Detection of Genotype-Specific Antibody Responses to Glycoproteins B and H in Primary and Non-Primary Human Cytomegalovirus Infections by Peptide-Based ELISA
Abstract
1. Introduction
2. Materials and Methods
2.1. Study Subjects
2.2. Extraction, Quantification and Real-Time PCR-Based Genotyping of HCMV DNA
2.3. Whole-Genome Sequencing Based Genotyping
2.4. Peptide-Based ELISA
3. Results
3.1. Selection of gB and gH Peptides for Detecting Genotype-Specific Antibodies
3.2. Genotypes of gB and gH in Subjects with Primary Infection
3.3. Genotype-Specific Peptide-Based ELISA in Seronegative Controls and Subjects with Primary HCMV Infection
3.4. PCR-Genotyping and Genotype-Specific Peptide-Based ELISA in Subjects with Non-Primary HCMV Infection
4. Discussion
Author Contributions
Funding
Institutional Review Board Statement
Informed Consent Statement
Data Availability Statement
Acknowledgments
Conflicts of Interest
References
- Kenneson, A.; Cannon, M.J. Review and meta-analysis of the epidemiology of congenital cytomegalovirus (CMV) infection. Rev. Med. Virol. 2007, 17, 253–276. [Google Scholar] [CrossRef]
- Revello, M.G.; Fabbri, E.; Furione, M.; Zavattoni, M.; Lilleri, D.; Tassis, B. Role of prenatal diagnosis and counseling in the management of 735 pregnancies complicated by primary human cytomegalovirus infection: A 20-year experience. J. Clin. Virol. 2011, 50, 303–307. [Google Scholar] [CrossRef]
- Revello, M.G.; Lazzarotto, T.; Guerra, B.; Spinillo, A.; Ferrazzi, E.; Kustermann, A.; Guaschino, S.; Vergani, P.; Todros, T.; Frusca, T.; et al. For the CHIP study group. A randomized trialofhyperimmune globulin to prevent congenital cytomegalovirus. N. Engl. J. Med. 2014, 370, 1316–1326. [Google Scholar] [CrossRef] [PubMed]
- Britt, W.J. Congenital human cytomegalovirus infection and the enigma of maternal immunity. J. Virol. 2017, 91, e02392-16. [Google Scholar] [CrossRef]
- Boppana, S.B.; Fowler, K.B.; Britt, W.J.; Stagno, S.; Pass, R.F. Symptomatic congenital cytomegalovirus infection in infants born to mothers with pre-existing immunity to cytomegalovirus. Pediatrics 1999, 104, 55–60. [Google Scholar] [CrossRef]
- Meyer, H.; Sundqvist, V.A.; Pereira, L.; Mach, M. Glycoprotein gpll6 of human cytomegalovirus contains epitopes for strain-common and strain-specific antibodies. J. Gen. Virol. 1992, 3, 2375–2383. [Google Scholar] [CrossRef] [PubMed]
- Urban, M.; Britt, W.; Mach, M. The Dominant Linear Neutralizing Antibody-Binding Site of Glycoprotein gp86 of Human Cytomegalovirus Is Strain Specific. J. Virol. 1992, 66, 1303–1311. [Google Scholar] [CrossRef] [PubMed]
- Boppana, S.B.; Rivera, L.B.; Fowler, K.B.; Mach, M.; Britt, W.J. Intrauterine transmission of cytomegalovirus to infants of women with preconceptional immunity. N. Engl. J. Med. 2001, 344, 1366–1371. [Google Scholar] [CrossRef] [PubMed]
- Novak, Z.; Ross, S.A.; Patro, R.K.; Pati, S.K.; Reddy, M.K.; Purser, M.; Britt, W.J.; Boppana, S.B. Enzyme-linked immunosorbent assay method for detection of cytomegalovirus strain-specific antibody responses. Clin. Vaccine Immunol. 2009, 16, 288–290. [Google Scholar] [CrossRef] [PubMed]
- Ross, S.A.; Arora, N.; Novak, Z.; Fowler, K.B.; Britt, W.J.; Boppana, S.B. Cytomegalovirus reinfections in healthy seroimmune women. J. Infect. Dis. 2010, 201, 386–389. [Google Scholar] [CrossRef] [PubMed]
- Yamamoto, A.Y.; Mussi-Pinhata, M.M.; Boppana, S.B.; Novak, Z.; Wagatsuma, V.M.; Oliveira Pde, F.; Duarte, G.; Britt, W.J. Human cytomegalovirus reinfection is associated with intrauterine transmission in a highly cytomegalovirus immune maternal population. Am. J. Obstet. Gynecol. 2010, 202, 297.e1–297.e8. [Google Scholar] [CrossRef]
- Suárez, N.M.; Wilkie, G.S.; Hage, E.; Camiolo, S.; Holton, M.; Hughes, J.; Maabar, M.; Vattipally, S.B.; Dhingra, A.; Gompels, U.A.; et al. Human Cytomegalovirus Genomes Sequenced Directly From Clinical Material: Variation, Multiple-Strain Infection, Recombination, and Gene Loss. J. Infect. Dis. 2019, 220, 781–791. [Google Scholar] [CrossRef]
- Revello, M.G.; Gerna, G. Diagnosis and management of human cytomegalovirus infection in the mother, fetus, and newborn infant. Clin. Microbiol. Rev. 2002, 15, 680–715. [Google Scholar] [CrossRef]
- Lilleri, D.; Gerna, G.; Furione, M.; Zavattoni, M.; Spinillo, A. Neutralizing and ELISA IgG antibodies to human cytomegalovirus glycoprotein complexes may help date the onset of primary infection in pregnancy. J. Clin. Virol. 2016, 81, 16–24. [Google Scholar] [CrossRef] [PubMed]
- De Vries, J.J.; Wessels, E.; Korver, A.M.; van der Eijk, A.A.; Rusman, L.G.; Kroes, A.C.; Vossen, A.C. Rapid genotyping of cytomegalovirus in dried blood spots by multiplex real-time PCR assays targeting the envelope glycoprotein gB and gH genes. J. Clin. Microbiol. 2012, 50, 232–237. [Google Scholar] [CrossRef][Green Version]
- Bankevich, A.; Nurk, S.; Antipov, D.; Gurevich, A.A.; Dvorkin, M.; Kulikov, A.S.; Lesin, V.M.; Nikolenko, S.I.; Pham, S.; Prjibelski, A.D.; et al. SPA des: A new genome assembly algorithm and its applications to single-cell sequencing. J. Comput. Biol. 2012, 19, 455–477. [Google Scholar] [CrossRef]
- Chou, S. Molecular epidemiology of envelope glycoprotein H of human cytomegalovirus. J. Infect. Dis. 1992, 166, 604–607. [Google Scholar] [CrossRef] [PubMed]
- Pötzsch, S.; Spindler, N.; Wiegers, A.-K.; Fisch, T.; Rücker, P.; Sticht, H.; Grieb, N.; Baroti, T.; Weisel, F.; Stamminger, T.; et al. B cell repertoire analysis identifies new antigenic domains on glycoprotein B of human cytomegalovirus which are target of neutralizing antibodies. PLoS Pathog. 2011, 7, e1002172. [Google Scholar] [CrossRef] [PubMed]
- Ishibashi, K.; Tokumoto, T.; Tanabe, K.; Shirakawa, H.; Hashimoto, K.; Kushida, N.; Yanagida, T.; Inoue, N.; Yamaguchi, O.; Toma, H.; et al. Association of the outcome of renal transplantation with antibody response to cytomegalovirus strain-specific glycoprotein H epitopes. Clin. Infect. Dis. 2007, 45, 60–67. [Google Scholar] [CrossRef]
- Chou, S.W.; Dennison, K.M. Analysis of interstrain variation in cytomegalovirus glycoprotein B sequences encoding neutralization-related epitopes. J. Infect. Dis. 1991, 163, 1229–1234. [Google Scholar] [CrossRef]
- Ayata, M.; Sugano, T.; Murayama, T.; Sakamuro, D.; Takegami, T.; Matsumoto, Y.; Furukawa, T. Different antibody response to a neutralizing epitope of human cytomegalovirus glycoprotein B among seropositive individuals. J. Med. Virol. 1994, 43, 386–392. [Google Scholar] [CrossRef]
- Schoppel, K.; Kropff, B.; Schmidt, C.; Vornhagen, R.; Mach, M. The humoral immune response against human cytomegalovirus is characterized by a delayed synthesis of glycoprotein-specific antibodies. J. Infect. Dis. 1997, 175, 533–544. [Google Scholar] [CrossRef]
- Grosjean, J.; Trapes, L.; Hantz, S.; Mengelle, C.; Virey, B.; Undreiner, F.; Messager, V.; Denis, F.; Marin, B.; Alain, S. Human cytomegalovirus quantification in toddlers saliva from day care centers and emergency unit: A feasibility study. J. Clin.Virol. 2014, 61, 371–377. [Google Scholar] [CrossRef]
- Foglierini, M.; Marcandalli, J.; Perez, L. HCMV Envelope Glycoprotein Diversity Demystified. Front. Microbiol. 2019, 10, 1005. [Google Scholar] [CrossRef]








| Subject | Specimen (Days after Infection) | HCMV Genotype | Serum Antibody Type | |||
|---|---|---|---|---|---|---|
| PCR-Genotyping | Whole HCMV Sequencing | gB | gH | gB | gH | |
| Primary infection | ||||||
| NP-038 | U (55), U (173) | gB1 | gH1 | n.d. | gH1 | |
| P-130 | S (87) | gB1 | gH1 | n.d. | gH1 | |
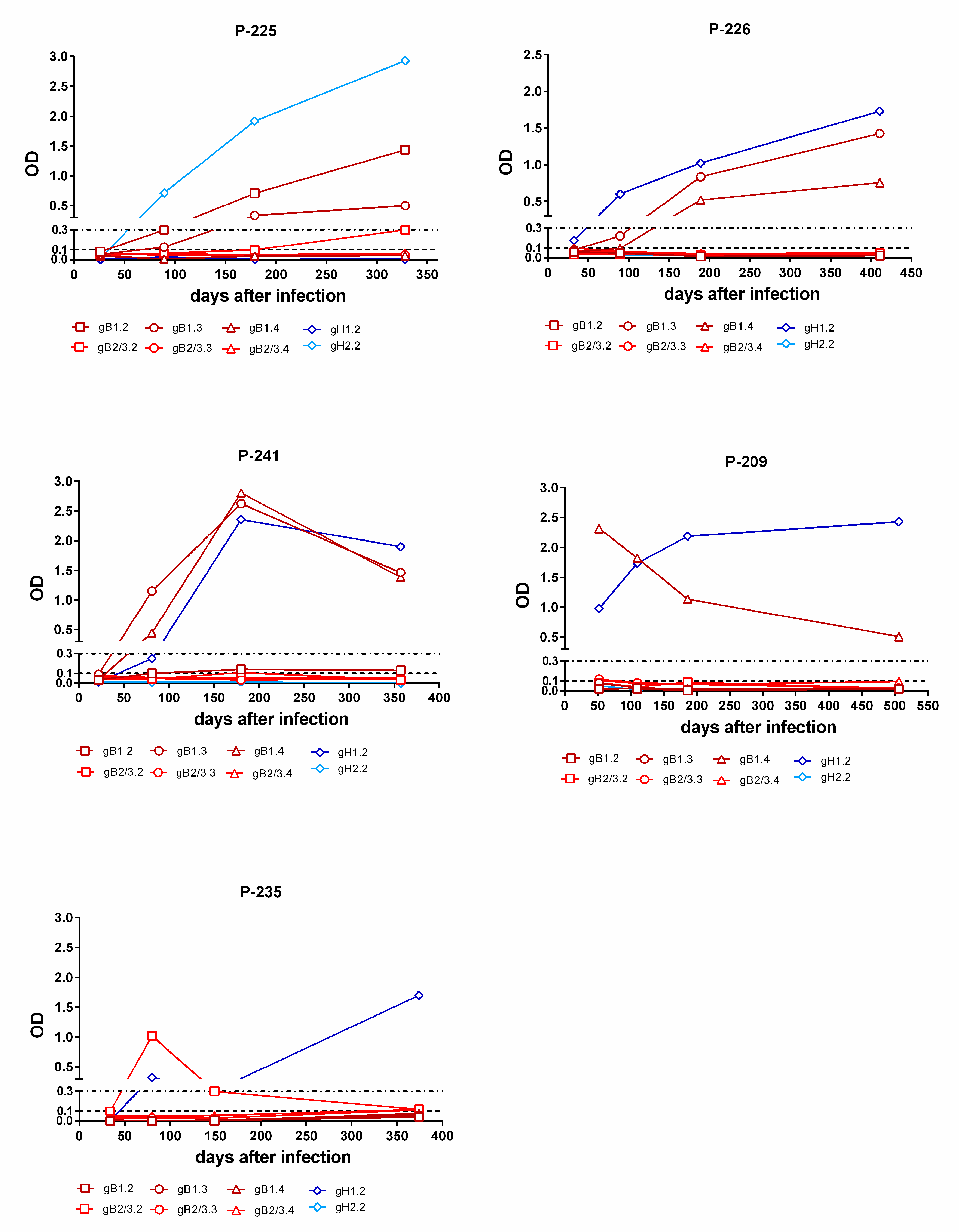
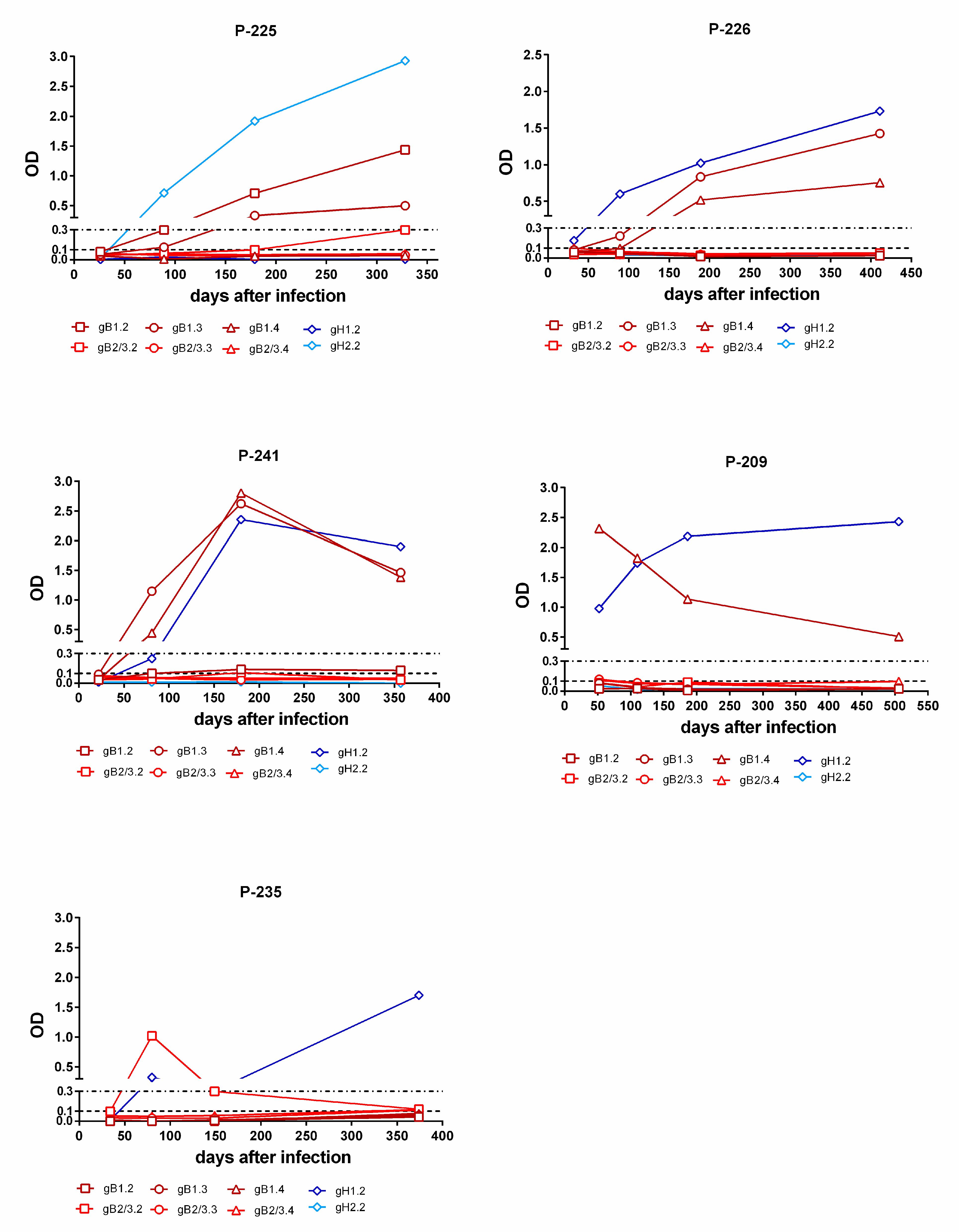
P-209![]() | U (52) | gB1 | gH1 | gB1 (gB5) | gH1 | |
P-223![]() | U (21), S (374) | gB1 | gH1 | gB1 (gB6) | gH1 | |
P-226![]() | U (32), U (189) | V (189) | gB1 | gH1 | gB1 (gB5, gB6, gB7) | gH1 |
P-232![]() | V (92), V (194), AF (120) | V (92), AF (120) | gB1 | gH1 | gB1 (gB6) | gH1 |
P-241![]() | V (54), U (357) | gB1 | gH1 | gB1 (gB4, gB6) | gH1 | |
| P-245 | V (77), U 359) | gB1 | gH1 | n.d. | gH1 | |
P-142![]() | U (38) | gB1 | gH2 | gB1 (gB5, gB6) | gH2 | |
P-225![]() | V (26), S (328), V (328) | V (26) | gB1 | gH2 | gB1 (gB5, gB6) | gH2 |
P-236![]() | V (85), U (340) | gB1 | gH2 | gB1 (gB6) | gH2 | |
P-083![]() | S (21) | B (21) | gB2/3 | gH1 | gB2/3 (gB4, gB7) | gH1 |
| P-218 | S (59) | S (21) | gB2/3 | gH1 | n.d. | gH1 |
| P-235 | V (34), U (374) | gB2/3 | gH1 | gB2/3 | gH1 | |
| P-237 | V (100), V (410) | gB2/3 | gH1 | n.d. | gH1 | |
P-053![]() | U (43) | gB2/3 | gH2 | gB2/3 (gB7) | n.d. | |
| P-133 | S (137), U (137), U (178) | gB2/3 | gH2 | n.d. | gH2 | |
P-135![]() | U (152) | gB2/3 | gH2 | gB2/3 (gB4, gB7) | gH2 | |
P-230![]() | V (64), S (83) | gB2/3 | gH2 | gB2/3 (gB4, gB6, gB7) | gH2 | |
| P-092 | AF (85) | gB7 | gH1 | n.d. | gH1 | |
| Non-primary infection | ||||||
| WP1-061 | M, S | gB1 | gH1 | gB1 | gH1 | |
| WP1-115 | M | gB1 | gH1 | n.d. | gH1 | |
| WP1-085 | M | gB1 | gH1 | gB1 | gH1 | |
| WP1-122 | M | gB1 | gH1 | gB1, gB2/3 (gB4) | gH1 | |
| WP1-065 | M | gB1 | gH2 | gB1 | n.d. | |
| WP1-125 | M | gB1 | gH2 | gB1 | n.d. | |
| WP1-160 | M | gB1 | gH2 | gB1 | gH2 | |
| WP1-094 | M | gB1 | gH2 | n.d. | gH2 | |
| WP1-111 | M | gB1 | gH1 | n.d. | gH1 | |
| WP1-066 | S, V | gB1 | gH2 | n.d. | gH1 | |
| WP1-055 | M | gB1 | gH1, gH2 | n.d. | gH1, gH2 | |
| WP1-056 | M | gB2/3 | gH1 | gB2/3 (gB4) | gH1 | |
| WP1-144 | M | gB2/3 | gH1 | gB2/3 | gH1 | |
| WP1-142 | M | gB2/3 | gH2 | n.d. | gH2 | |
| WP1-129 | M | gB2/3 | gH2 | n.d. | gH2 | |
| WP1-158 | U | gB2/3 | gH2 | n.d. | gH1 | |
| WP1-139 | M | gB2/3 | gH2 | gB2/3 (gB4) | n.d. | |
| WP1-154 | M | gB2/3 | gH2 | n.d. | gH2 | |
| WP1-099 | S, U | gB2/3 | gH1 | n.d. | gH1 | |
| WP1-120 | U | gB2/3 | gH2 | n.d. | gH2 | |
| WP1-058 | M | gB2/3 | gH2 | n.d. | n.d. | |
| WP1-163 | V, S | gB2/3 | gH1 | n.d. | gH1 | |
| WP1-075 | M | gB4 | gH2 | gB2/3 (gB4) | n.d. | |
| WP1-162 | V | gB2/3, gB4 | gH1 | n.d. | gH1 | |
| WP1-119 | M | gB2/3, gB4 | gH1 | n.d. | gH2 | |
| Subject | Specimen (Days after Infection), Copies/mL | ||
| Primary infection | |||
| NP-038 | U (55), 426,048 | U (173), 7382 | |
| P-130 | S (87), 1085 | ||
| P-209 | U (52), 11,356 | ||
| P-223 | U (21), 160 | S (374), 3845 | |
| P-226 | U (32), 660 | U (189), 568 | V (189), 295 |
| P-232 | V (92), 27,923 | V (194), 13,887 | AF (120), 262,000 |
| P-241 | V (54), 19,124 | U (357), 2631 | |
| P-245 | V (77), 1141 | U (359), 592 | |
| P-142 | U (38), 894 | ||
| P-225 | V (26), 192,469 | S (328), 429 | V (328), 371 |
| P-236 | V (85), 15,135 | U (340), 3652 | |
| P-083 | S (21), 3692 | B (21), 6762 | |
| P-218 | S (59), 12,078 | ||
| P-235 | V (34), 559 | U (374), 1676 | |
| P-237 | V (100), 24,902 | V (410), 692 | |
| P-053 | U (43), 109 | ||
| P-133 | S (137), 1176 | U (137), 3088 | U (178), 1485 |
| P-135 | U (152), 809 | ||
| P-230 | V (84), 932 | S (84), 480 | |
| P-092 | AF (85), 3,476,390 | ||
| Non-primary infection | |||
| WP1-061 | M, 15,300 | S, 550 | |
| WP1-115 | M, 719 | ||
| WP1-085 | M, 64 | ||
| WP1-122 | M, 584 | ||
| WP1-065 | M, 600 | ||
| WP1-125 | M, 872 | ||
| WP1-160 | M, 234 | ||
| WP1-094 | M, 122,988 | ||
| WP1-111 | M, 26 | ||
| WP1-066 | S, 5246 | V, 272 | |
| WP1-055 | M, 4600 | ||
| WP1-056 | M, 300 | ||
| WP1-144 | M, 1272 | ||
| WP1-142 | M, 3346 | ||
| WP1-129 | M, 34,435 | ||
| WP1-158 | U, 1673 | ||
| WP1-139 | M, 172 | ||
| WP1-154 | M, 1842 | ||
| WP1-099 | S, 254 | U, 1040 | |
| WP1-120 | U, 719 | ||
| WP1-058 | M, 480 | ||
| WP1-163 | V, 10,090 | S, 175 | |
| WP1-075 | M, 70,800 | ||
| WP1-162 | V, 2088 | ||
| WP1-119 | M, 6000 | ||
Publisher’s Note: MDPI stays neutral with regard to jurisdictional claims in published maps and institutional affiliations. |
© 2021 by the authors. Licensee MDPI, Basel, Switzerland. This article is an open access article distributed under the terms and conditions of the Creative Commons Attribution (CC BY) license (http://creativecommons.org/licenses/by/4.0/).
Share and Cite
Zavaglio, F.; Fiorina, L.; Suárez, N.M.; Fornara, C.; De Cicco, M.; Cirasola, D.; Davison, A.J.; Gerna, G.; Lilleri, D. Detection of Genotype-Specific Antibody Responses to Glycoproteins B and H in Primary and Non-Primary Human Cytomegalovirus Infections by Peptide-Based ELISA. Viruses 2021, 13, 399. https://doi.org/10.3390/v13030399
Zavaglio F, Fiorina L, Suárez NM, Fornara C, De Cicco M, Cirasola D, Davison AJ, Gerna G, Lilleri D. Detection of Genotype-Specific Antibody Responses to Glycoproteins B and H in Primary and Non-Primary Human Cytomegalovirus Infections by Peptide-Based ELISA. Viruses. 2021; 13(3):399. https://doi.org/10.3390/v13030399
Chicago/Turabian StyleZavaglio, Federica, Loretta Fiorina, Nicolás M. Suárez, Chiara Fornara, Marica De Cicco, Daniela Cirasola, Andrew J. Davison, Giuseppe Gerna, and Daniele Lilleri. 2021. "Detection of Genotype-Specific Antibody Responses to Glycoproteins B and H in Primary and Non-Primary Human Cytomegalovirus Infections by Peptide-Based ELISA" Viruses 13, no. 3: 399. https://doi.org/10.3390/v13030399
APA StyleZavaglio, F., Fiorina, L., Suárez, N. M., Fornara, C., De Cicco, M., Cirasola, D., Davison, A. J., Gerna, G., & Lilleri, D. (2021). Detection of Genotype-Specific Antibody Responses to Glycoproteins B and H in Primary and Non-Primary Human Cytomegalovirus Infections by Peptide-Based ELISA. Viruses, 13(3), 399. https://doi.org/10.3390/v13030399













