Novel 6-Aminoquinazolinone Derivatives as Potential Cross GT1-4 HCV NS5B Inhibitors
Abstract
1. Introduction
2. Materials and Methods
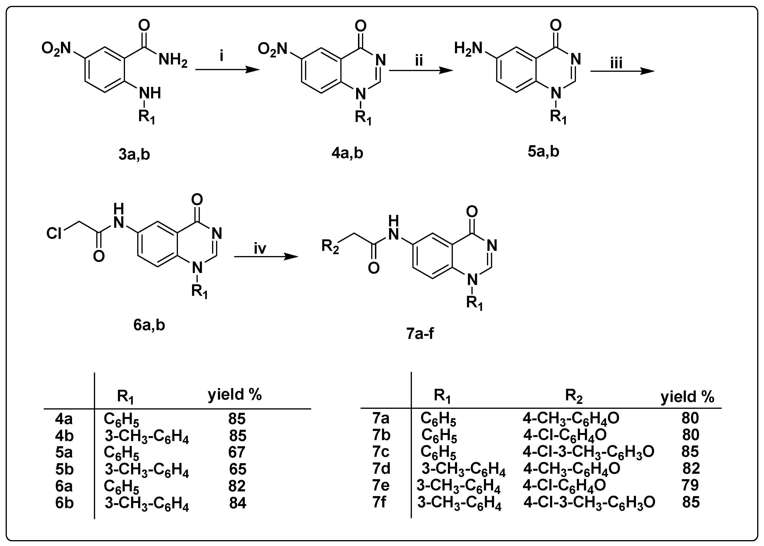
2.1. Chemistry
- General procedure for the synthesis of 5-nitro-2-(substituted phenyla-mino)benzamide derivatives (3a,b).
- 5-Nitro-2-(m-tolylamino) benzamide (3b).
- General procedure for the synthesis of 6-nitro-1-(substitutedphenyl)quinazolin-4(1H)-one (4a, 4b).
- 6-Nitro-1-phenylquinazolin-4(1H)-one (4a).
- 6-Nitro-1-(m-tolyl)quinazolin-4(1H)-one (4b).
- General procedure for the synthesis of 6-amino-1-(substituted phenyl)quinazolin-4(1H)-one (5a, 5b).
- 6-Amino-1-phenylquinazolin-4(1H)-one (5a).
- 6-Amino-1-(m-tolyl)quinazolin-4(1H)-one (5b).
- General procedure for the synthesis of 2-chloro-N-(4-oxo-1-substituted phenyl-1,4-dihydroquinazolin-6-yl)acetamide (6a, 6b).
- 2-Chloro-N-(4-oxo-1-phenyl-1,4-dihydroquinazolin-6-yl)acetamide (6a).
- 2-Chloro-N-(4-oxo-1-(m-tolyl)-1,4-dihydroquinazolin-6-yl)acetamide (6b).
- General procedure for the synthesis of 2-substituted phenoxy-N-(4-oxo-1-(substituted phenyl)-1,4-dihydro quinazolin-6-yl)acetamide (7a–f).
- N-(4-Oxo-1-phenyl-1,4-dihydroquinazolin-6-yl)-2-(p-tolyloxy)acetamide (7a).
- 2-(4-Chlorophenoxy)-N-(4-oxo-1-phenyl-1,4-dihydroquinazolin-6-yl)acetamide (7b).
- 2-(4-Chloro-3-methylphenoxy)-N-(4-oxo-1-phenyl-1,4-dihydroquinazolin-6-yl)acetamide (7c).
- N-(4-oxo-1-(m-tolyl)-1,4-dihydroquinazolin-6-yl)-2-(p-tolyloxy)acetamide (7d).
- 2-(4-Chlorophenoxy)-N-(4-oxo-1-(m-tolyl)-1,4-dihydroquinazolin-6-yl)acetamide (7e).
- 2-(4-Chloro-3-methylphenoxy)-N-(4-oxo-1-(m-tolyl)-1,4-dihydroquinazolin-6-yl)acetamide (7f).
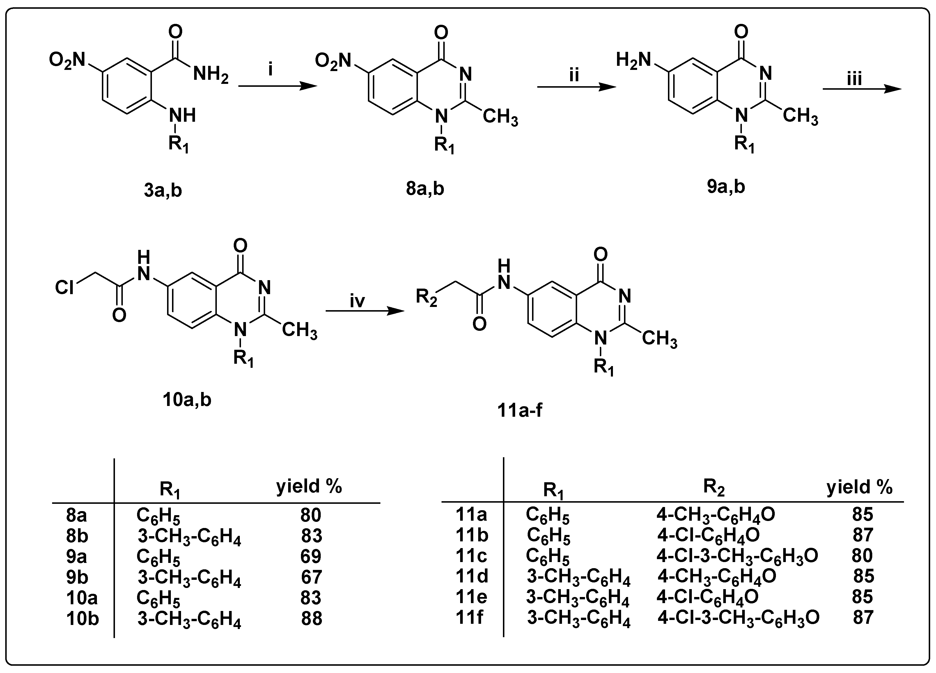
- General procedure for the synthesis of 2-methyl-6-nitro-1-(substituted phenyl)quinazolin-4(1H)-one (8a, 8b).
- 2-Methyl-6-nitro-1-phenylquinazolin-4(1H)-one (8a).
- 2-Methyl-6-nitro-1-(m-tolyl)quinazolin-4(1H)-one (8b).
- General procedure for the synthesis of 6-amino-2-methyl-1-(substituted phenyl)quinazolin-4(1H)-one (9a, 9b).
- 6-Amino-2-methyl-1-phenylquinazolin-4(1H)-one (9a).
- 6-Amino-2-methyl-1-(m-tolyl)quinazolin-4(1H)-one (9b).
- General procedure for the synthesis of 2-chloro-N-(2-methyl-4-oxo-1-(substituted phenyl)-1,4-dihydroquinazolin-6-yl)acetamide derivatives (10a, 10b).
- 2-Chloro-N-(2-methyl-4-oxo-1-phenyl-1,4-dihydroquinazolin-6-yl)acetamide (10a).
- 2-Chloro-N-(2-methyl-4-oxo-1-(m-tolyl)-1,4-dihydroquinazolin-6-yl)acetamide (10b).
- General procedure for the synthesis of 2-substituted phenoxy-N-[2-methyl-4-oxo-1-(substituted phenyl)-1,4-dihydro quinazolin-6-yl]acetamide (11a–f).
- N-(2-Methyl-4-oxo-1-phenyl-1,4-dihydroquinazolin-6-yl)-2-(p-tolyloxy)acetamide (11a).
- 2-(4-Chlorophenoxy)-N-(2-methyl-4-oxo-1-phenyl-1,4-dihydroquinazolin-6-yl)acetamide (11b).
- 2-(4-Chloro-3-methylphenoxy)-N-(2-methyl-4-oxo-1-phenyl-1,4-dihydroquinazolin-6-yl)acetamide (11c).
- N-(2-Methyl-4-oxo-1-(m-tolyl)-1,4-dihydroquinazolin-6-yl)-2-(p-tolyloxy)acetamide (11d).
- 2-(4-Chlorophenoxy)-N-(2-methyl-4-oxo-1-(m-tolyl)-1,4-dihydroquinazolin-6-yl)acetamide (11e).
- 2-(4-Chloro-3-methylphenoxy)-N-(2-methyl-4-oxo-1-(m-tolyl)-1,4-dihydroquinazolin-6-yl)acetamide (11f).
2.2. Cell Culture
2.3. Cytotoxicity Assay
2.4. Antiviral Assay
2.5. Total RNA Extraction and Quantification of Viral Replicons
2.6. Gel Electrophoresis and Western Blot Analysis
2.7. Statistical Analysis
2.8. Determination of Water Solubility of Compounds 11a and 11b
2.9. Computational Chemistry
3. Results and Discussion
3.1. Chemistry
3.2. Biological Evaluation
3.2.1. Screening of Compounds Using HCV GT 1b Replicon Assay
3.2.2. Cytotoxicity and Selectivity of the Synthesized Compounds
3.2.3. Compound Activity against HCV 3a and 4a Replicon Cells
3.2.4. Validation of Compound Activity with Additional Assays
3.2.5. Combinatory Effect of Compound 11a with DCV
3.3. Solubility Measurements
3.4. In Silico Studies
3.5. Lipophilicity and Solubility Parameters Calculations
4. Conclusions
Author Contributions
Funding
Institutional Review Board Statement
Informed Consent Statement
Data Availability Statement
Acknowledgments
Conflicts of Interest
References
- Cohen, J. The Scientific Challenge of Hepatitis C. Science 1999, 285, 26–30. [Google Scholar] [CrossRef] [PubMed]
- Lee, W.M. Hepatitis C. Curr. Opin. Infect. Dis. 1990, 3, 789–795. [Google Scholar] [CrossRef]
- Pawlotsky, J.-M.; Negro, F.; Aghemo, A.; Berenguer, M.; Dalgard, O.; Dusheiko, G.; Marra, F.; Puoti, M.; Wedemeyer, H. EASL Recommendations on Treatment of Hepatitis C: Final Update of the Series. J. Hepatol. 2020, 73, 1170–1218. [Google Scholar] [CrossRef]
- Rabaan, A.A.; Al-Ahmed, S.H.; Bazzi, A.M.; Alfouzan, W.A.; Alsuliman, S.A.; Aldrazi, F.A.; Haque, S. Overview of Hepatitis C Infection, Molecular Biology, and New Treatment. J. Infect. Public Health 2020, 13, 773–783. [Google Scholar] [CrossRef] [PubMed]
- WHO Publishes Updated Guidance on Hepatitis C Infection–with New Recommendations on Treatment of Adolescents and Children, Simplified Service Delivery and Diagnostics. Available online: https://www.who.int/news/item/24-06-2022-WHO-publishes-updated-guidance-on-hepatitis-C-infection (accessed on 29 November 2022).
- Feld, J.J.; Hoofnagle, J.H. Mechanism of Action of Interferon and Ribavirin in Treatment of Hepatitis C. Nature 2005, 436, 967–972. [Google Scholar] [CrossRef]
- Marks, K.M.; Jacobson, I.M. The First Wave: HCV NS3 Protease Inhibitors Telaprevir and Boceprevir. Antivir. Ther. 2012, 17, 1119–1131. [Google Scholar] [CrossRef][Green Version]
- Cross, T.J.S.; Antoniades, C.G.; Harrison, P.M. Current and Future Management of Chronic Hepatitis C Infection. Postgrad. Med. J. 2008, 84, 172–176. [Google Scholar] [CrossRef]
- Paula, T.; Pablo, R.; Eugenia, V.; Pablo, B.; Sabino, P.; Jose, M.; Antonio, M.; Dolores, H.; Pablo, L.; Javier, G.-S.; et al. New Drug Targets for Hepatitis C and Other Flaviviridae Viruses. Infect. Disord.-Drug Targets 2009, 9, 133–147. [Google Scholar] [CrossRef]
- Pockros, P.J. Interferon-Free Hepatitis C Therapy. Drugs 2012, 72, 1825–1831. [Google Scholar] [CrossRef]
- Lange, C.M.; Zeuzem, S. Perspectives and Challenges of Interferon-Free Therapy for Chronic Hepatitis C. J. Hepatol. 2013, 58, 583–592. [Google Scholar] [CrossRef]
- Asselah, T.; Marcellin, P.; Schinazi, R.F. Treatment of Hepatitis C Virus Infection with Direct-Acting Antiviral Agents: 100% Cure? Liver Int. 2018, 38, 7–13. [Google Scholar] [CrossRef] [PubMed]
- Alarfaj, S.J.; Alzahrani, A.; Alotaibi, A.; Almutairi, M.; Hakami, M.; Alhomaid, N.; Alharthi, N.; Korayem, G.B.; Alghamdi, A. The Effectiveness and Safety of Direct-Acting Antivirals for Hepatitis C Virus Treatment: A Single-Center Experience in Saudi Arabia. Saudi Pharm. J. 2022, 30, 1448–1453. [Google Scholar] [CrossRef] [PubMed]
- Yee, J.; Carson, J.M.; Hajarizadeh, B.; Hanson, J.; O’Beirne, J.; Iser, D.; Read, P.; Balcomb, A.; Doyle, J.S.; Davies, J.; et al. High Effectiveness of Broad Access Direct-Acting Antiviral Therapy for Hepatitis C in an Australian Real-World Cohort: The REACH-C Study. Hepatol. Commun. 2022, 6, 496–512. [Google Scholar] [CrossRef] [PubMed]
- Sencanski, M.; Glisic, S. Direct-Acting Antiviral Drugs for Treatment of Hepatitis C Virus Infection-Clinical Trials Data and Chemistry of NS3/4a Protease Inhibitors. In Frontiers in Clinical Drug Research: Anti-Infectives; Bentham Science Publishers: Sharjah, United Arab Emirates, 2020; pp. 1–48. [Google Scholar]
- Tagkou, N.M.; Goossens, N.; Negro, F. Impact of Direct-Acting Antivirals on the Recurrence of Hepatocellular Carcinoma in Chronic Hepatitis C. Hepatoma Res. 2022, 8, 28. [Google Scholar] [CrossRef]
- Dietz, C.; Maasoumy, B. Direct-Acting Antiviral Agents for Hepatitis C Virus Infection—From Drug Discovery to Successful Implementation in Clinical Practice. Viruses 2022, 14, 1325. [Google Scholar] [CrossRef] [PubMed]
- Bartenschlager, R.; Lohmann, V.; Penin, F. The Molecular and Structural Basis of Advanced Antiviral Therapy for Hepatitis C Virus Infection. Nat. Rev. Microbiol. 2013, 11, 482–496. [Google Scholar] [CrossRef]
- Moradpour, D.; Penin, F.; Rice, C.M. Replication of Hepatitis C Virus. Nat. Rev. Microbiol. 2007, 5, 453–463. [Google Scholar] [CrossRef]
- Kish, T.; Aziz, A.; Sorio, M. Hepatitis C in a New Era: A Review of Current Therapies. Pharm. Ther. 2017, 42, 316–329. [Google Scholar]
- Behrens, S.E.; Tomei, L.; De Francesco, R. Identification and Properties of the RNA-Dependent RNA Polymerase of Hepatitis C Virus. EMBO J. 1996, 15, 12–22. [Google Scholar] [CrossRef]
- Moradpour, D.; Brass, V.; Bieck, E.; Friebe, P.; Gosert, R.; Blum, H.E.; Bartenschlager, R.; Penin, F.; Lohmann, V. Membrane Association of the RNA-Dependent RNA Polymerase Is Essential for Hepatitis C Virus RNA Replication. J. Virol. 2004, 78, 13278–13284. [Google Scholar] [CrossRef][Green Version]
- Huang, Z.; Murray, M.G.; Secrist, J.A. Recent Development of Therapeutics for Chronic HCV Infection. Antivir. Res. 2006, 71, 351–362. [Google Scholar] [CrossRef]
- Ago, H.; Adachi, T.; Yoshida, A.; Yamamoto, M.; Habuka, N.; Yatsunami, K.; Miyano, M. Crystal Structure of the RNA-Dependent RNA Polymerase of Hepatitis C Virus. Structure 1999, 7, 1417–1426. [Google Scholar] [CrossRef] [PubMed]
- Bressanelli, S.; Tomei, L.; Roussel, A.; Incitti, I.; Vitale, R.L.; Mathieu, M.; De Francesco, R.; Rey, F.A. Crystal Structure of the RNA-Dependent RNA Polymerase of Hepatitis C Virus. Proc. Natl. Acad. Sci. USA 1999, 96, 13034–13039. [Google Scholar] [CrossRef] [PubMed]
- Weber, P.C.; Lesburg, C.A.; Cable, M.B.; Ferrari, E.; Hong, Z.; Mannarino, A.F. Crystal Structure of the RNA-Dependent RNA Polymerase from Hepatitis C Virus Reveals a Fully Encircled Active Site. Nat. Struct. Biol. 1999, 6, 937–943. [Google Scholar] [CrossRef] [PubMed]
- Bressanelli, S.; Tomei, L.; Rey, F.A.; De Francesco, R. Structural Analysis of the Hepatitis C Virus RNA Polymerase in Complex with Ribonucleotides. J. Virol. 2002, 76, 3482–3492. [Google Scholar] [CrossRef]
- Barreca, M.L.; Iraci, N.; Manfroni, G.; Cecchetti, V. Allosteric Inhibition of the Hepatitis C Virus NS5B Polymerase: In Silico Strategies for Drug Discovery and Development. Future Med. Chem. 2011, 3, 1027–1055. [Google Scholar] [CrossRef]
- Horsley-Silva, J.L.; Vargas, H.E. New Therapies for Hepatitis C Virus Infection. Gastroenterol. Hepatol. 2017, 13, 22–31. [Google Scholar]
- Zhou, Z.; Zhang, J.; Zhou, E.; Ren, C.; Wang, J.; Wang, Y. Small Molecule NS5B RdRp Non-Nucleoside Inhibitors for the Treatment of HCV Infection: A Medicinal Chemistry Perspective. Eur. J. Med. Chem. 2022, 240, 114595. [Google Scholar] [CrossRef]
- Love, R.A.; Parge, H.E.; Yu, X.; Hickey, M.J.; Diehl, W.; Gao, J.; Wriggers, H.; Ekker, A.; Wang, L.; Thomson, J.A.; et al. Crystallographic Identification of a Noncompetitive Inhibitor Binding Site on the Hepatitis C Virus NS5B RNA Polymerase Enzyme. J. Virol. 2003, 77, 7575–7581. [Google Scholar] [CrossRef]
- Yan, S.; Appleby, T.; Larson, G.; Wu, J.Z.; Hamatake, R.K.; Hong, Z.; Yao, N. Thiazolone-Acylsulfonamides as Novel HCV NS5B Polymerase Allosteric Inhibitors: Convergence of Structure-Based Drug Design and X-Ray Crystallographic Study. Bioorg. Med. Chem. Lett. 2007, 17, 1991–1995. [Google Scholar] [CrossRef]
- Wang, M.; Ng, K.K.S.; Cherney, M.M.; Chan, L.; Yannopoulos, C.G.; Bedard, J.; Morin, N.; Nguyen-Ba, N.; Alaoui-Ismaili, M.H.; Bethell, R.C.; et al. Non-Nucleoside Analogue Inhibitors Bind to an Allosteric Site on HCV NS5B Polymerase. J. Biol. Chem. 2003, 278, 9489–9495. [Google Scholar] [CrossRef] [PubMed]
- Beaulieu, P.L.; Coulombe, R.; Duan, J.; Fazal, G.; Godbout, C.; Hucke, O.; Jakalian, A.; Joly, M.-A.; Lepage, O.; Llinàs-Brunet, M.; et al. Structure-Based Design of Novel HCV NS5B Thumb Pocket 2 Allosteric Inhibitors with Submicromolar Gt1 Replicon Potency: Discovery of a Quinazolinone Chemotype. Bioorg. Med. Chem. Lett. 2013, 23, 4132–4140. [Google Scholar] [CrossRef]
- Malancona, S.; Donghi, M.; Ferrara, M.; Martin Hernando, J.I.; Pompei, M.; Pesci, S.; Ontoria, J.M.; Koch, U.; Rowley, M.; Summa, V. Allosteric Inhibitors of Hepatitis C Virus NS5B Polymerase Thumb Domain Site II: Structure-Based Design and Synthesis of New Templates. Bioorg. Med. Chem. 2010, 18, 2836–2848. [Google Scholar] [CrossRef] [PubMed]
- Canales, E.; Carlson, J.S.; Appleby, T.; Fenaux, M.; Lee, J.; Tian, Y.; Tirunagari, N.; Wong, M.; Watkins, W.J. Tri-Substituted Acylhydrazines as Tertiary Amide Bioisosteres: HCV NS5B Polymerase Inhibitors. Bioorg. Med. Chem. Lett. 2012, 22, 4288–4292. [Google Scholar] [CrossRef] [PubMed]
- Stammers, T.A.; Coulombe, R.; Rancourt, J.; Thavonekham, B.; Fazal, G.; Goulet, S.; Jakalian, A.; Wernic, D.; Tsantrizos, Y.; Poupart, M.-A.; et al. Discovery of a Novel Series of Non-Nucleoside Thumb Pocket 2 HCV NS5B Polymerase Inhibitors. Bioorg. Med. Chem. Lett. 2013, 23, 2585–2589. [Google Scholar] [CrossRef] [PubMed]
- Stammers, T.A.; Coulombe, R.; Duplessis, M.; Fazal, G.; Gagnon, A.; Garneau, M.; Goulet, S.; Jakalian, A.; LaPlante, S.; Rancourt, J.; et al. Anthranilic Acid-Based Thumb Pocket 2 HCV NS5B Polymerase Inhibitors with Sub-Micromolar Potency in the Cell-Based Replicon Assay. Bioorg. Med. Chem. Lett. 2013, 23, 6879–6885. [Google Scholar] [CrossRef]
- Hucke, O.; Coulombe, R.; Bonneau, P.; Bertrand-Laperle, M.; Brochu, C.; Gillard, J.; Joly, M.-A.; Landry, S.; Lepage, O.; Llinàs-Brunet, M.; et al. Molecular Dynamics Simulations and Structure-Based Rational Design Lead to Allosteric HCV NS5B Polymerase Thumb Pocket 2 Inhibitor with Picomolar Cellular Replicon Potency. J. Med. Chem. 2014, 57, 1932–1943. [Google Scholar] [CrossRef]
- Yang, H.; Hendricks, R.T.; Arora, N.; Nitzan, D.; Yee, C.; Lucas, M.C.; Yang, Y.; Fung, A.; Rajyaguru, S.; Harris, S.F.; et al. Cyclic Amide Bioisosterism: Strategic Application to the Design and Synthesis of HCV NS5B Polymerase Inhibitors. Bioorg. Med. Chem. Lett. 2010, 20, 4614–4619. [Google Scholar] [CrossRef]
- Yan, S.; Larson, G.; Wu, J.Z.; Appleby, T.; Ding, Y.; Hamatake, R.; Hong, Z.; Yao, N. Novel Thiazolones as HCV NS5B Polymerase Allosteric Inhibitors: Further Designs, SAR, and X-Ray Complex Structure. Bioorg. Med. Chem. Lett. 2007, 17, 63–67. [Google Scholar] [CrossRef]
- Biswal, B.K.; Wang, M.; Cherney, M.M.; Chan, L.; Yannopoulos, C.G.; Bilimoria, D.; Bedard, J.; James, M.N.G. Non-Nucleoside Inhibitors Binding to Hepatitis C Virus NS5B Polymerase Reveal a Novel Mechanism of Inhibition. J. Mol. Biol. 2006, 361, 33–45. [Google Scholar] [CrossRef]
- Eltahla, A.; Luciani, F.; White, P.; Lloyd, A.; Bull, R. Inhibitors of the Hepatitis C Virus Polymerase; Mode of Action and Resistance. Viruses 2015, 7, 5206–5224. [Google Scholar] [CrossRef] [PubMed]
- Hong, Z.; Cameron, C.E.; Walker, M.P.; Castro, C.; Yao, N.; Lau, J.Y.N.; Zhong, W. A Novel Mechanism to Ensure Terminal Initiation by Hepatitis C Virus NS5B Polymerase. Virology 2001, 285, 6–11. [Google Scholar] [CrossRef] [PubMed]
- Wildman, S.A.; Crippen, G.M. Prediction of Physicochemical Parameters by Atomic Contributions. J. Chem. Inf. Comput. Sci. 1999, 39, 868–873. [Google Scholar] [CrossRef]
- Daina, A.; Michielin, O.; Zoete, V. SwissADME: A Free Web Tool to Evaluate Pharmacokinetics, Drug-Likeness and Medicinal Chemistry Friendliness of Small Molecules. Sci. Rep. 2017, 7, 42717. [Google Scholar] [CrossRef]
- Delaney, J.S. ESOL: Estimating Aqueous Solubility Directly from Molecular Structure. J. Chem. Inf. Comput. Sci. 2004, 44, 1000–1005. [Google Scholar] [CrossRef]
- Baqi, Y.; Müller, C.E. Catalyst-Free Microwave-Assisted Amination of 2-Chloro-5-Nitrobenzoic Acid. J. Org. Chem. 2007, 72, 5908–5911. [Google Scholar] [CrossRef]
- Lan, C.; Xia, Z.-N.; Li, Z.-H.; Liang, R.-H. Metal Catalyst-Free Amination of 2-Chloro-5-Nitrobenzoic Acid in Superheated Water. J. Chem. Res. 2012, 36, 726–728. [Google Scholar] [CrossRef]
- Day, M.; Peters, A.T. The Synthesis and Ultraviolet Spectra of Nitrodiphenylamine Disperse Dyes II—The Synthesis of Some Substituted 2- and 4-Nitrodiphenylamines. J. Soc. Dye. Colour. 1967, 83, 137–143. [Google Scholar] [CrossRef]
- Kosáry, J.; Szabó, I.K.; Kasztreiner, E. Synthesis and Biological Activity of 2,5-Diaminobenzoic Acids Stimulating the Biosynthesis of Prostaglandins. Pharmazie 1982, 37, 484–486. [Google Scholar]
- Vrolijk, J.M.; Kaul, A.; Hansen, B.E.; Lohmann, V.; Haagmans, B.L.; Schalm, S.W.; Bartenschlager, R. A Replicon-Based Bioassay for the Measurement of Interferons in Patients with Chronic Hepatitis C. J. Virol. Methods 2003, 110, 201–209. [Google Scholar] [CrossRef]
- Giannakopoulou, E.; Pardali, V.; Frakolaki, E.; Siozos, V.; Myrianthopoulos, V.; Mikros, E.; Taylor, M.C.; Kelly, J.M.; Vassilaki, N.; Zoidis, G. Scaffold Hybridization Strategy towards Potent Hydroxamate-Based Inhibitors of Flaviviridae Viruses and Trypanosoma Species. Medchemcomm 2019, 10, 991–1006. [Google Scholar] [CrossRef] [PubMed]
- Saeed, M.; Scheel, T.K.H.; Gottwein, J.M.; Marukian, S.; Dustin, L.B.; Bukh, J.; Rice, C.M. Efficient Replication of Genotype 3a and 4a Hepatitis C Virus Replicons in Human Hepatoma Cells. Antimicrob. Agents Chemother. 2012, 56, 5365–5373. [Google Scholar] [CrossRef] [PubMed]
- Dufner-Beattie, J.; O’Guin, A.; O’Guin, S.; Briley, A.; Wang, B.; Balsarotti, J.; Roth, R.; Starkey, G.; Slomczynska, U.; Noueiry, A.; et al. Identification of AP80978, a Novel Small-Molecule Inhibitor of Hepatitis C Virus Replication That Targets NS4B. Antimicrob. Agents Chemother. 2014, 58, 3399–3410. [Google Scholar] [CrossRef] [PubMed][Green Version]
- Vassilaki, N.; Boleti, H.; Mavromara, P. Expression Studies of the Core+1 Protein of the Hepatitis C Virus 1a in Mammalian Cells. FEBS J. 2007, 274, 4057–4074. [Google Scholar] [CrossRef]
- Greenwood, J.R.; Calkins, D.; Sullivan, A.P.; Shelley, J.C. Towards the Comprehensive, Rapid, and Accurate Prediction of the Favorable Tautomeric States of Drug-like Molecules in Aqueous Solution. J. Comput. Aided. Mol. Des. 2010, 24, 591–604. [Google Scholar] [CrossRef]
- Shelley, J.C.; Cholleti, A.; Frye, L.L.; Greenwood, J.R.; Timlin, M.R.; Uchimaya, M. Epik: A Software Program for PK a Prediction and Protonation State Generation for Drug-like Molecules. J. Comput. Aided. Mol. Des. 2007, 21, 681–691. [Google Scholar] [CrossRef]
- Buckle, D.R.; Smith, H. An Improved Synthesis of Substituted Benzoyl Acetates. J. Chem. Soc. C Org. 1971, 2821, 2821–2823. [Google Scholar] [CrossRef]
- Mistry, R.N.; Desai, K.R. Studies on Synthesis of Some Novel Heterocyclic Azlactone Derivatives and Imidazolinone Derivatives and Their Antimicrobial Activity. E-Journal Chem. 2005, 2, 42–51. [Google Scholar] [CrossRef]
- 2017 Reaction of Cinnamic Acid Chloride with Ammonia to Cinnamic Acid Amide. Available online: https://www.oc-praktikum.de/nop/en/instructions/pdf/2017_en.pdf (accessed on 13 October 2021).
- Rad-Moghadam, K.; Khajavi, M.S. One-Pot Synthesis of Substituted Quinazolin-4(3H)-Ones under Microwave Irradiation. J. Chem. Res. 1998, 4, 702–703. [Google Scholar] [CrossRef]
- Wang, Y.; Zhang, M.; Cao, S.; Lin, H.; Gao, M.; Li, Z. Synthesis of 1-Substituted 4(1 H)-Quinazolinones Under Solvent-Free Conditions. Synth. Commun. 2012, 42, 2715–2727. [Google Scholar] [CrossRef]
- Cao, S.-L.; Zhang, M.; Feng, Y.-P.; Jiang, Y.-Y.; Zhang, N. Synthesis of 3-Aryl-4(3 H)-Quinazolinones from Anthranilic Acids and Triethyl Orthoformate. Synth. Commun. 2008, 38, 2227–2236. [Google Scholar] [CrossRef]
- Srinivasa Reddy, B.; Naidu, A.; Dubey, P.K. PEG-600-Mediated, Green and Efficient, Tandem Syntheses of N-Subtituted-2-Styrylquinazolin-4-Ones. Green Chem. Lett. Rev. 2013, 6, 254–261. [Google Scholar] [CrossRef]
- Bellamy, F.D.; Ou, K. Selective Reduction of Aromatic Nitro Compounds with Stannous Chloride in Non Acidic and Non Aqueous Medium. Tetrahedron Lett. 1984, 25, 839–842. [Google Scholar] [CrossRef]
- Xia, S.; Wang, L.Y.; Sun, H.Z.; Yue, H.; Wang, X.H.; Tan, J.L.; Wang, Y.; Hou, D.; He, X.Y.; Mun, K.C.; et al. Synthesis of N-Azaaryl Anilines: An Efficient Protocol via Smiles Rearrangement. Bull. Korean Chem. Soc. 2013, 34, 394–398. [Google Scholar] [CrossRef][Green Version]
- Praveen Kumar Darsi, S.S.; Nagamani, K.S.; Rama Devi, B.; Naidu, A.; Dubey, P.K. Studies on N-Acetylation of Anilines with Acetyl Chloride Using Phase Transfer Catalysts in Different Solvents. Der Pharma Chem. 2011, 3, 35–38. [Google Scholar]
- Friesner, R.A.; Murphy, R.B.; Repasky, M.P.; Frye, L.L.; Greenwood, J.R.; Halgren, T.A.; Sanschagrin, P.C.; Mainz, D.T. Extra Precision Glide: Docking and Scoring Incorporating a Model of Hydrophobic Enclosure for Protein−Ligand Complexes. J. Med. Chem. 2006, 49, 6177–6196. [Google Scholar] [CrossRef]
- Halgren, T.A.; Murphy, R.B.; Friesner, R.A.; Beard, H.S.; Frye, L.L.; Pollard, W.T.; Banks, J.L. Glide: A New Approach for Rapid, Accurate Docking and Scoring. 2. Enrichment Factors in Database Screening. J. Med. Chem. 2004, 47, 1750–1759. [Google Scholar] [CrossRef]
- Friesner, R.A.; Banks, J.L.; Murphy, R.B.; Halgren, T.A.; Klicic, J.J.; Mainz, D.T.; Repasky, M.P.; Knoll, E.H.; Shelley, M.; Perry, J.K.; et al. Glide: A New Approach for Rapid, Accurate Docking and Scoring. 1. Method and Assessment of Docking Accuracy. J. Med. Chem. 2004, 47, 1739–1749. [Google Scholar] [CrossRef]
- Madhavi Sastry, G.; Adzhigirey, M.; Day, T.; Annabhimoju, R.; Sherman, W. Protein and Ligand Preparation: Parameters, Protocols, and Influence on Virtual Screening Enrichments. J. Comput. Aided. Mol. Des. 2013, 27, 221–234. [Google Scholar] [CrossRef]
- Farid, R.; Day, T.; Friesner, R.A.; Pearlstein, R.A. New Insights about HERG Blockade Obtained from Protein Modeling, Potential Energy Mapping, and Docking Studies. Bioorg. Med. Chem. 2006, 14, 3160–3173. [Google Scholar] [CrossRef]
- Sherman, W.; Beard, H.S.; Farid, R. Use of an Induced Fit Receptor Structure in Virtual Screening. Chem. Biol. Drug Des. 2006, 67, 83–84. [Google Scholar] [CrossRef] [PubMed]
- Sherman, W.; Day, T.; Jacobson, M.P.; Friesner, R.A.; Farid, R. Novel Procedure for Modeling Ligand/Receptor Induced Fit Effects. J. Med. Chem. 2006, 49, 534–553. [Google Scholar] [CrossRef] [PubMed]
- Jacobson, M.P.; Pincus, D.L.; Rapp, C.S.; Day, T.J.F.; Honig, B.; Shaw, D.E.; Friesner, R.A. A Hierarchical Approach to All-Atom Protein Loop Prediction. Proteins Struct. Funct. Bioinforma. 2004, 55, 351–367. [Google Scholar] [CrossRef] [PubMed]
- Jacobson, M.P.; Friesner, R.A.; Xiang, Z.; Honig, B. On the Role of the Crystal Environment in Determining Protein Side-Chain Conformations. J. Mol. Biol. 2002, 320, 597–608. [Google Scholar] [CrossRef] [PubMed]














| Compound | EC50 (μΜ) | ClogP a | Log S b |
|---|---|---|---|
| I | - | 6.67 | −5.77 |
| II | 0.026 c | 5.49 | −5.88 |
| III | - | 2.97 | −4.35 |
| IV | - | 5.68 | −5.68 |
| V | >30 d | 5.18 | −5.10 |
| VI | 0.095 d | 7.31 | −6.00 |
| VII | 0.38 d | 8.09 | −6.02 |
| VIII | 0.31 d | 9.15 | −6.84 |
| HCV Replicon 1b | HCV Replicon 3a | HCV Replicon 4a | |||||
|---|---|---|---|---|---|---|---|
| Code | CC50 (μΜ) | EC50 (μΜ) | SI | EC50 (μΜ) | SI | EC50 (μΜ) | SI |
| 1a | >200 | >10 | - | >10 | - | >10 | - |
| 1b | >200 | >10 | - | >10 | - | >10 | - |
| 3a | 70.69 ± 0.04 | >10 | - | >10 | - | >10 | - |
| 3b | 161.3 ± 0.07 | >10 | - | >10 | - | >10 | - |
| 4a | >200 | >10 | - | >10 | - | >10 | - |
| 4b | 64.9 ± 0.03 | >10 | - | >10 | - | >10 | - |
| 5a | >200 | 9.84 ± 0.57 | >20.32 | >10 | - | >10 | - |
| 5b | >200 | >10 | - | >10 | - | >10 | - |
| 6a | 104.2 ± 0.03 | >10 | - | >10 | - | >10 | - |
| 6b | 143.3 ± 14.24 | >10 | - | >10 | - | >10 | - |
| 8a | >200 | >10 | - | >10 | - | >10 | - |
| 8b | 151.1 ± 5.41 | >10 | - | >10 | - | >10 | - |
| 9a | >200 | >10 | - | >10 | - | >10 | - |
| 9b | >200 | >10 | - | >10 | - | >10 | - |
| 10a | 87.47 ± 0.24 | >10 | - | >10 | - | >10 | - |
| 10b | 177.2 ± 0.03 | >10 | - | >10 | - | >10 | - |
| 7a | 84.67 ± 13.96 | >10 | - | >10 | - | >10 | - |
| 7b | 154.3 ± 3.71 | >10 | - | >10 | - | >10 | - |
| 7c | 75.22 ± 9.24 | >10 | - | >10 | - | >10 | - |
| 7d | 50.13 ± 1.77 | >10 | - | >10 | - | >10 | - |
| 7e | 47.6 ± 5.56 | >10 | - | >10 | - | >10 | - |
| 7f | 105.4 ± 10.30 | >10 | - | >10 | - | >10 | - |
| 11a | 157.5 ± 0.03 | 0.98 ± 0.06 | 160.71 | >10 | - | >10 | - |
| 11b | 99.01 ± 0.09 | 1.38 ± 0.04 | 71.75 | 11.65 ± 1.26 | 8.5 | >10 | - |
| 11c | >200 | >10 | - | >10 | - | >10 | - |
| 11d | 22.7 ± 2.23 | >1 | - | >10 | - | >10 | - |
| 11e | 36.6 ± 4.19 | 6.24 ± 0.04 | 5.86 | 8.4 ± 0.15 | 4.36 | 15.21 ± 0.29 | 2.4 |
| 11f | 27.4 ± 2.71 | >1 | - | >10 | - | >10 | - |
| Daclatasvir | 17.7 | 26.6 × 10−6 ± 4.6 × 10−6 | 680,769.23 | 21.2 × 10−6 ± 3.1 × 10−7 | 2120.27 | 0.008 ± 0.001 | 835,299.67 |
| Compound | Docking | RMSD | MMGBSA ΔGbind (kcal/mol) | Glide XP Score | IFD Score |
|---|---|---|---|---|---|
| IX (redock) | Rigid | 0.5425 a | −88.83 | −10.098 | - |
| VIII (crossdock) | Rigid | 1.5999 b | −82.11 | −9.296 | - |
| IX (redock) | Induced fit | 1.2336 a | −92.19 | −10.461 | −1171.83 |
| VIII (crossdock) | Induced fit | 1.6153 b | −92.37 | −10.126 | −1171.50 |
| 11a | Induced fit | 2.6138 c | −69.86 | −6.349 | −1167.50 |
| 11b | Induced fit | 2.6174 c | −71.65 | −7.311 | −1168.47 |
| 11c | Induced fit | 2.5848 c | −60.81 | −5.414 | −1167.01 |
| 11d | Induced fit | 2.2737 c | −59.60 | −6.497 | −1167.61 |
| 11e | Induced fit | 2.2734 c | −61.18 | −5.765 | −1166.87 |
| 11f | Induced fit | 1.2665 c | −61.90 | −5.091 | −1166.04 |
| Compounds | ClogP a | Log S b | Compounds | ClogP | Log S | Compounds | ClogP | Log S |
|---|---|---|---|---|---|---|---|---|
| 1a | 3.04 | −4.52 | 7b | 3.87 | −5.01 | 11a | 3.83 | −4.78 |
| 1b | 3.35 | −4.68 | 7c | 4.17 | −5.31 | 11b | 4.17 | −5.07 |
| 3a | 3.22 | −4.57 | 7d | 3.83 | −5.01 | 11c | 4.48 | −5.37 |
| 3b | 3.53 | −4.73 | 7e | 4.17 | −5.31 | 11d | 4.14 | −5.08 |
| 4a | 2.29 | −3.39 | 7f | 4.48 | −5.61 | 11e | 4.48 | −5.37 |
| 4b | 2.6 | −3.68 | 8a | 2.6 | −3.44 | 11f | 4.79 | −5.67 |
| 5a | 1.98 | −3.02 | 8b | 2.91 | −3.73 | IX | 9.29 | −7.22 |
| 5b | 2.28 | −3.30 | 9a | 2.28 | −3.06 | |||
| 6a | 2.37 | −3.47 | 9b | 2.59 | −3.35 | |||
| 6b | 2.68 | −3.77 | 10a | 2.68 | −3.53 | |||
| 7a | 3.52 | −4.72 | 10b | 2.99 | −3.83 |
Publisher’s Note: MDPI stays neutral with regard to jurisdictional claims in published maps and institutional affiliations. |
© 2022 by the authors. Licensee MDPI, Basel, Switzerland. This article is an open access article distributed under the terms and conditions of the Creative Commons Attribution (CC BY) license (https://creativecommons.org/licenses/by/4.0/).
Share and Cite
Nasr, T.; Aboshanab, A.M.; Mpekoulis, G.; Drakopoulos, A.; Vassilaki, N.; Zoidis, G.; Abouzid, K.A.M.; Zaghary, W. Novel 6-Aminoquinazolinone Derivatives as Potential Cross GT1-4 HCV NS5B Inhibitors. Viruses 2022, 14, 2767. https://doi.org/10.3390/v14122767
Nasr T, Aboshanab AM, Mpekoulis G, Drakopoulos A, Vassilaki N, Zoidis G, Abouzid KAM, Zaghary W. Novel 6-Aminoquinazolinone Derivatives as Potential Cross GT1-4 HCV NS5B Inhibitors. Viruses. 2022; 14(12):2767. https://doi.org/10.3390/v14122767
Chicago/Turabian StyleNasr, Tamer, Ahmed M. Aboshanab, George Mpekoulis, Antonios Drakopoulos, Niki Vassilaki, Grigoris Zoidis, Khaled A. M. Abouzid, and Wafaa Zaghary. 2022. "Novel 6-Aminoquinazolinone Derivatives as Potential Cross GT1-4 HCV NS5B Inhibitors" Viruses 14, no. 12: 2767. https://doi.org/10.3390/v14122767
APA StyleNasr, T., Aboshanab, A. M., Mpekoulis, G., Drakopoulos, A., Vassilaki, N., Zoidis, G., Abouzid, K. A. M., & Zaghary, W. (2022). Novel 6-Aminoquinazolinone Derivatives as Potential Cross GT1-4 HCV NS5B Inhibitors. Viruses, 14(12), 2767. https://doi.org/10.3390/v14122767

