Iontophoretic Transdermal Delivery of Human Growth Hormone (hGH) and the Combination Effect of a New Type Microneedle, Tappy Tok Tok®
Abstract
1. Introduction
2. Materials and Methods
2.1. Materials
2.2. Microneedle Device (Tappy Tok Tok®)
2.3. Skin Preparation
2.4. Characterization of Microneedles
2.5. Skin Histology
2.6. Iontophoresis Protocol
2.7. In Vitro rhGH Permeation Study
2.7.1. Optimization of the Iontophoresis Protocol in rhGH Permeation
2.7.2. Combination Effects of Microneedle and Iontophoresis on rhGH Permeation
2.8. Analysis of rhGH
3. Results
3.1. Characterization of Microneedle
3.2. Skin Histology
3.3. In Vitro rhGH Permeation Study
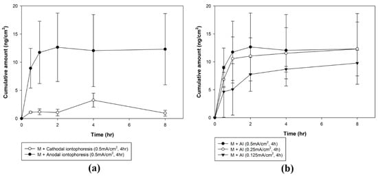
3.3.1. Optimization of the Iontophoresis Protocol in rhGH Permeation
3.3.2. Combination Effect of Microneedle Application and Iontophoresis on rhGH Permeation
4. Discussion
5. Conclusions
Author Contributions
Funding
Acknowledgments
Conflicts of Interest
References
- Gupta, P.N.; Mishra, V.; Rawat, A.; Dubey, P.; Mahor, S.; Jain, S.; Chatterji, D.; Vyas, S.P. Non-invasive vaccine delivery in transfersomes, niosomes and liposomes: A comparative study. Int. J. Pharm. 2005, 293, 73–82. [Google Scholar] [CrossRef] [PubMed]
- Prausnitz, M.R.; Langer, R. Transdermal drug delivery. Nat. Biotechnol. 2008, 26, 1261–1268. [Google Scholar] [CrossRef] [PubMed]
- Hillery, A.M.; Lloyd, A.W.; Swarbrick, J. Drug Delivery and Targeting: For Pharmacists and Pharmaceutical Scientists; CRC Press: Boca Raton, FL, USA, 2002. [Google Scholar]
- Bashyal, S.; Lee, S. Delivery of biopharmaceuticals using combination of liposome and iontophoresis: A review. J. Pharm. Investig. 2015, 45, 611–624. [Google Scholar] [CrossRef]
- Guy, R.H.; Kalia, Y.N.; Delgado-Charro, M.B.; Merino, V.; Lopez, A.; Marro, D. Iontophoresis: Electrorepulsion and electroosmosis. J. Control. Release 2000, 64, 129–132. [Google Scholar] [CrossRef]
- Green, P.G. Iontophoretic delivery of peptide drugs. J. Control. Release 1996, 41, 33–48. [Google Scholar] [CrossRef]
- Banga, A.K. Transdermal and Intradermal Delivery of Therapeutic Agents: Application of Physical Technologies; CRC Press: Boca Raton, FL, USA, 2011. [Google Scholar]
- Li, G.; Badkar, A.; Nema, S.; Kolli, C.S.; Banga, A.K. In vitro transdermal delivery of therapeutic antibodies using maltose microneedles. Int. J. Pharm. 2009, 368, 109–115. [Google Scholar] [CrossRef] [PubMed]
- Chen, H.; Zhu, H.; Zheng, J.; Mou, D.; Wan, J.; Zhang, J.; Shi, T.; Zhao, Y.; Xu, H.; Yang, X. Iontophoresis-driven penetration of nanovesicles through microneedle-induced skin microchannels for enhancing transdermal delivery of insulin. J. Control. Release 2009, 139, 63–72. [Google Scholar] [CrossRef] [PubMed]
- Martanto, W.; Davis, S.P.; Holiday, N.R.; Wang, J.; Gill, H.S.; Prausnitz, M.R. Transdermal delivery of insulin using microneedles in vivo. Pharm. Res. 2004, 21, 947–952. [Google Scholar] [CrossRef] [PubMed]
- Eum, N.-S.; Kim, H.-K.; Han, J.H.; Kim, S.-J.; Park, H.-J.; Kang, S.-W. Development of Micro-needle Device for Direct Drug Delivery into the Dermis. J. Biomed. Eng. Res. 2012, 33, 202–206. [Google Scholar] [CrossRef]
- Rastogi, R.; Anand, S.; Dinda, A.K.; Koul, V. Investigation on the synergistic effect of a combination of chemical enhancers and modulated iontophoresis for transdermal delivery of insulin. Drug Dev. Ind. Pharm. 2010, 36, 993–1004. [Google Scholar] [CrossRef] [PubMed]
- Wu, X.-M.; Todo, H.; Sugibayashi, K. Enhancement of skin permeation of high molecular compounds by a combination of microneedle pretreatment and iontophoresis. J. Control. Release 2007, 118, 189–195. [Google Scholar] [CrossRef] [PubMed]
- Le, L.; Kost, J.; Mitragotri, S. Combined effect of low-frequency ultrasound and iontophoresis: Applications for transdermal heparin delivery. Pharm. Res. 2000, 17, 1151–1154. [Google Scholar] [CrossRef] [PubMed]
- Katikaneni, S.; Badkar, A.; Nema, S.; Banga, A.K. Molecular charge mediated transport of a 13kD protein across microporated skin. Int. J. Pharm. 2009, 378, 93–100. [Google Scholar] [CrossRef] [PubMed]
- Jacobsen, J. Buccal iontophoretic delivery of atenolol·HCl employing a new in vitro three-chamber permeation cell. J. Control. Release 2001, 70, 83–95. [Google Scholar] [CrossRef]
- Levin, G.; Gershonowitz, A.; Sacks, H.; Stern, M.; Sherman, A.; Rudaev, S.; Zivin, I.; Phillip, M. Transdermal delivery of human growth hormone through RF-microchannels. Pharm. Res. 2005, 22, 550–555. [Google Scholar] [CrossRef] [PubMed]
- Kanikkannan, N.; Singh, J.; Ramarao, P. In vitro transdermal iontophoretic transport of timolol maleate: Effect of age and species. J. Control. Release 2001, 71, 99–105. [Google Scholar] [CrossRef]
- Naik, A.; Kalia, Y.N.; Guy, R.H. Transdermal drug delivery: Overcoming the skin’s barrier function. Pharm. Sci. Technol. Today 2000, 3, 318–326. [Google Scholar] [CrossRef]
- Pikal, M.J. The role of electroosmotic flow in transdermal iontophoresis. Adv. Drug Deliv. Rev. 2001, 46, 281–305. [Google Scholar] [CrossRef]
- Sung, W.-S.; Oh, S.-Y. Electroosmotic flow through skin: Effect of current duration and poly(ethylene imine). J. Pharm. Investig. 2018, 48, 373–379. [Google Scholar] [CrossRef]
- Marro, D.; Guy, R.H.; Delgado-Charro, M.B. Characterization of the iontophoretic permselectivity properties of human and pig skin. J. Control. Release 2001, 70, 213–217. [Google Scholar] [CrossRef]
- Burnette, R.R.; Ongpipattanakul, B. Characterization of the permselective properties of excised human skin during iontophoresis. J. Pharm. Sci. 1987, 76, 765–773. [Google Scholar] [CrossRef] [PubMed]
- Sims, S.M.; Higuchi, W.I.; Srinivasan, V. Skin alteration and convective solvent flow effects during iontophoresis: I. Neutral solute transport across human skin. Int. J. Pharm. 1991, 69, 109–121. [Google Scholar]
- Wit, J. Growth hormone therapy. Best Pract. Res. Clin. Endocrinol. Metab. 2002, 16, 483–503. [Google Scholar] [CrossRef] [PubMed]









© 2018 by the authors. Licensee MDPI, Basel, Switzerland. This article is an open access article distributed under the terms and conditions of the Creative Commons Attribution (CC BY) license (http://creativecommons.org/licenses/by/4.0/).
Share and Cite
Noh, G.; Keum, T.; Seo, J.-E.; Bashyal, S.; Eum, N.-S.; Kweon, M.J.; Lee, S.; Sohn, D.H.; Lee, S. Iontophoretic Transdermal Delivery of Human Growth Hormone (hGH) and the Combination Effect of a New Type Microneedle, Tappy Tok Tok®. Pharmaceutics 2018, 10, 153. https://doi.org/10.3390/pharmaceutics10030153
Noh G, Keum T, Seo J-E, Bashyal S, Eum N-S, Kweon MJ, Lee S, Sohn DH, Lee S. Iontophoretic Transdermal Delivery of Human Growth Hormone (hGH) and the Combination Effect of a New Type Microneedle, Tappy Tok Tok®. Pharmaceutics. 2018; 10(3):153. https://doi.org/10.3390/pharmaceutics10030153
Chicago/Turabian StyleNoh, Gyubin, Taekwang Keum, Jo-Eun Seo, Santosh Bashyal, Nyeon-Sik Eum, Min Jung Kweon, Sooyeun Lee, Dong Hwan Sohn, and Sangkil Lee. 2018. "Iontophoretic Transdermal Delivery of Human Growth Hormone (hGH) and the Combination Effect of a New Type Microneedle, Tappy Tok Tok®" Pharmaceutics 10, no. 3: 153. https://doi.org/10.3390/pharmaceutics10030153
APA StyleNoh, G., Keum, T., Seo, J.-E., Bashyal, S., Eum, N.-S., Kweon, M. J., Lee, S., Sohn, D. H., & Lee, S. (2018). Iontophoretic Transdermal Delivery of Human Growth Hormone (hGH) and the Combination Effect of a New Type Microneedle, Tappy Tok Tok®. Pharmaceutics, 10(3), 153. https://doi.org/10.3390/pharmaceutics10030153
