Formulation Development of Mucoadhesive Microparticle-Laden Gels for Oral Mucositis: An In Vitro and In Vivo Study
Abstract
1. Introduction
2. Materials and Methods
2.1. Materials
2.2. Preparation of IM Microparticles
2.3. Drug Content Ratio, Drug Recovery, PVA Content Ratio, and PVA Recovery
2.4. Viscosity Measurements of PVA Solutions
2.5. Morphological Features of the Microparticles
2.6. Particle Size Measurements of Microparticles
2.7. X-ray Powder Diffraction
2.8. Differential Scanning Calorimetry
2.9. Drug Retention Test
2.10. Drug Release Properties
2.11. Formulation of Gel Preparations with IM Microparticles
2.12. Drug Retention Test Using Gel Preparations
2.13. Drug Release Properties from Gel Preparations
2.14. In Vivo Retention
2.15. Statistical Analysis
3. Results and Discussion
3.1. Characterization of Microparticles
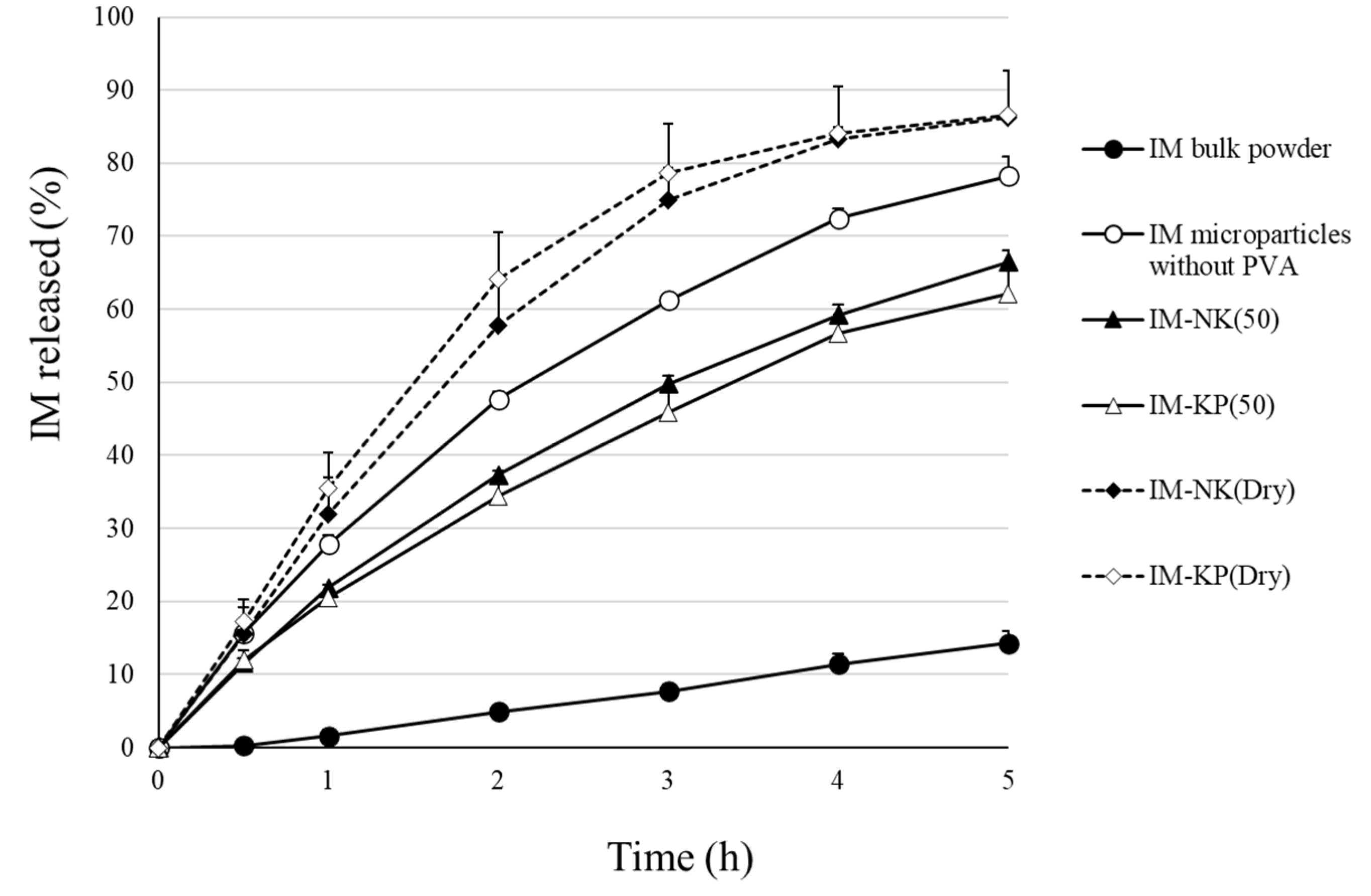
3.2. Drug Retention and Drug Release Properties of IM Microparticles
3.3. Drug Retention and Drug Release Properties of Gel Preparations
3.4. In Vivo Experiments
4. Conclusions
Author Contributions
Funding
Acknowledgments
Conflicts of Interest
References
- Münstedt, K.; Männle, H. Using bee products for the prevention and treatment of oral mucositis induced by cancer treatment. Molecules 2019, 24, 3023. [Google Scholar] [CrossRef]
- Hara, Y.; Shiratuchi, H.; Kaneko, T.; Sakagami, H. Search for drugs used in hospitals to treat stomatitis. Medicines 2019, 6, 19. [Google Scholar] [CrossRef] [PubMed]
- Rubenstein, E.B.; Peterson, D.E.; Schubert, M.; Keefe, D.; McGuire, D.; Epstein, J.; Elting, L.S.; Fox, P.C.; Cooksley, C.; Sonis, S.T. Clinical practice guidelines for the prevention and treatment of cancer therapy-induced oral and gastrointestinal mucositis. Cancer 2004, 100, 2026–2046. [Google Scholar] [CrossRef] [PubMed]
- Pathak, S.; Soni, T.P.; Sharma, L.M.; Patni, N.; Gupta, A.K. A randomized controlled trial to evaluate the role and efficacy of oral glutamine in the treatment of chemo-radiotherapy-induced oral mucositis and dysphagia in patients with oropharynx and larynx carcinoma. Cureus 2019, 11. [Google Scholar] [CrossRef] [PubMed]
- Chang, S.C.; Lai, Y.C.; Hung, J.C.; Chang, C.Y. Oral glutamine supplements reduce concurrent chemoradiotherapy-induced esophagitis in patients with advanced non-small cell lung cancer. Medicine 2019, 98. [Google Scholar] [CrossRef]
- Sonis, S.T. Mucositis as a biological process: A new hypothesis for the development of chemotherapy- induced stomatotoxicity. Oral Oncol. 1998, 34, 39–43. [Google Scholar] [CrossRef]
- Bensinger, W.; Schubert, M.; Ang, K.K.; Brizel, D.; Brown, E.; Eilers, J.G.; Elting, L.; Mittal, B.B.; Schattner, M.A.; Spielberger, R.; et al. NCCN task force report: Prevention and management of mucositis in cancer care. J. Natl. Compr. Cancer Netw. JNCCN 2008, 6, S1–S21. [Google Scholar]
- Hayashi, K.; Onda, T.; Honda, H.; Ozawa, N.; Ohata, H.; Takano, N.; Shibahara, T. Effects of ozone nano-bubble water on mucositis induced by cancer chemotherapy. Biochem. Biophys. Rep. 2019, 20. [Google Scholar] [CrossRef]
- Christoforou, J.; Karasneh, J.; Manfredi, M.; Dave, B.; Walker, J.S.; Dios, P.D.; Epstein, J.; Kumar, N.; Glick, M.; Lockhart, P.B.; et al. World workshop on oral medicine VII: Non-opioid pain management of head and neck chemo/radiation-induced mucositis: A systematic review. Oral Dis. 2019, 25, 182–192. [Google Scholar] [CrossRef]
- Momo, K.; Nagaoka, H.; Kizawa, Y.; Bukawa, H.; Chiba, S.; Kohda, Y.; Homma, M. Assessment of indomethacin oral spray for the treatment of oropharyngeal mucositis-induced pain during anticancer therapy. Support Care Cancer 2017, 25, 2997–3000. [Google Scholar] [CrossRef] [PubMed]
- Priprem, A.; Damrongrungruang, T.; Limsitthichaikoon, S.; Khampaenjiraroch, B.; Nukulkit, C.; Thapphasaraphong, S.; Limphirat, W. Topical niosome gel containing an anthocyanin complex: A potential oral wound healing in rats. AAPS PharmSciTech 2018, 19, 1681–1692. [Google Scholar] [CrossRef] [PubMed]
- Sogias, I.A.; Williams, A.C.; Khutoryanskiy, V.V. Chitosan-based mucoadhesive tablets for oral delivery of ibuprofen. Int. J. Pharm. 2012, 436, 602–610. [Google Scholar] [CrossRef]
- Chiba, K.; Takahashi, M.; Hayase, N.; Akutsu, S.; Inagaki, S. Stability of indomethacin in aqueous solution (1): Kinetic studies and effect of solvents on the hydrolysis of indomethacin. Jpn. J. Hosp. Pharm. 1992, 18, 43–51. [Google Scholar] [CrossRef]
- Nakamura, T.; Aoyama, T.; Yanagihara, Y.; Yamada, Y.; Miyoshi, A.; Kanda, Y.; Hirai, H.; Furukawa, T.; Iga, T. The effects of indomethacin spray on the pain of stomatitis in the patients for hematopoietic stem cell transplantation. Yakugaku Zasshi J. Pharm. Soc. Jpn. 2003, 123, 1023–1029. [Google Scholar] [CrossRef][Green Version]
- Tazawa, Y.; Kagami, K.; Watanabe, Y.; Kubota, K.; Harada, S.; Kobayashi, M.; Yamada, T.; Iseki, K. Evaluation of the stability of indomethacin oral spray in two different formulation conditions. Yakugaku Zasshi J. Pharm. Soc. Jpn. 2018, 138, 565–570. [Google Scholar] [CrossRef] [PubMed]
- Timur, S.S.; Yüksel, S.; Akca, G.; Şenel, S. Localized drug delivery with mono and bilayered mucoadhesive films and wafers for oral mucosal infections. Int. J. Pharm. 2019, 559, 102–112. [Google Scholar] [CrossRef]
- Di Prima, G.; Conigliaro, A.; De Caro, V. Mucoadhesive polymeric films to enhance barbaloin penetration into buccal mucosa: A novel approach to chemoprevention. AAPS PharmSciTech 2019, 20, 18. [Google Scholar] [CrossRef]
- Abruzzo, A.; Cerchiara, T.; Bigucci, F.; Gallucci, M.C.; Luppi, B. Mucoadhesive buccal tablets based on chitosan/gelatin microparticles for delivery of propranolol hydrochloride. J. Pharm. Sci. 2015, 104, 4365–4372. [Google Scholar] [CrossRef]
- Jones, D.S.; Bruschi, M.L.; de Freitas, O.; Gremião, M.P.; Lara, E.H.; Andrews, G.P. Rheological, mechanical and mucoadhesive properties of thermoresponsive, bioadhesive binary mixtures composed of poloxamer 407 and carbopol 974P designed as platforms for implantable drug delivery systems for use in the oral cavity. Int. J. Pharm. 2009, 372, 49–58. [Google Scholar] [CrossRef]
- Nguyen, H.X.; Bozorg, B.D.; Kim, Y.; Wieber, A.; Birk, G.; Lubda, D.; Banga, A.K. Poly (vinyl alcohol) microneedles: Fabrication, characterization, and application for transdermal drug delivery of doxorubicin. Eur. J. Pharm. Biopharm. 2018, 129, 88–103. [Google Scholar] [CrossRef]
- Cheng, Y.H.; Illum, L.; Davis, S.S. A poly(d,l-lactide-co-glycolide) microsphere depot system for delivery of haloperidol. J. Control. Release 1998, 55, 203–212. [Google Scholar] [CrossRef]
- Popov, A.; Enlow, E.; Bourassa, J.; Chen, H. Mucus-penetrating nanoparticles made with "mucoadhesive" poly(vinyl alcohol). Nanomedicine 2016, 12, 1863–1871. [Google Scholar] [CrossRef]
- Verheyen, P.; Steffens, K.J.; Kleinebudde, P. Use of crospovidone as pelletization aid as alternative to microcrystalline cellulose: Effects on pellet properties. Drug Dev. Ind. Pharm. 2009, 35, 1325–1332. [Google Scholar] [CrossRef]
- Harada, T.; Kawakami, K.; Yoshihashi, Y.; Yonemochi, E.; Terada, K.; Moriyama, H. Practical approach for measuring heat capacity of pharmaceutical crystals/glasses by modulated-temperature differential scanning calorimetry. Chem. Pharm. Bull. 2013, 613, 315–319. [Google Scholar] [CrossRef]
- Tsuchiya, C.; Hanawa, T.; Hanawa, K.; Nomura, Y.; Satokawa, H.; Suzuki, M.; Oguchi, T. Development of mucoadhesive film containing lorazepam. I. Preparation and characterization of new sublingual film with the instantaneous effect and the convenience of drug administration. J. Pharm. Sci. Technol. 2009, 69, 461–469. [Google Scholar]
- Peleg, M. Temperature-viscosity models reassessed. Crit. Rev. Food Sci. Nutr. 2018, 58, 2663–2672. [Google Scholar] [CrossRef]
- Xu, T.; Nahar, K.; Dave, R.; Bates, S.; Morris, K. Polymorphic transformation of indomethacin during hot melt extrusion granulation: Process and dissolution control. Pharm. Res. 2018, 35. [Google Scholar] [CrossRef]
- Löbmann, K.; Flouda, K.; Qiu, D.; Tsolakou, T.; Wang, W.; Rades, T. The influence of pressure on the intrinsic dissolution rate of amorphous indomethacin. Pharmaceutics 2014, 6, 481–493. [Google Scholar] [CrossRef]
- Lee, H.E.; Lee, M.J.; Kim, W.S.; Jeong, M.Y.; Cho, Y.S.; Choi, G.J. In-line monitoring and interpretation of an indomethacin anti-solvent crystallization process by near-infrared dpectroscopy (NIRS). Int. J. Pharm. 2011, 420, 274–281. [Google Scholar] [CrossRef]
- Mongia, N.K.; Anseth, K.S.; Peppas, N.A. Mucoadhesive poly(vinyl alcohol) hydrogels produced by freezing/thawing processes: Applications in the development of wound healing systems. J. Biomater. Sci. Polym. Ed. 1996, 7, 1055–1064. [Google Scholar] [CrossRef]
- Yang, M.; Lai, S.K.; Yu, T.; Wang, Y.Y.; Happe, C.; Zhong, W.; Zhang, M.; Anonuevo, A.; Fridley, C.; Hung, A.; et al. Nanoparticle penetration of human cervicovaginal mucus: The effect of polyvinyl alcohol. J. Control. Release 2014, 192, 202–208. [Google Scholar] [CrossRef] [PubMed]
- Nunes, M.A.; Fernandes, P.C.; Ribeiro, M.H. High-affinity water-soluble system for efficient naringinase immobilization in polyvinyl alcohol-dimethyl sulfoxide lens-shaped particles. J. Mol. Recognit. 2012, 25, 580–594. [Google Scholar] [CrossRef]
- Drozdova, M.G.; Zaytseva-Zotova, D.S.; Akasov, R.A.; Golunova, A.S.; Artyukhov, A.A.; Udartseva, O.O.; Andreeva, E.R.; Lisovyy, D.E.; Shtilman, M.I.; Markvicheva, E.A. Macroporous modified poly (vinyl alcohol) hydrogels with charged groups for tissue engineering: Preparation and in vitro evaluation. Mater. Sci. Eng. C Mater. Biol. Appl. 2017, 75, 1075–1082. [Google Scholar] [CrossRef] [PubMed]











| PVA | Saponification Degree (mol%) | Estimated Degree of Polymerization | Block Character | Cloud Point (°C) |
|---|---|---|---|---|
| NK-05R | 71.0–75.0 | 500 | Common-product | 30 (approximately) |
| KP-08R | 71.0–73.5 | 700 | Block-up-product | 30 (approximately) |
| Heating-Filtration Method | |||
|---|---|---|---|
| Formulation | IM (mg) | PVA (NK-05R) (mg) | PVA (KP-08R) (mg) |
| IM-NK(100) | 100 | 100 | - |
| IM-NK(50) | 100 | 50 | - |
| IM-KP(100) | 100 | - | 100 |
| IM-KP(50) | 100 | - | 50 |
| Mixing-Drying Method | |||
| Formulation | IM (mg) | PVA (NK-05R) (mg) | PVA (KP-08R) (mg) |
| IM-NK(Dry) | 100 | 12 | - |
| IM-KP(Dry) | 100 | - | 12 |
| Formulation | Dcont (%) | Dreco (%) | Pcont (%) | Preco (%) | Feret Diameter (μm) |
|---|---|---|---|---|---|
| IM-NK(100) | 90.1 ± 2.6 | 89.4 ± 3.8 | 9.9 ± 2.6 | 9.8 ± 2.5 | 269.9 ± 122.7 |
| IM-KP(100) | 93.9 ± 2.3 | 91.0 ± 4.9 | 6.1 ± 2.3 | 5.8 ± 2.1 | 312.1 ± 188.0 |
| IM-NK(50) | 89.3 ± 2.6 | 92.2 ± 5.7 | 10.7 ± 2.6 | 21.8 ± 4.9 | 282.5 ± 88.9 |
| IM-KP(50) | 89.8 ± 1.2 | 94.8 ± 3.9 | 10.2 ± 1.2 | 22.2 ± 4.4 | 359.0 ± 135.9 |
| IM-NK(Dry) | 90.1 ± 0.5 | 84.9 ± 2.6 | 9.9 ± 0.5 | 77.5 ± 2.3 | 261.2 ± 65.9 |
| IM-KP(Dry) | 90.2 ± 0.5 | 79.7 ± 7.0 | 9.8 ± 0.5 | 71.4 ± 5.5 | 265.9 ± 59.2 |
© 2020 by the authors. Licensee MDPI, Basel, Switzerland. This article is an open access article distributed under the terms and conditions of the Creative Commons Attribution (CC BY) license (http://creativecommons.org/licenses/by/4.0/).
Share and Cite
Sakurai, H.; Ikeuchi-Takahashi, Y.; Kobayashi, A.; Yoshimura, N.; Ishihara, C.; Aomori, T.; Onishi, H. Formulation Development of Mucoadhesive Microparticle-Laden Gels for Oral Mucositis: An In Vitro and In Vivo Study. Pharmaceutics 2020, 12, 603. https://doi.org/10.3390/pharmaceutics12070603
Sakurai H, Ikeuchi-Takahashi Y, Kobayashi A, Yoshimura N, Ishihara C, Aomori T, Onishi H. Formulation Development of Mucoadhesive Microparticle-Laden Gels for Oral Mucositis: An In Vitro and In Vivo Study. Pharmaceutics. 2020; 12(7):603. https://doi.org/10.3390/pharmaceutics12070603
Chicago/Turabian StyleSakurai, Hiroomi, Yuri Ikeuchi-Takahashi, Ayaka Kobayashi, Nobuyoshi Yoshimura, Chizuko Ishihara, Tohru Aomori, and Hiraku Onishi. 2020. "Formulation Development of Mucoadhesive Microparticle-Laden Gels for Oral Mucositis: An In Vitro and In Vivo Study" Pharmaceutics 12, no. 7: 603. https://doi.org/10.3390/pharmaceutics12070603
APA StyleSakurai, H., Ikeuchi-Takahashi, Y., Kobayashi, A., Yoshimura, N., Ishihara, C., Aomori, T., & Onishi, H. (2020). Formulation Development of Mucoadhesive Microparticle-Laden Gels for Oral Mucositis: An In Vitro and In Vivo Study. Pharmaceutics, 12(7), 603. https://doi.org/10.3390/pharmaceutics12070603
