Effect of Different Direct Compaction Grades of Mannitol on the Storage Stability of Tablet Properties Investigated Using a Kohonen Self-Organizing Map and Elastic Net Regression Model
Abstract
1. Introduction
2. Materials and Methods
2.1. Materials
2.2. Preparation of Model Tablets
2.3. Tensile Strength
2.4. Friability
2.5. Disintegration Time
2.6. Data Analysis
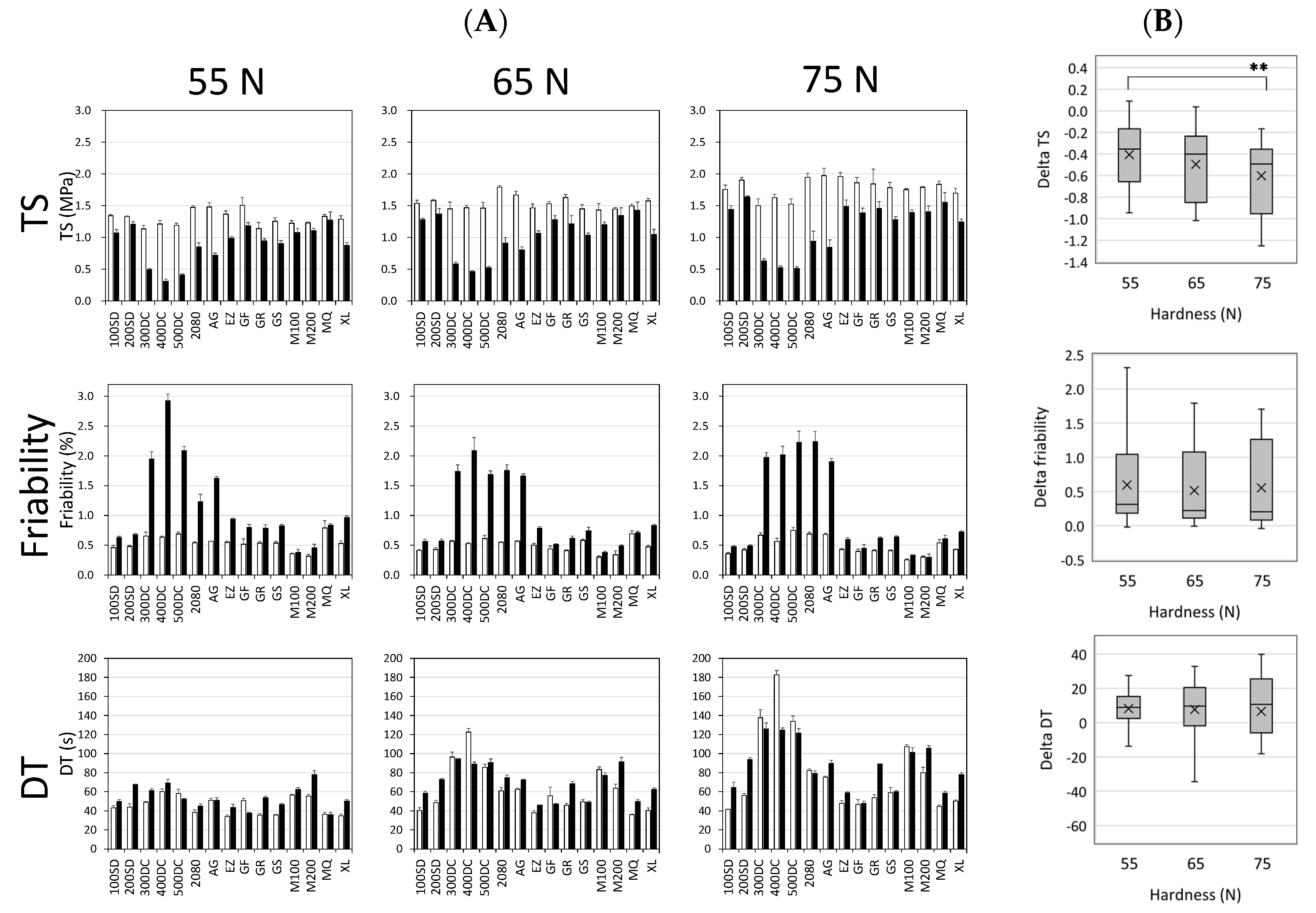
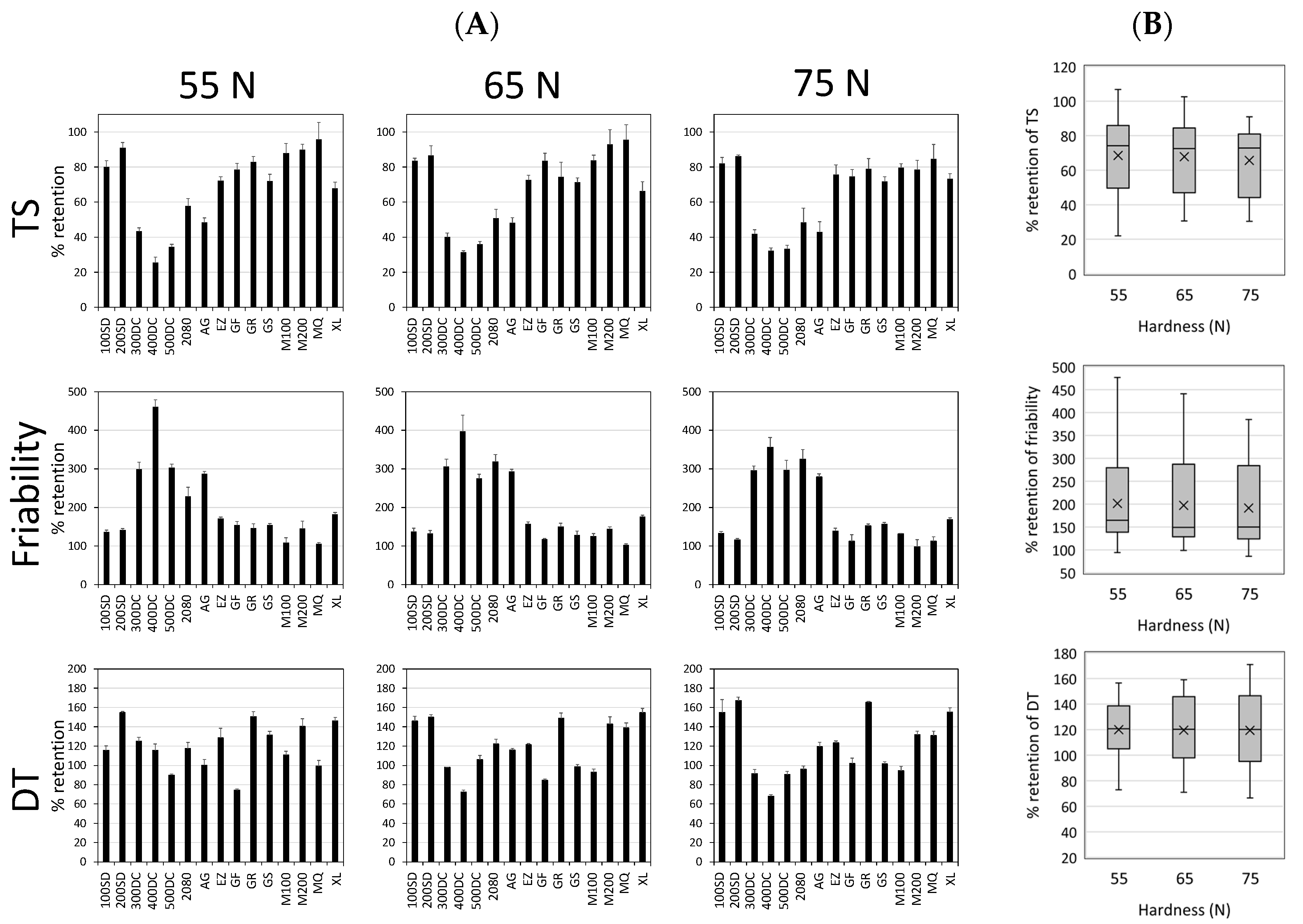
3. Results and Discussion
3.1. SOM Analysis to Characterize the Change Behaviors of Tablet Properties of the Model Tablets Induced by Storage for One Week
3.2. Relationships of Powder Properties of Mannitol Grades with the Storage Stability of the Tablet Properties Using an ENET Regression Model
4. Conclusions
Supplementary Materials
Author Contributions
Funding
Acknowledgments
Conflicts of Interest
References
- Aulton, M.E.; Taylor, K.M.G. Aulton’s Pharmaceutics: The Design and Manufacture of Medicines; Elsevier: Edinburgh, UK, 2013. [Google Scholar]
- Ohrem, H.L.; Schornick, E.; Kalivoda, A.; Ognibene, R. Why is mannitol becoming more and more popular as a pharmaceutical excipient in solid dosage forms? Pharm. Dev. Technol. 2014, 19, 257–262. [Google Scholar] [CrossRef] [PubMed]
- Al-khattawi, A.; Mohammed, A.R. Compressed orally disintegrating tablets: Excipients evolution and formulation strategies. Exp. Opin. Drug Deliv. 2013, 10, 651–663. [Google Scholar] [CrossRef] [PubMed]
- Paul, S.; Chang, S.Y.; Dun, J.; Sun, W.J.; Wang, K.; Tajarobi, P.; Boissier, C.; Sun, C.C. Comparative analyses of flow and compaction properties of diverse mannitol and lactose grades. Int. J. Pharm. 2018, 546, 39–49. [Google Scholar] [CrossRef] [PubMed]
- Bharate, S.S.; Bharate, S.B.; Bajaj, A.N. Incompatibilities of pharmaceutical excipients with active pharmaceutical ingredients: A comprehensive review. J. Excip. Food Chem. 2010, 1, 3–26. [Google Scholar]
- Paul, S.; Tajarobi, P.; Boissier, C.; Sun, C.C. Tableting performance of various mannitol and lactose grades assessed by compaction simulation and chemometrical analysis. Int. J. Pharm. 2019, 566, 24–31. [Google Scholar] [CrossRef]
- Hulse, W.L.; Forbes, R.T.; Bonner, M.C.; Getrost, M. The characterization and comparison of spray-dried mannitol samples. Drug Dev. Ind. Pharm. 2009, 35, 712–718. [Google Scholar] [CrossRef]
- Wagner, C.M.; Pein, M.; Breitkreutz, J. Roll compaction of mannitol: Compactability study of crystalline and spray-dried grades. Int. J. Pharm. 2013, 453, 416–422. [Google Scholar] [CrossRef]
- Kosugi, A.; Leong, K.H.; Tsuji, H.; Hayashi, Y.; Kumada, S.; Okada, K.; Onuki, Y. Characterization of powder- and tablet properties of different direct compaction grades of mannitol using a Kohonen self-organizing map and a lasso regression model. J. Pharm. Sci. 2020, 109, 2585–2593. [Google Scholar] [CrossRef]
- Onuki, Y.; Kosugi, A.; Hamaguchi, M.; Marumo, Y.; Kumada, S.; Hirai, D.; Ikeda, J.; Hayashi, Y. A comparative study of disintegration actions of various disintegrants using Kohonen’s self-organizing maps. J. Drug Deliv. Sci. Technol. 2018, 43, 141–148. [Google Scholar] [CrossRef]
- Kohonen, T. Self-Organizing Maps; Springer Series in Information Sciences; Springer: Berlin, Germany, 1995. [Google Scholar]
- Zou, H.; Hastie, T. Regularization and variable selection via the elastic net. J. R. Stat. Soc. B 2005, 67, 301–320. [Google Scholar] [CrossRef]
- Tibshirani, R. Regression shrinkage and selection via the Lasso. J. R. Stat. Soc. B 1996, 58, 267–288. [Google Scholar] [CrossRef]
- Oishi, T.; Hayashi, Y.; Noguchi, M.; Yano, F.; Kumada, S.; Takayama, K.; Okada, K.; Onuki, Y. Creation of novel large dataset comprising several granulation methods and the prediction of tablet properties from critical material attributes and critical process parameters using regularized linear regression models including interaction terms. Int. J. Pharm. 2020, 577, 119083. [Google Scholar] [CrossRef]
- Takayama, K.; Sato, T.; Sato, K.; Todo, H.; Obata, Y.; Sugibayashi, K. Prediction of tablet characteristics based on sparse modeling for residual stresses simulated by the finite element method incorporating Drucker-Prager cap model. J. Drug Deliv. Sci. Technol. 2019, 52, 1021–1031. [Google Scholar] [CrossRef]
- Sakamoto, T.; Kachi, S.; Nakamura, S.; Yuasa, H. Potential use of magnesium oxide as an excipient to maintain the hardness of orally disintegrating tablets during unpackaged storage. Chem. Pharm. Bull. 2019, 67, 284–288. [Google Scholar] [CrossRef] [PubMed]
- Sakamoto, T.; Kachi, S.; Nakamura, S.; Miki, S.; Kitajima, H.; Yuasa, H. Mechanism by which magnesium oxide suppresses tablet hardness reduction during storage. Chem. Pharm. Bull. 2016, 64, 1256–1261. [Google Scholar] [CrossRef] [PubMed][Green Version]
- Yamazaki, N.; Iizuka, R.; Miyazawa, S.; Wada, Y.; Shimokawa, K.; Ishii, F. Selection of generic preparations of famotidine orally disintegrating tablets for use in unit-dose packages. Drug Discov. Ther. 2012, 6, 263–268. [Google Scholar] [CrossRef][Green Version]
- Schneider, G.; Nettekoven, M. Ligand-based combinatorial design of selective purinergic receptor (A2A) antagonists using self-organizing maps. J. Comb. Chem. 2003, 5, 233–237. [Google Scholar] [CrossRef]
- Wang, Y.H.; Li, Y.; Yang, S.L.; Yang, L. Classification of substrates and inhibitors of P-glycoprotein using unsupervised machine learning approach. J. Chem. Inf. Model. 2005, 45, 750–757. [Google Scholar] [CrossRef]
- Kaiser, D.; Terfloth, L.; Kopp, S.; Schulz, J.; de Laet, R.; Chiba, P.; Ecker, G.F.; Gasteiger, J. Self-organizing maps for identification of new inhibitors of P-glycoprotein. J. Med. Chem. 2007, 50, 1698–1702. [Google Scholar] [CrossRef]
- Osamura, T.; Takeuchi, Y.; Onodera, R.; Kitamura, M.; Takahashi, Y.; Tahara, K.; Takeuchi, H. Characterization of tableting properties measured with a multi-functional compaction instrument for several pharmaceutical excipients and actual tablet formulations. Int. J. Pharm. 2016, 510, 195–202. [Google Scholar] [CrossRef]
- Zhang, Y.; Law, Y.; Chakrabarti, S. Physical properties and compact analysis of commonly used direct compression binders. AAPS PharmSciTech 2003, 4, E62. [Google Scholar] [CrossRef] [PubMed]
- Roopwani, R.; Buckner, I.S. Co-processed particles: An approach to transform poor tableting properties. J. Pharm. Sci. 2019, 108, 3209–3217. [Google Scholar] [CrossRef] [PubMed]






| Mannitol Grades | Abbreviation | Manufacturing Method | Crystalline Form |
|---|---|---|---|
| Mannit Q | MQ | Spray-drying | β |
| Pearlitol 100SD | 100SD | Spray-drying | α, β |
| Pearlitol 200SD | 200SD | Spray-drying | α, β |
| Pearlitol 300DC | 300DC | Granulation | β |
| Pearlitol 400DC | 400DC | Granulation | β |
| Pearlitol 500DC | 500DC | Granulation | β |
| Parteck M100 | M100 | Spray-drying | β |
| Parteck M200 | M200 | Spray-drying | β |
| Granutol F | GF | Granulation | β |
| Granutol S | GS | Granulation | β |
| Granutol R | GR | Granulation | β |
| Mannogem EZ Spray Dried | EZ | Spray-drying | α, β |
| Mannogem XL | XL | Spray-drying | α, β |
| Mannogem 2080 | 2080 | Granulation | β |
| Mannogem AG | AG | Granulation | β |
| Factor | Estimate 1 | Standard Error 1 | χ2 Value | p Value |
|---|---|---|---|---|
| Bulk density | −55.4 | 11.3 | 23.9 | <0.01 |
| D50 | −162.6 | 11.4 | 201.6 | <0.01 |
| Specific surface area | 26.0 | 9.3 | 7.7 | <0.01 |
| Factor | Estimate 1 | Standard Error 1 | χ2 Value | p Value |
|---|---|---|---|---|
| Bulk density | 178.9 | 42.9 | 17.4 | <0.01 |
| D50 | 792.7 | 41.7 | 360.9 | <0.01 |
| Specific surface area | −65.1 | 27.0 | 5.8 | 0.016 |
| Factor | Estimate 1 | Standard Error 1 | χ2 Value | p Value |
|---|---|---|---|---|
| Bulk density | −185.6 | 26.1 | 50.4 | <0.01 |
| Compressibility index | −167.8 | 42.2 | 15.8 | <0.01 |
| D50 | −99.9 | 49.2 | 4.1 | 0.042 |
© 2020 by the authors. Licensee MDPI, Basel, Switzerland. This article is an open access article distributed under the terms and conditions of the Creative Commons Attribution (CC BY) license (http://creativecommons.org/licenses/by/4.0/).
Share and Cite
Kosugi, A.; Leong, K.H.; Urata, E.; Hayashi, Y.; Kumada, S.; Okada, K.; Onuki, Y. Effect of Different Direct Compaction Grades of Mannitol on the Storage Stability of Tablet Properties Investigated Using a Kohonen Self-Organizing Map and Elastic Net Regression Model. Pharmaceutics 2020, 12, 886. https://doi.org/10.3390/pharmaceutics12090886
Kosugi A, Leong KH, Urata E, Hayashi Y, Kumada S, Okada K, Onuki Y. Effect of Different Direct Compaction Grades of Mannitol on the Storage Stability of Tablet Properties Investigated Using a Kohonen Self-Organizing Map and Elastic Net Regression Model. Pharmaceutics. 2020; 12(9):886. https://doi.org/10.3390/pharmaceutics12090886
Chicago/Turabian StyleKosugi, Atsushi, Kok Hoong Leong, Eri Urata, Yoshihiro Hayashi, Shungo Kumada, Kotaro Okada, and Yoshinori Onuki. 2020. "Effect of Different Direct Compaction Grades of Mannitol on the Storage Stability of Tablet Properties Investigated Using a Kohonen Self-Organizing Map and Elastic Net Regression Model" Pharmaceutics 12, no. 9: 886. https://doi.org/10.3390/pharmaceutics12090886
APA StyleKosugi, A., Leong, K. H., Urata, E., Hayashi, Y., Kumada, S., Okada, K., & Onuki, Y. (2020). Effect of Different Direct Compaction Grades of Mannitol on the Storage Stability of Tablet Properties Investigated Using a Kohonen Self-Organizing Map and Elastic Net Regression Model. Pharmaceutics, 12(9), 886. https://doi.org/10.3390/pharmaceutics12090886
