Frontline Screening for SARS-CoV-2 Infection at Emergency Department Admission by Third Generation Rapid Antigen Test: Can We Spare RT-qPCR?
Abstract
1. Introduction
2. Materials and Methods
2.1. Study Population
2.2. SARS-CoV-2 Load and Subgenomic RNA Quantification
2.3. Statistics
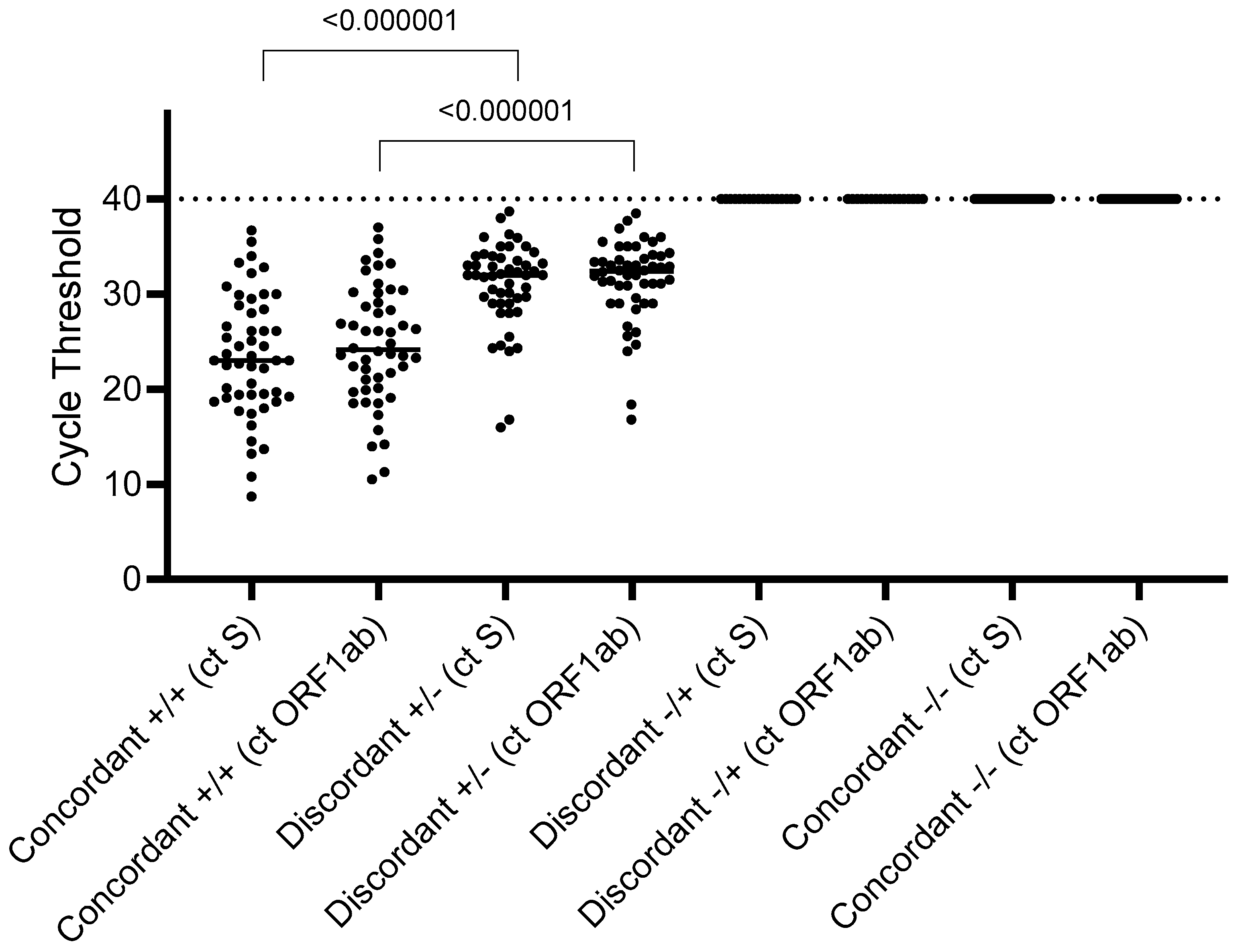
3. Results
3.1. Characteristics of the Study Population
3.2. POC-Test LumiraDx Assay Performance
3.3. Viral Load and Subgenomic RNA
4. Discussion
Supplementary Materials
Author Contributions
Funding
Institutional Review Board Statement
Informed Consent Statement
Data Availability Statement
Acknowledgments
Conflicts of Interest
References
- Bundesministerium für Soziales Gesundheit Pflege und Konsumentenschutz (BMSGMPK). Österreichische Teststrategie SARS-CoV-2; Bundesministerium für Soziales, Gesundheit, Pflege und Konsumentenschutz: Wien, Austria, 2020; Available online: https://www.sozialministerium.at/Informationen-zum-Coronavirus/Neuartiges-Coronavirus-(2019-nCov).html (accessed on 2 February 2020).
- Haute Autorité de Santé (HAS). Revue Rapide sur les Tests de Détection Antigénique du Virus SARS-CoV-2: HAS. 2020. Available online: https://www.has-sante.fr/jcms/p_3213483/fr/revue-rapide-sur-les-tests-de-detection-antigenique-du-virus-sars-cov-2 (accessed on 2 February 2021).
- Ministero della Salute (MS). Aggiornamento della Definizione di Caso COVID-19 e Strategie di Testing. 2021. Available online: https://www.trovanorme.salute.gov.it/norme/renderNormsanPdf?anno=2021&codLeg=78155&parte=1%20&serie=null (accessed on 2 February 2021).
- Rijskinstituut voor Volksgmezondheid en Milieu (RIVM). Advies Antigeen(snel)testen: Government of the Netherlands. 2020. Available online: https://www.rijksoverheid.nl/onderwerpen/coronavirus-covid-19/documenten/rapporten/2020/10/14/advies-antigeensneltesten (accessed on 2 February 2021).
- Robert Koch Institut (RKI). Nationale Teststrategie SARS-CoV-2; RKI: Berlin, Germany, 2020; Available online: https://www.rki.de/DE/Content/InfAZ/N/Neuartiges_Coronavirus/Teststrategie/Nat-Teststrat.html (accessed on 2 February 2021).
- Servicio Nacional de Saude (SNS). Estratégia Nacional de Testes para SARS-CoV-2; Governo da República Portuguesa—Ministério da Saúde: Lisboa, Portugal, 2020. Available online: http://www.insa.min-saude.pt/covid-19-estrategia-nacional-de-testes-para-sars-cov-2 (accessed on 2 February 2021).
- Pavelka, M.; Van-Zandvoort, K.; Abbott, S.; Sherratt, K.; Majdan, M.; CMMID COVID-19 Working Group; Inštitút Zdravotných Analýz; Jarčuška, P.; Krajčí, M.; Flasche, S.; et al. The impact of population-wide rapid antigen testing on SARS-CoV-2 prevalence in Slovakia. Science 2021, 23, eabf9648. [Google Scholar]
- European Center for Disease Prevention and Control (ECDC). Options for the Use of Rapid Antigen Tests for COVID-19 in the EU/EEA and the UK. 2020. Available online: https://www.ecdc.europa.eu/sites/default/files/documents/Options-use-of-rapid-antigen-tests-for-COVID-19.pdf (accessed on 2 February 2021).
- Strömer, A.; Rose, R.; Schäfer, M.; Schön, F.; Vollersen, A.; Lorentz, T.; Fickenscher, H.; Krumbholz, A. Performance of a Point-of-Care Test for the Rapid Detection of SARS-CoV-2 Antigen. Microorganisms 2020, 9, 58. [Google Scholar] [CrossRef]
- Lambert-Niclot, S.; Cuffel, A.; Le Pape, S.; Vauloup-Fellous, C.; Morand-Joubert, L.; Roque-Afonso, A.M.; Le Goff, J.; Delaugerre, C. Evaluation of a Rapid Diagnostic Assay for Detection of SARS-CoV-2 Antigen in Nasopharyngeal Swabs. J. Clin. Microbiol. 2020, 58, e00977-20. [Google Scholar] [CrossRef]
- Scohy, A.; Anantharajah, A.; Bodeus, M.; Kabamba-Mukadi, B.; Verroken, A.; Rodriguez-Villalobos, H. Low performance of rapid antigen detection test as frontline testing for COVID-19 diagnosis. J. Clin. Virol. 2020, 129, 104455. [Google Scholar] [CrossRef]
- Linares, M.; Perez-Tanoira, R.; Carrero, A.; Romanyk, J.; Perez-Garcia, F.; Gomez-Herruz, P.; Arroyo, T.; Cuadros, J. Panbio antigen rapid test is reliable to diagnose SARS-CoV-2 infection in the first 7 days after the onset of symptoms. J. Clin. Virol. 2020, 133, 104659. [Google Scholar] [CrossRef] [PubMed]
- Drain, P.K.; Ampajwala, M.; Chappel, C.; Gvozden, A.B.; Hoppers, M.; Wang, M.; Rosen, R.; Young, S.; Zissman, E.; Montano, M. A rapid, high-sensitivity SARS-CoV-2 nucleocapsid immunoassay to aid diagnosis of acute COVID-19 at the point of care. Infect. Dis. Ther. 2021. [Google Scholar] [CrossRef]
- Kohmer, N.; Toptan, T.; Pallas, C.; Karaca, O.; Pfeiffer, A.; Westhaus, S.; Widera, M.; Berger, A.; Hoehl, S.; Kammel, M.; et al. The Comparative Clinical Performance of Four SARS-CoV-2 Rapid Antigen Tests and Their Correlation to Infectivity In Vitro. J. Clin. Med. 2021, 10, 328. [Google Scholar] [CrossRef] [PubMed]
- World Health Organization (WHO). Coronavirus disease (COVID-19) Pandemic—Emergency Use Listing Procedure (EUL) Open for In Vitro Diagnostics. 2020. Available online: https://www.who.int/diagnostics_laboratory/EUL/en (accessed on 2 February 2021).
- US Centers for Disease Control and Prevention (CDC). Interim Guidance for Rapid Antigen Testing for SARS-CoV-2; CDC: Atlanta, GA, USA, 2020. Available online: https://www.cdc.gov/coronavirus/2019-ncov/lab/resources/antigen-tests-guidelines.html (accessed on 2 February 2021).
- Wolfel, R.; Corman, V.M.; Guggemos, W.; Seilmaier, M.; Zange, S.; Muller, M.A.; Niemeyer, D.; Jones, T.C.; Vollmar, P.; Rothe, C.; et al. Virological assessment of hospitalized patients with COVID-2019. Nature 2020, 581, 465–469. [Google Scholar] [CrossRef] [PubMed]
- WHO. Clinical Management of COVID-19. 2020. Available online: https://www.who.int/publications/i/item/clinical-management-of-covid-19 (accessed on 12 January 2021).
- Alteri, C.; Cento, V.; Antonello, M.; Colagrossi, L.; Merli, M.; Ughi, N.; Renica, S.; Matarazzo, E.; Di Ruscio, F.; Tartaglione, L.; et al. Detection and quantification of SARS-CoV-2 by droplet digital PCR in real-time PCR negative nasopharyngeal swabs from suspected COVID-19 patients. PLoS ONE 2020, 15, e0236311. [Google Scholar] [CrossRef] [PubMed]
- Liotti, F.M.; Menchinelli, G.; Marchetti, S.; Posteraro, B.; Landi, F.; Sanguinetti, M.; Cattani, P. Assessment of SARS-CoV-2 RNA Test Results Among Patients Who Recovered From COVID-19 With Prior Negative Results. J. Am. Med. Assoc. 2020. [Google Scholar] [CrossRef]
- Agarwal, V.; Venkatakrishnan, A.J.; Puranik, A.; Kirkup, C.; Lopez-Marquez, A.; Challener, D.W.; Theel, E.S.; O’Horo, J.C.; Binnicker, M.J.; Kremers, W.K.; et al. Long-term SARS-CoV-2 RNA shedding and its temporal association to IgG seropositivity. Cell Death Discov. 2020, 6, 138. [Google Scholar] [CrossRef]
- FIND. SARS-CoV-2 Diagnostic Pipeline. 2021. Available online: https://www.finddx.org/covid-19/pipeline/?avance=Commercialized&type=Rapid+diagnostic+tests&test_target=Antigen&status=all§ion=immunoassays&action=default#diag_tab (accessed on 3 February 2021).
- Mak, G.C.; Lau, S.S.; Wong, K.K.; Chow, N.L.; Lau, C.S.; Lam, E.T.; Chan, R.C.; Tsang, D.N. Analytical sensitivity and clinical sensitivity of the three rapid antigen detection kits for detection of SARS-CoV-2 virus. J. Clin. Virol. 2020, 133, 104684. [Google Scholar] [CrossRef]
- Cerutti, F.; Burdino, E.; Milia, M.G.; Allice, T.; Gregori, G.; Bruzzone, B.; Ghisetti, V. Urgent need of rapid tests for SARS CoV-2 antigen detection: Evaluation of the SD-Biosensor antigen test for SARS-CoV-2. J. Clin. Virol. 2020, 132, 104654. [Google Scholar] [CrossRef] [PubMed]
- Porte, L.; Legarraga, P.; Vollrath, V.; Aguilera, X.; Munita, J.M.; Araos, R.; Pizarro, G.; Vial, P.; Iruretagoyena, M.; Dittrich, S.; et al. Evaluation of a novel antigen-based rapid detection test for the diagnosis of SARS-CoV-2 in respiratory samples. Int. J. Infect. Dis. 2020, 99, 328–333. [Google Scholar] [CrossRef] [PubMed]
- Toptan, T.; Eckermann, L.; Pfeiffer, A.E.; Hoehl, S.; Ciesek, S.; Drosten, C.; Corman, V.M. Evaluation of a SARS-CoV-2 rapid antigen test: Potential to help reduce community spread? J. Clin. Virol. 2020, 135, 104713. [Google Scholar] [CrossRef] [PubMed]
- ABL. LumiraDx SARS-CoV-2 Ag Test Specifications. 2020. Available online: https://www.lumiradx.com/uk-en/what-we-do/diagnostics/test-technology/antigen-test (accessed on 5 February 2021).
- Perera, R.; Tso, E.; Tsang, O.T.Y.; Tsang, D.N.C.; Fung, K.; Leung, Y.W.Y.; Chin, A.W.H.; Chu, D.K.W.; Cheng, S.M.S.; Poon, L.L.M.; et al. SARS-CoV-2 Virus Culture and Subgenomic RNA for Respiratory Specimens from Patients with Mild Coronavirus Disease. Emerg. Infect. Dis. 2020, 26, 2701–2704. [Google Scholar] [CrossRef] [PubMed]
- Ford, L.; Lee, C.; Pray, I.W.; Cole, D.; Bigouette, J.P.; Abedi, G.R.; Bushman, D.; Delahoy, M.J.; Currie, D.W.; Cherney, B.; et al. Epidemiologic characteristics associated with SARS-CoV-2 antigen-based test results, rRT-PCR cycle threshold values, subgenomic RNA, and viral culture results from university testing. Clin. Infect. Dis. 2021. [Google Scholar] [CrossRef] [PubMed]
- La Scola, B.; Le Bideau, M.; Andreani, J.; Hoang, V.T.; Grimaldier, C.; Colson, P.; Gautret, P.; Raoult, D. Viral RNA load as determined by cell culture as a management tool for discharge of SARS-CoV-2 patients from infectious disease wards. Eur. J. Clin. Microbiol. Infect. Dis. 2020, 39, 1059–1061. [Google Scholar] [CrossRef] [PubMed]
- Corbett, K.S.; Flynn, B.; Foulds, K.E.; Francica, J.R.; Boyoglu-Barnum, S.; Werner, A.P.; Flach, B.; O’Connell, S.; Bock, K.W.; Minai, M.; et al. Evaluation of the mRNA-1273 Vaccine against SARS-CoV-2 in Nonhuman Primates. N. Engl. J. Med. 2020, 383, 1544–1555. [Google Scholar] [CrossRef] [PubMed]
- van Doremalen, N.; Lambe, T.; Spencer, A.; Belij-Rammerstorfer, S.; Purushotham, J.N.; Port, J.R.; Avanzato, V.A.; Bushmaker, T.; Flaxman, A.; Ulaszewska, M.; et al. ChAdOx1 nCoV-19 vaccine prevents SARS-CoV-2 pneumonia in rhesus macaques. Nature 2020, 586, 578–582. [Google Scholar] [CrossRef] [PubMed]
- Yu, J.; Tostanoski, L.H.; Peter, L.; Mercado, N.B.; McMahan, K.; Mahrokhian, S.H.; Nkolola, J.P.; Liu, J.; Li, Z.; Chandrashekar, A.; et al. DNA vaccine protection against SARS-CoV-2 in rhesus macaques. Science 2020, 369, 806–811. [Google Scholar] [CrossRef] [PubMed]
- Sola, I.; Almazan, F.; Zuniga, S.; Enjuanes, L. Continuous and Discontinuous RNA Synthesis in Coronaviruses. Annu. Rev. Virol. 2020, 2, 265–288. [Google Scholar] [CrossRef] [PubMed]


| Overall, n = 960 | Combined Results of RT-qPCR and LumiraDx Test | p-Value | ||||
|---|---|---|---|---|---|---|
| Concordant +/+, n = 297 | Discordant, +/−, n = 50 | Concordant −/−, n = 596 | Discordant, −/+, n = 17 | |||
| Demographics and clinical characteristics | ||||||
| Age, years | 66 (45–79) | 66 (51–80) | 53 (40–68) | 63 (41–79) | 60 (46–72) | 0.0003 |
| Sex | ||||||
| Male | 555 (57.8) | 189 (63.6) | 37 (74.0) | 317 (53.2) | 12 (70.6) | 0.102 |
| COVID-19-related symptoms a | ||||||
| Fever | 104 (59.1) | 76 (58.0) | 28 (60.9) | - | - | 0.458 |
| Cough | 99 (56.3) | 74 (56.9) | 25 (54.3) | - | - | 0.447 |
| Dyspnea | 162 (92.0) | 130 (100.0) | 32 (69.6) | - | - | <0.000001 |
| COVID-19 manifestation b | ||||||
| Critical or Severe | 59 (33.5) | 43 (33.1) | 16 (27.1) | - | - | 0.485 |
| Moderate | 103 (58.5) | 87 (66.9) | 16 (34.8) | - | - | 0.00015 |
| Mild | 14 (8.0) | 0 (0.0) | 14 (30.4) | - | - | <0.000001 |
| Time from symptoms onset to SARS-CoV-2 diagnosis c, days | 6 (4–7) | 5 (4–6) | 7 (7–10) | - | - | 0.000002 |
| SARS-CoV-2 RT-qPCR | ||||||
| ORF1ab cycle threshold | 40 (40–40) | 23.1 (18.6–27.2) | 32.4 (29.6–34.0) | n.d. 40 (40–40) | n.d. 40 (40–40) | <0.000001 |
| S cycle threshold | 40 (40–40) | 22.1 (17.7–26.1) | 32.0 (29.0–33.8) | n.d. 40 (40–40) | n.d. 40 (40–40) | <0.000001 |
| Overall | RT-qPCR SARS-CoV-2 Results | ||
|---|---|---|---|
| Ct ≤ 29 | Ct > 29 | ||
| Sensitivity (CI 95%) | 0.85 (0.82–0.89) | 0.91 (0.86–0.95) | 0.34 (0.21–0.46) |
| Specificity (CI 95%) | 0.97 (0.96–0.98) | - | - |
| Positive Predictive Value (CI 95%) | 0.94 (0.92–0.97) | 0.88 (0.83–0.93) | 0.52 (0.36–0.69) |
| Negative Predictive Value (CI 95%) | 0.92 (0.90–0.94) | 0.98 (0.96–0.99) | 0.94 (0.92–0.96) |
Publisher’s Note: MDPI stays neutral with regard to jurisdictional claims in published maps and institutional affiliations. |
© 2021 by the authors. Licensee MDPI, Basel, Switzerland. This article is an open access article distributed under the terms and conditions of the Creative Commons Attribution (CC BY) license (https://creativecommons.org/licenses/by/4.0/).
Share and Cite
Cento, V.; Renica, S.; Matarazzo, E.; Antonello, M.; Colagrossi, L.; Di Ruscio, F.; Pani, A.; Fanti, D.; Vismara, C.; Puoti, M.; et al. Frontline Screening for SARS-CoV-2 Infection at Emergency Department Admission by Third Generation Rapid Antigen Test: Can We Spare RT-qPCR? Viruses 2021, 13, 818. https://doi.org/10.3390/v13050818
Cento V, Renica S, Matarazzo E, Antonello M, Colagrossi L, Di Ruscio F, Pani A, Fanti D, Vismara C, Puoti M, et al. Frontline Screening for SARS-CoV-2 Infection at Emergency Department Admission by Third Generation Rapid Antigen Test: Can We Spare RT-qPCR? Viruses. 2021; 13(5):818. https://doi.org/10.3390/v13050818
Chicago/Turabian StyleCento, Valeria, Silvia Renica, Elisa Matarazzo, Maria Antonello, Luna Colagrossi, Federica Di Ruscio, Arianna Pani, Diana Fanti, Chiara Vismara, Massimo Puoti, and et al. 2021. "Frontline Screening for SARS-CoV-2 Infection at Emergency Department Admission by Third Generation Rapid Antigen Test: Can We Spare RT-qPCR?" Viruses 13, no. 5: 818. https://doi.org/10.3390/v13050818
APA StyleCento, V., Renica, S., Matarazzo, E., Antonello, M., Colagrossi, L., Di Ruscio, F., Pani, A., Fanti, D., Vismara, C., Puoti, M., Scaglione, F., Perno, C. F., Alteri, C., & on behalf of the S.Co.Va Study Group. (2021). Frontline Screening for SARS-CoV-2 Infection at Emergency Department Admission by Third Generation Rapid Antigen Test: Can We Spare RT-qPCR? Viruses, 13(5), 818. https://doi.org/10.3390/v13050818

