy, M.; Kelly, A.L. High pressure processing of shellfish: A review of microbiological and other quality aspects. Innov. Food Sci. Emerg. Technol. 2005, 6, 257–270. [Google Scholar] [CrossRef]
- Huang, H.W.; Wu, S.J.; Lu, J.K.; Shyu, Y.T.; Wang, C.Y. Current status and future trends of high-pressure processing in food industry. Food Control 2017, 72, 1–8. [Google Scholar] [CrossRef]
- Mourtzinos, I.; Makris, D.P.; Yannakopoulou, K.; Kalogeropoulos, N.; Michali, I.; Karathanos, V.T. Thermal stability of anthocyanin extract of Hibiscus sabdariffa L. in the presence of β-Cyclodextrin. J. Agric. Food Chem. 2008, 56, 10303–10310. [Google Scholar] [CrossRef]
- Rosa, C.G.; Borges, C.D.; Zambiazi, R.C.; Rutz, J.K.; Luz, S.R.; Krumreich, F.D.; Benvenutti, E.V.; Nunes, M.R. Encapsulation of the phenolic compounds of the blackberry (Rubus fruticosus). LWT 2014, 58, 527–533. [Google Scholar] [CrossRef]
- Rux, G.; Gelewsky, R.; Schlüter, O.; Herppich, W.B. High hydrostatic pressure treatment effects on selected tissue properties of fresh horticultural products. Innov. Food Sci. Emerg. Technol. 2020, 61, 102326. [Google Scholar] [CrossRef]
- Winter, R. Effects of hydrostatic pressure on lipid and surfactant phases. Curr. Opin. Colloid Interface Sci. 2001, 6, 303–312. [Google Scholar] [CrossRef]
- Malinin, V.S.; Frederik, P.; Lentz, B.R. Osmotic and curvature stress affect PEG-induced fusion of lipid vesicles but not mixing of their lipids. Biophys. J. 2002, 82, 2090–2100. [Google Scholar] [CrossRef]
- Kulkarni, S.B.; Betageri, G.V.; Singh, M. Factors affecting microencapsulation of drugs in liposomes. J. Microencapsul. 1995, 12, 229–246. [Google Scholar] [CrossRef] [PubMed]
- Hadian, Z.; Sahari, M.A.; Moghimi, H.R.; Barzegar, M. Formulation, characterization and optimization of liposomes containing eicosapentaenoic and docosahexaenoic acids: A methodology approach. Iran. J. Pharm. Res. 2014, 13, 393–404. [Google Scholar] [PubMed]
- Mentré, P.; Hoa, G.H.B. Effects of high hydrostatic pressures on living cells: A consequence of the properties of macromolecules and macromolecule-associated water. Int. Rev. Cytol. 2001, 201, 1–84. [Google Scholar]
- Moreirinha, C.; Almeida, A.; Saraiva, J.A.; Delgadillo, I. High-pressure processing effects on foodborne bacteria by mid-infrared spectroscopy analysis. LWT 2016, 73, 212–218. [Google Scholar] [CrossRef]
- Noma, S.; Shimoda, M.; Hayakawa, I. Inactivation of vegetative bacteria by rapid decompression treatment. J. Food Eng. 2002, 67, 3408–3411. [Google Scholar] [CrossRef]
- Patil, Y.P.; Jadhav, S. Novel methods for liposome preparation. Chem. Phys. Lipids 2014, 177, 8–18. [Google Scholar] [CrossRef]







| Homogenization Type | Mean Particle Size (nm) | PDI | Encapsulation Efficiency (%) |
|---|---|---|---|
| Magnet stirring | 645.8 ± 75.2 | 0.88 ± 0.10 | 78.0 ± 2.1 |
| Ultrasonic bath | 290.0 ± 9.1 | 0.47 ± 0.08 | 37.5 ± 11.3 |
| Probe ultrasonication | 137.1 ± 13.4 | 0.44 ± 0.07 | 53.7 ± 8.1 |
| HPP at 300 MPa | 240.7 ± 5.8 | 0.37 ± 0.03 | 77.8 ± 1.7 |
Publisher’s Note: MDPI stays neutral with regard to jurisdictional claims in published maps and institutional affiliations. |
© 2020 by the authors. Licensee MDPI, Basel, Switzerland. This article is an open access article distributed under the terms and conditions of the Creative Commons Attribution (CC BY) license (http://creativecommons.org/licenses/by/4.0/).
Share and Cite
Chen, H.-W.; Chang, Y.-W.; Fang, W.-P. A New Approach for the Microencapsulation of Clitoria Ternatea Petal Extracts by a High-Pressure Processing Method. Pharmaceutics 2021, 13, 23. https://doi.org/10.3390/pharmaceutics13010023
Chen H-W, Chang Y-W, Fang W-P. A New Approach for the Microencapsulation of Clitoria Ternatea Petal Extracts by a High-Pressure Processing Method. Pharmaceutics. 2021; 13(1):23. https://doi.org/10.3390/pharmaceutics13010023
Chicago/Turabian StyleChen, Hua-Wei, Yu-Wei Chang, and Wu-Po Fang. 2021. "A New Approach for the Microencapsulation of Clitoria Ternatea Petal Extracts by a High-Pressure Processing Method" Pharmaceutics 13, no. 1: 23. https://doi.org/10.3390/pharmaceutics13010023
APA StyleChen, H.-W., Chang, Y.-W., & Fang, W.-P. (2021). A New Approach for the Microencapsulation of Clitoria Ternatea Petal Extracts by a High-Pressure Processing Method. Pharmaceutics, 13(1), 23. https://doi.org/10.3390/pharmaceutics13010023

