Characterization of Immune Response towards Generation of Universal Anti-HA-Stalk Antibodies after Immunization of Broiler Hens with Triple H5N1/NA-HA-M1 VLPs
Abstract
:1. Introduction
2. Materials and Methods
2.1. Materials
2.2. Methods
2.2.1. Cells, Viruses
2.2.2. Genetic Constructs (Tricistronic Plasmids and HA-Stalk Constructs)
2.2.3. Recombinant Baculoviruses
2.2.4. VLP Production and Purification
2.2.5. SDS-PAGE and Western Blot Analysis
2.2.6. Transmission Electron Microscopy
2.2.7. Neuraminidase Activity Assay
2.2.8. Hemagglutinin Assay
2.2.9. Immunization of Chickens
2.2.10. Hemagglutinin Inhibition
2.2.11. ELISA
Quantification of the Immune Response to Vaccination with Triple H5N1/NA-HA-M1 VLPs in Hens
End-Point Titration of Sera from Chickens Immunized with Triple H5N1/NA-HA-M1 VLPs
Cross-Reactivity of Heterosubtypic LAH of Human H3N2 HA2 Domain with Hen Sera after Vaccination with Triple H5N1/NA-HA-M1 VLPs by Peptide ELISA
2.2.12. Characterization of HA-Stalk in Insect Cells via Immunohistochemical Assay with Anti-H1N1 Mab Antibodies or Universal FI6 Antibodies
2.2.13. Detection of Different HA-Stalk in Mammalian Cells via Immunohistochemical Assay with Hen Sera after Triple H5N1/NA-HA-M1 VLP Vaccination
2.2.14. Statistical Analysis
Statistical Analysis for Quantification of the Immune Response towards Vaccination with Triple H5N1/NA-HA-M1 VLPs in Hens
Statistical Analysis for Cross-Reactivity of Heterosubtypic LAH of Human H3N2 HA2 Domain with Hens’ Sera after Vaccination with Triple H5N1/NA-HA-M1 VLPs
2.2.15. Alignment of LAH Region Amino Acid Sequences of Different Influenza Strains
3. Results
3.1. Construction, Production and Purification of H5N1 Avian Influenza Triple H5N1/NA-HA-M1 VLPs
3.2. Immunization of Broiler Hens with H5N1 Avian Influenza Triple H5N1/NA-HA-M1 VLPs
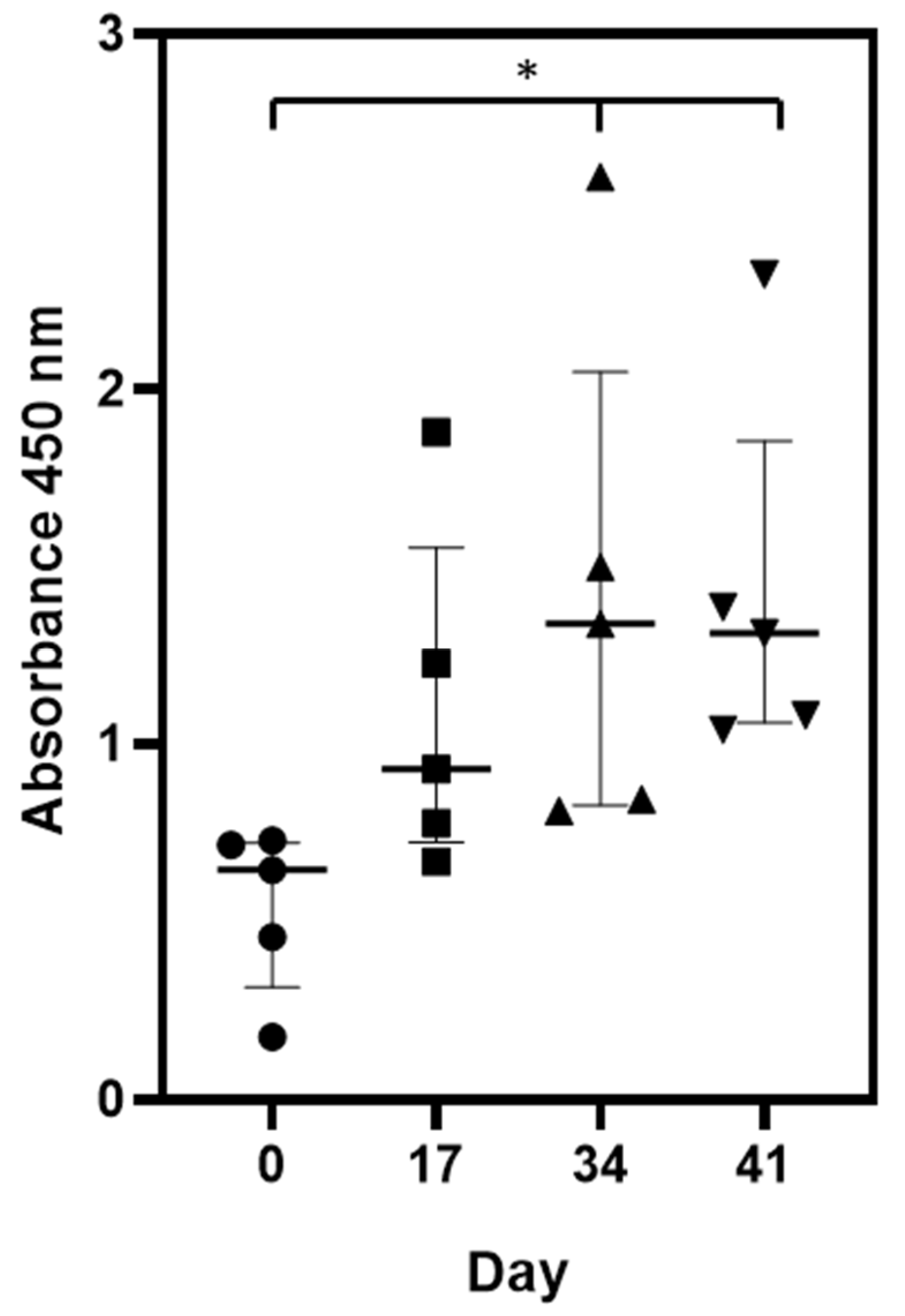
3.3. Analysis of the Immune Response after Immunization with Triple H5N1/NA-HA-M1 VLPs
3.4. Construction of HA-Stalk Universal Influenza Antigen
4. Discussion
5. Conclusions
Author Contributions
Funding
Institutional Review Board Statement
Informed Consent Statement
Data Availability Statement
Acknowledgments
Conflicts of Interest
References
- A revision of the system of nomenclature for influenza viruses: A WHO Memorandum. Bull. World Health Organ. 1980, 58, 585.
- Gao, R.; Sheng, Z.; Sreenivasan, C.C.; Wang, D.; Li, F. Influenza A Virus Antibodies with Antibody-Dependent Cellular Cytotoxicity Function. Viruses 2020, 12, 276. [Google Scholar] [CrossRef] [PubMed] [Green Version]
- Bergervoet, S.A.; Pritz-Verschuren, S.B.E.; Gonzales, J.L.; Bossers, A.; Poen, M.J.; Dutta, J.; Khan, Z.; Kriti, D.; van Bakel, H.; Bouwstra, R.; et al. Circulation of low pathogenic avian influenza (LPAI) viruses in wild birds and poultry in the Netherlands, 2006–2016. Sci. Rep. 2019, 9, 13681. [Google Scholar] [CrossRef] [PubMed]
- Swayne, D.E.; Spackman, E. Current status and future needs in diagnostics and vaccines for high pathogenicity avian influenza. Dev. Biol. 2013, 135, 79–94. [Google Scholar] [CrossRef] [Green Version]
- Swayne, D.E.; Lee, C.W.; Spackman, E. Inactivated North American and European H5N2 avian influenza virus vaccines protect chickens from Asian H5N1 high pathogenicity avian influenza virus. Avian Pathol. 2006, 35, 141–146. [Google Scholar] [CrossRef] [PubMed]
- Swayne, D.E.; Pavade, G.; Hamilton, K.; Vailat, B.; Miyagishima, K. Assessment of national strategies for control of high-pathogenicity avian influenza and low-pathogenicity notifiable avian influenza in poultry, with emphasis on vaccines and vaccination. Rev. Sci. Technol. 2011, 30, 839–870. [Google Scholar] [CrossRef] [PubMed]
- Roldão, A.; Mellado, M.C.M.; Castilho, L.R.; Carrondo, M.J.T.; Alves, P.M. Virus-like particles in vaccine development. Expert Rev. Vaccines 2010, 9, 1149–1176. [Google Scholar] [CrossRef] [PubMed]
- Kumar, A.; Meldgaard, T.S.; Bertholet, S. Novel Platforms for the Development of a Universal Influenza Vaccine. Front. Immunol. 2018, 9, 600. [Google Scholar] [CrossRef] [PubMed]
- Noad, R.; Roy, P. Virus-like particles as immunogens. Trends Microbiol. 2003, 11, 438–444. [Google Scholar] [CrossRef]
- Kang, S.M.; Song, J.M.; Quan, F.S.; Compans, R.W. Influenza vaccines based on virus-like particles. Virus Res. 2009, 143, 140. [Google Scholar] [CrossRef] [Green Version]
- Zepeda-Cervantes, J.; Ramírez-Jarquín, J.O.; Vaca, L. Interaction Between Virus-Like Particles (VLPs) and Pattern Recognition Receptors (PRRs) From Dendritic Cells (DCs): Toward Better Engineering of VLPs. Front. Immunol. 2020, 11, 1100. [Google Scholar] [CrossRef]
- Bachmann, M.F.; Jennings, G.T. Vaccine delivery: A matter of size, geometry, kinetics and molecular patterns. Nat. Rev. Immunol. 2010, 10, 787–796. [Google Scholar] [CrossRef] [PubMed]
- Gamvrellis, A.; Leong, D.; Hanley, J.C.; Xiang, S.D.; Mottram, P.; Plebanski, M. Vaccines that facilitate antigen entry into dendritic cells. Immunol. Cell Biol. 2004, 82, 506–516. [Google Scholar] [CrossRef]
- Ninyio, N.N.; Ho, K.L.; Omar, A.R.; Tan, W.S.; Iqbal, M.; Mariatulqabtiah, A.R. Virus-like Particle Vaccines: A Prospective Panacea Against an Avian Influenza Panzootic. Vaccines 2020, 8, 694. [Google Scholar] [CrossRef]
- Khurana, S.; Wu, J.; Verma, N.; Verma, S.; Raghunandan, R.; Manischewitz, J.; King, L.R.; Kpamegan, E.; Pincus, S.; Smith, G.; et al. H5N1 Virus-Like Particle Vaccine Elicits Cross-Reactive Neutralizing Antibodies That Preferentially Bind to the Oligomeric Form of Influenza Virus Hemagglutinin in Humans. J. Virol. 2011, 85, 10945. [Google Scholar] [CrossRef] [PubMed] [Green Version]
- McCraw, D.M.; Gallagher, J.R.; Torian, U.; Myers, M.L.; Conlon, M.T.; Gulati, N.M.; Harris, A.K. Structural analysis of influenza vaccine virus-like particles reveals a multicomponent organization. Sci. Rep. 2018, 8, 10342. [Google Scholar] [CrossRef] [Green Version]
- Sriwilaijaroen, N.; Suzuki, Y. Molecular basis of the structure and function of H1 hemagglutinin of influenza virus. Proc. Jpn. Acad. Ser. B Phys. Biol. Sci. 2012, 88, 226. [Google Scholar] [CrossRef] [PubMed] [Green Version]
- Lazarowitz, S.G.; Choppin, P.W. Enhancement of the infectivity of influenza A and B viruses by proteolytic cleavage of the hemagglutinin polypeptide. Virology 1975, 68, 440–454. [Google Scholar] [CrossRef]
- Klenk, H.D.; Rott, R.; Orlich, M.; Blödorn, J. Activation of influenza A viruses by trypsin treatment. Virology 1975, 68, 426–439. [Google Scholar] [CrossRef]
- Kirkpatrick, E.; Qiu, X.; Wilson, P.C.; Bahl, J.; Krammer, F. The influenza virus hemagglutinin head evolves faster than the stalk domain. Sci. Rep. 2018, 8, 10432. [Google Scholar] [CrossRef]
- Koutsakos, M.; Kedzierska, K.; Subbarao, K. Immune Responses to Avian Influenza Viruses. J. Immunol. 2019, 202, 382–391. [Google Scholar] [CrossRef] [PubMed] [Green Version]
- Corti, D.; Voss, J.; Gamblin, S.J.; Codoni, G.; Macagno, A.; Jarrossay, D.; Vachieri, S.G.; Pinna, D.; Minola, A.; Vanzetta, F.; et al. A neutralizing antibody selected from plasma cells that binds to group 1 and group 2 influenza A hemagglutinins. Science 2011, 333, 850–856. [Google Scholar] [CrossRef]
- Kim, S.H.; Samal, S.K. Newcastle Disease Virus as a Vaccine Vector for Development of Human and Veterinary Vaccines. Viruses 2016, 8, 183. [Google Scholar] [CrossRef] [Green Version]
- Suarez, D.L.; Pantin-Jackwood, M.J. Recombinant viral-vectored vaccines for the control of avian influenza in poultry. Vet. Microbiol. 2017, 206, 144–151. [Google Scholar] [CrossRef] [PubMed]
- Uranowska, K.; Tyborowska, J.; Jurek, A.; Szewczyk, B.; Gromadzka, B. Hemagglutinin stalk domain from H5N1 strain as a potentially universal antigen. Acta Biochim. Pol. 2014, 61, 541–550. [Google Scholar] [CrossRef] [Green Version]
- Steel, J.; Lowen, A.C.; Wang, T.T.; Yondola, M.; Gao, Q.; Haye, K.; García-Sastre, A.; Palesea, P. Influenza virus vaccine based on the conserved hemagglutinin stalk domain. MBio 2010, 1, e00018-10. [Google Scholar] [CrossRef] [PubMed] [Green Version]
- Krammer, F.; Palese, P. Influenza virus hemagglutinin stalk-based antibodies and vaccines. Curr. Opin. Virol. 2013, 3, 521. [Google Scholar] [CrossRef] [Green Version]
- Reisinger, K.S.; Block, S.L.; Izu, A.; Groth, N.; Holmes, S.J. Subunit influenza vaccines produced from cell culture or in embryonated chicken eggs: Comparison of safety, reactogenicity, and immunogenicity. J. Infect. Dis. 2009, 200, 849–857. [Google Scholar] [CrossRef] [Green Version]
- Hai, R.; García-Sastre, A.; Swayne, D.E.; Palese, P. A Reassortment-Incompetent Live Attenuated Influenza Virus Vaccine for Protection against Pandemic Virus Strains. J. Virol. 2011, 85, 6832. [Google Scholar] [CrossRef] [PubMed] [Green Version]
- Even-or, O.; Samira, S.; Ellis, R.; Kedar, E.; Barenholz, Y. Adjuvanted influenza vaccines. Expert Rev. Vaccines 2013, 12, 1095–1108. [Google Scholar] [CrossRef] [PubMed]
- Gasparini, R.; Pozzi, T.; Montomoli, E.; Fragapane, E.; Senatore, F.; Minutello, M.; Podda, A. Increased immunogenicity of the MF59-adjuvanted influenza vaccine compared to a conventional subunit vaccine in elderly subjects. Eur. J. Epidemiol. 2001, 17, 135–140. [Google Scholar] [CrossRef] [PubMed]
- Fichera, E.; Felnerova, D.; Mischler, R.; Viret, J.F.; Glueck, R. New strategies to overcome the drawbacks of currently available flu vaccines. Adv. Exp. Med. Biol. 2009, 655, 243–252. [Google Scholar] [CrossRef] [PubMed]
- Bouvier, N.M.; Palese, P. The biology of influenza Viruses. Vaccine 2008, 26, D49. [Google Scholar] [CrossRef] [PubMed] [Green Version]
- Bárcena, J.; Blanco, E. Design of novel vaccines based on virus-like particles or chimeric virions. Subcell. Biochem. 2013, 68, 631–665. [Google Scholar] [CrossRef] [PubMed]
- Pushko, P.; Tumpey, T.M.; Bu, F.; Knell, J.; Robinson, R.; Smith, G. Influenza virus-like particles comprised of the HA, NA, and M1 proteins of H9N2 influenza virus induce protective immune responses in BALB/c mice. Vaccine 2005, 23, 5751–5759. [Google Scholar] [CrossRef]
- Song, H.; Wittman, V.; Byers, A.; Tapia, T.; Zhou, B.; Warren, W.; Heaton, P.; Connolly, K. In vitro stimulation of human influenza-specific CD8+ T cells by dendritic cells pulsed with an influenza virus-like particle (VLP) vaccine. Vaccine 2010, 28, 5524–5532. [Google Scholar] [CrossRef] [PubMed]
- López-Macías, C.; Ferat-Osorio, E.; Tenorio-Calvo, A.; Isibasi, A.; Talavera, J.; Arteaga-Ruiz, O.; Arriaga-Pizano, L.; Hickman, S.P.; Allende, M.; Lenhard, K.; et al. Safety and immunogenicity of a virus-like particle pandemic influenza A (H1N1) 2009 vaccine in a blinded, randomized, placebo-controlled trial of adults in Mexico. Vaccine 2011, 29, 7826. [Google Scholar] [CrossRef] [PubMed]
- Thompson, C.M.; Petiot, E.; Lennaertz, A.; Henry, O.; Kamen, A.A. Analytical technologies for influenza virus-like particle candidate vaccines: Challenges and emerging approaches. Virol. J. 2013, 10, 141. [Google Scholar] [CrossRef] [Green Version]
- Zhu, W.Z.; Wen, Y.C.; Lin, S.Y.; Chen, T.C.; Chen, H.W. Anti-Influenza Protective Efficacy of a H6 Virus-Like Particle in Chickens. Vaccines 2020, 8, 465. [Google Scholar] [CrossRef] [PubMed]
- Lai, C.C.; Cheng, Y.C.; Chen, P.W.; Lin, T.H.; Tzeng, T.T.; Lu, C.C.; Lee, M.S.; Hu, A.Y.C. Process development for pandemic influenza VLP vaccine production using a baculovirus expression system. J. Biol. Eng. 2019, 13, 78. [Google Scholar] [CrossRef] [PubMed] [Green Version]
- Gomez Lorenzo, M.M.; Fenton, M.J. Immunobiology of Influenza Vaccines. Chest 2013, 143, 502. [Google Scholar] [CrossRef] [Green Version]
- Schotsaert, M.; García-Sastre, A. Influenza Vaccines: A Moving Interdisciplinary Field. Viruses 2014, 6, 3809. [Google Scholar] [CrossRef] [Green Version]
- El-Husseiny, M.H.; Hagag, N.M.; Pushko, P.; Tretyakova, I.; Naguib, M.M.; Arafa, A.S. Evaluation of Protective Efficacy of Influenza Virus Like Particles Prepared from H5N1 Virus of Clade 2.2.1.2 in Chickens. Vaccines 2021, 9, 715. [Google Scholar] [CrossRef]
- Kang, Y.M.; Cho, H.K.; Kim, J.H.; Lee, S.J.; Park, S.J.; Kim, D.Y.; Kim, S.Y.; Park, J.; won Lee, M.H.; Kim, M.C.; et al. Single dose of multi-clade virus-like particle vaccine protects chickens against clade 2.3.2.1 and clade 2.3.4.4 highly pathogenic avian influenza viruses. Sci. Rep. 2021, 11, 13786. [Google Scholar] [CrossRef] [PubMed]
- Huang, D.; Chao, Y.C.; Lv, Z.; Jan, J.T.; Yang, Y.C.; Hsiao, P.W.; Wu, C.Y.; Liao, C.H.; Wu, T.H.; Wang, L.C. Comparison of Chicken Immune Responses after Inoculation with H5 Avian Influenza Virus-like Particles Produced by Insect Cells or Pupae. J. Vet. Res. 2021, 65, 139–145. [Google Scholar] [CrossRef]
- Li, J.; Li, R.; Zhang, Q.; Peng, P.; Wang, X.; Gu, M.; Hu, Z.; Jiao, X.; Peng, D.; Hu, J.; et al. H7N9 influenza virus-like particle based on BEVS protects chickens from lethal challenge with highly pathogenic H7N9 avian influenza virus. Vet. Microbiol. 2021, 258, 109106. [Google Scholar] [CrossRef]
- Smith, T.; O’Kennedy, M.M.; Wandrag, D.B.R.; Adeyemi, M.; Abolnik, C. Efficacy of a plant-produced virus-like particle vaccine in chickens challenged with Influenza A H6N2 virus. Plant Biotechnol. J. 2020, 18, 502–512. [Google Scholar] [CrossRef] [PubMed] [Green Version]
- Hu, J.; Peng, P.; Li, J.; Zhang, Q.; Li, R.; Wang, X.; Gu, M.; Hu, Z.; Hu, S.; Liu, X.; et al. Single Dose of Bivalent H5 and H7 Influenza Virus-Like Particle Protects Chickens Against Highly Pathogenic H5N1 and H7N9 Avian Influenza Viruses. Front. Vet. Sci. 2021, 8, 1280. [Google Scholar] [CrossRef] [PubMed]
- Hu, J.; Zhang, Q.; Peng, P.; Li, R.; Li, J.; Wang, X.; Gu, M.; Hu, Z.; Hu, S.; Liu, X.; et al. Baculovirus-derived influenza virus-like particle confers complete protection against lethal H7N9 avian influenza virus challenge in chickens and mice. Vet. Microbiol. 2022, 264, 109306. [Google Scholar] [CrossRef]
- Pietrzak, M.; Macioła, A.; Zdanowski, K.; Protas-Klukowska, A.M.; Olszewska, M.; Śmietanka, K.; Minta, Z.; Szewczyk, B.; Kopera, E. An avian influenza H5N1 virus vaccine candidate based on the extracellular domain produced in yeast system as subviral particles protects chickens from lethal challenge. Antiviral Res. 2016, 133, 242–249. [Google Scholar] [CrossRef] [PubMed] [Green Version]
- Choi, J.G.; Kim, M.C.; Kang, H.M.; Kim, K., II; Lee, K.J.; Park, C.K.; Kwon, J.H.; Kim, J.H.; Lee, Y.J. Protective efficacy of baculovirus-derived influenza virus-like particles bearing H5 HA alone or in combination with M1 in chickens. Vet. Microbiol. 2013, 162, 623–630. [Google Scholar] [CrossRef] [PubMed]
- Kim, S.M.; Kim, Y.-I.; Park, S.-J.; Kim, E.-H.; Kwon, H.; Si, Y.-J.; Lee, I.-W.; Song, M.-S.; Choi, Y.K. Vaccine Efficacy of Inactivated, Chimeric Hemagglutinin H9/H5N2 Avian Influenza Virus and Its Suitability for the Marker Vaccine Strategy. J. Virol. 2017, 91, 1693–1709. [Google Scholar] [CrossRef] [PubMed] [Green Version]
- Shirvani, E.; Paldurai, A.; Varghese, B.P.; Samal, S.K. Contributions of HA1 and HA2 Subunits of Highly Pathogenic Avian Influenza Virus in Induction of Neutralizing Antibodies and Protection in Chickens. Front. Microbiol. 2020, 11, 1085. [Google Scholar] [CrossRef] [PubMed]











Publisher’s Note: MDPI stays neutral with regard to jurisdictional claims in published maps and institutional affiliations. |
© 2022 by the authors. Licensee MDPI, Basel, Switzerland. This article is an open access article distributed under the terms and conditions of the Creative Commons Attribution (CC BY) license (https://creativecommons.org/licenses/by/4.0/).
Share and Cite
Gromadzka, B.; Chraniuk, M.; Hovhannisyan, L.; Uranowska, K.; Szewczyk, B.; Narajczyk, M.; Panasiuk, M. Characterization of Immune Response towards Generation of Universal Anti-HA-Stalk Antibodies after Immunization of Broiler Hens with Triple H5N1/NA-HA-M1 VLPs. Viruses 2022, 14, 730. https://doi.org/10.3390/v14040730
Gromadzka B, Chraniuk M, Hovhannisyan L, Uranowska K, Szewczyk B, Narajczyk M, Panasiuk M. Characterization of Immune Response towards Generation of Universal Anti-HA-Stalk Antibodies after Immunization of Broiler Hens with Triple H5N1/NA-HA-M1 VLPs. Viruses. 2022; 14(4):730. https://doi.org/10.3390/v14040730
Chicago/Turabian StyleGromadzka, Beata, Milena Chraniuk, Lilit Hovhannisyan, Karolina Uranowska, Bogusław Szewczyk, Magdalena Narajczyk, and Mirosława Panasiuk. 2022. "Characterization of Immune Response towards Generation of Universal Anti-HA-Stalk Antibodies after Immunization of Broiler Hens with Triple H5N1/NA-HA-M1 VLPs" Viruses 14, no. 4: 730. https://doi.org/10.3390/v14040730
APA StyleGromadzka, B., Chraniuk, M., Hovhannisyan, L., Uranowska, K., Szewczyk, B., Narajczyk, M., & Panasiuk, M. (2022). Characterization of Immune Response towards Generation of Universal Anti-HA-Stalk Antibodies after Immunization of Broiler Hens with Triple H5N1/NA-HA-M1 VLPs. Viruses, 14(4), 730. https://doi.org/10.3390/v14040730

