Antiviral, Cytoprotective, and Anti-Inflammatory Effect of Ampelozizyphus amazonicus Ducke Ethanolic Wood Extract on Chikungunya Virus Infection
Abstract
:1. Introduction
2. Materials and Methods
2.1. Plant Extract
2.2. Chemical Characterization of A. amazonicus Ethanol Extract
2.3. Cell Culture
2.4. BHK-21 Infection and FF72 Treatment
2.5. Cell Viability using the MTT Assay
2.6. Virus Quantification Using Plaque Assay
2.7. Virus Quantification and Cytokine Expression by RT-qPCR
2.8. Statistical Analysis
3. Results
3.1. Chemical Characterization of the Major Compounds of the Ethanol Extract from A. amazonicus Ducke Wood
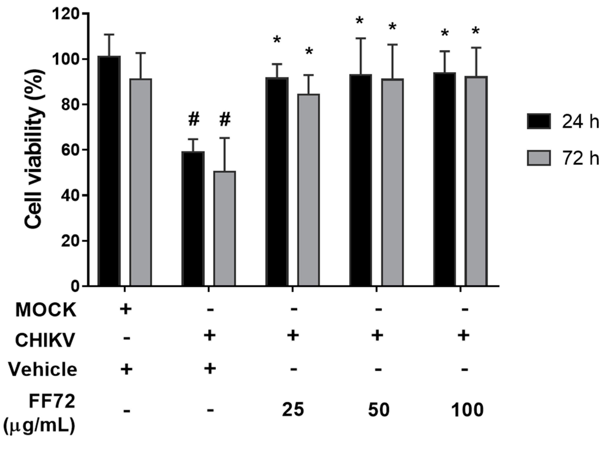
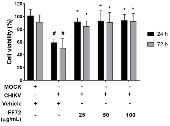
3.2. FF72 Does Not Induce Cell Toxicity
3.3. Antiviral Effect of FF72 on CHIKV Infection
3.4. Cytoprotective Role of FF72 Extract
3.5. Anti-Inflammatory Role of FF72 Extract
3.6. Antiviral Effect of FF72 against MAYV
4. Discussion
Author Contributions
Funding
Institutional Review Board Statement
Informed Consent Statement
Data Availability Statement
Acknowledgments
Conflicts of Interest
References
- Zeller, H.; Van Bortel, W.; Sudre, B. Chikungunya: Its History in Africa and Asia and Its Spread to New Regions in 2013–2014. J. Infect. Dis. 2016, 214, S436–S440. [Google Scholar] [CrossRef] [PubMed]
- de Brito, C.A.A.; Freitas, A.R.R.; Said, R.F.; Falcão, M.B.; da Cunha, R.V.; Siqueira, A.M.; Teixeira, M.G.; Ribeiro, G.S.; de Brito, M.C.M.; de Góes Cavalcanti, L.P. Classification of Chikungunya Cases: A Proposal. Rev. Soc. Bras. Med. Trop. 2020, 53, e20200529. [Google Scholar] [CrossRef] [PubMed]
- Kennedy Amaral Pereira, J.; Schoen, R.T. Management of Chikungunya Arthritis. Clin. Rheumatol. 2017, 36, 2179–2186. [Google Scholar] [CrossRef] [PubMed]
- Hua, C.; Combe, B. Chikungunya Virus-Associated Disease. Curr. Rheumatol. Rep. 2017, 19, 69. [Google Scholar] [CrossRef] [PubMed]
- Suhrbier, A. Rheumatic Manifestations of Chikungunya: Emerging Concepts and Interventions. Nat. Rev. Rheumatol. 2019, 15, 597–611. [Google Scholar] [CrossRef] [PubMed]
- Borgherini, G.; Poubeau, P.; Jossaume, A.; Gouix, A.; Cotte, L.; Michault, A.; Arvin-Berod, C.; Paganin, F. Persistent Arthralgia Associated with Chikungunya Virus: A Study of 88 Adult Patients on Reunion Island. Clin. Infect. Dis. 2008, 47, 469–475. [Google Scholar] [CrossRef] [PubMed]
- Schilte, C.; Staikowsky, F.; Couderc, T.; Madec, Y.; Carpentier, F.; Kassab, S.; Albert, M.L.; Lecuit, M.; Michault, A. Chikungunya Virus-Associated Long-Term Arthralgia: A 36-Month Prospective Longitudinal Study. PLoS Negl. Trop. Dis. 2013, 7, e2137. [Google Scholar] [CrossRef]
- Koehn, F.E.; Carter, G.T. The Evolving Role of Natural Products in Drug Discovery. Nat. Rev. Drug Discov. 2005, 4, 206–220. [Google Scholar] [CrossRef]
- Goh, V.S.L.; Mok, C.-K.; Chu, J.J.H. Antiviral Natural Products for Arbovirus Infections. Molecules 2020, 25, 2796. [Google Scholar] [CrossRef]
- Guglielmi, P.; Pontecorvi, V.; Rotondi, G. Natural Compounds and Extracts as Novel Antimicrobial Agents. Expert Opin. Ther. Pat. 2020, 30, 949–962. [Google Scholar] [CrossRef]
- Lin, S.-C.; Chen, M.-C.; Li, S.; Lin, C.-C.; Wang, T.T. Antiviral Activity of Nobiletin against Chikungunya Virus in Vitro. Antivir. Ther. 2017, 22, 689–697. [Google Scholar] [CrossRef] [PubMed]
- Henss, L.; Scholz, T.; Grünweller, A.; Schnierle, B. Silvestrol Inhibits Chikungunya Virus Replication. Viruses 2018, 10, 592. [Google Scholar] [CrossRef] [PubMed]
- Seyedi, S.S.; Shukri, M.; Hassandarvish, P.; Oo, A.; Shankar, E.M.; Abubakar, S.; Zandi, K. Computational Approach Towards Exploring Potential Anti-Chikungunya Activity of Selected Flavonoids. Sci. Rep. 2016, 6, 24027. [Google Scholar] [CrossRef] [PubMed]
- Lani, R.; Hassandarvish, P.; Shu, M.-H.; Phoon, W.H.; Chu, J.J.H.; Higgs, S.; Vanlandingham, D.; Abu Bakar, S.; Zandi, K. Antiviral Activity of Selected Flavonoids against Chikungunya Virus. Antivir. Res. 2016, 133, 50–61. [Google Scholar] [CrossRef]
- Kaur, P.; Thiruchelvan, M.; Lee, R.C.H.; Chen, H.; Chen, K.C.; Ng, M.L.; Chu, J.J.H. Inhibition of Chikungunya Virus Replication by Harringtonine, a Novel Antiviral That Suppresses Viral Protein Expression. Antimicrob. Agents Chemother. 2013, 57, 155–167. [Google Scholar] [CrossRef] [PubMed]
- Allard, P.-M.; Leyssen, P.; Martin, M.-T.; Bourjot, M.; Dumontet, V.; Eydoux, C.; Guillemot, J.-C.; Canard, B.; Poullain, C.; Guéritte, F.; et al. Antiviral Chlorinated Daphnane Diterpenoid Orthoesters from the Bark and Wood of Trigonostemon Cherrieri. Phytochemistry 2012, 84, 160–168. [Google Scholar] [CrossRef] [PubMed]
- Remy, S.; Olivon, F.; Desrat, S.; Blanchard, F.; Eparvier, V.; Leyssen, P.; Neyts, J.; Roussi, F.; Touboul, D.; Litaudon, M. Structurally Diverse Diterpenoids from Sandwithia Guyanensis. J. Nat. Prod. 2018, 81, 901–912. [Google Scholar] [CrossRef]
- Remy, S.; Solis, D.; Silland, P.; Neyts, J.; Roussi, F.; Touboul, D.; Litaudon, M. Isolation of Phenanthrenes and Identification of Phorbol Ester Derivatives as Potential Anti-CHIKV Agents Using FBMN and NAP from Sagotia Racemosa. Phytochemistry 2019, 167, 112101. [Google Scholar] [CrossRef]
- Valli, M.; Russo, H.M.; Bolzani, V.S. The Potential Contribution of the Natural Products from Brazilian Biodiversity to Bioeconomy. An. Acad. Bras. Ciências 2018, 90, 763–778. [Google Scholar] [CrossRef]
- Leitão, S.G.; Leitão, G.G.; de Oliveira, D.R. Saracura-Mirá, a Proposed Brazilian Amazonian Adaptogen from Ampelozizyphus Amazonicus. Plants 2022, 11, 191. [Google Scholar] [CrossRef]
- Simen, T.J.M.; Finotelli, P.V.; Barboza, F.F.; Pereira, M.V.A.; Pierucci, A.P.T.R.; Moura, M.R.L.; de Oliveira, D.R.; Abraçado, L.G.; Celano, R.; de Souza Figueiredo, F.; et al. Spray-Dried Extract from the Amazonian Adaptogenic Plant Ampelozizyphus Amazonicus Ducke (Saracura-Mirá): Chemical Composition and Immunomodulatory Properties. Food Res. Int. 2016, 90, 100–110. [Google Scholar] [CrossRef] [PubMed]
- Peçanha, L.M.T.; Fernandes, P.D.; Simen, T.J.M.; De Oliveira, D.R.; Finotelli, P.V.; Pereira, M.V.A.; Barboza, F.F.; Almeida, T.D.S.; Carvalhal, S.; Pierucci, A.P.T.R.; et al. Immunobiologic and Antiinflammatory Properties of a Bark Extract from Ampelozizyphus Amazonicus Ducke. Biomed. Res. Int. 2013, 2013, 451679. [Google Scholar] [CrossRef]
- Mendonça, S.C.; Simas, R.C.; Reis Simas, D.L.; Leitão, S.G.; Leitão, G.G. Mass Spectrometry as a Tool for the Dereplication of Saponins from Ampelozizyphus Amazonicus Ducke Bark and Wood. Phytochem. Anal. 2021, 32, 262–282. [Google Scholar] [CrossRef] [PubMed]
- Cunha, M.S.; Cruz, N.V.G.; Schnellrath, L.C.; Medaglia, M.L.G.; Casotto, M.E.; Albano, R.M.; Costa, L.J.; Damaso, C.R. Autochthonous Transmission of East/Central/South African Genotype Chikungunya Virus, Brazil. Emerg. Infect. Dis. 2017, 23, 1737–1739. [Google Scholar] [CrossRef] [PubMed]
- Juarez, D.; Long, K.C.; Aguilar, P.; Kochel, T.J.; Halsey, E.S. Assessment of Plaque Assay Methods for Alphaviruses. J. Virol. Methods 2013, 187, 185–189. [Google Scholar] [CrossRef] [PubMed]
- Lanciotti, R.S.; Calisher, C.H.; Gubler, D.J.; Chang, G.J.; Vorndam, A. V Rapid Detection and Typing of Dengue Viruses from Clinical Samples by Using Reverse Transcriptase-Polymerase Chain Reaction. J. Clin. Microbiol. 1992, 30, 545–551. [Google Scholar] [CrossRef]
- Constant, L.E.C.; Rajsfus, B.F.; Carneiro, P.H.; Sisnande, T.; Mohana-Borges, R.; Allonso, D. Overview on Chikungunya Virus Infection: From Epidemiology to State-of-the-Art Experimental Models. Front. Microbiol. 2021, 12, 744164. [Google Scholar] [CrossRef]
- Cunha, R.V.d.; Trinta, K.S. Chikungunya Virus: Clinical Aspects and Treatment—A Review. Mem. Inst. Oswaldo Cruz 2017, 112, 523–531. [Google Scholar] [CrossRef]
- Bildziukevich, U.; Wimmerová, M.; Wimmer, Z. Saponins of Selected Triterpenoids as Potential Therapeutic Agents: A Review. Pharmaceuticals 2023, 16, 386. [Google Scholar] [CrossRef]
- Mosad, R.R.; Ali, M.H.; Ibrahim, M.T.; Shaaban, H.M.; Emara, M.; Wahba, A.E. New Cytotoxic Steroidal Saponins from Cestrum Parqui. Phytochem. Lett. 2017, 22, 167–173. [Google Scholar] [CrossRef]
- Liu, M.; Wang, J.; Wan, X.; Li, B.; Guan, M.; Ning, X.; Hu, X.; Li, S.; Liu, S.; Song, G. Discovery and Structural Optimization of 3-O-β-Chacotriosyl Betulonic Acid Saponins as Potent Fusion Inhibitors of Omicron Virus Infections. Bioorg Chem. 2023, 131, 106316. [Google Scholar] [CrossRef] [PubMed]
- Campos, M.F.; Mendonça, S.C.; Peñaloza, E.M.C.; de Oliveira, B.A.C.; Rosa, A.S.; Leitão, G.G.; Tucci, A.R.; Ferreira, V.N.S.; Oliveira, T.K.F.; Miranda, M.D.; et al. Anti-SARS-CoV-2 Activity of Ampelozizyphus Amazonicus (Saracura-Mirá): Focus on the Modulation of the Spike-ACE2 Interaction by Chemically Characterized Bark Extracts by LC-DAD-APCI-MS/MS. Molecules 2023, 28, 3159. [Google Scholar] [CrossRef] [PubMed]
- Ibrahim, A.M.; Gad El-Karim, R.M.; Ali, R.E.; Nasr, S.M. Toxicological Effects of Saponin on the Free Larval Stages of Schistosoma Mansoni, Infection Rate, Some Biochemical and Molecular Parameters of Biomphalaria Alexandrina Snails. Pestic. Biochem. Physiol. 2023, 191, 105357. [Google Scholar] [CrossRef] [PubMed]
- Podolak, I.; Galanty, A.; Sobolewska, D. Saponins as Cytotoxic Agents: A Review. Phytochem. Rev. 2010, 9, 425–474. [Google Scholar] [CrossRef] [PubMed]
- Ibrahim, A.M.; Al-Fanharawi, A.A.; Dokmak, H.-A.A. Ovicidal, Immunotoxic and Endocrine Disrupting Effects of Saponin on Bulinus Truncatus Snails with Special Emphasize on the Oxidative Stress Parameters, Genotoxicological, and Histopathological Alterations. Environ. Sci. Pollut. Res. 2023, 30, 78641–78652. [Google Scholar] [CrossRef] [PubMed]
- Fleck, J.D.; Betti, A.H.; Da Silva, F.P.; Troian, E.A.; Olivaro, C.; Ferreira, F.; Verza, S.G. Saponins from Quillaja Saponaria and Quillaja Brasiliensis: Particular Chemical Characteristics and Biological Activities. Molecules 2019, 24, 171. [Google Scholar] [CrossRef] [PubMed]
- Song, J.-H.; Kwon, B.-E.; Jang, H.; Kang, H.; Cho, S.; Park, K.; Ko, H.-J.; Kim, H. Antiviral Activity of Chrysin Derivatives against Coxsackievirus B3 in Vitro and in Vivo. Biomol. Ther. 2015, 23, 465–470. [Google Scholar] [CrossRef]
- Li, D.; Baert, L.; Uyttendaele, M. Inactivation of Food-Borne Viruses Using Natural Biochemical Substances. Food Microbiol. 2013, 35, 1–9. [Google Scholar] [CrossRef]
- Troian, E.A.; Schallenberger, K.; Da Silva, F.P.; Dietrich, G.K.; Ferreira Chiesa, F.; Olivaro, C.; Wallace, F.; Fleck, J.; Verza, S. Screening for Antiviral Activity of Two Purified Saponin Fractions of Quillaja Spp. against Yellow Fever Virus and Chikungunya Virus. Int. J. Innov. Educ. Res. 2020, 8, 205–214. [Google Scholar] [CrossRef]







| Gene | Forward | Reverse |
|---|---|---|
| CHIKV | 5′ AAAGGGCAAACTCAGCTTCAC 3′ | 5′ GCCTGGGCTCATCGTTATTC 3′ |
| IL-6 | 5′ CTGCAAGAGACTTCCATCCAG 3′ | 5′AGTGGTATAGACAGGTCTGTTGG 3′ |
| IL-8 | 5′ ATGACTTCCAAGCTGGCCGTGGCT 3′ | 5′ TCTCAGCCCTCTTCAAAAACTTCTC 3′ |
| MCP-1 | 5′ GCATCCACGTGTTGGCTCA 3′ | 5′ CTCCAGCCTACTCATTGGGATCA 3′ |
| IL-1β | 5′ TTCAGGCAGGCAGTATCACTC 3′ | 5′ CCACGGGAAAGACACAGGTAG 3′ |
| 36b4 | 5′ CGACCTGGAAGTCCAACTAC 3′ | 5′ ATCTGCTGCATCTGCTTG 3′ |
| ID (Saponins) | RT (min) | M-H (m/z) | Molecular Formula | Sugar Residue |
|---|---|---|---|---|
| 1 | 53.2 | 897.5 | C46H74O17 | 1 Hex, 2 Pen |
| 2 | 54.0 | 787.5 | C43H64O13 | 1 Hex, 1 dHex |
| 3 | 53.8 | 773.5 | C42H62O13 | 1 Hex, 1 Pen |
| 4 | 51.7 | 1059.3 | C52H84O22 | 2 Hex, 2 Pen |
| 5 | 53.1 | 1073.4 | C53H86O22 | 2 Hex, 1 dHex, 1 Pen |
| 6 | 53.6 | 1115.3 | C55H88O23 | 2 Hex, 1 Pen, 1 dHex |
| 7 | 52.2 | 915.3 | C46H76O18 | 1 Hex, 2 Pen |
| 8 | 53.7 | 911.4 | C47H76O17 | 1 Hex, 1 dHex, 1 Pen |
| 9 | 54.9 | 969.3 | C49H78O19 | 2 Hex, 1 Pen |
| 10 | 52.8 | 927.5 | C47H76O18 | 2 Hex, 1 Pen |
| 11 | 53.8 | 929.3 | C47H78O18 | 1 Hex, 1 dHex, 1 Pen |
| 12 | 53.9 | 943.2 | C48H80O18 | 1 Hex, 1 dHex, 1 Pen |
| 13 | 52.4 | 1103.3 | C54H88O23 | 3 Hex, 1 dHex |
| 14 | 52.9 | 949.4 | C49H74O18 | 2 Hex, 1 dHex |
| 15 | 56.1 | 973.5 | C49H82O19 | 2 Hex, 1 Pen |
Disclaimer/Publisher’s Note: The statements, opinions and data contained in all publications are solely those of the individual author(s) and contributor(s) and not of MDPI and/or the editor(s). MDPI and/or the editor(s) disclaim responsibility for any injury to people or property resulting from any ideas, methods, instructions or products referred to in the content. |
© 2023 by the authors. Licensee MDPI, Basel, Switzerland. This article is an open access article distributed under the terms and conditions of the Creative Commons Attribution (CC BY) license (https://creativecommons.org/licenses/by/4.0/).
Share and Cite
Rocha, D.C.P.; Sisnande, T.; Gavino-Leopoldino, D.; Guimarães-Andrade, I.P.; Cruz, F.F.; Assunção-Miranda, I.; Mendonça, S.C.; Leitão, G.G.; Simas, R.C.; Mohana-Borges, R.; et al. Antiviral, Cytoprotective, and Anti-Inflammatory Effect of Ampelozizyphus amazonicus Ducke Ethanolic Wood Extract on Chikungunya Virus Infection. Viruses 2023, 15, 2232. https://doi.org/10.3390/v15112232
Rocha DCP, Sisnande T, Gavino-Leopoldino D, Guimarães-Andrade IP, Cruz FF, Assunção-Miranda I, Mendonça SC, Leitão GG, Simas RC, Mohana-Borges R, et al. Antiviral, Cytoprotective, and Anti-Inflammatory Effect of Ampelozizyphus amazonicus Ducke Ethanolic Wood Extract on Chikungunya Virus Infection. Viruses. 2023; 15(11):2232. https://doi.org/10.3390/v15112232
Chicago/Turabian StyleRocha, Daniele C. P., Tháyna Sisnande, Daniel Gavino-Leopoldino, Iris Paula Guimarães-Andrade, Fernanda F. Cruz, Iranaia Assunção-Miranda, Simony C. Mendonça, Gilda Guimarães Leitão, Rosineide Costa Simas, Ronaldo Mohana-Borges, and et al. 2023. "Antiviral, Cytoprotective, and Anti-Inflammatory Effect of Ampelozizyphus amazonicus Ducke Ethanolic Wood Extract on Chikungunya Virus Infection" Viruses 15, no. 11: 2232. https://doi.org/10.3390/v15112232
APA StyleRocha, D. C. P., Sisnande, T., Gavino-Leopoldino, D., Guimarães-Andrade, I. P., Cruz, F. F., Assunção-Miranda, I., Mendonça, S. C., Leitão, G. G., Simas, R. C., Mohana-Borges, R., Leitão, S. G., & Allonso, D. (2023). Antiviral, Cytoprotective, and Anti-Inflammatory Effect of Ampelozizyphus amazonicus Ducke Ethanolic Wood Extract on Chikungunya Virus Infection. Viruses, 15(11), 2232. https://doi.org/10.3390/v15112232

