Residue 365 in Hemagglutinin–Neuraminidase Is a Key Thermostable Determinant of Genotype VI.2.1.1.2.2 Newcastle Disease Virus
Abstract
1. Introduction
2. Materials and Methods
2.1. Cells and Eggs
2.2. Sample Collection and Virus Isolation
2.3. Sequence and Phylogenetic Analysis
2.4. Thermostability Test
2.5. Construction of Plasmids and Expression of HN Mutants
2.6. Recovery of P0506, P0173 and HN Mutant Recombinants from cDNA
2.7. Virus Titer and Thermostability of Recombinant NDVs
2.8. Comparison of Thermostability of Different NDV Strains
2.9. Statistical Analysis
3. Results
3.1. Virus Isolation and Identification
3.2. Sequence and Genetic Analysis
3.3. Signature Features of Amino Acid Residues at Positions 315 and 369 in HN Protein
3.4. Identification of Viral Thermostable Phenotype
3.5. Identification of Key Amino Acid Residues Involved in Thermostability of HN Protein
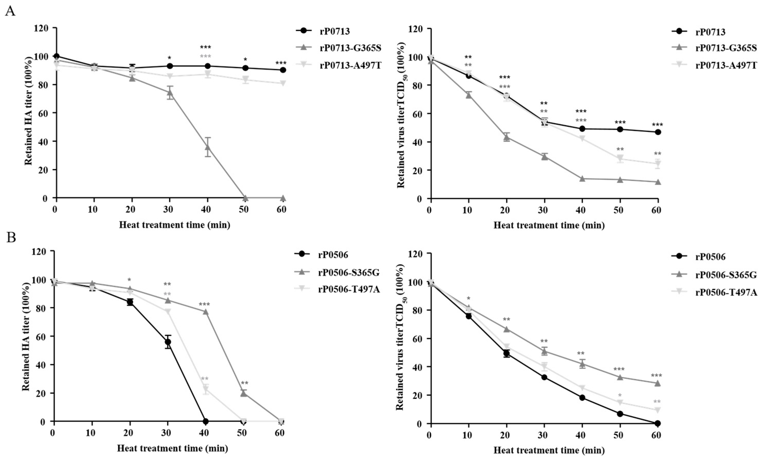
3.6. Residue 365 in HN Protein Significantly Affected the Viral Thermostability
3.7. Substitution Analysis of Residues 365 and 497 in HN Protein
3.8. Thermostability of Different NDV Strains
4. Discussion
Supplementary Materials
Author Contributions
Funding
Institutional Review Board Statement
Informed Consent Statement
Data Availability Statement
Conflicts of Interest
References
- Dimitrov, K.M.; Afonso, C.L.; Yu, Q.; Miller, P.J. Newcastle disease vaccines—A solved problem or a continuous challenge? Vet. Microbiol. 2017, 206, 126–136. [Google Scholar] [CrossRef] [PubMed]
- Miller, P.J.; Haddas, R.; Simanov, L.; Lublin, A.; Rehmani, S.F.; Wajid, A.; Bibi, T.; Khan, T.A.; Yaqub, T.; Setiyaningsih, S.; et al. Identification of new sub-genotypes of virulent Newcastle disease virus with potential panzootic features. Infect. Genet. Evol. 2015, 29, 216–229. [Google Scholar] [CrossRef]
- Ganar, K.; Das, M.; Sinha, S.; Kumar, S. Newcastle disease virus: Current status and our understanding. Virus Res. 2014, 184, 71–81. [Google Scholar] [CrossRef]
- Dimitrov, K.M.; Abolnik, C.; Afonso, C.L.; Albina, E.; Bahl, J.; Berg, M.; Briand, F.X.; Brown, I.H.; Choi, K.S.; Chvala, I.; et al. Updated unified phylogenetic classification system and revised nomenclature for Newcastle disease virus. Infect. Genet. Evol. 2019, 74, 103917. [Google Scholar] [CrossRef] [PubMed]
- Dimitrov, K.M.; Ramey, A.M.; Qiu, X.; Bahl, J.; Afonso, C.L. Temporal, geographic, and host distribution of avian paramyxovirus 1 (Newcastle disease virus). Infect. Genet. Evol. 2016, 39, 22–34. [Google Scholar] [CrossRef] [PubMed]
- Miller, P.J.; Decanini, E.L.; Afonso, C.L. Newcastle disease: Evolution of genotypes and the related diagnostic challenges. Infect. Genet. Evol. 2010, 10, 26–35. [Google Scholar] [CrossRef]
- Collins, M.S.; Strong, I.; Alexander, D.J. Evaluation of the molecular basis of pathogenicity of the variant Newcastle disease viruses termed “pigeon PMV-1 viruses”. Arch. Virol. 1994, 134, 403–411. [Google Scholar] [CrossRef]
- Afonso, C.L. Virulence during Newcastle Disease Viruses Cross Species Adaptation. Viruses 2021, 13, 110. [Google Scholar] [CrossRef]
- Mohammed, M.A.; Sokkar, S.M.; Tantawi, H.H. Contagious paralysis of pigeons. Avian Pathol. 1978, 7, 637–643. [Google Scholar] [CrossRef]
- Kaleta, E.F.; Alexander, D.J.; Russell, P.H. The first isolation of the avian PMV-1 virus responsible for the current panzootic in pigeons ? Avian Pathol. 1985, 14, 553–557. [Google Scholar] [CrossRef]
- Alexander, D.J. Newcastle disease in the European Union 2000 to 2009. Avian Pathol. 2011, 40, 547–558. [Google Scholar] [CrossRef]
- Tian, Y.; Xue, R.; Yang, W.; Li, Y.; Xue, J.; Zhang, G. Characterization of ten paramyxovirus type 1 viruses isolated from pigeons in China during 1996–2019. Vet. Microbiol. 2020, 244, 108661. [Google Scholar] [CrossRef]
- Wang, Z.; Geng, Z.; Zhou, H.; Chen, P.; Qian, J.; Guo, A. Genetic Characterization, Pathogenicity, and Epidemiology Analysis of Three Sub-Genotype Pigeon Newcastle Disease Virus Strains in China. Microorganisms 2024, 12, 738. [Google Scholar] [CrossRef] [PubMed]
- Zeng, T.; Xie, L.; Xie, Z.; Hua, J.; Huang, J.; Xie, Z.; Zhang, Y.; Zhang, M.; Luo, S.; Li, M.; et al. Analysis of Newcastle disease virus prevalence in wild birds reveals interhost transmission of genotype VI strains. Microbiol. Spectr. 2024, 12, e0081624. [Google Scholar] [CrossRef] [PubMed]
- Hu, S.; Ma, H.; Wu, Y.; Liu, W.; Wang, X.; Liu, Y.; Liu, X. A vaccine candidate of attenuated genotype VII Newcastle disease virus generated by reverse genetics. Vaccine 2009, 27, 904–910. [Google Scholar] [CrossRef]
- Gao, S.; Zhao, Y.; Yu, J.; Wang, X.; Zheng, D.; Cai, Y.; Liu, H.; Wang, Z. Comparison between class I NDV and class II NDV in aerosol transmission under experimental condition. Poult. Sci. 2019, 98, 5040–5044. [Google Scholar] [CrossRef] [PubMed]
- Werner, O.; Römer-Oberdörfer, A.; Köllner, B.; Manvell, R.J.; Alexander, D.J. Characterization of avian paramyxovirus type 1 strains isolated in Germany during 1992 to 1996. Avian Pathol. 1999, 28, 79–88. [Google Scholar] [CrossRef]
- Alexander, D.J.; Wilson, G.W.; Russell, P.H.; Lister, S.A.; Parsons, G. Newcastle disease outbreaks in fowl in Great Britain during 1984. Vet. Rec. 1985, 117, 429–434. [Google Scholar] [CrossRef]
- Annaheim, D.; Vogler, B.R.; Sigrist, B.; Vögtlin, A.; Hüssy, D.; Breitler, C.; Hartnack, S.; Grund, C.; King, J.; Wolfrum, N.; et al. Screening of Healthy Feral Pigeons (Columba livia domestica) in the City of Zurich Reveals Continuous Circulation of Pigeon Paramyxovirus-1 and a Serious Threat of Transmission to Domestic Poultry. Microorganisms 2022, 10, 1656. [Google Scholar] [CrossRef]
- Jeong, S.H.; Lee, D.H.; Kim, B.Y.; Choi, S.W.; Lee, J.B.; Park, S.Y.; Choi, I.S.; Song, C.S. Immunization with a thermostable newcastle disease virus K148/08 strain originated from wild mallard duck confers protection against lethal viscerotropic velogenic newcastle disease virus infection in chickens. PLoS ONE 2013, 8, e83161. [Google Scholar] [CrossRef]
- Spradbrow, P.B.; MacKenzie, M.; Grimes, S.E. Recent isolates of Newcastle disease virus in Australia. Vet. Microbiol. 1995, 46, 21–28. [Google Scholar] [CrossRef] [PubMed]
- Murulitharan, K.; Yusoff, K.; Omar, A.R.; Molouki, A. Characterization of Malaysian velogenic NDV strain AF2240-I genomic sequence: A comparative study. Virus Genes 2013, 46, 431–440. [Google Scholar] [CrossRef]
- Ruan, B.; Zhang, X.; Zhang, C.; Du, P.; Meng, C.; Guo, M.; Wu, Y.; Cao, Y. Residues 315 and 369 in HN Protein Contribute to the Thermostability of Newcastle Disease Virus. Front. Microbiol. 2020, 11, 560482. [Google Scholar] [CrossRef]
- Jagne, J.; Aini, I.; Schat, K.A.; Fennell, A.; Touray, O. Vaccination of village chickens in The Gambia against Newcastle disease using the heat-resistant, food-pelleted V4 vaccine. Avian Pathol. 1991, 20, 721–724. [Google Scholar] [CrossRef] [PubMed]
- Wambura, P.N.; Kapaga, A.M.; Hyera, J.M. Experimental trials with a thermostable Newcastle disease virus (strain I2) in commercial and village chickens in Tanzania. Prev. Vet. Med. 2000, 43, 75–83. [Google Scholar] [CrossRef]
- Liu, T.; Song, Y.; Yang, Y.; Bu, Y.; Cheng, J.; Zhang, G.; Xue, J. Hemagglutinin-Neuraminidase and fusion genes are determinants of NDV thermostability. Vet. Microbiol. 2019, 228, 53–60. [Google Scholar] [CrossRef]
- Wen, G.; Hu, X.; Zhao, K.; Wang, H.; Zhang, Z.; Zhang, T.; Yang, J.; Luo, Q.; Zhang, R.; Pan, Z.; et al. Molecular basis for the thermostability of Newcastle disease virus. Sci. Rep. 2016, 6, 22492. [Google Scholar] [CrossRef]
- Biancifiori, F.; Fioroni, A. An occurrence of Newcastle disease in pigeons: Virological and serological studies on the isolates. Comp Immunol Microbiol. Infect. Dis. 1983, 6, 247–252. [Google Scholar] [CrossRef] [PubMed]
- Shan, S.; Bruce, K.; Stevens, V.; Wong, F.Y.K.; Wang, J.; Johnson, D.; Middleton, D.; O’riley, K.; McCullough, S.; Williams, D.T.; et al. In Vitro and In Vivo Characterization of a Pigeon Paramyxovirus Type 1 Isolated from Domestic Pigeons in Victoria, Australia 2011. Viruses 2021, 13, 429. [Google Scholar] [CrossRef]
- Guo, H.; Liu, X.; Han, Z.; Shao, Y.; Chen, J.; Zhao, S.; Kong, X.; Liu, S. Phylogenetic analysis and comparison of eight strains of pigeon paramyxovirus type 1 (PPMV-1) isolated in China between 2010 and 2012. Arch. Virol. 2013, 158, 1121–1131. [Google Scholar] [CrossRef]
- Guo, H.; Liu, X.; Xu, Y.; Han, Z.; Shao, Y.; Kong, X.; Liu, S. A comparative study of pigeons and chickens experimentally infected with PPMV-1 to determine antigenic relationships between PPMV-1 and NDV strains. Vet. Microbiol. 2014, 168, 88–97. [Google Scholar] [CrossRef] [PubMed]
- Deng, G.; Tan, D.; Shi, J.; Cui, P.; Jiang, Y.; Liu, L.; Tian, G.; Kawaoka, Y.; Li, C.; Chen, H. Complex reassortment of multiple subtypes of avian influenza viruses in domestic ducks at the Dongting Lake Region of China. J. Virol. 2013, 87, 9452–9462. [Google Scholar] [CrossRef] [PubMed]
- Sun, J.; Ai, H.; Chen, L.; Li, L.; Shi, Q.; Liu, T.; Zhao, R.; Zhang, C.; Han, Z.; Liu, S.; et al. Surveillance of Class I Newcastle Disease Virus at Live Bird Markets in China and Identification of Variants with Increased Virulence and Replication Capacity. J. Virol. 2022, 96, e0024122. [Google Scholar] [CrossRef] [PubMed]
- Burland, T.G. DNASTAR’s Lasergene sequence analysis software. Methods Mol. Biol. 2000, 132, 71–91. [Google Scholar]
- Kearse, M.; Moir, R.; Wilson, A.; Stones-Havas, S.; Cheung, M.; Sturrock, S.; Buxton, S.; Cooper, A.; Markowitz, S.; Duran, C.; et al. Geneious Basic: An integrated and extendable desktop software platform for the organization and analysis of sequence data. Bioinformatics 2012, 28, 1647–1649. [Google Scholar] [CrossRef]
- Sun, J.; Han, Z.; Zhao, R.; Ai, H.; Chen, L.; Li, L.; Liu, S. Protection of chicks from Newcastle disease by combined vaccination with a plasmid DNA and the pre-fusion protein of the virulent genotype VII of Newcastle disease virus. Vaccine 2020, 38, 7337–7349. [Google Scholar] [CrossRef]
- Peeters, B.P.; de Leeuw, O.S.; Koch, G.; Gielkens, A.L. Rescue of Newcastle disease virus from cloned cDNA: Evidence that cleavability of the fusion protein is a major determinant for virulence. J. Virol. 1999, 73, 5001–5009. [Google Scholar] [CrossRef]
- Sun, J.; Han, Z.; Qi, T.; Zhao, R.; Liu, S. Chicken galectin-1B inhibits Newcastle disease virus adsorption and replication through binding to hemagglutinin-neuraminidase (HN) glycoprotein. J. Biol. Chem. 2017, 292, 20141–20161. [Google Scholar] [CrossRef]
- Zhao, R.; Sun, J.; Qi, T.; Zhao, W.; Han, Z.; Yang, X.; Liu, S. Recombinant Newcastle disease virus expressing the infectious bronchitis virus S1 gene protects chickens against Newcastle disease virus and infectious bronchitis virus challenge. Vaccine 2017, 35, 2435–2442. [Google Scholar] [CrossRef]
- Lomniczi, B. Thermostability of Newcastle disease virus strains of different virulence. Arch. Virol. 1975, 47, 249–255. [Google Scholar] [CrossRef]
- Sabra, M.; Dimitrov, K.M.; Goraichuk, I.V.; Wajid, A.; Sharma, P.; Williams-Coplin, D.; Basharat, A.; Rehmani, S.F.; Muzyka, D.V.; Miller, P.J.; et al. Phylogenetic assessment reveals continuous evolution and circulation of pigeon-derived virulent avian avulaviruses 1 in Eastern Europe, Asia, and Africa. BMC Vet. Res. 2017, 13, 291. [Google Scholar] [CrossRef] [PubMed]
- Schlehuber, L.D.; McFadyen, I.J.; Shu, Y.; Carignan, J.; Duprex, W.P.; Forsyth, W.R.; Ho, J.H.; Kitsos, C.M.; Lee, G.Y.; Levinson, D.A.; et al. Towards ambient temperature-stable vaccines: The identification of thermally stabilizing liquid formulations for measles virus using an innovative high-throughput infectivity assay. Vaccine 2011, 29, 5031–5039. [Google Scholar] [CrossRef] [PubMed][Green Version]
- Das, P. Revolutionary vaccine technology breaks the cold chain. Lancet Infect. Dis. 2004, 4, 719. [Google Scholar] [CrossRef] [PubMed]
- Shang, Y.; Li, L.; Zhang, T.; Luo, Q.; Yu, Q.; Zeng, Z.; Li, L.; Jia, M.; Tang, G.; Fan, S.; et al. Quantitative regulation of the thermal stability of enveloped virus vaccines by surface charge engineering to prevent the self-aggregation of attachment glycoproteins. PLoS Pathog. 2022, 18, e1010564. [Google Scholar] [CrossRef]
- Bensink, Z.; Spradbrow, P. Newcastle disease virus strain I2--a prospective thermostable vaccine for use in developing countries. Vet. Microbiol. 1999, 68, 131–139. [Google Scholar] [CrossRef]







| Virus | HA (log2) | TCID50 (log10/0.1 mL) | EID50 (log10/0.1 mL) |
|---|---|---|---|
| P0713 | 8 | 107.6 | 108.3 |
| rP0713 | 8 | 107.7 | 108.5 |
| rP0713-G365S | 8 | 107.5 | 108.4 |
| rP0713-A497T | 8 | 107.7 | 108.5 |
| P0506 | 8 | 108.0 | 108.5 |
| rP0506 | 8 | 107.9 | 108.3 |
| rP0506-S365G | 8 | 108.1 | 108.4 |
| rP0506-T497A | 8 | 107.8 | 108.4 |
Disclaimer/Publisher’s Note: The statements, opinions and data contained in all publications are solely those of the individual author(s) and contributor(s) and not of MDPI and/or the editor(s). MDPI and/or the editor(s) disclaim responsibility for any injury to people or property resulting from any ideas, methods, instructions or products referred to in the content. |
© 2025 by the authors. Licensee MDPI, Basel, Switzerland. This article is an open access article distributed under the terms and conditions of the Creative Commons Attribution (CC BY) license (https://creativecommons.org/licenses/by/4.0/).
Share and Cite
Di, T.; Zhao, R.; Shi, Q.; Wang, F.; Han, Z.; Li, H.; Shao, Y.; Sun, J.; Liu, S. Residue 365 in Hemagglutinin–Neuraminidase Is a Key Thermostable Determinant of Genotype VI.2.1.1.2.2 Newcastle Disease Virus. Viruses 2025, 17, 977. https://doi.org/10.3390/v17070977
Di T, Zhao R, Shi Q, Wang F, Han Z, Li H, Shao Y, Sun J, Liu S. Residue 365 in Hemagglutinin–Neuraminidase Is a Key Thermostable Determinant of Genotype VI.2.1.1.2.2 Newcastle Disease Virus. Viruses. 2025; 17(7):977. https://doi.org/10.3390/v17070977
Chicago/Turabian StyleDi, Tao, Ran Zhao, Qiankai Shi, Fangfang Wang, Zongxi Han, Huixin Li, Yuhao Shao, Junfeng Sun, and Shengwang Liu. 2025. "Residue 365 in Hemagglutinin–Neuraminidase Is a Key Thermostable Determinant of Genotype VI.2.1.1.2.2 Newcastle Disease Virus" Viruses 17, no. 7: 977. https://doi.org/10.3390/v17070977
APA StyleDi, T., Zhao, R., Shi, Q., Wang, F., Han, Z., Li, H., Shao, Y., Sun, J., & Liu, S. (2025). Residue 365 in Hemagglutinin–Neuraminidase Is a Key Thermostable Determinant of Genotype VI.2.1.1.2.2 Newcastle Disease Virus. Viruses, 17(7), 977. https://doi.org/10.3390/v17070977

