Therapeutic Impact of Gardasil® in Recurrent Respiratory Papillomatosis: A Retrospective Study on RRP Patients
Abstract
1. Introduction
2. Materials and Methods
2.1. Data Collection
2.2. Quantification of the Disease Burden
2.3. Assessment of Papilloma Expression by Derkay Score
- (1)
- Laryngeal—lingual epiglottis, laryngeal epiglottis, anterior commissure, posterior commissure, aryepiglottic fold, false vocal fold, true vocal fold, arytenoid, subglottis;
- (2)
- Tracheal—upper third, middle third, lower third, main bronchus right, main bronchus left, tracheostoma;
- (3)
- Other localizations—nasal, palatal, pharyngeal, esophageal, pulmonary and others.
2.4. Determination of the Observation Period and Inclusion Criteria for Assessing the Vaccination Effect
2.5. Statistical Analysis
3. Results
3.1. Description of the Subgroup of Vaccinated Patients
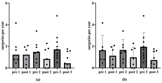
3.2. Reduction of Surgical Interventions per Year After Each Vaccination
3.3. Reduction in DerkayMean After Each Vaccination
3.4. Reduction of DerkaySum After Each Vaccination
3.5. Vaccination Effect in Each Vaccination with Longest Possible Observation Period per Case
3.6. Disease Burden of Unvaccinated Patients
4. Discussion
4.1. Barriers to the Uptake of HPV Vaccination—Missing Education Regarding the Immunization
4.2. Barriers to the Uptake of HPV Vaccination—Vaccination Decision Influenced by Other Medical Conditions
4.3. Barriers to the Uptake of HPV Vaccination—Influence by Adverse Childhood Experiences
4.4. Barriers to the Uptake of HPV Vaccination—Relevance of Sexual Orientation
4.5. Barriers to the Uptake of HPV Vaccination—Influence of Religious Beliefs
4.6. Barriers to the Uptake of HPV Vaccination—Influence of Social Media
4.7. Barriers to the Uptake of HPV Vaccination—Influence of COVID-19-Pandemic on the Use of Social Media
5. Conclusions
Author Contributions
Funding
Institutional Review Board Statement
Informed Consent Statement
Data Availability Statement
Acknowledgments
Conflicts of Interest
References
- Donne, A.J.; Hampson, L.; Homer, J.J.; Hampson, I.N. The Role of HPV Type in Recurrent Respiratory Papillomatosis. Int. J. Pediatr. Otorhinolaryngol. 2010, 74, 7–14. [Google Scholar] [CrossRef]
- Langer, C.; Wittekindt, C.; Wolf, G. Rezidivierende respiratorische Papillomatose: Aktuelles zu Diagnose und Therapie. Onkologie up2date 2020, 2, 107–118. [Google Scholar] [CrossRef]
- Larson, D.A.; Derkay, C.S. Epidemiology of Recurrent Respiratory Papillomatosis. APMIS 2010, 118, 450–454. [Google Scholar] [CrossRef] [PubMed]
- Buchinsky, F.J.; Donfack, J.; Derkay, C.S.; Choi, S.S.; Conley, S.F.; Myer, C.M.; McClay, J.E.; Campisi, P.; Wiatrak, B.J.; Sobol, S.E.; et al. Age of Child, More than HPV Type, Is Associated with Clinical Course in Recurrent Respiratory Papillomatosis. PLoS ONE 2008, 3, e2263. [Google Scholar] [CrossRef] [PubMed]
- Heyde, S.; Osmani, V.; Schauberger, G.; Cooney, C.; Klug, S.J. Global Parental Acceptance, Attitudes, and Knowledge Regarding Human Papillomavirus Vaccinations for Their Children: A Systematic Literature Review and Meta-Analysis. BMC Women’s Health 2024, 24, 537. [Google Scholar] [CrossRef] [PubMed]
- Ablanedo-Terrazas, Y.; Estrada-Camacho, O.; Alvarado-de la Barrera, C.; Ramírez-García, A.; Tona-Acedo, G.; Bross-Soriano, D.; Schimelmitz-Idi, J. Efficacy of Cidofovir versus Bevacizumab in Recurrent Respiratory Papillomatosis: A Randomized, Double-Blind, Placebo-Controlled Pilot Study. Acta Otorrinolaringol. (Engl. Ed.) 2022, 73, 82–88. [Google Scholar] [CrossRef]
- Aggarwal, K.; Kumar, R.; Kumari, J.; Kumar, A.; Jat, K.R.; Kabra, S.K.; Bhalla, A.S.; Kumar, R. Experience with Systemic Bevacizumab in Advanced Juvenile Recurrent Respiratory Papillomatosis. Indian J. Otolaryngol. Head Neck Surg. 2022, 74, 5117–5121. [Google Scholar] [CrossRef]
- Dinges, S.S.; Coordes, A.; Zabaneh, S.I.; Naumann, W.; Friedrich, V.; Hanitsch, L.G.; Grund, D.; Mall, M.A.; Lau, S.; Dommerich, S.; et al. In severe juvenile-onset recurrent respiratory papillomatosis of a 10-year-old, systemic bevacizumab is highly effective and well tolerated. In Klinische Pädiatrie; Georg Thieme Verlag: Stuttgart, Germany, 2022; Volume 234, pp. 324–325. [Google Scholar]
- Galletti, C.; Bruno, G.; Ciodaro, F.; Galletti, F. Recurrent Laryngeal Papillomatosis: A Laser CO2 Surgery and Bevacizumab Intralesional Injection as Adjuvant Therapy. Int. J. Otorhinolaryngol. Clin. 2022, 13, 126–128. [Google Scholar] [CrossRef]
- Gregersen, K.G.; Friborg, J.; Kristensen, C.A.; Bork, K.H. Systemic Bevacizumab for Recurrent Respiratory Papillomatosis. A Case Series. Acta Oto-Laryngol. Case Rep. 2023, 8, 47–53. [Google Scholar] [CrossRef]
- Guragain, R.; Gyawali, B.R. Intralesional Bevacizumab as Adjuvant Therapy for Juvenile Onset Recurrent Respiratory Papillomatosis: A Systematic Review. Indian J. Otolaryngol. Head Neck Surg. 2023, 75, 1296–1301. [Google Scholar] [CrossRef]
- Zagzoog, F.H.; Mogharbel, A.M.; Alqutub, A.; Bukhari, M.; Almohizea, M.I. Intralesional Cidofovir vs. Bevacizumab for Recurrent Respiratory Papillomatosis: A Systematic Review and Indirect Meta-Analysis. Eur. Arch. Otorhinolaryngol. 2023, 281, 601–627. [Google Scholar] [CrossRef]
- Ballestas, S.A.; Hidalgo Lopez, J.; Klein, A.M.; Steuer, C.; Shin, D.M.; Abousaud, M.; Schmitt, N.C.; Teng, Y.; Saba, N.F.; Tkaczuk, A.T. Long-Term Follow-up of Parenteral Bevacizumab In Patients with Recurrent Respiratory Papillomatosis. Laryngoscope 2023, 133, 2725–2733. [Google Scholar] [CrossRef] [PubMed]
- Derkay, C.S.; Wikner, E.E.; Pransky, S.; Best, S.R.; Zur, K.; Sidell, D.R.; Klein, A.; Rosen, C.; Dikkers, F.G.; Johnson, R. Systemic Use of Bevacizumab for Recurrent Respiratory Papillomatosis: Who, What, Where, When, and Why? Laryngoscope 2022, 133, 2–3. [Google Scholar] [CrossRef]
- Pai, S.I.; Muniappan, A.; Park, J.C.; Friedman, A.D.; Campbell, N.P.; Krantz, S.B.; Shin, K.-Y.; Song, P.; Nocon, C.C.; Carroll, T.L.; et al. A Phase II Study of Pembrolizumab for HPV-Associated Papilloma Patients with Laryngeal, Tracheal, and/or Pulmonary Involvement. JCO 2022, 40, 2590. [Google Scholar] [CrossRef]
- Strohl, M.P.; Rosen, C.A. Stabilization of Recurrent Respiratory Papillomatosis with Pembrolizumab Therapy: A Case Report. J. Voice 2023, 37, 637.e1–637.e3. [Google Scholar] [CrossRef] [PubMed]
- Pai, S.; Muniappan, A.; Park, J.C.; Friedman, A.; Campbell, N.; Krantz, S.; Shin, K.-Y.; Song, P.; Carroll, T.; Faquin, W.; et al. 992O Pembrolizumab for HPV-Associated Recurrent Respiratory Papillomatosis. Ann. Oncol. 2024, 35, S676. [Google Scholar] [CrossRef]
- Derkay, C.S.; Bluher, A.E. Update on Recurrent Respiratory Papillomatosis. Otolaryngol. Clin. N. Am. 2019, 52, 669–679. [Google Scholar] [CrossRef]
- Benedict, J.J.; Derkay, C.S. Recurrent Respiratory Papillomatosis: A 2020 Perspective. Laryngoscope Investig. Otolaryngol. 2021, 6, 340–345. [Google Scholar] [CrossRef] [PubMed]
- Mallinger, M.; Wiersma, L.; Spek, B.; Rinkel, R.N.P.M. Quality of Life in Recurrent Respiratory Papillomatosis Patients after Vocal Fold Surgery: An In-Depth Exploration. Folia Phoniatr. Logop. 2024, 1–10. [Google Scholar] [CrossRef]
- San Giorgi, M.R.M.; Aaltonen, L.-M.; Rihkanen, H.; Tjon Pian Gi, R.E.A.; van der Laan, B.F.A.M.; Hoekstra-Weebers, J.E.H.M.; Dikkers, F.G. Quality of Life of Patients with Recurrent Respiratory Papillomatosis. Laryngoscope 2017, 127, 1826–1831. [Google Scholar] [CrossRef] [PubMed]
- Derkay, C.S.; Malis, D.J.; Zalzal, G.; Wiatrak, B.J.; Kashima, H.K.; Coltrera, M.D. A Staging System for Assessing Severity of Disease and Response to Therapy in Recurrent Respiratory Papillomatosis. Laryngoscope 1998, 108, 935–937. [Google Scholar] [CrossRef] [PubMed]
- Ardekani, A.; Taherifard, E.; Mollalo, A.; Hemadi, E.; Roshanshad, A.; Fereidooni, R.; Rouholamin, S.; Rezaeinejad, M.; Farid-Mojtahedi, M.; Razavi, M.; et al. Human Papillomavirus Infection during Pregnancy and Childhood: A Comprehensive Review. Microorganisms 2022, 10, 1932. [Google Scholar] [CrossRef] [PubMed]
- Khayargoli, P.; Niyibizi, J.; Mayrand, M.-H.; Audibert, F.; Monnier, P.; Brassard, P.; Laporte, L.; Lacaille, J.; Zahreddine, M.; Bédard, M.-J.; et al. Human Papillomavirus Transmission and Persistence in Pregnant Women and Neonates. JAMA Pediatr. 2023, 177, 684–692. [Google Scholar] [CrossRef] [PubMed]
- Condrat, C.E.; Filip, L.; Gherghe, M.; Cretoiu, D.; Suciu, N. Maternal HPV Infection: Effects on Pregnancy Outcome. Viruses 2021, 13, 2455. [Google Scholar] [CrossRef] [PubMed]
- Palefsky, J. Human Papillomavirus-Related Disease in People with HIV. Curr. Opin. HIV AIDS 2009, 4, 52. [Google Scholar] [CrossRef] [PubMed]
- Liu, X.; Lin, H.; Chen, X.; Shen, W.; Ye, X.; Lin, Y.; Lin, Z.; Zhou, S.; Gao, M.; Ding, Y.; et al. Prevalence and Genotypes of Anal Human Papillomavirus Infection among HIV-Positive vs. HIV-Negative Men in Taizhou, China. Epidemiol. Infect. 2019, 147, e117. [Google Scholar] [CrossRef]
- Drutman, S.B.; Haerynck, F.; Zhong, F.L.; Hum, D.; Hernandez, N.J.; Belkaya, S.; Rapaport, F.; de Jong, S.J.; Creytens, D.; Tavernier, S.J.; et al. Homozygous NLRP1 Gain-of-Function Mutation in Siblings with a Syndromic Form of Recurrent Respiratory Papillomatosis. Proc. Natl. Acad. Sci. USA 2019, 116, 19055–19063. [Google Scholar] [CrossRef] [PubMed]
- Xi, Y.; Wang, W.; Wang, H.; Wang, X.; Zhang, J.; Zhao, J.; Wang, G.; Gui, J.; Ni, X. Impaired HPV-Specific T-Cell Response in Juvenile-Onset Recurrent Respiratory Papillomatosis Patients. Clin. Immunol. 2022, 241, 109046. [Google Scholar] [CrossRef] [PubMed]
- Gazzini, S.; Cerullo, R.; Soloperto, D. VEGF as a Key Actor in Recurrent Respiratory Papillomatosis: A Narrative Review. Curr. Issues Mol. Biol. 2024, 46, 6757–6768. [Google Scholar] [CrossRef]
- Lam, B.; Miller, J.; Kung, Y.J.; Wu, T.C.; Hung, C.-F.; Roden, R.B.S.; Best, S.R. Profiling of VEGF Receptors and Immune Checkpoints in Recurrent Respiratory Papillomatosis. Laryngoscope 2024, 134, 2819–2825. [Google Scholar] [CrossRef] [PubMed]
- Buchinsky, F.J.; Ruszkay, N.; Valentino, W.; Derkay, C.S.; McClay, J.E.; Bastian, R.W.; Myer, C.M.; Lollar, K.W.; Guris, D. In RRP, Serologic Response to HPV Is Frequently Absent and Slow to Develop. PLoS ONE 2020, 15, e0230106. [Google Scholar] [CrossRef] [PubMed]
- Villa, L.L.; Ault, K.A.; Giuliano, A.R.; Costa, R.L.R.; Petta, C.A.; Andrade, R.P.; Brown, D.R.; Ferenczy, A.; Harper, D.M.; Koutsky, L.A.; et al. Immunologic Responses Following Administration of a Vaccine Targeting Human Papillomavirus Types 6, 11, 16, and 18. Vaccine 2006, 24, 5571–5583. [Google Scholar] [CrossRef] [PubMed]
- Bai, K.; Norberg, S.M.; Sievers, C.; Meyer, T.; Friedman, J.; Hinrichs, C.; Allen, C.T. Durable Response in a Patient with Recurrent Respiratory Papillomatosis Treated with Immune Checkpoint Blockade. Head Neck 2022, 44, E31–E37. [Google Scholar] [CrossRef] [PubMed]
- Choi, H.; Kim, J.; Lee, Y.H.; Kim, L.; Chae, Y.K. Abstract 4121: Durable Stable Disease with Nivolumab, PD-1 Inhibitor, and Subsequent Bevacizumab, Anti-VEGF Monoclonal Antibody, in Long Standing Recurrent Respiratory Papillomatosis with Lung Squamous Cell Carcinoma. Cancer Res. 2022, 82, 4121. [Google Scholar] [CrossRef]
- Creelan, B.C.; Ahmad, M.U.; Kaszuba, F.J.; Khalil, F.K.; Welsh, A.W.; Ozdemirli, M.; Grant, N.N.; Subramaniam, D.S. Clinical Activity of Nivolumab for Human Papilloma Virus-Related Juvenile-Onset Recurrent Respiratory Papillomatosis. Oncologist 2019, 24, 829–835. [Google Scholar] [CrossRef] [PubMed]
- Alanazi, A.; Karas, A.F.; Husain, I.A. Recurrent Respiratory Papillomatosis: An Update. Int. J. Head Neck Surg. 2022, 13, 1–7. [Google Scholar] [CrossRef]
- Harder, T.; Wichmann, O.; Klug, S.J.; van der Sande, M.A.B.; Wiese-Posselt, M. Efficacy, Effectiveness and Safety of Vaccination against Human Papillomavirus in Males: A Systematic Review. BMC Med. 2018, 16, 110. [Google Scholar] [CrossRef] [PubMed]
- Giuliano, A.R.; Palefsky, J.M.; Goldstone, S.; Moreira, E.D.; Penny, M.E.; Aranda, C.; Vardas, E.; Moi, H.; Jessen, H.; Hillman, R.; et al. Efficacy of Quadrivalent HPV Vaccine against HPV Infection and Disease in Males. N. Engl. J. Med. 2011, 364, 401–411. [Google Scholar] [CrossRef]
- Wang, J.W.; Roden, R.B.S. Virus-like Particles for the Prevention of Human Papillomavirus-Associated Malignancies. Expert Rev. Vaccines 2013, 12, 129–141. [Google Scholar] [CrossRef]
- Mau, T.; Amin, M.R.; Belafsky, P.C.; Best, S.R.; Friedman, A.D.; Klein, A.M.; Lott, D.G.; Paniello, R.C.; Pransky, S.M.; Saba, N.F.; et al. Interim Results of a Phase 1/2 Open-Label Study of INO-3107 for HPV-6 and/or HPV-11-Associated Recurrent Respiratory Papillomatosis. Laryngoscope 2023, 133, 3087–3093. [Google Scholar] [CrossRef]
- Norberg, S.; Gulley, J.L.; Schlom, J.; Lankford, A.; Semnani, R.; Shah, R.R.; Brough, D.E.; Sabzevari, H.; Allen, C. PRGN-2012, a Novel Gorilla Adenovirus-Based Immunotherapy, Provides the First Treatment That Leads to Complete and Durable Responses in Recurrent Respiratory Papillomatosis Patients. JCO 2024, 42, LBA6015. [Google Scholar] [CrossRef]
- Ivancic, R.; Freeman, T.; de Silva, B.; Forrest, A.; Kim, B.; Matrka, L. Adjuvant Human Papillomavirus Vaccination in Recurrent Respiratory Papilloma Patients Older than 45. Laryngoscope 2024, 134, 3226–3229. [Google Scholar] [CrossRef]
- Goon, P.; Sauzet, O.; Schuermann, M.; Oppel, F.; Shao, S.; Scholtz, L.-U.; Sudhoff, H.; Goerner, M. Recurrent Respiratory Papillomatosis (RRP)—Meta-Analyses on the Use of the HPV Vaccine as Adjuvant Therapy. npj Vaccines 2023, 8, 49. [Google Scholar] [CrossRef] [PubMed]
- Rosenberg, T.; Philipsen, B.B.; Mehlum, C.S.; Dyrvig, A.-K.; Wehberg, S.; Chirilǎ, M.; Godballe, C. Therapeutic Use of the Human Papillomavirus Vaccine on Recurrent Respiratory Papillomatosis: A Systematic Review and Meta-Analysis. J. Infect. Dis. 2019, 219, 1016–1025. [Google Scholar] [CrossRef] [PubMed]
- Villemure, S.E.; Wilby, K.J. A Systematic Review of the Treatment of Active Anogenital Warts with Human Papillomavirus Vaccines. J. Am. Pharm. Assoc. 2024, 64, 179–185.e3. [Google Scholar] [CrossRef]
- Bogka, E.; Naoum, P.; Pavi, E.; Athanasakis, K. What influences parents on their decision to vaccinate their daughters against HPV? J. Pediatr. Adolesc. Gynecol. 2024, 37, 396–401. [Google Scholar] [CrossRef] [PubMed]
- Gauna, F.; Verger, P.; Fressard, L.; Jardin, M.; Ward, J.K.; Peretti-Watel, P. Vaccine Hesitancy about the HPV Vaccine among French Young Women and Their Parents: A Telephone Survey. BMC Public Health 2023, 23, 628. [Google Scholar] [CrossRef] [PubMed]
- Sobierajski, T.; Rzymski, P.; Małecka, I.; Augustynowicz, E. Trust in Physicians in the Context of HPV Vaccination of Children from the Perspective of Social Exchange Theory: A Representative Study of Polish Parents. Vaccines 2023, 11, 1618. [Google Scholar] [CrossRef]
- Zhang, L.; Yang, J.; Cao, Y.; Kang, W. Sociocultural–Psychological Predictors Influencing Parents’ Decision-Making Regarding HPV Vaccination for Their Adolescent Daughters in Mainland China: An Extended TPB Model. Front. Public Health 2023, 10, 1035658. [Google Scholar] [CrossRef] [PubMed]
- Kolek, C.O.; Opanga, S.A.; Okalebo, F.; Birichi, A.; Kurdi, A.; Godman, B.; Meyer, J.C. Impact of Parental Knowledge and Beliefs on HPV Vaccine Hesitancy in Kenya—Findings and Implications. Vaccines 2022, 10, 1185. [Google Scholar] [CrossRef]
- Štrbac, M.; Vuković, V.; Pustahija, T.; Nikolić, N.; Rajčević, S.; Ilić, S.; Dugandžija, T.; Patić, A.; Ristić, M.; Petrović, V. Motives and Attitudes of Parents toward HPV Vaccination: Results from the Initial Period of HPV Vaccine Rollout in Serbia. PLoS ONE 2023, 18, e0287295. [Google Scholar] [CrossRef]
- Rodrigues, E.S.; Mendes, E.D.T.; Nucci, L.B. Parental Justifications for Not Vaccinating Children or Adolescents against Human Papillomavirus (HPV). Vaccines 2023, 11, 506. [Google Scholar] [CrossRef]
- Oka, E.; Ueda, Y.; Yagi, A.; Ito, Y.; Hosokawa, Y.; Tabuchi, T.; Kimura, T. Parental Gender Influences Their Intention to HPV Vaccinate Their Children, and the Association between HPV and COVID-19 Vaccination Intentions. Vaccine X 2024, 17, 100441. [Google Scholar] [CrossRef] [PubMed]
- Heimbecker, V.; Bordini, S.C.; Rodrigues, A.C.; de Alencar, N.M.; Blanco, N.S.; Fitz, F.; Moura, G.B.; Dumitru, M.; Mercadante, A.F.; Alvarenga, L.M.; et al. Gender Differences on the Awareness of Human Papillomavirus Infection and Vaccination. J. Cancer Educ. 2024, 39, 611–617. [Google Scholar] [CrossRef]
- Parlak, B.; Uğurlucan, F.G.; Gökçay, E.G. Actions Speak Louder than Words; Pediatricians, Gynecologists, Nurses, and Other Mothers’ Perspectives on the Human Papillomavirus Vaccine: An Istanbul Multicenter Study. Front. Public Health 2024, 12, 1361509. [Google Scholar] [CrossRef]
- Stephens, E.S.; Dema, E.; McGee-Avila, J.K.; Shiels, M.S.; Kreimer, A.R.; Shing, J.Z. Human Papillomavirus Awareness by Educational Level and by Race and Ethnicity. JAMA Netw. Open 2023, 6, e2343325. [Google Scholar] [CrossRef] [PubMed]
- Park, E.; Kim, S.; Cameron, G.T. Immunize the HPV Vaccine Rumors: Effects of Inoculation Messages and Tone of Voice on Parental Intention to Vaccinate Their Children. J. Community Health 2022, 47, 790–799. [Google Scholar] [CrossRef] [PubMed]
- Su, R.; Stephens, K.K.; McGlone, M.S.; Jia, M. One HPV Vaccination Message Does Not Fit All: Differences Between Young Adults Deciding to Be Vaccinated and Parents Deciding for Their Children. Health Commun. 2024, 1–16. [Google Scholar] [CrossRef] [PubMed]
- Mohamed, R.; Kelly, K.M.; Nili, M.; Kelley, G.A. A Systematic Review with Meta-Analysis of Parental Interventions for Human Papillomavirus Vaccine Uptake. J. Am. Pharm. Assoc. 2022, 62, 1142–1153. [Google Scholar] [CrossRef] [PubMed]
- Rafeie, L.; Vizeshfar, F.; Nick, N. The Effect of Education Based on Planned Behavior Theory on Women’s Knowledge and Attitudes about Human Papillomavirus. Sci. Rep. 2024, 14, 18581. [Google Scholar] [CrossRef] [PubMed]
- Zhu, X.; Jacobson, R.M.; Griffin, J.M.; MacLaughlin, K.L.; Sauver, J.S.; Rutten, L.J.F. Provider Perceptions and Use of Audit-Feedback and Communication Strategies to Improve Human Papillomavirus Vaccine Uptake. Acad. Pediatr. 2024, 25, 102593. [Google Scholar] [CrossRef] [PubMed]
- Wemrell, M.; Vicente, R.P.; Merlo, J. Mapping Sociodemographic and Geographical Differences in Human Papillomavirus Non-Vaccination among Young Girls in Sweden. Scand. J. Public Health 2022, 51, 288–295. [Google Scholar] [CrossRef] [PubMed]
- Willis, D.E.; Moore, R.; Selig, J.P.; Shafeek Amin, N.; Li, J.; Watson, D.; Brimberry, R.K.; McElfish, P.A. Pediatric HPV Vaccination: Provider Recommendations Matter among Hesitant Parents. Vaccine 2024, 42, 126166. [Google Scholar] [CrossRef] [PubMed]
- Ellingson, M.K.; Brewer, N.T. Mental Health and Lower Adolescent HPV Vaccine Coverage. Lancet Public Health 2024, 9, e642–e643. [Google Scholar] [CrossRef] [PubMed]
- Hu, K.; Barker, M.M.; Herweijer, E.; Wang, J.; Feldman, A.L.; Lu, D.; Valdimarsdóttir, U.; Sundström, K.; Fang, F. The Role of Mental Illness and Neurodevelopmental Conditions in Human Papillomavirus Vaccination Uptake within the Swedish School-Based Vaccination Programme: A Population-Based Cohort Study. Lancet Public Health 2024, 9, e674–e683. [Google Scholar] [CrossRef]
- Carter, A.; Klinner, C.; Young, A.; Strnadová, I.; Wong, H.; Vujovich-Dunn, C.; Newman, C.E.; Davies, C.; Skinner, S.R.; Danchin, M.; et al. “I Thought It Was Better to Be Safe Than Sorry”: Factors Influencing Parental Decisions on HPV and Other Adolescent Vaccinations for Students with Intellectual Disability and/or Autism in New South Wales, Australia. Vaccines 2024, 12, 922. [Google Scholar] [CrossRef] [PubMed]
- Gautam Poudel, P.; Crouch, E.; Xing, M.; Mirzaei, S.; Brandt, H.M. Exploring the Relationship between Adverse Childhood Experiences and HPV Vaccination in a National Sample of Adults. Child Abus. Negl. 2024, 156, 107013. [Google Scholar] [CrossRef]
- Kaniuka, A.R.; Job, S.A.; Brooks, B.D.; Guo, Y.; Bowling, J. Human Papillomavirus Vaccination Initiation and Completion Among Heterosexual and Sexual Minority U.S. Adults. LGBT Health 2022, 9, 177–185. [Google Scholar] [CrossRef]
- Adjei Boakye, E.; Osazuwa-Peters, N.; López, J.; Pham, V.T.; Tobo, B.B.; Wan, L.; Schootman, M.; McElroy, J.A. Disparities in Human Papillomavirus (HPV) Vaccine Initiation and Completion Based on Sexual Orientation among Women in the United States. Hum. Vaccines Immunother. 2021, 17, 428–433. [Google Scholar] [CrossRef]
- Hao, Z.; Guo, Y.; Bowling, J.; Ledenyi, M. Facilitators and Barriers of HPV Vaccine Acceptance, Initiation, and Completion among LGBTQ Community in the U.S.: A Systematic Review. Int. J. Sex. Health 2022, 34, 291–307. [Google Scholar] [CrossRef] [PubMed]
- Wong, L.P.; Alias, H.; Lim, S.H. Factors Influencing HPV Vaccine Intentions in Malaysian Men Who Have Sex with Men: A Cross-Sectional Study in Malaysia. Pathogens 2023, 12, 1261. [Google Scholar] [CrossRef]
- Reiter, P.L.; Katz, M.L.; Bauermeister, J.A.; Shoben, A.B.; Paskett, E.D.; McRee, A.-L. Increasing Human Papillomavirus Vaccination Among Young Gay and Bisexual Men: A Randomized Pilot Trial of the Outsmart HPV Intervention. LGBT Health 2018, 5, 325–329. [Google Scholar] [CrossRef] [PubMed]
- Zoschke, I.N.; Bennis, S.L.; Wilkerson, J.M.; Stull, C.L.; Nyitray, A.G.; Khariwala, S.S.; Nichols, C.M.; Rosser, B.R.S.; Flash, C.; Ross, M.W. HPV-Related Oropharyngeal Cancer Early Detection in Gay and Bisexual Men Is an “Orphan” Practice: A Qualitative Analysis among Healthcare Providers. Front. Public Health 2023, 11, 1165107. [Google Scholar] [CrossRef] [PubMed]
- Marlow, L.A.V.; Waller, J.; Evans, R.E.C.; Wardle, J. Predictors of Interest in HPV Vaccination: A Study of British Adolescents. Vaccine 2009, 27, 2483–2488. [Google Scholar] [CrossRef]
- Kisa, S.; Kisa, A. Religious Beliefs and Practices toward HPV Vaccine Acceptance in Islamic Countries: A Scoping Review. PLoS ONE 2024, 19, e0309597. [Google Scholar] [CrossRef] [PubMed]
- Redd, D.S.; Jensen, J.L.; Hughes, S.J.; Pogue, K.; Sloan-Aagard, C.D.; Miner, D.S.; Altman, J.D.; Crook, T.B.; Zentz, L.; Bodily, R.J.; et al. Effects of Religious Practice and Teachings about Sexual Behavior on Intent to Vaccinate against Human Papillomavirus. Vaccines 2022, 10, 397. [Google Scholar] [CrossRef]
- Best, A.L.; Thompson, E.L.; Adamu, A.M.; Logan, R.; Delva, J.; Thomas, M.; Cunningham, E.; Vamos, C.; Daley, E. Examining the Influence of Religious and Spiritual Beliefs on HPV Vaccine Uptake Among College Women. J. Relig. Health 2019, 58, 2196–2207. [Google Scholar] [CrossRef]
- Al Alawi, S.; Al Zaabi, O.; Heffernan, M.E.; Arulappan, J.; Al Hasani, N.; Al Baluchi, M.; Al Mamari, A.; Al Saadi, A. Knowledge, Attitudes and Acceptance toward Human Papillomavirus (HPV) Vaccination: Perspectives of Muslim Women and Men. Vaccine 2023, 41, 2224–2233. [Google Scholar] [CrossRef]
- Bodson, J.; Wilson, A.; Warner, E.L.; Kepka, D. Religion and HPV Vaccine-Related Awareness, Knowledge, and Receipt among Insured Women Aged 18–26 in Utah. PLoS ONE 2017, 12, e0183725. [Google Scholar] [CrossRef] [PubMed]
- Thomas, T.; Blumling, A.; Delaney, A. The Influence of Religiosity and Spirituality on Rural Parents’ Health Decision Making and Human Papillomavirus Vaccine Choices. Adv. Nurs. Sci. 2015, 38, E1–E12. [Google Scholar] [CrossRef] [PubMed]
- Gendler, Y.; Blau, A. Exploring Cultural and Religious Effects on HPV Vaccination Decision Making Using a Web-Based Decision Aid: A Quasi-Experimental Study. Med. Decis. Mak. 2024, 44, 426–436. [Google Scholar] [CrossRef] [PubMed]
- Grandahl, M.; Paek, S.C.; Grisurapong, S.; Sherer, P.; Tydén, T.; Lundberg, P. Parents’ Knowledge, Beliefs, and Acceptance of the HPV Vaccination in Relation to Their Socio-Demographics and Religious Beliefs: A Cross-Sectional Study in Thailand. PLoS ONE 2018, 13, e0193054. [Google Scholar] [CrossRef]
- Olagoke, A.A.; Floyd, B.; Caskey, R.; Hebert-Beirne, J.; Boyd, A.D.; Molina, Y. Disentangling the Role of Religiosity in Human Papillomavirus Vaccination Amidst COVID-19 Pandemic. J. Relig. Health 2022, 61, 1734–1749. [Google Scholar] [CrossRef] [PubMed]
- Shelton, R.C.; Snavely, A.C.; De Jesus, M.; Othus, M.D.; Allen, J.D. HPV Vaccine Decision-Making and Acceptance: Does Religion Play a Role? J. Relig. Health 2013, 52, 1120–1130. [Google Scholar] [CrossRef] [PubMed]
- Fues Wahl, H.; Wikman Erlandson, B.; Sahlin, C.; Nyaku, M.; Benĉina, G. Analysis of Vaccine Messages on Social Media (Twitter) in Scandinavia. Hum. Vaccin. Immunother. 2022, 18, 2026711. [Google Scholar] [CrossRef]
- Boatman, D.; Jarrett, Z.; Starkey, A.; Conn, M.E.; Kennedy-Rea, S. HPV Vaccine Misinformation on Social Media: A Multi-Method Qualitative Analysis of Comments across Three Platforms. PEC Innov. 2024, 5, 100329. [Google Scholar] [CrossRef] [PubMed]
- Manganello, J.A.; Chiang, S.C.; Cowlin, H.; Kearney, M.D.; Massey, P.M. HPV and COVID-19 Vaccines: Social Media Use, Confidence, and Intentions among Parents Living in Different Community Types in the United States. J. Behav. Med. 2023, 46, 212–228. [Google Scholar] [CrossRef]
- Llavona-Ortiz, J.Y.; Spanos, K.E.; Kraschnewski, J.L.; D’Souza, G.; Myrick, J.G.; Sznajder, K.K.; Calo, W.A. Associations Between Human Papillomavirus Vaccine Decisions and Exposure to Vaccine Information in Social Media. Cancer Control 2022, 29, 10732748221138404. [Google Scholar] [CrossRef] [PubMed]
- Lin, Z.; Chen, S.; Su, L.; Liao, Y.; Chen, H.; Hu, Z.; Chen, Z.; Fang, Y.; Liang, X.; Chen, J.; et al. Influences of HPV Disease Perceptions, Vaccine Accessibility, and Information Exposure on Social Media on HPV Vaccination Uptake among 11,678 Mothers with Daughters Aged 9–17 Years in China: A Cross-Sectional Study. BMC Med. 2024, 22, 328. [Google Scholar] [CrossRef]
- Kim, S.J.; Schiffelbein, J.E.; Imset, I.; Olson, A.L. Countering Antivax Misinformation via Social Media: Message-Testing Randomized Experiment for Human Papillomavirus Vaccination Uptake. J. Med. Internet Res. 2022, 24, e37559. [Google Scholar] [CrossRef] [PubMed]
- Garg, A.; Nyitray, A.G.; Roberts, J.R.; Shungu, N.; Ruggiero, K.J.; Chandler, J.; Damgacioglu, H.; Zhu, Y.; Brownstein, N.C.; Sterba, K.R.; et al. Consumption of Health-Related Videos and Human Papillomavirus Awareness: Cross-Sectional Analyses of a US National Survey and YouTube From the Urban-Rural Context. J. Med. Internet Res. 2024, 26, e49749. [Google Scholar] [CrossRef]
- Rai, S.; Kornides, M.; Morgan, J.; Kumar, A.; Cappella, J.; Guntuku, S.C. Detecting and Monitoring Concerns against HPV Vaccination on Social Media Using Large Language Models. Sci. Rep. 2024, 14, 14362. [Google Scholar] [CrossRef] [PubMed]
- Sobeczek, K.; Gujski, M.; Raciborski, F. HPV Vaccination: Polish-Language Facebook Discourse Analysis. Int. J. Environ. Res. Public Health 2022, 19, 914. [Google Scholar] [CrossRef] [PubMed]
- Boucher, J.-C.; Kim, S.Y.; Jessiman-Perreault, G.; Edwards, J.; Smith, H.; Frenette, N.; Badami, A.; Scott, L.A. HPV Vaccine Narratives on Twitter during the COVID-19 Pandemic: A Social Network, Thematic, and Sentiment Analysis. BMC Public Health 2023, 23, 694. [Google Scholar] [CrossRef] [PubMed]
- Vraga, E.K.; Brady, S.S.; Gansen, C.; Khan, E.M.; Bennis, S.L.; Nones, M.; Tang, R.; Srivastava, J.; Kulasingam, S. A Review of HPV and HBV Vaccine Hesitancy, Intention, and Uptake in the Era of Social Media and COVID-19. eLife 2023, 12, e85743. [Google Scholar] [CrossRef] [PubMed]
- Shay, L.A.; McKenzie, A.; Avshman, E.; Savas, L.S.; Shegog, R. HPV Vaccine-Related Articles Shared on Facebook from 2019 to 2021: Did COVID Make a Difference? PEC Innov. 2024, 4, 100301. [Google Scholar] [CrossRef] [PubMed]
- Fontenot, H.B.; Quist, K.M.; Glauberman, G.; Michel, A.; Zimet, G. Impact of the COVID-19 Pandemic on Social Media Utilization, Influences Related to Parental Vaccine Decision Making, and Opinions on Trustworthy Social Media Vaccination Campaigns: A Qualitative Analysis. Hum. Vaccines Immunother. 2024, 20, 2311476. [Google Scholar] [CrossRef]






| Pre 1st | Post 1st | p-Value | Pre 2nd | Post 2nd | p-Value | Pre 3rd | Post 3rd | p-Value | |
|---|---|---|---|---|---|---|---|---|---|
| number of patients | 6 | 6 | 0.047 | 7 | 7 | 0.04 | 9 | 9 | 0.01 |
| mean value | 1.64 | 1.13 | 1.67 | 0.99 | 1.96 | 0.73 | |||
| standard deviation | 1.36 | 0.88 | 0.96 | 0.93 | 1.29 | 0.73 | |||
| median value | 1.24 | 1.24 | 1.49 | 0.84 | 1.72 | 0.44 | |||
| minimum | 0.48 | 0 | 0.49 | 0 | 0.52 | 0 | |||
| maximum | 4.16 | 2.08 | 3.42 | 2.27 | 4.82 | 1.75 |
| Pre 1st | Post 1st | p-Value | Pre 2nd | Post 2nd | p-Value | Pre 3rd | Post 3rd | p-Value | |
|---|---|---|---|---|---|---|---|---|---|
| number of patients | 5 | 5 | 0.16 | 6 | 6 | 0.03 | 7 | 7 | 0.04 |
| mean value | 6.79 | 3.98 | 5.51 | 3.37 | 6.85 | 3.06 | |||
| standard deviation | 4.83 | 3.45 | 3.86 | 3.43 | 4.48 | 2.93 | |||
| median value | 6.38 | 3.11 | 3.98 | 3.24 | 5.17 | 3.1 | |||
| minimum | 1.57 | 0 | 1.91 | 0 | 1.34 | 0 | |||
| maximum | 12.49 | 9.46 | 11.31 | 9.2 | 12.72 | 8.32 |
Disclaimer/Publisher’s Note: The statements, opinions and data contained in all publications are solely those of the individual author(s) and contributor(s) and not of MDPI and/or the editor(s). MDPI and/or the editor(s) disclaim responsibility for any injury to people or property resulting from any ideas, methods, instructions or products referred to in the content. |
© 2025 by the authors. Licensee MDPI, Basel, Switzerland. This article is an open access article distributed under the terms and conditions of the Creative Commons Attribution (CC BY) license (https://creativecommons.org/licenses/by/4.0/).
Share and Cite
Sieg, J.; Fazel, A.; Quabius, E.S.; Dempfle, A.; Wiegand, S.; Hoffmann, M. Therapeutic Impact of Gardasil® in Recurrent Respiratory Papillomatosis: A Retrospective Study on RRP Patients. Viruses 2025, 17, 321. https://doi.org/10.3390/v17030321
Sieg J, Fazel A, Quabius ES, Dempfle A, Wiegand S, Hoffmann M. Therapeutic Impact of Gardasil® in Recurrent Respiratory Papillomatosis: A Retrospective Study on RRP Patients. Viruses. 2025; 17(3):321. https://doi.org/10.3390/v17030321
Chicago/Turabian StyleSieg, Jennifer, Asita Fazel, Elgar Susanne Quabius, Astrid Dempfle, Susanne Wiegand, and Markus Hoffmann. 2025. "Therapeutic Impact of Gardasil® in Recurrent Respiratory Papillomatosis: A Retrospective Study on RRP Patients" Viruses 17, no. 3: 321. https://doi.org/10.3390/v17030321
APA StyleSieg, J., Fazel, A., Quabius, E. S., Dempfle, A., Wiegand, S., & Hoffmann, M. (2025). Therapeutic Impact of Gardasil® in Recurrent Respiratory Papillomatosis: A Retrospective Study on RRP Patients. Viruses, 17(3), 321. https://doi.org/10.3390/v17030321

