Analysis of HSV1/2 Infection Reveals an Association between HSV-2 Reactivation and Pregnancy
Abstract
1. Introduction
2. Materials and Methods
2.1. Study Design and Participants
2.2. Laboratory Assay
2.3. DNA Extraction
2.4. TaqMan Real-Time (RT) PCR
2.5. Statistical Analysis
3. Results
3.1. Sample Analysis According to Gender and Lesion Site
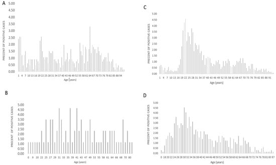
3.2. Sample Analysis According to Gender and Age of Onset
3.3. Characterization of Genital Infections among Women
4. Discussion
5. Conclusions
Author Contributions
Funding
Institutional Review Board Statement
Informed Consent Statement
Data Availability Statement
Conflicts of Interest
References
- Salameh, S.; Sheth, U.; Shukla, D. Early events in herpes simplex virus lifecycle with implications for an infection of lifetime. Open Virol. J. 2012, 6, 1–6. [Google Scholar] [CrossRef] [PubMed]
- Ryder, N.; Jin, F.; McNulty, A.M.; Grulich, A.E.; Donovan, B. Increasing role of herpes simplex virus type 1 in first-episode anogenital herpes in heterosexual women and younger men who have sex with men, 1992–2006. Sex. Transm. Infect. 2009, 85, 416–419. [Google Scholar] [CrossRef]
- Wald, A. Genital HSV-1 infections. Sex. Transm. Infect. 2006, 82, 189–190. [Google Scholar] [CrossRef]
- Looker, K.J.; Magaret, A.S.; Turner, K.M.; Vickerman, P.; Gottlieb, S.L.; Newman, L.M. Global estimates of prevalent and incident herpes simplex virus type 2 infections in 2012. PLoS ONE 2015, 10, e114989, Erratum in PLoS ONE 2015, 10, e0128615. [Google Scholar]
- Mihimit, A.; Adawaye, C.; Péré, H.; Costiniuk, C.; Koyalta, D.; Mbopi-Keou, F.-X.; Bouassa, R.-S.M.; Talla, F.; Moussa, S.; Longo, J.D.D.; et al. HSV-2 Infection as a Potential Cofactor for HIV Disease Progression and Selection of Drug Resistance Mutations in Adults under WHO-Recommended First-Line Antiretroviral Therapy: A Multicentric, Cross-Sectional Study in Cameroon, Central African Republic, Chad, and Gabon. Trop. Med. Infect. Dis. 2020, 5, 136. [Google Scholar] [CrossRef]
- Grayo, S. Is the ZIKV Congenital Syndrome and Microcephaly Due to Syndemism with Latent Virus Coinfection? Viruses 2021, 13, 669. [Google Scholar] [CrossRef]
- Anzivino, E.; Fioriti, D.; Mischitelli, M.; Bellizzi, A.; Barucca, V.; Chiarini, F.; Pietropaolo, V. Herpes simplex virus infection in pregnancy and in neonate: Status of art of epidemiology, diagnosis, therapy and prevention. Virol. J. 2009, 6, 40. [Google Scholar] [CrossRef] [PubMed]
- Filén, F.; Strand, A.; Allard, A.; Blomberg, J.; Herrmann, B. Duplex real-time polymerase chain reaction assay for detection and quantification of herpes simplex virus type 1 and herpes simplex virus type 2 in genital and cutaneous lesions. Sex. Transm. Dis. 2004, 31, 331–336. [Google Scholar] [CrossRef] [PubMed]
- McQuillan, G.; Kruszon-Moran, D.; Flagg, E.W.; Paulose-Ram, R. Prevalence of Herpes Simplex Virus Type 1 and Type 2 in Persons Aged 14–49: United States, 2015–2016. NCHS Data Brief 2018, 304, 1–8. [Google Scholar]
- Oh, E.J.; Yuk, Y.S.; Kim, J.K. Laboratory investigations of herpes simplex virus-1 and -2 clinical samples in Korea. Osong Public Health Res. Perspect. 2021, 12, 385–389. [Google Scholar] [CrossRef]
- Looker, K.J.; Garnett, G.P.; Schmid, G.P. An estimate of the global prevalence and incidence of herpes simplex virus type 2 infection. Bull. World Health Organ. 2008, 86, 805–812. [Google Scholar] [CrossRef] [PubMed]
- Friberg, I.O.; Krantz, G.; Määttä, S.; Järbrink, K. Sex differences in health care consumption in Sweden: A register-based cross-sectional study. Scand. J. Public Health 2016, 44, 264–273. [Google Scholar] [CrossRef]
- Löwhagen, G.-B.; Tunbäck, P.; Bergström, T. Proportion of herpes simplex virus (hsv) type 1 and type 2 among genital and extragenital hsv isolates. Acta Derm.-Venereol. 2002, 82, 118–120. [Google Scholar] [CrossRef]
- Malvy, D.; Ezzedine, K.; Lancon, F.; Halioua, B.; Rezvani, A.; Bertrais, S.; El Hasnaoui, A. Epidemiology of orofacial herpes simplex virus infections in the general population in France: Results of the HERPIMAX study. J. Eur. Acad. Dermatol. Venereol. 2007, 21, 1398–1403. [Google Scholar] [CrossRef]
- Daniels, B.; Wand, H.; Ramjee, G. Mdp the MDP Team Prevalence of Herpes Simplex Virus 2 (HSV-2) infection and associated risk factors in a cohort of HIV negative women in Durban, South Africa. BMC Res. Notes 2016, 9, 1–8. [Google Scholar] [CrossRef] [PubMed]
- Wald, A.; Zeh, J.; Selke, S.; Ashley, R.L.; Corey, L. Virologic characteristics of subclinical and symptomatic genital herpes infections. N. Engl. J. Med. 1995, 333, 770–775. [Google Scholar] [CrossRef] [PubMed]
- Garland, S.M.; Steben, M. Genital herpes. Best Pract. Res. Clin. Obstet. Gynaecol. 2014, 28, 1098–1110. [Google Scholar] [CrossRef]
- Bujko, M.; Sulović, V.; Zivanović, V.; Lako, B.; Dotlić, R. Effect of progesterone and pregnancy on the replication of herpes simplex virus type 2 in vivo. Clin. Exp. Obstet. Gynecol. 1988, 15, 34–37. [Google Scholar] [PubMed]
- Felker, A.M.; Nguyen, P.; Kaushic, C. Primary HSV-2 Infection in Early Pregnancy Results in Transplacental Viral Transmission and Dose-Dependent Adverse Pregnancy Outcomes in a Novel Mouse Model. Viruses 2021, 13, 1929. [Google Scholar] [CrossRef]
- Lee, Y.; Dizzell, S.E.; Leung, V.; Nazli, A.; Zahoor, M.A.; Fichorova, R.N.; Kaushic, C. Effects of Female Sex Hormones on Susceptibility to HSV-2 in Vaginal Cells Grown in Air-Liquid Interface. Viruses 2016, 8, 241. [Google Scholar] [CrossRef]
- Kaushic, C.; Ashkar, A.A.; Reid, L.A.; Rosenthal, K.L. Progesterone increases susceptibility and decreases immune responses to genital herpes infection. J. Virol. 2003, 77, 4558–4565. [Google Scholar] [CrossRef] [PubMed]
- Wira, C.R.; Rodriguez-Garcia, M.; Patel, M.V. The role of sex hormones in immune protection of the female reproductive tract. Nat. Rev. Immunol. 2015, 15, 217–230. [Google Scholar] [CrossRef]
- Kaushic, C.; Roth, K.L.; Anipindi, V.; Xiu, F. Increased prevalence of sexually transmitted viral infections in women: The role of female sex hormones in regulating susceptibility and immune responses. J. Reprod. Immunol. 2011, 88, 204–209. [Google Scholar] [CrossRef]
- Gillgrass, A.E.; Ashkar, A.A.; Rosenthal, K.L.; Kaushic, C. Prolonged exposure to progesterone prevents induction of protective mucosal responses following intravaginal immunization with attenuated herpes simplex virus type 2. J. Virol. 2003, 77, 9845–9851. [Google Scholar] [CrossRef] [PubMed]
- Grabowski, M.K.; Gray, R.H.; Makumbi, F.; Kagaayi, J.; Redd, A.D.; Kigozi, G.; Tobian, A.A. Use of injectable hormonal contraception and women’s risk of herpes simplex virus type 2 acquisition: A prospective study of couples in Rakai, Uganda. Lancet Glob. Health 2015, 3, e478–e486. [Google Scholar] [CrossRef]
- Cabrera-Muñoz, E.; Fuentes-Romero, L.L.; Zamora-Chávez, J.; Camacho-Arroyo, I.; Soto-Ramírez, L.E. Effects of progesterone on the content of CCR5 and CXCR4 coreceptors in PBMCs of seropositive and exposed but uninfected Mexican women to HIV-1. J. Steroid Biochem. Mol. Biol. 2012, 132, 66–72. [Google Scholar] [CrossRef] [PubMed]
- Murakami, T.; Yamamoto, N. Role of CXCR4 in HIV infection and its potential as a therapeutic target. Future Microbiol. 2010, 5, 1025–1039, Erratum in Future Microbiol. 2010, 5, 1446. [Google Scholar] [CrossRef]
- Bulleti, C.; Bulleti, F.M.; Sciorio, R.; Guido, M. Progesterone: The Key Factor of the Beginning of Life. Int. J. Mol. Sci. 2022, 23, 14138. [Google Scholar] [CrossRef]
- LeGoff, J.; Péré, H.; Bélec, L. Diagnosis of genital herpes simplex virus infection in the clinical laboratory. Virol. J. 2014, 11, 83. [Google Scholar] [CrossRef]
- Fleming, D.T.; McQuillan, G.M.; Johnson, R.E.; Nahmias, A.J.; Aral, S.O.; Lee, F.K.; St. Louis, M.E. Herpes simplex virus type 2 in the United States, 1976–1994. N. Engl. J. Med. 1997, 337, 1105–1111. [Google Scholar] [CrossRef]
- Leone, P.; Fleming, D.T.; Gilsenan, A.W.; Li, L.; Justus, S. Seroprevalence of herpes simplex virus-2 in suburban primary care offices in the United States. Sex. Transm. Dis. 2004, 31, 311–316. [Google Scholar] [CrossRef] [PubMed]

| Sample Area | Gender | Number of Tests | HSV-1 Positive N (%) | * p Value Significance Level 0.05 | HSV-2 Positive N (%) | * p Value Significance Level 0.05 |
|---|---|---|---|---|---|---|
| Orofacial | Men | 1229 | 342 (27.8) | p = 0.96998 | 12 (0.9) | p = 0.732791 |
| Orofacial | Women | 1070 | 297 (27.7) | 12 (1.1) | ||
| Other sites (skin) | Men | 1402 | 303 (21.6) | p = 0.00738 | 61 (4.3) | p < 0.00001 |
| Other sites (skin) | Women | 3241 | 591 (18.2) | 327 (10.0) | ||
| Genital | Men | 168 | 25 (14.8) | p = 0.710524 | 12 (7.1) | p = 0.008604 |
| Genital | Women | 2079 | 332 (15.9) | 300 (14.4) |
| Characteristic | HSV-1 (n = 161) | HSV-2 (n = 126) | p Value | ||
|---|---|---|---|---|---|
| Age mean ± SD | 31.5 | ±14.1 | 41.2 | ±17.3 | p < 0.0001 |
| Primary infection N (%) | 25 | (15.6) | 4 | (3.2) | p = 0.0005 |
| Pregnancy N (%) | 20 | (12.4) | 35 | (27.8) | p = 0.001 |
| Miscarriage six months prior to infection N (%) | 0 | 0 | 4 | (3.2) | p = 0.0232 |
| Birth control use N (%) | 59 | (36.6) | 18 | (14.3) | p < 0.0001 |
| IVF in the past N (%) | 9 | (5.6) | 6 | (4.8) | p = 0.7662 |
| Background of malignancy N (%) | 18 | (11.2) | 18 | (14.4) | p = 0.4155 |
| Variable | Odds Ratio | 95% CI | p Value |
|---|---|---|---|
| Age | 1.23 | 1.13–13.4 | p < 0.0001 |
| Non-primary infection | 4.1 | 1.34–12.57 | p = 0.0136 |
| Pregnancy | 3.52 | 1.84–6.73 | p = 0.0001 |
Disclaimer/Publisher’s Note: The statements, opinions and data contained in all publications are solely those of the individual author(s) and contributor(s) and not of MDPI and/or the editor(s). MDPI and/or the editor(s) disclaim responsibility for any injury to people or property resulting from any ideas, methods, instructions or products referred to in the content. |
© 2024 by the authors. Licensee MDPI, Basel, Switzerland. This article is an open access article distributed under the terms and conditions of the Creative Commons Attribution (CC BY) license (https://creativecommons.org/licenses/by/4.0/).
Share and Cite
Dovrat, S.; Shabat, A.; Yahav-Dovrat, A.; Soufiev, Z.; Mendelson, E.; Kashi-Zagdoun, E.; Rahav, G. Analysis of HSV1/2 Infection Reveals an Association between HSV-2 Reactivation and Pregnancy. Viruses 2024, 16, 1370. https://doi.org/10.3390/v16091370
Dovrat S, Shabat A, Yahav-Dovrat A, Soufiev Z, Mendelson E, Kashi-Zagdoun E, Rahav G. Analysis of HSV1/2 Infection Reveals an Association between HSV-2 Reactivation and Pregnancy. Viruses. 2024; 16(9):1370. https://doi.org/10.3390/v16091370
Chicago/Turabian StyleDovrat, Sara, Adar Shabat, Anat Yahav-Dovrat, Zvia Soufiev, Ella Mendelson, Ela Kashi-Zagdoun, and Galia Rahav. 2024. "Analysis of HSV1/2 Infection Reveals an Association between HSV-2 Reactivation and Pregnancy" Viruses 16, no. 9: 1370. https://doi.org/10.3390/v16091370
APA StyleDovrat, S., Shabat, A., Yahav-Dovrat, A., Soufiev, Z., Mendelson, E., Kashi-Zagdoun, E., & Rahav, G. (2024). Analysis of HSV1/2 Infection Reveals an Association between HSV-2 Reactivation and Pregnancy. Viruses, 16(9), 1370. https://doi.org/10.3390/v16091370

