Mechanistic Evaluation of Enhanced Curcumin Delivery through Human Skin In Vitro from Optimised Nanoemulsion Formulations Fabricated with Different Penetration Enhancers
Abstract
1. Introduction
2. Materials and Methods
2.1. Chemicals
2.2. Pseudoternary Phase Diagram Construction
2.3. Nanoemulsion Preparation
2.4. Droplet Size and Droplet Size Distribution
2.5. Droplet Surface Charge (Zeta Potential)
2.6. pH Measurement
2.7. Refractive Index
2.8. Rheological Properties
2.9. Electrical Conductivity (EC)
2.10. Cryo-Scanning Electron Microscopy (Cryo-SEM)
2.11. Stability of Curcumin in the Receptor Medium
2.12. Physical and Chemical Stability of Curcumin and Nanoemulsion Formulations
2.13. HPLC Quantification of Curcumin
2.14. Human Skin Preparation
2.15. Determination of the Solubility of Curcumin in NE Formulations (SV)
2.16. Determination of Solubility of Curcumin in the Stratum Corneum (SSC)
2.17. In Vitro Skin Permeation and Distribution Study
2.18. Data Analysis
2.19. Statistical Analysis
3. Results
3.1. Pseudoternary Phase Diagram
3.2. Nanoemulsion Characterisation
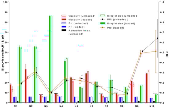
3.2.1. Droplet Size, Size Distribution (PDI) and Zeta Potential (ZP)
3.2.2. pH and Refractive Index (RI) of NE Formulations
3.2.3. Rheological Properties
3.2.4. Electrical Conductivity
3.2.5. Microscopic Evaluation Using Cryo-SEM
3.3. Stability Studies
3.3.1. Stability of Curcumin in the Receptor Medium
3.3.2. Physical and Chemical Stability of Curcumin and the NE Formulations
3.4. In Vitro Permeation of Curcumin across Human Epidermal Membranes
3.5. Effect of Formulation on Curcumin Solubility, Solubility in Stratum Corneum, Maximum Flux, Permeability Coefficient and Derived Diffusivity
4. Discussion
5. Conclusions
Author Contributions
Funding
Acknowledgments
Conflicts of Interest
References
- Esatbeyoglu, T.; Huebbe, P.; Ernst, I.M.; Chin, D.; Wagner, A.E.; Rimbach, G. Curcumin--from molecule to biological function. Angew. Chem. Int. Ed. 2012, 51, 5308–5332. [Google Scholar] [CrossRef] [PubMed]
- Balogun, E.; Hoque, M.; Pengfei, G.; Killeen, E.; Green, C.J.; Foresti, R.; Jawed, A.; Motterlini, R. Curcumin activates the haem oxygenase-1 gene via regulation of Nrf2 and the antioxidant-responsive element. Biochem. J. 2003, 371, 887–895. [Google Scholar] [CrossRef] [PubMed]
- Lee, K.-H.; Aziz, F.H.A.; Syahida, A.; Abas, F.; Shaari, K.; Israf, D.A.; Lajis, N.H. Synthesis and biological evaluation of curcumin-like diarylpentanoid analogues for anti-inflammatory, antioxidant and anti-tyrosinase activities. Eur. J. Med. Chem. 2009, 44, 3195–3200. [Google Scholar] [CrossRef] [PubMed]
- Shang, Y.-J.; Jin, X.-L.; Shang, X.-L.; Tang, J.-J.; Liu, G.-Y.; Dai, F.; Qian, Y.-P.; Fan, G.-J.; Liu, Q.; Zhou, B. Antioxidant capacity of curcumin-directed analogues: Structure–activity relationship and influence of microenvironment. Food Chem. 2010, 119, 1435–1442. [Google Scholar] [CrossRef]
- Tang, H.; Murphy, C.J.; Zhang, B.; Shen, Y.; Van Kirk, E.A.; Murdoch, W.J.; Radosz, M. Curcumin polymers as anticancer conjugates. Biomaterials 2010, 31, 7139–7149. [Google Scholar] [CrossRef] [PubMed]
- Kurd, S.K.; Smith, N.; VanVoorhees, A.; Troxel, A.B.; Badmaev, V.; Seykora, J.T.; Gelfand, J.M. Oral curcumin in the treatment of moderate to severe psoriasis vulgaris: A prospective clinical trial. J. Am. Acad. Dermatol. 2008, 58, 625–631. [Google Scholar] [CrossRef]
- Thangapazham, R.L.; Sharma, A.; Maheshwari, R.K. Multiple molecular targets in cancer chemoprevention by curcumin. AAPS J. 2006, 8, E443–E449. [Google Scholar] [CrossRef]
- Chatterjee, S.J.; Pandey, S. Chemo-resistant melanoma sensitized by tamoxifen to low dose curcumin treatment through induction of apoptosis and autophagy. Cancer Biol. Ther. 2011, 11, 216–228. [Google Scholar] [CrossRef]
- Marin, Y.E.; Wall, B.A.; Wang, S.; Namkoong, J.; Martino, J.J.; Suh, J.; Lee, H.J.; Rabson, A.B.; Yang, C.S.; Chen, S.; et al. Curcumin downregulates the constitutive activity of NF-kappaB and induces apoptosis in novel mouse melanoma cells. Melanoma Res. 2007, 17, 274–283. [Google Scholar] [CrossRef]
- Pan, M.H.; Huang, T.M.; Lin, J.K. Biotransformation of curcumin through reduction and glucuronidation in mice. Drug Metab. Dispos. 1999, 27, 486–494. [Google Scholar]
- Jantarat, C. Bioavailability enhancement techniques of herbal medicine: A case example of curcumin. Int. J. Pharm. Pharm. Sci. 2013, 5, 493–500. [Google Scholar]
- Anand, P.; Kunnumakkara, A.B.; Newman, R.A.; Aggarwal, B.B. Bioavailability of curcumin: Problems and promises. Mol. Pharm. 2007, 4, 807–818. [Google Scholar] [CrossRef] [PubMed]
- Onoue, S.; Takahashi, H.; Kawabata, Y.; Seto, Y.; Hatanaka, J.; Timmermann, B.; Yamada, S. Formulation design and photochemical studies on nanocrystal solid dispersion of curcumin with improved oral bioavailability. J. Pharm. Sci. 2010, 99, 1871–1881. [Google Scholar] [CrossRef]
- Chen, Y.; Wu, Q.; Zhang, Z.; Yuan, L.; Liu, X.; Zhou, L. Preparation of curcumin-loaded liposomes and evaluation of their skin permeation and pharmacodynamics. Molecules 2012, 17, 5972–5987. [Google Scholar] [CrossRef]
- Ratanajiajaroen, P.; Ohshima, M. Synthesis, release ability and bioactivity evaluation of chitin beads incorporated with curcumin for drug delivery applications. J. Microencapsul. 2012, 29, 549–558. [Google Scholar] [CrossRef]
- Mangalathillam, S.; Rejinold, N.S.; Nair, A.; Lakshmanan, V.-K.; Nair, S.V.; Jayakumar, R. Curcumin loaded chitin nanogels for skin cancer treatment via the transdermal route. Nanoscale 2012, 4, 239–250. [Google Scholar] [CrossRef] [PubMed]
- Anton, N.; Vandamme, T.F. The universality of low-energy nano-emulsification. Int. J. Pharm. 2009, 377, 142–147. [Google Scholar] [CrossRef]
- Anton, N.; Vandamme, T.F. Nano-emulsions and micro-emulsions: Clarifications of the critical differences. Pharm. Res. 2011, 28, 978–985. [Google Scholar] [CrossRef]
- Borhade, V.; Pathak, S.; Sharma, S.; Patravale, V. Clotrimazole nanoemulsion for malaria chemotherapy. Part I: Preformulation studies, formulation design and physicochemical evaluation. Int. J. Pharm. 2012, 431, 138–148. [Google Scholar] [CrossRef]
- Hormann, K.; Zimmer, A. Drug delivery and drug targeting with parenteral lipid nanoemulsions—A review. J. Control. Release 2016, 223, 85–98. [Google Scholar] [CrossRef]
- Kelmann, R.G.; Kuminek, G.; Teixeira, H.F.; Koester, L.S. Carbamazepine parenteral nanoemulsions prepared by spontaneous emulsification process. Int. J. Pharm. 2007, 342, 231–239. [Google Scholar] [CrossRef] [PubMed]
- Lefebvre, G.; Riou, J.; Bastiat, G.; Roger, E.; Frombach, K.; Gimel, J.C.; Saulnier, P.; Calvignac, B. Spontaneous nano-emulsification: Process optimization and modeling for the prediction of the nanoemulsion’s size and polydispersity. Int. J. Pharm. 2017, 534, 220–228. [Google Scholar] [CrossRef] [PubMed]
- ICH Expert Working Group Harmonised Tripartite Guideline: Quality Risk Management Q8 (R2). Available online: https://www.ich.org/fileadmin/Public_Web_Site/ICH_Products/Guidelines/Quality/Q8_R1/Step4/Q8_R2_Guideline.pdf (accessed on 27 March 2019).
- ICH Expert Working Group Harmonised Tripartite Guideline: Pharmaceutical Development Q9. Available online: https://www.ich.org/fileadmin/Public_Web_Site/ICH_Products/Guidelines/Quality/Q9/Step4/Q9_Guideline.pdf (accessed on 27 March 2019).
- Osborne, D.W.; Musakhanian, J. Skin penetration and permeation properties of Transcutol®—Neat or diluted mixtures. AAPS PharmSciTech 2018, 19, 3512–3533. [Google Scholar] [CrossRef] [PubMed]
- Vollono, L.; Falconi, M.; Gaziano, R.; Iacovelli, F.; Dika, E.; Terracciano, C.; Bianchi, L.; Campione, E. Potential of Curcumin in Skin Disorders. Nutrients 2019, 11, 2169. [Google Scholar] [CrossRef]
- Zhang, Y.; Xia, Q.; Li, Y.; He, Z.; Li, Z.; Guo, T.; Wu, Z.; Feng, N. CD44 Assists the Topical Anti-Psoriatic Efficacy of Curcumin-Loaded Hyaluronan-Modified Ethosomes: A New Strategy for Clustering Drug in Inflammatory Skin. Theranostics 2019, 9, 48–64. [Google Scholar] [CrossRef]
- Nikolic, I.; Mitsou, E.; Pantelic, I.; Randjelovic, D.; Markovic, B.; Papadimitriou, V.; Xenakis, A.; Lunter, D.J.; Zugic, A.; Savic, S. Microstructure and biopharmaceutical performances of curcumin-loaded low-energy nanoemulsions containing eucalyptol and pinene: Terpenes’ role overcome penetration enhancement effect? Eur. J. Pharm. Sci. 2020, 142, 105135. [Google Scholar] [CrossRef]
- Kligman, A.M.; Christophers, E. Preparation of Isolated Sheets of Human Stratum Corneum. Arch. Dermatol. 1963, 88, 702–705. [Google Scholar] [CrossRef]
- Anderson, R.; Triggs, E.; Roberts, M. The percutaneous absorption of phenolic compounds. 3. Evaluation of permeability through human stratum corneum using a desorption technique. Austral. J. Pharm. Sci. 1976, 5, 107–110. [Google Scholar]
- Zhang, Q.; Grice, J.E.; Li, P.; Jepps, O.G.; Wang, G.J.; Roberts, M.S. Skin solubility determines maximum transepidermal flux for similar size molecules. Pharm. Res. 2009, 26, 1974–1985. [Google Scholar] [CrossRef]
- Mayer, S.; Weiss, J.; McClements, D.J. Vitamin E-enriched nanoemulsions formed by emulsion phase inversion: Factors influencing droplet size and stability. J. Colloid Interface Sci. 2013, 402, 122–130. [Google Scholar] [CrossRef]
- Nastiti, C.; Ponto, T.; Abd, E.; Grice, J.; Benson, H.; Roberts, M. Topical nano and microemulsions for skin delivery. Pharmaceutics 2017, 9, 37. [Google Scholar] [CrossRef] [PubMed]
- Craig, D.; Barker, S.; Banning, D.; Booth, S. An investigation into the mechanisms of self-emulsification using particle size analysis and low frequency dielectric spectroscopy. Int. J. Pharm. 1995, 114, 103–110. [Google Scholar] [CrossRef]
- Kumar, M.; Pathak, K.; Misra, A. Formulation and characterization of nanoemulsion-based drug delivery system of risperidone. Drug Dev. Ind. Pharm. 2009, 35, 387–395. [Google Scholar] [CrossRef]
- Thomas, N.S.; Panchagnula, R. Transdermal delivery of zidovudine: Effect of vehicles on permeation across rat skin and their mechanism of action. Eur. J. Pharm. Sci. 2003, 18, 71–79. [Google Scholar] [CrossRef]
- Williams, A.C.; Barry, B.W. Skin absorption enhancers. Crit. Rev. Ther. Drug Carrier Syst. 1992, 9, 305–353. [Google Scholar] [PubMed]
- Berner, B.; Mazzenga, G.C.; Otte, J.H.; Steffens, R.J.; Juang, R.H.; Ebert, C.D. Ethanol: Water mutually enhanced transdermal therapeutic system II: Skin permeation of ethanol and nitroglycerin. J. Pharm. Sci. 1989, 78, 402–407. [Google Scholar] [CrossRef]
- Megrab, N.A.; Williams, A.C.; Barry, B.W. Oestradiol permeation across human skin, silastic and snake skin membranes: The effects of ethanol/water co-solvent systems. Int. J. Pharm. 1995, 116, 101–112. [Google Scholar] [CrossRef]
- Cross, S.E.; Jiang, R.; Benson, H.A.; Roberts, M.S. Can increasing the viscosity of formulations be used to reduce the human skin penetration of the sunscreen oxybenzone? J. Invest. Dermatol. 2001, 117, 147–150. [Google Scholar] [CrossRef]
- Roberts, M.S.; Mohammed, Y.; Pastore, M.N.; Namjoshi, S.; Yousef, S.; Alinaghi, A.; Haridass, I.N.; Abd, E.; Leite-Silva, V.R.; Benson, H.; et al. Topical and cutaneous delivery using nanosystems. J. Control. Release 2017, 247, 86–105. [Google Scholar] [CrossRef]
- Barry, B.; Williams, A. Penetration enhancers. Adv. Drug Deliv. Rev. 2003, 56, 603–618. [Google Scholar]
- Narishetty, S.T.K.; Panchagnula, R. Transdermal delivery of zidovudine: Effect of terpenes and their mechanism of action. J. Control. Release 2004, 95, 367–379. [Google Scholar] [CrossRef] [PubMed]
- Cal, K.; Janicki, S.; Sznitowska, M. In vitro studies on penetration of terpenes from matrix-type transdermal systems through human skin. Int. J. Pharm. 2001, 224, 81–88. [Google Scholar] [CrossRef]
- Cornwell, P.A.; Barry, B.W.; Bouwstra, J.A.; Gooris, G.S. Modes of action of terpene penetration enhancers in human skin; Differential scanning calorimetry, small-angle X-ray diffraction and enhancer uptake studies. Int. J. Pharm. 1996, 127, 9–26. [Google Scholar] [CrossRef]
- Lim, P.F.C.; Liu, X.Y.; Kang, L.; Ho, P.C.L.; Chan, Y.W.; Chan, S.Y. Limonene GP1/PG organogel as a vehicle in transdermal delivery of haloperidol. Int. J. Pharm. 2006, 311, 157–164. [Google Scholar] [CrossRef]
- Moghimi, H.R.; Makhmalzadeh, B.S.; Manafi, A. Enhancement effect of terpenes on silver sulphadiazine permeation through third-degree burn eschar. Burns 2009, 35, 1165–1170. [Google Scholar] [CrossRef]
- Williams, A.C.; Barry, B.W. Terpenes and the lipid–protein–partitioning theory of skin penetration enhancement. Pharm. Res. 1991, 8, 17–24. [Google Scholar] [CrossRef]
- Okabe, H.; Takayama, K.; Ogura, A.; Nagai, T. Effect of limonene and related compounds on the percutaneous absorption of indomethacin. Drug Des. Deliv. 1989, 4, 313–321. [Google Scholar]
- Gao, S.; Singh, J. In vitro percutaneous absorption enhancement of a lipophilic drug tamoxifen by terpenes. J. Control. Release 1998, 51, 193–199. [Google Scholar] [CrossRef]
- Barry, B.W.; Harrison, S.M.; Dugard, P.H. Correlation of thermodynamic activity and vapour diffusion through human skin for the model compound, benzyl alcohol. J. Pharm. Pharmacol. 1985, 37, 84–90. [Google Scholar] [CrossRef]
- Twist, J.; Zatz, J. Influence of solvents on paraben permeation through idealized skin model membranes. J. Soc. Cosmet. Chem. 1986, 37, 429–444. [Google Scholar]
- Baroli, B.; López-Quintela, M.A.; Delgado-Charro, M.B.; Fadda, A.M.; Blanco-Méndez, J. Microemulsions for topical delivery of 8-methoxsalen. J. Control. Release 2000, 69, 209–218. [Google Scholar] [CrossRef]
- Yuan, Y.; Li, S.-M.; Mo, F.-K.; Zhong, D.-F. Investigation of microemulsion system for transdermal delivery of meloxicam. Int. J. Pharm. 2006, 321, 117–123. [Google Scholar] [CrossRef] [PubMed]
- Kobayashi, D.; Matsuzawa, T.; Sugibayashi, K.; Morimoto, Y.; Kobayashi, M.; Kimura, M. Feasibility of use of several cardiovascular agents in transdermal therapeutic systems with l-menthol-ethanol system on hairless rat and human skin. Biol. Pharm. Bull. 1993, 16, 254–258. [Google Scholar] [CrossRef] [PubMed][Green Version]
- Obata, Y.; Takayama, K.; Machida, Y.; Nagai, T. Combined effect of cyclic monoterpenes and ethanol on percutaneous absorption of diclofenac sodium. Drug Des. Discov. 1991, 8, 137–144. [Google Scholar]
- Tojo, K.; Chiang, C.; Chien, Y. Drug permeation across the skin: Effect of penetrant hydrophilicity. J. Pharm. Sci. 1987, 76, 123–126. [Google Scholar] [CrossRef]
- Zhang, Q.; Li, P.; Liu, D.; Roberts, M.S. Effect of vehicles on the maximum transepidermal flux of similar size phenolic compounds. Pharm. Res. 2013, 30, 32–40. [Google Scholar] [CrossRef]
- Cross, S.E.; Roberts, M.S. The effect of occlusion on epidermal penetration of parabens from a commercial allergy test ointment, acetone and ethanol vehicles. J. Invest. Dermatol. 2000, 115, 914–918. [Google Scholar] [CrossRef]
- Koyama, Y.; Bando, H.; Yamashita, F.; Takakura, Y.; Sezaki, H.; Hashida, M. Comparative analysis of percutaneous absorption enhancement by d-limonene and oleic acid based on a skin diffusion model. Pharm. Res. 1994, 11, 377–383. [Google Scholar] [CrossRef]







| Formulation | PEG 6000 | PEG 400 | Ethanol | Volpo | Water | Corn Oil |
|---|---|---|---|---|---|---|
| C1 | 75 | ------ | ------ | ------ | 25 | ------ |
| C2 | ------ | 100 | ------ | ------ | ------ | ------ |
| C3 | ------ | 30 | ------ | 10 | 60 | ------ |
| C4 | ------ | ------ | ------ | 6 | 94 | ------ |
| C5 | ------ | ------ | ------ | ------ | ------ | 100 |
| Ce | ------ | ------ | 60 | ------ | 40 | ------ |
| Formulation | Lecithin | Ethanol | Labrasol | Transcutol HP | Ceteth 10 | Oil Phase % | Water |
|---|---|---|---|---|---|---|---|
| N1 | ------ | ------ | 35 | 35 | 3 | 17 (Caproyl 90) | 10 |
| N2 | ------ | ------ | 35 | 35 | 3 | 17 (Labrafil) | 10 |
| N3 | ------ | ------ | 35 | 35 | 3 | 17 (Limonene) | 10 |
| N4 | ------ | ------ | 35 | 35 | 3 | 17 (Eucalyptol) | 10 |
| N5 | 35 | 35 | ------ | ------ | ------ | 15 (Caproyl 90) | 15 |
| N6 | 35 | 35 | ------ | ------ | ------ | 15 (Labrafil) | 15 |
| N7 | 35 | 35 | ------ | ------ | ------ | 15 (Limonene) | 15 |
| N8 | 35 | 35 | ------ | ------ | ------ | 15 (Eucalyptol) | 15 |
| N9 | 35 | 35 | ------ | ------ | ------ | 15 (IPM) | 15 |
| N10 | 35 | 35 | ------ | ------ | ------ | 15 (Oleic acid) | 15 |
| Control Vehicle | SV (mg/mL) | JSS (µg/cm2/h) | Jmax (µg/cm2/h) | SSC (mg/mL) | kp (cm/h.1E5) | D* (cm/h.1E5) | kSC | |
| C1 | 0.7 ± 0.1 | 0.005 ± 0.001 | 0.005 ± 0.001 | 0.12 ± 0.01 | 0.80 ± 0.15 | 4.2 ± 0.8 | 0.18 ± 0.02 | |
| C2 | 16.3 ± 1.3 | 0.020 ± 0.005 | 0.050 ± 0.016 | 3.10 ± 0.56 | 0.30 ± 0.01 | 1.6 ± 1.0 | 0.19 ± 0.03 | |
| C3 | 3.7 ± 0.1 | 0.007 ± 0.001 | 0.007 ± 0.001 | 0.37 ± 0.06 | 0.19 ± 0.02 | 2.0 ± 1.0 | 0.10 ± 0.02 | |
| C4 | 1.7 ± 0.1 | 0.015 ± 0.004 | 0.015 ± 0.004 | 0.26 ± 0.06 | 0.88 ± 0.24 | 5.7 ± 1.6 | 0.15 ± 0.04 | |
| C5 | 0.8 ± 0.1 | 0.008 ± 0.002 | 0.008 ± 0.002 | 0.11 ± 0.01 | 0.92 ± 0.18 | 7.0 ± 1.4 | 0.13 ± 0.02 | |
| Ce | 0.8 ± 0.1 | 0.210 ± 0.020 | 0.210 ± 0.020 | 1.00 ± 0.20 | 26.0 ± 2.50 | 21.0 ± 2.0 | 1.24 ± 0.19 | |
| Nanoemulsion | SV (mg/mL) a | JSS (µg/cm2/h) | Jmax (µg/cm2/h) a | SSC (mg/mL) a | kp (cm/h.1E5) | D* (cm/h.1E5) | kSC | ER |
| N1 | 58.3 ± 5.90 | 0.33 ± 0.08 | 3.90 ± 1.00 | 4.30 ± 0.70 | 6.6 ± 1.9 | 89.0 ± 25.0 | 0.07 ± 0.01 | 18.6 |
| N2 | 51.9 ± 2.0 | 0.12 ± 0.03 | 1.26 ± 0.36 | 6.00 ± 0.92 | 2.4 ± 0.7 | 21.0 ± 6.0 | 0.12 ± 0.02 | 6.0 |
| N3 | 26.7 ± 0.3 | 0.49 ± 0.11 | 2.32 ± 0.52 | 8.70 ± 0.41 | 9.1 ± 2.0 | 30.0 ± 6.7 | 0.33 ± 0.02 | 11.0 |
| N4 | 51.2 ± 4.7 | 0.46 ± 0.10 | 4.66 ± 1.00 | 6.20 ± 0.70 | 9.8 ± 2.2 | 75.0 ± 17.0 | 0.12 ± 0.01 | 22.2 |
| N5 | 14.4 ± 0.8 | 0.23 ± 0.06 | 0.67 ± 0.18 | 6.13 ± 0.34 | 4.7 ± 1.3 | 11.0 ± 3.0 | 0.43 ± 0.02 | 3.2 |
| N6 | 13.8 ± 0.2 | 0.19 ± 0.03 | 0.52 ± 0.07 | 5.95 ± 0.29 | 3.8 ± 0.5 | 9.0 ± 1.2 | 0.43 ± 0.02 | 2.5 |
| N7 | 10.8 ± 0.1 | 2.66 ± 0.31 | 5.80 ± 0.67 | 3.60 ± 0.34 | 53.3 ± 6.3 | 161.0 ± 19.0 | 0.33 ± 0.03 | 27.6 |
| N8 | 18.6 ± 0.2 | 1.19 ± 0.15 | 4.42 ± 0.57 | 4.30 ± 0.55 | 23.8 ± 3.1 | 103.0 ± 13.0 | 0.23 ± 0.03 | 21.0 |
| N9 | 13.8 ± 0.1 | 0.26 ± 0.01 | 0.70 ± 0.01 | 7.39 ± 0.53 | 5.1 ± 0.1 | 9.5 ± 0.2 | 0.54 ± 0.04 | 3.3 |
| N10 | 10.9 ± 0.7 | 0.37 ± 0.04 | 0.81 ± 0.09 | 6.83 ± 0.65 | 7.0 ± 0.8 | 11.8 ± 1.3 | 0.63 ± 0.06 | 3.9 |
© 2019 by the authors. Licensee MDPI, Basel, Switzerland. This article is an open access article distributed under the terms and conditions of the Creative Commons Attribution (CC BY) license (http://creativecommons.org/licenses/by/4.0/).
Share and Cite
Yousef, S.A.; Mohammed, Y.H.; Namjoshi, S.; Grice, J.E.; Benson, H.A.E.; Sakran, W.; Roberts, M.S. Mechanistic Evaluation of Enhanced Curcumin Delivery through Human Skin In Vitro from Optimised Nanoemulsion Formulations Fabricated with Different Penetration Enhancers. Pharmaceutics 2019, 11, 639. https://doi.org/10.3390/pharmaceutics11120639
Yousef SA, Mohammed YH, Namjoshi S, Grice JE, Benson HAE, Sakran W, Roberts MS. Mechanistic Evaluation of Enhanced Curcumin Delivery through Human Skin In Vitro from Optimised Nanoemulsion Formulations Fabricated with Different Penetration Enhancers. Pharmaceutics. 2019; 11(12):639. https://doi.org/10.3390/pharmaceutics11120639
Chicago/Turabian StyleYousef, Shereen A., Yousuf H. Mohammed, Sarika Namjoshi, Jeffrey E. Grice, Heather A. E. Benson, Wedad Sakran, and Michael S. Roberts. 2019. "Mechanistic Evaluation of Enhanced Curcumin Delivery through Human Skin In Vitro from Optimised Nanoemulsion Formulations Fabricated with Different Penetration Enhancers" Pharmaceutics 11, no. 12: 639. https://doi.org/10.3390/pharmaceutics11120639
APA StyleYousef, S. A., Mohammed, Y. H., Namjoshi, S., Grice, J. E., Benson, H. A. E., Sakran, W., & Roberts, M. S. (2019). Mechanistic Evaluation of Enhanced Curcumin Delivery through Human Skin In Vitro from Optimised Nanoemulsion Formulations Fabricated with Different Penetration Enhancers. Pharmaceutics, 11(12), 639. https://doi.org/10.3390/pharmaceutics11120639

