Dysregulated microRNA Expression in Serum of Non-Vaccinated Children with Varicella
Abstract
:1. Introduction
2. Results and Discussion
2.1. Varicella Patient Information
| Sample Characteristic | Patients group | Healthy controls group | ||
|---|---|---|---|---|
| Low-Density Array study | Validation study | Low-Density Array study | Validation study | |
| Number of participants | 10 | 29 | 20 | 43 |
| Gender (male/female) | 5/5 | 20/9 | 10/10 | 20/23 |
| Age (years, mean ± SD) | 0.82 ± 0.35 | 0.86 ± 0.41 | 0.90 ± 0.27 | 1.06 ± 0.25 |
| Symptoms | ||||
| Fever | 10 (100%) | 29 (100%) | 0 | 0 |
| Upper respiratory tract infection | 3 (30%) | 7 (24%) | 0 | 0 |
| Skin infection | 10 (100%) | 29 (100%) | 0 | 0 |
| VZV IgM (+) | 3 (30%) | 8 (28%) | 0 | 0 |
| Varicella vaccination | 0 | 0 | 0 | 0 |
2.2. MiRNA Expression Profiling of VZV by TLDA in Pooled Sera
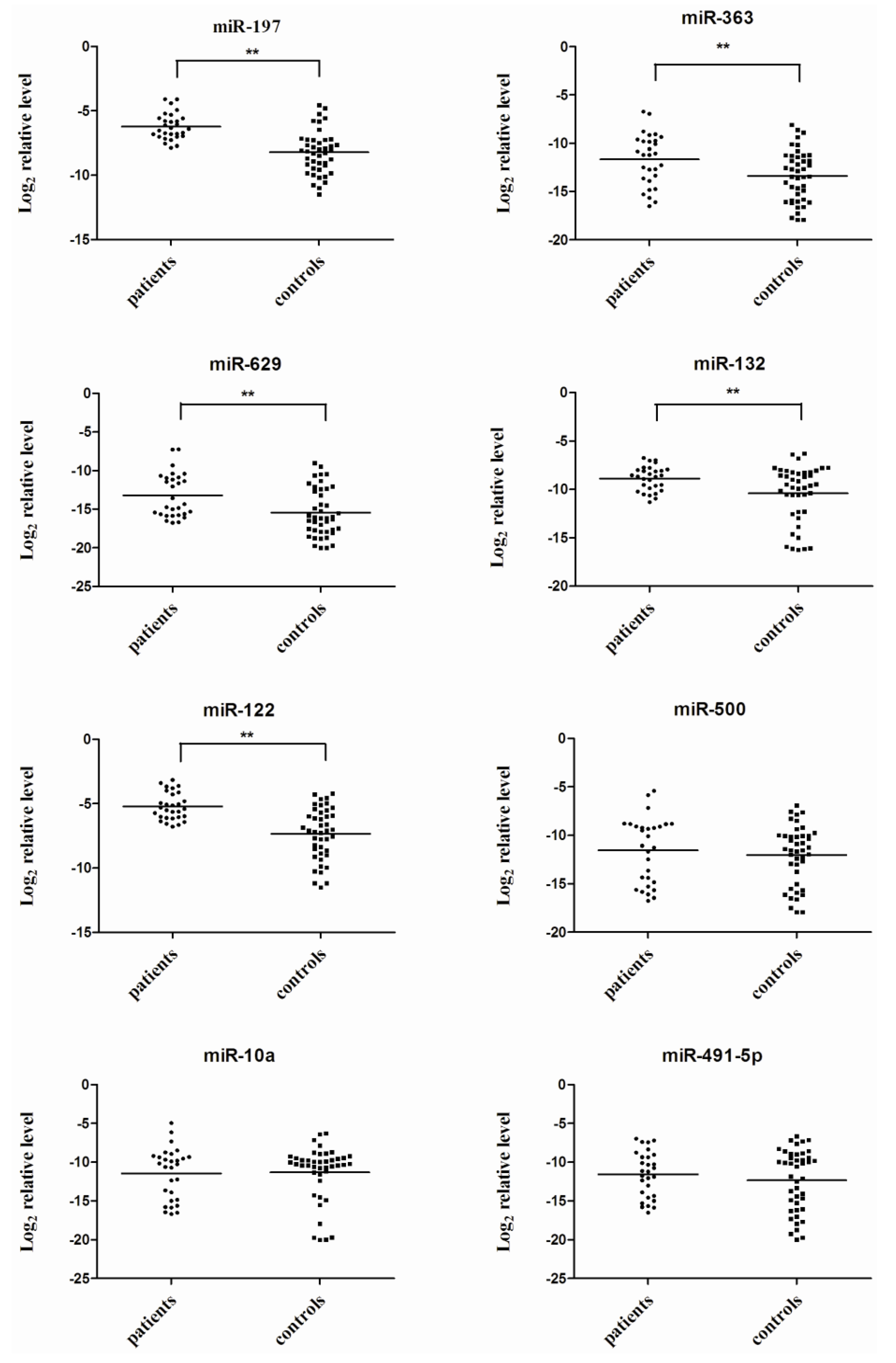
2.3. qRT-PCR Analysis of miRNA Expression in VZV Infected Serum
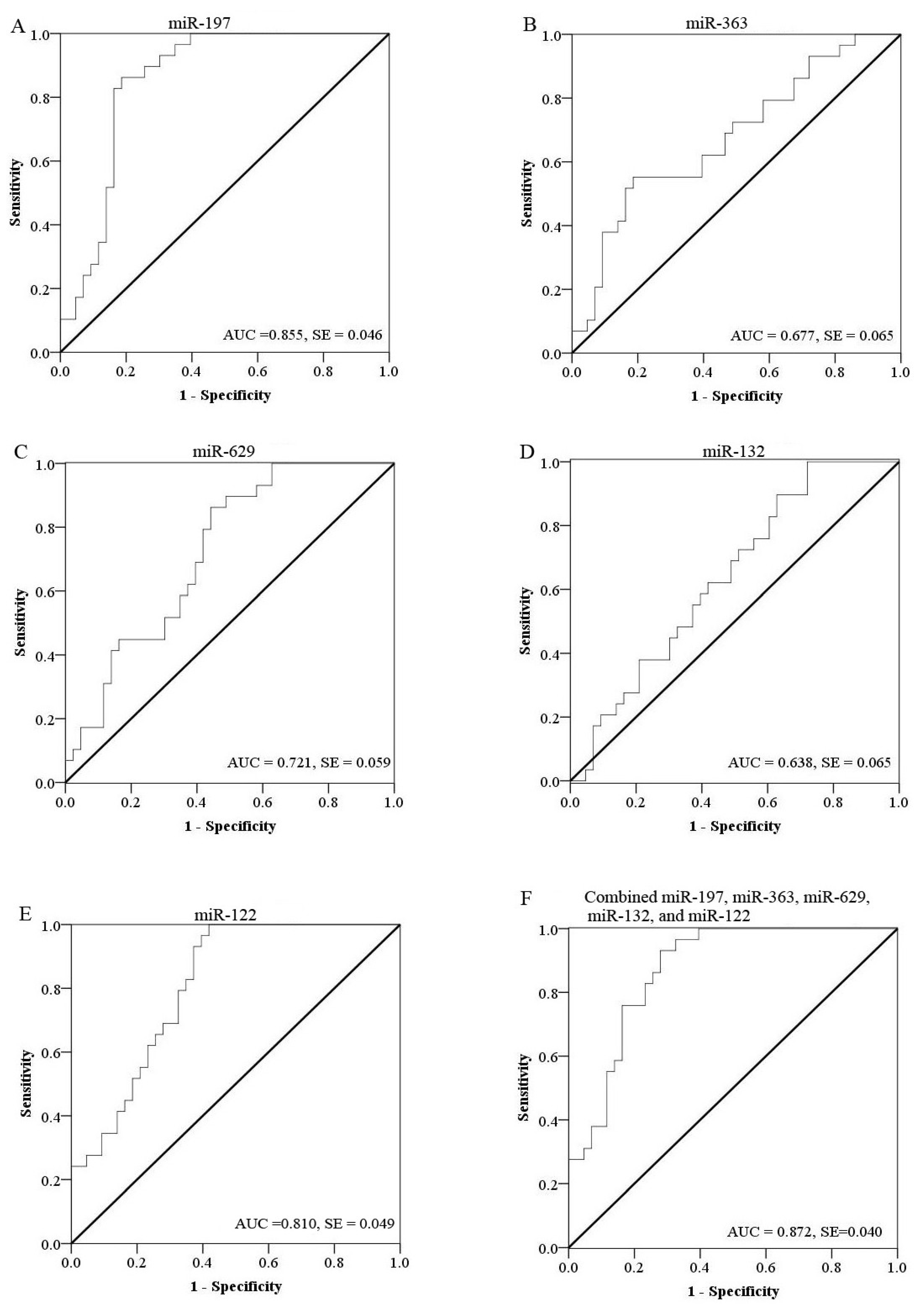
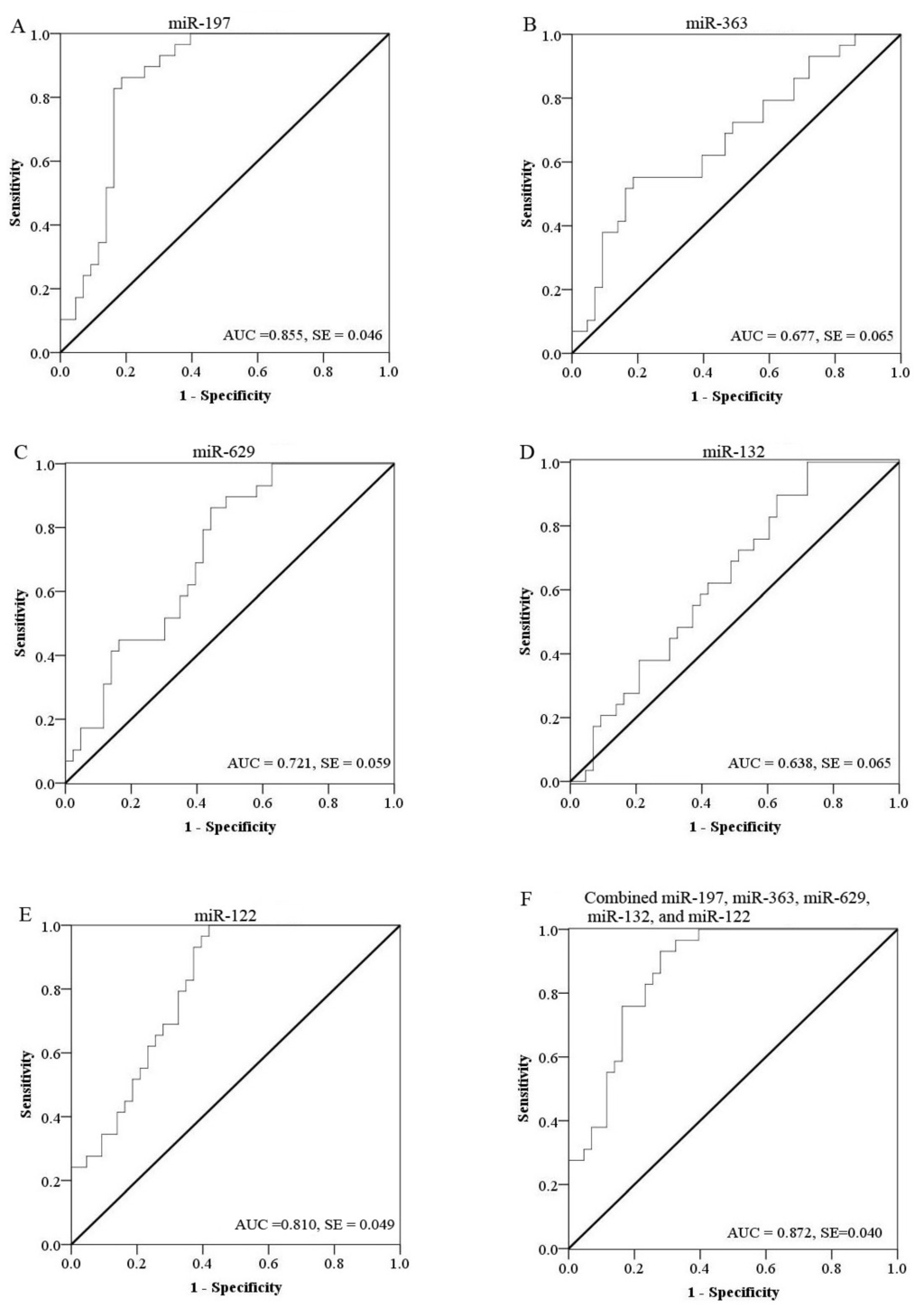
2.4. Evaluation of the Diagnostic Potential of miRNAs for VZV Infection


| miRNA | Cutoff value | Sensitivity (%) | Specificity (%) |
|---|---|---|---|
| miR-197 | −7.18 | 86.2 | 81.4 |
| miR-363 | −11.23 | 55.2 | 81.4 |
| miR-629 | −15.95 | 86.2 | 55.8 |
| miR-132 | −11.80 | 100 | 27.9 |
| miR-122 | −6.82 | 100 | 58.1 |
| Combined miRNAs | −13.03 | 93.1 | 72.1 |
| miRNA | VZV/control | EV/control | MEV/control | BP/control |
|---|---|---|---|---|
| miR-197 | −10.55 | −13.88 | −11.87 | −10.01 |
| miR-363 | −7.09 | 0 | 0 | 0 |
| miR-629 | −3.59 | 0.12 | 2.01 | 6.39 |
| miR-132 | −12.58 | 0 | −9.73 | 0 |
| miR-122 | −12.77 | −9.67 | −16.6 | −8.58 |
2.5. Target Gene Prediction
| miRNAs | GO Term | Genes |
|---|---|---|
| miR-197 | Immune system development | NA |
| Nervous system | NA | |
| Lung development and Respiratory system development | FGF1, ADAMTS2, SPRY2, DICER1, COX1, FOXP2 | |
| miR-629 | Immune system development | BCL2, CD24, CD28, SIX4, TAL1, HDAC5 |
| Nervous system | BCL2, SOX5, IGF1, CD24 | |
| Lung development and Respiratory system development | ACVR2B, CUX1, HS6ST1 | |
| miR-132 | Immune system development | KITLG, SMAD5, SOX4, SOX6, FOXP1, IRF1, RB1 |
| Nervous system | ISL1, COL4A4, MIB1, MBP, NRCAM, YWHAG | |
| Lung development and Respiratory system development | EP300,SMAD2, CUX1, ANO1, FOXP1, HHIP, HSD11B1, FGF7 | |
| miR-363 | Immune system development | NA |
| Nervous system | CDK5R1, MAP1B, ROBO1, SEMA3A | |
| Lung development and Respiratory system development | ATP7A, FOXP2, MAN2A1 | |
| miR-122 | Immune system development | SOX6, EPO, MED1, MINK1 |
| Nervous system | NA | |
| Lung development and Respiratory system development | ADAMTS2, CUX1, DICER1, FGF1, FOXP2, SPRY2 |
3. Experimental
3.1. Sample Collection
3.2. RNA Extraction
3.3. MiRNA Profiling Using the TaqMan Low-Density Array
3.4. Candidate miRNA Confirmation and Quantification by Real-Time qRT-PCR
3.5. Target Gene Analysis
3.6. Statistical Analysis
4. Conclusions
Supplementary Files
Acknowledgments
Author Contributions
Conflicts of Interest
References and Notes
- Chan, J.Y.; Tian, L.; Kwan, Y.; Chan, W.; Leung, C. Hospitalizations for varicella in children and adolescents in a referral hospital in Hong Kong, 2004 to 2008: A time series study. BMC Public Health 2011, 11, e366. [Google Scholar] [CrossRef]
- Pierik, J.G.; Gumbs, P.D.; Fortanier, S.A.; van Steenwijk, P.C.; Postma, M.J. Epidemiological characteristics and societal burden of varicella zoster virus in the Netherlands. BMC Infect. Dis. 2012, 12, e110. [Google Scholar] [CrossRef]
- Nguyen, H.Q.; Jumaan, A.O.; Seward, J.F. Decline in mortality due to varicella after implementation of varicella vaccination in the United States. N. Engl. J. Med. 2005, 352, 450–458. [Google Scholar] [CrossRef]
- Xiong, X.; Qi, Y.; Jiao, J.; Gong, W.; Duan, C.; Wen, B. Exploratory study on Th1 epitope-induced protective immunity against Coxiella burnetii infection. PLoS One 2014, 9, e87206. [Google Scholar]
- Tseng, H.F.; Tan, H.F.; Chang, C.K.; Wang, L.Y.; Yang, S.E.; Liau, M.Y.; Pan, M.J.; Chen, C.Y.; Huang, S.P. A seroepidemiology study of varicella among children aged 0–12 years in Taiwan. Southeast Asian J. Trop. Med. Public Health 2005, 36, 1201–1207. [Google Scholar]
- Heininger, U.; Seward, J.F. Varicella. Lancet 2006, 368, 1365–1376. [Google Scholar] [CrossRef]
- Lu, L.; Suo, L.; Li, J.; Zhai, L.; Zheng, Q.; Pang, X.; Bialek, S.R.; Wang, C. A varicella outbreak in a school with high one-dose vaccination coverage, Beijing, China. Vaccine 2012, 30, 5094–5098. [Google Scholar] [CrossRef]
- Xu, A.; Xu, Q.; Fang, X.; Bialek, S.; Wang, C. Varicella vaccine uptake in Shandong Province, China. Hum. Vaccines Immunother. 2012, 8, 1213–1217. [Google Scholar] [CrossRef]
- Galil, K.; Brown, C.; Lin, F.; Seward, J. Hospitalizations for varicella in the United States, 1988 to 1999. Pediatr. Infect. Dis. J. 2002, 21, 931–935. [Google Scholar] [CrossRef]
- Solomon, A.R. New diagnostic tests for herpes simplex and varicella zoster infections. J. Am. Acad. Dermatol. 1988, 18, 218–221. [Google Scholar] [CrossRef]
- Wilson, D.A.; Yen-Lieberman, B.; Schindler, S.; Asamoto, K.; Schold, J.D.; Procop, G.W. Should varicella-zoster virus culture be eliminated? A comparison of direct immunofluorescence antigen detection, culture, and PCR, with a historical review. J. Clin. Microbiol. 2012, 50, 4120–4122. [Google Scholar] [CrossRef]
- Leung, J.; Harpaz, R.; Baughman, A.L.; Heath, K.; Loparev, V.; Vazquez, M.; Watson, B.M.; Schmid, D.S. Evaluation of laboratory methods for diagnosis of varicella. Clin. Infect. Dis. 2010, 51, 23–32. [Google Scholar] [CrossRef]
- Weidmann, M.; Meyer-Konig, U.; Hufert, F.T. Rapid detection of herpes simplex virus and varicella-zoster virus infections by real-time PCR. J. Clin. Microbiol. 2003, 41, 1565–1568. [Google Scholar] [CrossRef]
- Parker, S.P.; Quinlivan, M.; Taha, Y.; Breuer, J. Genotyping of varicella-zoster virus and the discrimination of Oka vaccine strains by TaqMan real-time PCR. J. Clin. Microbiol. 2006, 44, 3911–3914. [Google Scholar] [CrossRef]
- Kierat, S.; Les, K.; Przybylski, M.; Dzieciatkowski, T.; Mlynarczyk, G. TaqMan fluorescent probe-based real-time PCR assay for detection of varicella-zoster virus. Med. Dosw. Mikrobiol. 2012, 64, 139–149. [Google Scholar]
- Bartel, D.P. MicroRNAs: Genomics, biogenesis, mechanism, and function. Cell 2004, 116, 281–297. [Google Scholar] [CrossRef]
- Singh, S.K.; Bhadra, M.P.; Girschick, H.J.; Bhadra, U. MicroRNAs—Micro in size but macro in function. FEBS J. 2008, 275, 4929–4944. [Google Scholar] [CrossRef]
- Godfrey, A.C.; Xu, Z.; Weinberg, C.R.; Getts, R.C.; Wade, P.A.; Deroo, L.A.; Sandler, D.P.; Taylor, J.A. Serum microRNA expression as an early marker for breast cancer risk in prospectively collected samples from the Sister Study cohort. Breast Cancer Res. 2013, 15, R42. [Google Scholar] [CrossRef]
- Hennessey, P.T.; Sanford, T.; Choudhary, A.; Mydlarz, W.W.; Brown, D.; Adai, A.T.; Ochs, M.F.; Ahrendt, S.A.; Mambo, E.; Califano, J.A. Serum microRNA biomarkers for detection of non-small cell lung cancer. PLoS One 2012, 7, e32307. [Google Scholar] [CrossRef]
- Sun, Y.; Wang, M.; Lin, G.; Sun, S.; Li, X.; Qi, J.; Li, J. Serum microRNA-155 as a potential biomarker to track disease in breast cancer. PLoS One 2012, 7, e47003. [Google Scholar]
- Gu, H.; Li, H.; Zhang, L.; Luan, H.; Huang, T.; Wang, L.; Fan, Y.; Zhang, Y.; Liu, X.; Wang, W.; et al. Diagnostic role of microRNA expression profile in the serum of pregnant women with fetuses with neural tube defects. J. Neurochem. 2012, 122, 641–649. [Google Scholar] [CrossRef]
- Zampetaki, A.; Kiechl, S.; Drozdov, I.; Willeit, P.; Mayr, U.; Prokopi, M.; Mayr, A.; Weger, S.; Oberhollenzer, F.; Bonora, E.; et al. Plasma microRNA profiling reveals loss of endothelial miR-126 and other microRNAs in type 2 diabetes. Circ. Res. 2010, 107, 810–817. [Google Scholar] [CrossRef]
- Xu, B.; Hsu, P.K.; Stark, K.L.; Karayiorgou, M.; Gogos, J.A. Derepression of a neuronal inhibitor due to miRNA dysregulation in a schizophrenia-related microdeletion. Cell 2013, 152, 262–275. [Google Scholar] [CrossRef]
- Cui, L.; Qi, Y.; Li, H.; Ge, Y.; Zhao, K.; Qi, X.; Guo, X.; Shi, Z.; Zhou, M.; Zhu, B.; et al. Serum microRNA expression profile distinguishes enterovirus 71 and coxsackievirus 16 infections in patients with hand-foot-and-mouth disease. PLoS One 2011, 6, e27071. [Google Scholar]
- Qi, Y.; Cui, L.; Ge, Y.; Shi, Z.; Zhao, K.; Guo, X.; Yang, D.; Yu, H.; Shan, Y.; Zhou, M.; et al. Altered serum microRNAs as biomarkers for the early diagnosis of pulmonary tuberculosis infection. BMC Infect. Dis. 2012, 12, e384. [Google Scholar] [CrossRef]
- Chen, X.; Ba, Y.; Ma, L.J.; Cai, X.; Yin, Y.; Wang, K.H.; Guo, J.G.; Zhang, Y.J.; Chen, J.N.; Guo, X.; et al. Characterization of microRNAs in serum: A novel class of biomarkers for diagnosis of cancer and other diseases. Cell Res. 2008, 18, 997–1006. [Google Scholar] [CrossRef]
- Mitchell, P.S.; Parkin, R.K.; Kroh, E.M.; Fritz, B.R.; Wyman, S.K.; Pogosova-Agadjanyan, E.L.; Peterson, A.; Noteboom, J.; O’Briant, K.C.; Allen, A.; et al. Circulating microRNAs as stable blood-based markers for cancer detection. Proc. Natl. Acad. Sci. USA 2008, 105, 10513–10518. [Google Scholar] [CrossRef]
- Chen, L.; Li, C.; Peng, Z.; Zhao, J.; Gong, G.; Tan, D. miR-197 Expression in peripheral blood mononuclear cells from hepatitis B virus-infected patients. Gut Liver 2013, 7, 335–342. [Google Scholar] [CrossRef]
- Hamada, S.; Satoh, K.; Miura, S.; Hirota, M.; Kanno, A.; Masamune, A.; Kikuta, K.; Kume, K.; Unno, J.; Egawa, S.; et al. miR-197 induces epithelial-mesenchymal transition in pancreatic cancer cells by targeting p120 catenin. J. Cell. Physiol. 2013, 228, 1255–1263. [Google Scholar] [CrossRef]
- Grassmann, R.; Jeang, K.T. The roles of microRNAs in mammalian virus infection. Biochim. Biophys. Acta 2008, 1779, 706–711. [Google Scholar] [CrossRef]
- Ma, F.; Xu, S.; Liu, X.; Zhang, Q.; Xu, X.; Liu, M.; Hua, M.; Li, N.; Yao, H.; Cao, X. The microRNA miR-29 controls innate and adaptive immune responses to intracellular bacterial infection by targeting interferon-gamma. Nat. Immunol. 2011, 12, 861–869. [Google Scholar] [CrossRef]
- Xiao, B.; Liu, Z.; Li, B.S.; Tang, B.; Li, W.; Guo, G.; Shi, Y.; Wang, F.; Wu, Y.; Tong, W.D.; et al. Induction of microRNA-155 during Helicobacter pylori infection and its negative regulatory role in the inflammatory response. J. Infect. Dis. 2009, 200, 916–925. [Google Scholar] [CrossRef]
- Koh, Y.W.; Park, C.; Yoon, D.H.; Suh, C.; Huh, J. Prognostic significance of COX-2 expression and correlation with Bcl-2 and VEGF expression, microvessel density, and clinical variables in classical Hodgkin lymphoma. Am. J. Surg. Pathol. 2013, 37, 1242–1251. [Google Scholar] [CrossRef]
- Wu, X.; Wu, S.; Tong, L.; Luan, T.; Lin, L.; Lu, S.; Zhao, W.; Ma, Q.; Liu, H.; Zhong, Z. miR-122 affects the viability and apoptosis of hepatocellular carcinoma cells. Scand. J. Gastroenterol. 2009, 44, 1332–1339. [Google Scholar] [CrossRef]
- Lewis, A.P.; Jopling, C.L. Regulation and biological function of the liver-specific miR-122. Biochem. Soc. Trans. 2010, 38, 1553–1557. [Google Scholar] [CrossRef]
- Fan, C.G.; Wang, C.M.; Tian, C.; Wang, Y.; Li, L.; Sun, W.S.; Li, R.F.; Liu, Y.G. miR-122 inhibits viral replication and cell proliferation in hepatitis B virus-related hepatocellular carcinoma and targets NDRG3. Oncol. Rep. 2011, 26, 1281–1286. [Google Scholar]
- Yang, D.; Li, T.; Wang, Y.; Tang, Y.; Cui, H.; Zhang, X.; Chen, D.; Shen, N.; Le, W. miR-132 regulates the differentiation of dopamine neurons by directly targeting Nurr1 expression. J. Cell Sci. 2012, 125, 1673–1682. [Google Scholar] [CrossRef]
- Qiao, J.; Lee, S.; Paul, P.; Theiss, L.; Tiao, J.; Qiao, L.; Kong, A.; Chung, D.H. miR-335 and miR-363 regulation of neuroblastoma tumorigenesis and metastasis. Surgery 2013, 154, 226–233. [Google Scholar] [CrossRef]
- Chokas, A.L.; Trivedi, C.M.; Lu, M.M.; Tucker, P.W.; Li, S.; Epstein, J.A.; Morrisey, E.E. Foxp1/2/4-NuRD interactions regulate gene expression and epithelial injury response in the lung via regulation of interleukin-6. J. Biol. Chem. 2010, 285, 13304–13313. [Google Scholar]
- Shu, W.; Lu, M.M.; Zhang, Y.; Tucker, P.W.; Zhou, D.; Morrisey, E.E. Foxp2 and Foxp1 cooperatively regulate lung and esophagus development. Development 2007, 134, 1991–2000. [Google Scholar] [CrossRef]
- SDS Software, version 2.3. Applied Biosystems: Foster City, CA, USA, 2006.
- RQ Manager, version1.2.1. Applied Biosystems: Foster City, CA, USA, 2006.
- TargetScan. Available online: http://www.targetscan.org/ (accessed on 30 June 2012).
- DAVID server. Available online: http://david.abcc.ncifcrf.gov/tools.jsp/ (accessed on 30 June 2012).
- SPSS software, version 16.0. SPSS Inc.: Chicago, IL, USA, 2007.
© 2014 by the authors; licensee MDPI, Basel, Switzerland. This article is an open access article distributed under the terms and conditions of the Creative Commons Attribution license (http://creativecommons.org/licenses/by/3.0/).
Share and Cite
Qi, Y.; Zhu, Z.; Shi, Z.; Ge, Y.; Zhao, K.; Zhou, M.; Cui, L. Dysregulated microRNA Expression in Serum of Non-Vaccinated Children with Varicella. Viruses 2014, 6, 1823-1836. https://doi.org/10.3390/v6041823
Qi Y, Zhu Z, Shi Z, Ge Y, Zhao K, Zhou M, Cui L. Dysregulated microRNA Expression in Serum of Non-Vaccinated Children with Varicella. Viruses. 2014; 6(4):1823-1836. https://doi.org/10.3390/v6041823
Chicago/Turabian StyleQi, Yuhua, Zheng Zhu, Zhiyang Shi, Yiyue Ge, Kangchen Zhao, Minghao Zhou, and Lunbiao Cui. 2014. "Dysregulated microRNA Expression in Serum of Non-Vaccinated Children with Varicella" Viruses 6, no. 4: 1823-1836. https://doi.org/10.3390/v6041823
APA StyleQi, Y., Zhu, Z., Shi, Z., Ge, Y., Zhao, K., Zhou, M., & Cui, L. (2014). Dysregulated microRNA Expression in Serum of Non-Vaccinated Children with Varicella. Viruses, 6(4), 1823-1836. https://doi.org/10.3390/v6041823
