Non-HIV Vaccine-Induced Immune Responses as Potential Baseline Immunogenicity Predictors of ALVAC-HIV and AIDSVAX B/E-Induced Immune Responses
Abstract
1. Introduction
2. Materials and Methods
2.1. HVTN 097 Trial and Vaccine Regimen
2.2. Selection of HIV Vaccine-Induced Immune Responses to Be Assessed for Correlations with Non-HIV Vaccine-Induced Immune Responses
2.3. Intracellular Cytokine Staining (ICS)
2.4. IgG- and IgA-Binding Antibody Responses
2.5. Antibody-Dependent Cellular Cytotoxicity (ADCC) Responses
2.6. Antibody-Dependent Cellular Phagocytosis (ADCP) Responses
2.7. Statistical Methods
3. Results
3.1. Participant Baseline Characteristics
3.2. TT-Specific Immune Responses
3.2.1. CD4+ T-Cell Responses
3.2.2. IgG-Binding Antibody Responses
3.3. HBV-Specific Immune Responses
3.3.1. CD4+ T-Cell Responses
3.3.2. IgG-Binding Antibody Responses
3.4. Correlations between TT-Induced and HBV-Induced Immune Responses at Peak Time Points
3.5. Correlations between Non-HIV Vaccine (TT, HBV)-Induced Immune Responses and HIV Vaccine-Induced Immune Responses at Peak Time Points
- 1.
- Month 1 IgG-binding antibody responses to TT with Month 7.5 IgG-binding antibody responses to A244 D11gp120a (AE protein boost) (rho = 0.340; 95% CI: 0.066, 0.567; p = 0.014; FDR = 0.137) (Figure 7G);
- 2.
- Month 1 IgG-binding antibody responses to TT with Month 7.5 IgG-binding antibody responses to MN gp120 gDneg (B protein boost) (rho = 0.368; 95% CI: 0.096, 0.588; p = 0.008; FDR = 0.137) (Figure 7H);
- 3.
- Month 13.5 CD4+ T-cell responses to HBsAg peptide pool with Month 7.5 IgG-binding antibody responses to gp70BCaseAV1V2 (B V1V2 immune correlate) (rho = 0.361; 95% CI: 0.049, 0.609; p = 0.021; FDR = 0.137) (Figure 8D);
- 4.
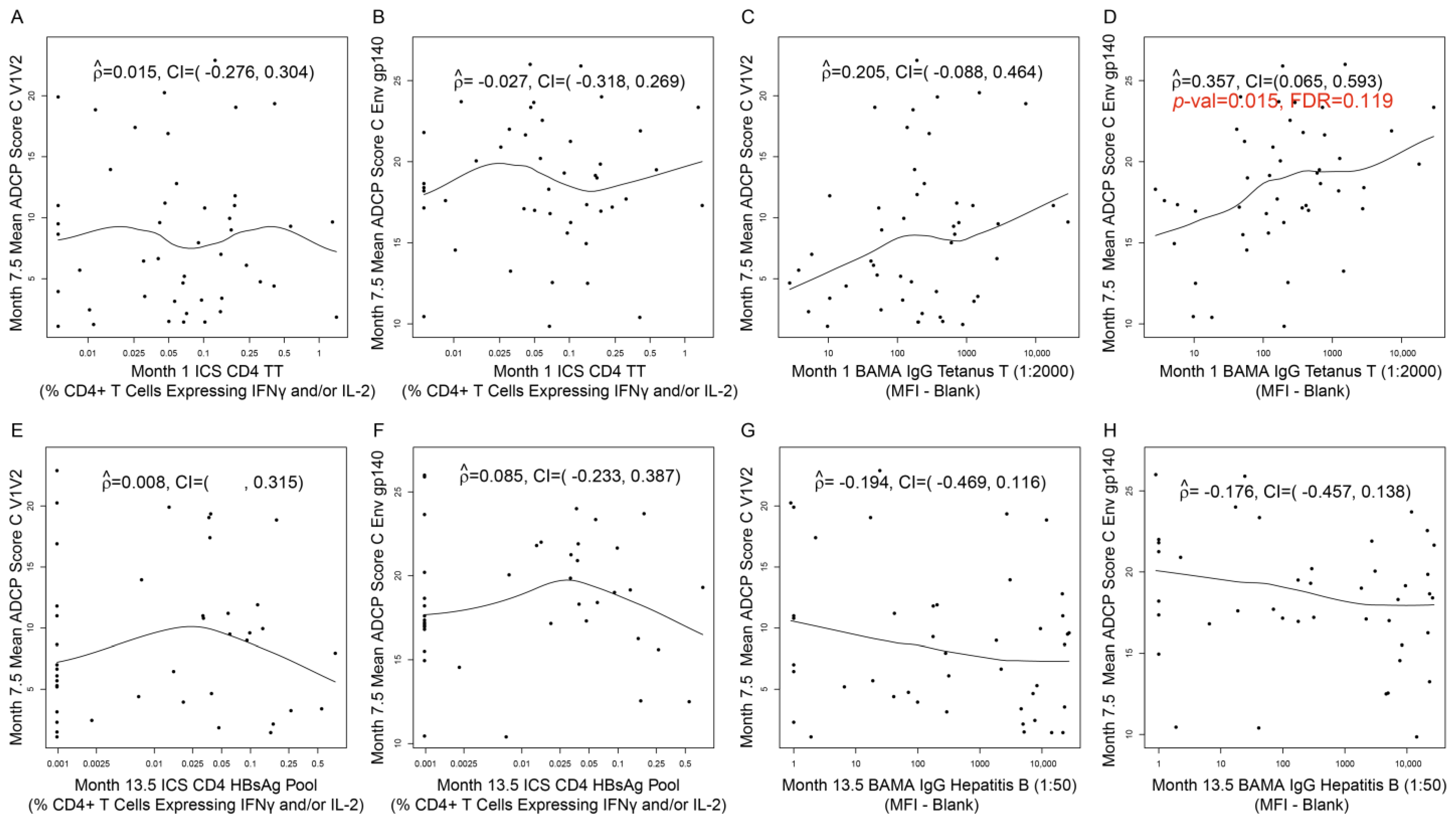
- Month 1 IgG-binding antibody responses to TT with Month 7.5 mean ADCP score against C Env gp140 (rho = 0.357; 95% CI: 0.065, 0.593; p = 0.015; FDR = 0.119) (Figure 9D).
4. Discussion
Supplementary Materials
Author Contributions
Funding
Institutional Review Board Statement
Informed Consent Statement
Data Availability Statement
Acknowledgments
Conflicts of Interest
References
- Plotkin, S.A. Correlates of Protection Induced by Vaccination. Clin. Vaccine Immunol. 2010, 17, 1055–1065. [Google Scholar] [CrossRef] [PubMed]
- Plotkin, S.A.; Gilbert, P.B. Correlates of Protection. In Vaccines, 8th ed.; Orenstein, W., Offit, P., Edwards, K., Plotkin, S., Eds.; Elsevier Inc.: New York, NY, USA, 2022; pp. 35–40. [Google Scholar]
- King, D.F.; Groves, H.; Weller, C.; Jones, I.; Cramer, J.P.; Gilbert, P.B.; Goldblatt, D.; Gruber, M.F.; Kampmann, B.; Maïga, D.; et al. Realising the potential of correlates of protection for vaccine development, licensure and use: Short summary. npj Vaccines 2024, 9, 82. [Google Scholar] [CrossRef] [PubMed]
- Cavaleri, M. How Can Correlates of Protection Help the Regulatory Process for Licensure of New Vaccines. Presented for the Product Development for Vaccines Advisory Committee (PDVAC) of the European Medicines Agency, 12 December 2023. Available online: https://cdn.who.int/media/docs/default-source/immunization/pdvac/pdvac-2023/080_intro_immune_correlates_cavaleri_121223.pdf?sfvrsn=d07abcd6_1 (accessed on 17 July 2024).
- Gilbert, P.B.; Fong, Y.; Hejazi, N.S.; Kenny, A.; Huang, Y.; Carone, M.; Benkeser, D.; Follmann, D. Four statistical frameworks for assessing an immune correlate of protection (surrogate endpoint) from a randomized, controlled, vaccine efficacy trial. Vaccine 2024, 42, 2181–2190. [Google Scholar] [CrossRef] [PubMed]
- Callegaro, A.; Tibaldi, F. Assessing correlates of protection in vaccine trials: Statistical solutions in the context of high vaccine efficacy. BMC Med. Res. Methodol. 2019, 19, 47. [Google Scholar] [CrossRef]
- Callegaro, A.; Zahaf, T.; Tibaldi, F. Assurance in vaccine efficacy clinical trial design based on immunological responses. Biom. J. 2021, 63, 1434–1443. [Google Scholar] [CrossRef]
- Frangakis, C.E.; Rubin, D.B. Principal Stratification in Causal Inference. Biometrics 2002, 58, 21–29. [Google Scholar] [CrossRef]
- Gilbert, P.B.; Hudgens, M.G. Evaluating Candidate Principal Surrogate Endpoints. Biometrics 2008, 64, 1146–1154. [Google Scholar] [CrossRef]
- Follmann, D. Augmented Designs to Assess Immune Response in Vaccine Trials. Biometrics 2006, 62, 1161–1169. [Google Scholar] [CrossRef]
- Rerks-Ngarm, S.; Pitisuttithum, P.; Nitayaphan, S.; Kaewkungwal, J.; Chiu, J.; Paris, R.; Premsri, N.; Namwat, C.; De Souza, M.; Adams, E.; et al. Vaccination with ALVAC and AIDSVAX to Prevent HIV-1 Infection in Thailand. N. Engl. J. Med. 2009, 361, 2209–2220. [Google Scholar] [CrossRef]
- Pitisuttithum, P.; Excler, J.-L.; Kim, J. Beyond RV144 Efficacy Results: An Update. Procedia Vaccinol. 2013, 7, 49–56. [Google Scholar] [CrossRef][Green Version]
- Haynes, B.F.; Gilbert, P.B.; McElrath, M.J.; Zolla-Pazner, S.; Tomaras, G.D.; Alam, S.M.; Evans, D.T.; Montefiori, D.C.; Karnasuta, C.; Sutthent, R.; et al. Immune-Correlates Analysis of an HIV-1 Vaccine Efficacy Trial. N. Engl. J. Med. 2012, 366, 1275–1286. [Google Scholar] [CrossRef] [PubMed]
- Bonsignori, M.; Pollara, J.; Moody, M.A.; Alpert, M.D.; Chen, X.; Hwang, K.K.; Gilbert, P.B.; Huang, Y.; Gurley, T.C.; Kozink, D.M.; et al. Antibody-dependent cellular cytotoxicity-mediating antibodies from an HIV-1 vaccine efficacy trial target multiple epitopes and preferentially use the VH1 gene family. J. Virol. 2012, 86, 11521–11532. [Google Scholar] [CrossRef]
- Zolla-Pazner, S.; Decamp, A.; Gilbert, P.B.; Williams, C.; Yates, N.L.; Williams, W.T.; Howington, R.; Fong, Y.; Morris, D.E.; Soderberg, K.A.; et al. Vaccine-Induced IgG Antibodies to V1V2 Regions of Multiple HIV-1 Subtypes Correlate with Decreased Risk of HIV-1 Infection. PLoS ONE 2014, 9, e87572. [Google Scholar] [CrossRef]
- Lin, L.; Finak, G.; Ushey, K.; Seshadri, C.; Hawn, T.R.; Frahm, N.; Scriba, T.J.; Mahomed, H.; Hanekom, W.; Bart, P.-A.; et al. COMPASS identifies T-cell subsets correlated with clinical outcomes. Nat. Biotechnol. 2015, 33, 610–616. [Google Scholar] [CrossRef] [PubMed]
- Yates, N.L.; Liao, H.-X.; Fong, Y.; Decamp, A.; Vandergrift, N.A.; Williams, W.T.; Alam, S.M.; Ferrari, G.; Yang, Z.-Y.; Seaton, K.E.; et al. Vaccine-Induced Env V1-V2 IgG3 Correlates with Lower HIV-1 Infection Risk and Declines Soon After Vaccination. Sci. Transl. Med. 2014, 6, 228ra39. [Google Scholar] [CrossRef]
- Gottardo, R.; Bailer, R.T.; Korber, B.T.; Gnanakaran, S.; Phillips, J.; Shen, X.; Tomaras, G.D.; Turk, E.; Imholte, G.; Eckler, L.; et al. Plasma IgG to linear epitopes in the V2 and V3 regions of HIV-1 gp120 correlate with a reduced risk of infection in the RV144 vaccine efficacy trial. PLoS ONE 2013, 8, e75665. [Google Scholar] [CrossRef]
- Jin, X.; Morgan, C.; Yu, X.; DeRosa, S.; Tomaras, G.D.; Montefiori, D.C.; Kublin, J.; Corey, L.; Keefer, M.C. Multiple factors affect immunogenicity of DNA plasmid HIV vaccines in human clinical trials. Vaccine 2015, 33, 2347–2353. [Google Scholar] [CrossRef] [PubMed]
- Buchbinder, S.P.; Mehrotra, D.V.; Duerr, A.; Fitzgerald, D.W.; Mogg, R.; Li, D.; Gilbert, P.B.; Lama, J.R.; Marmor, M.; del Rio, C.; et al. Efficacy assessment of a cell-mediated immunity HIV-1 vaccine (the Step Study): A double-blind, randomised, placebo-controlled, test-of-concept trial. Lancet 2008, 372, 1881–1893. [Google Scholar] [CrossRef] [PubMed]
- Adamson, B.; Hertz, T.; Duerr, A.; Morgan, C.; Keefer, M.; Churchyard, G.; Graham, B.; Gilbert, P.B.; Kublin, J. Baseline Predictors of Immunogenicity in HVTN 204. In Proceedings of the 2013 AIDS Vaccine Conference, Barcelona, Spain, 7–10 October 2013; pp. A64–A65. [Google Scholar]
- Gray, G.E.; Huang, Y.; Grunenberg, N.; Laher, F.; Roux, S.; Andersen-Nissen, E.; De Rosa, S.C.; Flach, B.; Randhawa, A.K.; Jensen, R.; et al. Immune correlates of the Thai RV144 HIV vaccine regimen in South Africa. Sci. Transl. Med. 2019, 11, eaax1880. [Google Scholar] [CrossRef]
- Czeschinski, P.A.; Binding, N.; Witting, U. Hepatitis A and hepatitis B vaccinations: Immunogenicity of combined vaccine and of simultaneously or separately applied single vaccines. Vaccine 2000, 18, 1074–1080. [Google Scholar] [CrossRef]
- World Health Organization. The Global Health Observatory. Hepatitis B (HepB3) Immunization Coverage among 1-Year-Olds (%). 2010, South Africa. Available online: https://www.who.int/data/gho/data/indicators/indicator-details/GHO/hepatitis-b-(hepb3)-immunization-coverage-among-1-year-olds-(-) (accessed on 21 June 2024).
- Chung, A.W.; Kumar, M.P.; Arnold, K.B.; Yu, W.H.; Schoen, M.K.; Dunphy, L.J.; Suscovich, T.J.; Frahm, N.; Linde, C.; Mahan, A.E.; et al. Dissecting Polyclonal Vaccine-Induced Humoral Immunity against HIV Using Systems Serology. Cell 2015, 163, 988–998. [Google Scholar] [CrossRef]
- Pollara, J.; Bonsignori, M.; Moody, M.A.; Liu, P.; Alam, S.M.; Hwang, K.-K.; Gurley, T.C.; Kozink, D.M.; Armand, L.C.; Marshall, D.J.; et al. HIV-1 Vaccine-Induced C1 and V2 Env-Specific Antibodies Synergize for Increased Antiviral Activities. J. Virol. 2014, 88, 7715–7726. [Google Scholar] [CrossRef]
- Horton, H.; Thomas, E.P.; Stucky, J.A.; Frank, I.; Moodie, Z.; Huang, Y.; Chiu, Y.L.; McElrath, M.J.; De Rosa, S.C. Optimization and validation of an 8-color intracellular cytokine staining (ICS) assay to quantify antigen-specific T cells induced by vaccination. J. Immunol. Methods 2007, 323, 39–54. [Google Scholar] [CrossRef] [PubMed]
- Andersen-Nissen, E.; Fiore-Gartland, A.; Fleming, L.B.; Carpp, L.N.; Naidoo, A.F.; Harper, M.S.; Voillet, V.; Grunenberg, N.; Laher, F.; Innes, C.; et al. Innate immune signatures to a partially-efficacious HIV vaccine predict correlates of HIV-1 infection risk. PLoS Pathog. 2021, 17, e1009363. [Google Scholar] [CrossRef] [PubMed]
- Yates, N.L.; Decamp, A.C.; Korber, B.T.; Liao, H.-X.; Irene, C.; Pinter, A.; Peacock, J.; Harris, L.J.; Sawant, S.; Hraber, P.; et al. HIV-1 Envelope Glycoproteins from Diverse Clades Differentiate Antibody Responses and Durability among Vaccinees. J. Virol. 2018, 92, e01843-17. [Google Scholar] [CrossRef] [PubMed]
- Pollara, J.; Hart, L.; Brewer, F.; Pickeral, J.; Packard, B.Z.; Hoxie, J.A.; Komoriya, A.; Ochsenbauer, C.; Kappnes, J.C.; Roederer, M.; et al. High-throughput quantitative analysis of HIV-1 and SIV-specific ADCC-mediating antibody responses. Cytometry A 2011, 79, 603–612. [Google Scholar] [CrossRef]
- Tay, M.Z.; Liu, P.; Williams, L.D.; McRaven, M.D.; Sawant, S.; Gurley, T.C.; Xu, T.T.; Dennison, S.M.; Liao, H.-X.; Chenine, A.-L.; et al. Antibody-Mediated Internalization of Infectious HIV-1 Virions Differs among Antibody Isotypes and Subclasses. PLoS Pathog. 2016, 12, e1005817. [Google Scholar] [CrossRef]
- Benjamini, Y.; Hochberg, Y. Controlling the False Discovery Rate: A Practical and Powerful Approach to Multiple Testing. J. R. Stat. Soc. Ser. B Methodol. 1995, 57, 289–300. [Google Scholar] [CrossRef]
- R Core Team. R: A Language and Environment for Statistical Computing; R Foundation for Statistical Computing: Vienna, Austria, 2023; Available online: https://www.R-project.org/ (accessed on 14 January 2024).
- R Core Team and Contributors Worldwide. Stats Package. Version 4.1.1. Available online: https://stat.ethz.ch/R-manual/R-devel/library/stats/html/00Index.html (accessed on 3 July 2024).
- Zimmermann, P.; Curtis, N. Factors That Influence the Immune Response to Vaccination. Clin. Microbiol. Rev. 2019, 32, e00084-18. [Google Scholar] [CrossRef]
- Brodin, P.; Jojic, V.; Gao, T.; Bhattacharya, S.; Angel, C.J.L.; Furman, D.; Shen-Orr, S.; Dekker, C.L.; Swan, G.E.; Butte, A.J.; et al. Variation in the Human Immune System Is Largely Driven by Non-Heritable Influences. Cell 2015, 160, 37–47. [Google Scholar] [CrossRef]
- Gray, G.E.; Bekker, L.-G.; Laher, F.; Malahleha, M.; Allen, M.; Moodie, Z.; Grunenberg, N.; Huang, Y.; Grove, D.; Prigmore, B.; et al. Vaccine Efficacy of ALVAC-HIV and Bivalent Subtype C gp120–MF59 in Adults. N. Engl. J. Med. 2021, 384, 1089–1100. [Google Scholar] [CrossRef] [PubMed]
- Kim, J.; Vasan, S.; Kim, J.H.; Ake, J.A. Current approaches to HIV vaccine development: A narrative review. J. Int. AIDS Soc. 2021, 24 (Suppl. S7), e25793. [Google Scholar] [CrossRef] [PubMed]
- IAVI Pipeline: HIV Vaccine & Antibody Candidates. Available online: https://www.iavi.org/iavi-pipeline/ (accessed on 30 July 2024).
- Treatment Action Group. The HIV Vaccines and Passive Immunization Pipeline Report 2023. Available online: https://www.treatmentactiongroup.org/wp-content/uploads/2023/07/pipeline_HIV_VAX_2023_final.pdf (accessed on 30 July 2024).
- World Health Organization. Immunization Coverage. 15 July 2024 Fact Sheet. Available online: https://www.who.int/news-room/fact-sheets/detail/immunization-coverage (accessed on 30 July 2024).









Disclaimer/Publisher’s Note: The statements, opinions and data contained in all publications are solely those of the individual author(s) and contributor(s) and not of MDPI and/or the editor(s). MDPI and/or the editor(s) disclaim responsibility for any injury to people or property resulting from any ideas, methods, instructions or products referred to in the content. |
© 2024 by the authors. Licensee MDPI, Basel, Switzerland. This article is an open access article distributed under the terms and conditions of the Creative Commons Attribution (CC BY) license (https://creativecommons.org/licenses/by/4.0/).
Share and Cite
Huang, Y.; Alam, S.; Andersen-Nissen, E.; Carpp, L.N.; Dintwe, O.B.; Flach, B.S.; Grunenberg, N.; Laher, F.; De Rosa, S.C.; Ferrari, G.; et al. Non-HIV Vaccine-Induced Immune Responses as Potential Baseline Immunogenicity Predictors of ALVAC-HIV and AIDSVAX B/E-Induced Immune Responses. Viruses 2024, 16, 1365. https://doi.org/10.3390/v16091365
Huang Y, Alam S, Andersen-Nissen E, Carpp LN, Dintwe OB, Flach BS, Grunenberg N, Laher F, De Rosa SC, Ferrari G, et al. Non-HIV Vaccine-Induced Immune Responses as Potential Baseline Immunogenicity Predictors of ALVAC-HIV and AIDSVAX B/E-Induced Immune Responses. Viruses. 2024; 16(9):1365. https://doi.org/10.3390/v16091365
Chicago/Turabian StyleHuang, Ying, Shomoita Alam, Erica Andersen-Nissen, Lindsay N. Carpp, One B. Dintwe, Britta S. Flach, Nicole Grunenberg, Fatima Laher, Stephen C. De Rosa, Guido Ferrari, and et al. 2024. "Non-HIV Vaccine-Induced Immune Responses as Potential Baseline Immunogenicity Predictors of ALVAC-HIV and AIDSVAX B/E-Induced Immune Responses" Viruses 16, no. 9: 1365. https://doi.org/10.3390/v16091365
APA StyleHuang, Y., Alam, S., Andersen-Nissen, E., Carpp, L. N., Dintwe, O. B., Flach, B. S., Grunenberg, N., Laher, F., De Rosa, S. C., Ferrari, G., Innes, C., Bekker, L.-G., Kublin, J. G., McElrath, M. J., Tomaras, G. D., Gray, G. E., & Gilbert, P. B. (2024). Non-HIV Vaccine-Induced Immune Responses as Potential Baseline Immunogenicity Predictors of ALVAC-HIV and AIDSVAX B/E-Induced Immune Responses. Viruses, 16(9), 1365. https://doi.org/10.3390/v16091365

