Minimum Infective Dose of a Lumpy Skin Disease Virus Field Strain from North Macedonia
Abstract
1. Introduction
2. Materials and Methods
2.1. Animals
2.2. Experimental Design and Sample Collection
- Group A: 101.8 CCID50/mL ≥ 3.8 × 102 CCID50/cattle
- Group B: 103.6 CCID50/mL ≥ 2.4 × 104 CCID50/cattle
- Group C: 105.6 CCID50/mL ≥ 3.3 × 106 CCID50/cattle
- Group D: 106.8 CCID50/mL ≥ 3.8 × 107 CCID50/cattle
2.3. Molecular Diagnostics
2.4. Serological Examination
3. Results
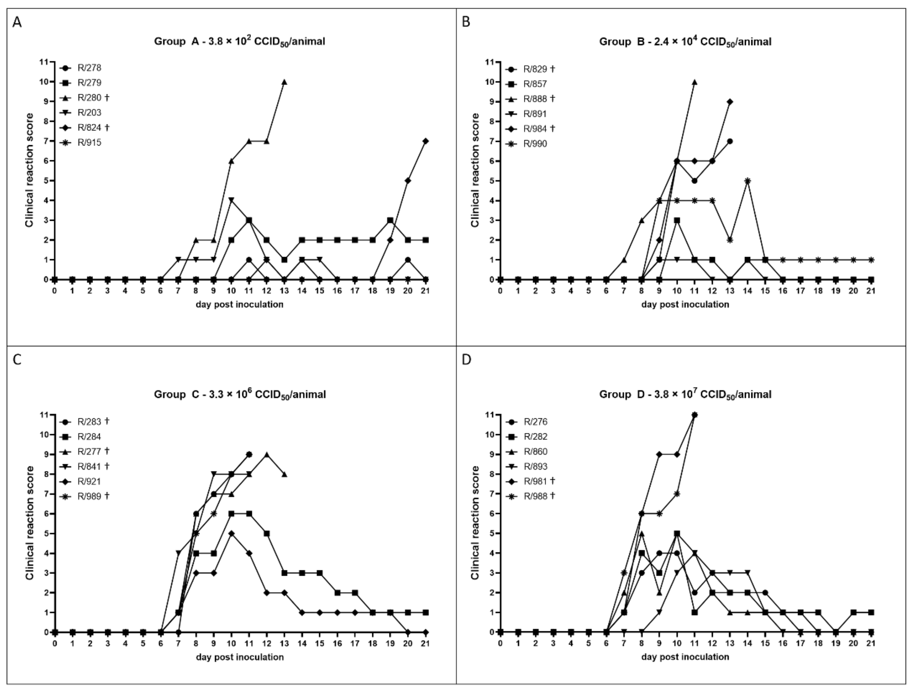
3.1. Clinical Scoring
3.2. Virus Replication and Shedding
3.3. Viral Genome Loads in Certain Organ Samples
3.4. Serological Response
4. Discussion
Supplementary Materials
Author Contributions
Funding
Acknowledgments
Conflicts of Interest
References
- King, A.M.Q.; Lefkowitz, E.; Adams, M.J.; Carstens, E.B. Virus Taxonomy: Ninth Report of the International Committee on Taxonomy of Viruses. Elsevier Academic Press: Waltham, MA, USA, 2012; pp. 291–309. [Google Scholar]
- Babiuk, S.; Bowden, T.R.; Boyle, D.B.; Wallace, D.B.; Kitching, R.P. Capripoxviruses: An emerging worldwide threat to sheep, goats and cattle. Transbound. Emerg. Dis. 2008, 55, 263–272. [Google Scholar] [CrossRef] [PubMed]
- Bowden, T.R.; Babiuk, S.L.; Parkyn, G.R.; Copps, J.S.; Boyle, D.B. Capripoxvirus tissue tropism and shedding: A quantitative study in experimentally infected sheep and goats. Virology 2008, 371, 380–393. [Google Scholar] [CrossRef] [PubMed]
- Carn, V.M. Control of capripoxvirus infections. Vaccine 1993, 11, 1275–1279. [Google Scholar] [CrossRef]
- OIE. OIE-Listed Diseases, Infections and Infestations in Force in 2020. Available online: https://www.oie.int/animal-health-in-the-world/oie-listed-diseases-2019/ (accessed on 15 July 2020).
- Chamchod, F. Modeling the spread of capripoxvirus among livestock and optimal vaccination strategies. J. Theor. Biol. 2018, 437, 179–186. [Google Scholar] [CrossRef]
- Tuppurainen, E.S.; Oura, C.A. Review: Lumpy skin disease: An emerging threat to Europe, the Middle East and Asia. Transbound. Emerg. Dis. 2012, 59, 40–48. [Google Scholar] [CrossRef] [PubMed]
- Davies, F.G. Characteristics of a virus causing a pox disease in sheep and goats in Kenya, with observation on the epidemiology and control. J. Hyg. Lond. 1976, 76, 163–171. [Google Scholar] [CrossRef] [PubMed]
- Tuppurainen, E.S.; Pearson, C.R.; Bachanek-Bankowska, K.; Knowles, N.J.; Amareen, S.; Frost, L.; Henstock, M.R.; Lamien, C.E.; Diallo, A.; Mertens, P.P. Characterization of sheep pox virus vaccine for cattle against lumpy skin disease virus. Antivir. Res. 2014, 109, 1–6. [Google Scholar] [CrossRef]
- Hunter, P.; Wallace, D. Lumpy skin disease in southern Africa: A review of the disease and aspects of control. J. S. Afr. Vet. Assoc. 2001, 72, 68–71. [Google Scholar] [CrossRef]
- Babiuk, S.; Bowden, T.R.; Parkyn, G.; Dalman, B.; Manning, L.; Neufeld, J.; Embury-Hyatt, C.; Copps, J.; Boyle, D.B. Quantification of lumpy skin disease virus following experimental infection in cattle. Transbound. Emerg. Dis. 2008, 55, 299–307. [Google Scholar] [CrossRef]
- Carn, V.M.; Kitching, R.P. The clinical response of cattle experimentally infected with lumpy skin disease (Neethling) virus. Arch. Virol. 1995, 140, 503–513. [Google Scholar] [CrossRef]
- Haig, D.A. Lumpy skin disease. Bull. Epizoot. Dis. Afr. 1957, 5, 421–430. [Google Scholar]
- Tuppurainen, E.S.; Venter, E.H.; Coetzer, J.A. The detection of lumpy skin disease virus in samples of experimentally infected cattle using different diagnostic techniques. Onderstepoort J. Vet. Res. 2005, 72, 153–164. [Google Scholar] [CrossRef]
- Davies, F.G. Lumpy skin disease of cattle: A growing problem in Africa and the Near East. World Anim. Rev. 1991, 68, 37–42. [Google Scholar]
- Weiss, K.E. Lumpy skin disease virus. Virol. Monogr. 1968, 3, 111–131. [Google Scholar]
- Tuppurainen, E.S.M.; Venter, E.H.; Shisler, J.L.; Gari, G.; Mekonnen, G.A.; Juleff, N.; Lyons, N.A.; De Clercq, K.; Upton, C.; Bowden, T.R.; et al. Review: Capripoxvirus Diseases: Current Status and Opportunities for Control. Transbound. Emerg. Dis. 2017, 64, 729–745. [Google Scholar] [CrossRef] [PubMed]
- Davies, F.G. Lumpy skin disease, an African capripox virus disease of cattle. Br. Vet. J. 1991, 147, 489–503. [Google Scholar] [CrossRef]
- Beard, P.M. Lumpy skin disease: A direct threat to Europe. Vet. Rec. 2016, 178, 557–558. [Google Scholar] [CrossRef]
- Carn, V.M.; Kitching, R.P. An investigation of possible routes of transmission of lumpy skin disease virus (Neethling). Epidemiol. Infect. 1995, 114, 219–226. [Google Scholar] [CrossRef]
- Chihota, C.M.; Rennie, L.F.; Kitching, R.P.; Mellor, P.S. Mechanical transmission of lumpy skin disease virus by Aedes aegypti (Diptera: Culicidae). Epidemiol. Infect. 2001, 126, 317–321. [Google Scholar] [CrossRef]
- Chihota, C.M.; Rennie, L.F.; Kitching, R.P.; Mellor, P.S. Attempted mechanical transmission of lumpy skin disease virus by biting insects. Med. Vet. Entomol. 2003, 17, 294–300. [Google Scholar] [CrossRef]
- Mellor, P.S.; Kitching, R.P.; Wilkinson, P.J. Mechanical transmission of capripox virus and African swine fever virus by Stomoxys calcitrans. Res. Vet. Sci. 1987, 43, 109–112. [Google Scholar] [CrossRef]
- Osuagwuh, U.I.; Bagla, V.; Venter, E.H.; Annandale, C.H.; Irons, P.C. Absence of lumpy skin disease virus in semen of vaccinated bulls following vaccination and subsequent experimental infection. Vaccine 2007, 25, 2238–2243. [Google Scholar] [CrossRef] [PubMed]
- Kononov, A.; Prutnikov, P.; Shumilova, I.; Kononova, S.; Nesterov, A.; Byadovskaya, O.; Pestova, Y.; Diev, V.; Sprygin, A. Determination of lumpy skin disease virus in bovine meat and offal products following experimental infection. Transbound. Emerg. Dis. 2019, 66, 1332–1340. [Google Scholar] [CrossRef] [PubMed]
- Salnikov, N.; Usadov, T.; Kolcov, A.; Zhivoderov, S.; Morgunov, Y.; Gerasimov, V.; Gogin, A.; Titov, I.; Yurkov, S.; Malogolovkin, A.; et al. Identification and characterization of lumpy skin disease virus isolated from cattle in the Republic of North Ossetia-Alania in 2015. Transbound. Emerg. Dis. 2018, 65, 916–920. [Google Scholar] [CrossRef] [PubMed]
- Annandale, C.H.; Holm, D.E.; Ebersohn, K.; Venter, E.H. Seminal transmission of lumpy skin disease virus in heifers. Transbound. Emerg. Dis. 2014, 61, 443–448. [Google Scholar] [CrossRef]
- Möller, J.; Moritz, T.; Schlottau, K.; Krstevski, K.; Hoffmann, D.; Beer, M.; Hoffmann, B. Experimental lumpy skin disease virus infection of cattle: Comparison of a field strain and a vaccine strain. Arch. Virol. 2019, 164, 2931–2941. [Google Scholar] [CrossRef]
- Hoffmann, B.; Depner, K.; Schirrmeier, H.; Beer, M. A universal heterologous internal control system for duplex real-time RT-PCR assays used in a detection system for pestiviruses. J. Virol. Methods 2006, 136, 200–209. [Google Scholar] [CrossRef]
- Dietze, K.; Moritz, T.; Alexandrov, T.; Krstevski, K.; Schlottau, K.; Milovanovic, M.; Hoffmann, D.; Hoffmann, B. Suitability of group-level oral fluid sampling in ruminant populations for lumpy skin disease virus detection. Vet. Microbiol. 2018, 221, 44–48. [Google Scholar] [CrossRef]
- Spearman, C. The Method of ‘Right and Wrong Cases’ (‘Constant Stimuli’) without Gauss’s Formulae. Br. J. Psychol. 1904–1920 1908, 2, 227–242. [Google Scholar] [CrossRef]
- Kärber, G. Beitrag zur kollektiven Behandlung pharmakologischer Reihenversuche. Naunyn Schmiedebergs Arch. Für Exp. Pathol. Und Pharmakol. 1931, 162, 480–483. [Google Scholar] [CrossRef]
- Woods, J.A. Lumpy skin disease—A review. Trop. Anim. Health Prod. 1988, 20, 11–17. [Google Scholar] [CrossRef]
- Thomas, A.D.; Mare, C.V.E. Knopvelsiekte. J. S. Afr. Vet. Assoc. 1945, 16, 36–43. [Google Scholar]



| Evaluation Group | Symptomatic | Score |
|---|---|---|
| General Condition | Unremarkable | 0 |
| Reduced activity | 1 | |
| Reduced activity, depressive | 2 | |
| Increased resting, clearly reduced activity | 3 | |
| Apathy and/or lateral position, animal does not react to stimuli | Abandonment | |
| Feed and Water Intake | Unremarkable | 0 |
| Reduced feed or water intake, increased salivation | 1 | |
| Clearly reduced feed or water intake | 2 | |
| No feed or water intake (1 day) | 3 | |
| No feed or water intake (2 day) | Abandonment | |
| Respiratory Tract | Unremarkable | 0 |
| Slight cough or nasal discharge | 1 | |
| Strong cough or nasal discharge combined with slight respiratory problems | 2 | |
| Strong cough or nasal discharge combined with moderate respiratory problems | 3 | |
| Strong cough or nasal discharge combined with strong respiratory problems | Abandonment | |
| Skin | Unremarkable | 0 |
| Sporadic skin nodules/lesions/papules | 1 | |
| Many skin nodules/lesions/papules | 2 | |
| Generalized skin lesions/nodules/papules | 3 | |
| Multiple abscesses or phlegmons | Abandonment | |
| Other Clinical Signs | Ocular discharge | 1 |
| Sporadic swelling of lymph nodes | 1 | |
| Multiple swelling of lymph nodes | 2 |
| Cq-Values at Different Days Post Inoculation | |||||||||||
|---|---|---|---|---|---|---|---|---|---|---|---|
| Group A 3.8 × 102 CCID50/animal | −1/3 | 5 | 7 | 10 | 11 | 12 | 13 | 14 | 17 | 21 | 28 |
| R/279_EDTA blood | no Cq | no Cq | no Cq | no Cq | - | no Cq | - | no Cq | no Cq | no Cq | no Cq |
| R/279_serum | no Cq | no Cq | no Cq | no Cq | - | 38.6 | - | no Cq | no Cq | no Cq | no Cq |
| R/279_nasal swab | no Cq | no Cq | no Cq | no Cq | - | no Cq | - | 38.2 | 38.7 | no Cq | no Cq |
| R/278_EDTA blood | no Cq | no Cq | no Cq | 38.0 | - | no Cq | - | 29.6 | no Cq | 38.5 | no Cq |
| R/278_serum | no Cq | no Cq | no Cq | no Cq | - | no Cq | - | 33.6 | no Cq | no Cq | no Cq |
| R/278_nasal swab | no Cq | no Cq | no Cq | no Cq | - | no Cq | - | no Cq | 38.8 | no Cq | no Cq |
| R/280_EDTA blood | no Cq | no Cq | no Cq | 35.8 | - | 31.0 | 36.1 | † | † | † | † |
| R/280_serum | no Cq | no Cq | 37.1 | 38.3 | - | 34.9 | 36.0 | † | † | † | † |
| R/280_nasal swab | no Cq | no Cq | no Cq | no Cq | - | 34.8 | 29.1 | † | † | † | † |
| R/824_EDTA blood | no Cq | no Cq | no Cq | no Cq | - | no Cq | - | no Cq | no Cq | 30.7 | † |
| R/824_serum | no Cq | no Cq | no Cq | no Cq | - | no Cq | - | no Cq | no Cq | 36.1 | † |
| R/824_nasal swab | no Cq | no Cq | no Cq | no Cq | - | 37.3 | - | no Cq | 37.5 | 35.1 | † |
| R/915_EDTA blood | no Cq | no Cq | no Cq | no Cq | - | no Cq | - | no Cq | 36.8 | no Cq | no Cq |
| R/915_serum | no Cq | no Cq | no Cq | 37.5 | - | no Cq | - | 37.5 | no Cq | no Cq | no Cq |
| R/915_nasal swab | no Cq | no Cq | no Cq | no Cq | - | no Cq | - | no Cq | no Cq | no Cq | no Cq |
| R/203_EDTA blood | no Cq | no Cq | no Cq | no Cq | - | no Cq | - | no Cq | no Cq | no Cq | no Cq |
| R/203_serum | no Cq | no Cq | no Cq | no Cq | - | no Cq | - | no Cq | no Cq | no Cq | no Cq |
| R/203_nasal swab | no Cq | no Cq | no Cq | no Cq | - | no Cq | - | no Cq | no Cq | no Cq | no Cq |
| Group B 2.4 × 104 CCID50/animal | |||||||||||
| R/888_EDTA blood | no Cq | no Cq | no Cq | 32.3 | 37.5 | † | † | † | † | † | † |
| R/888_serum | no Cq | no Cq | no Cq | 34.6 | 36.2 | † | † | † | † | † | † |
| R/888_nasal swab | no Cq | - | no Cq | no Cq | no Cq | † | † | † | † | † | † |
| R/857_EDTA blood | no Cq | no Cq | no Cq | no Cq | - | no Cq | - | no Cq | no Cq | no Cq | no Cq |
| R/857_serum | no Cq | no Cq | no Cq | no Cq | - | no Cq | - | no Cq | no Cq | no Cq | no Cq |
| R/857_nasal swab | no Cq | no Cq | no Cq | no Cq | - | 38.3 | - | no Cq | 36.9 | no Cq | no Cq |
| R/891_EDTA blood | no Cq | no Cq | no Cq | 28.4 | - | 37.7 | - | 38.5 | no Cq | 35.8 | no Cq |
| R/891_serum | no Cq | no Cq | no Cq | no Cq | - | no Cq | - | no Cq | no Cq | 36.2 | no Cq |
| R/891_nasal swab | no Cq | no Cq | no Cq | no Cq | - | 38.9 | - | no Cq | no Cq | no Cq | no Cq |
| R/829_EDTA blood | no Cq | no Cq | no Cq | 31.9 | - | 38.3 | 38.5 | † | † | † | † |
| R/829_serum | no Cq | no Cq | no Cq | 37.2 | - | 38.0 | no Cq | † | † | † | † |
| R/829_nasal swab | no Cq | no Cq | no Cq | no Cq | - | no Cq | no Cq | † | † | † | † |
| R/984_EDTA blood | no Cq | no Cq | 37.4 | 33.7 | - | 31.1 | 30.9 | † | † | † | † |
| R/984_serum | no Cq | no Cq | no Cq | 35.7 | - | 36.3 | 33.5 | † | † | † | † |
| R/984_nasal swab | no Cq | no Cq | no Cq | no Cq | - | 31.2 | 34.2 | † | † | † | † |
| R/990_EDTA blood | no Cq | no Cq | no Cq | 37.3 | - | 40.9 | - | 38.9 | no Cq | no Cq | no Cq |
| R/990_serum | no Cq | no Cq | no Cq | no Cq | - | no Cq | - | no Cq | no Cq | no Cq | no Cq |
| R/990_nasal swab | no Cq | no Cq | no Cq | no Cq | - | no Cq | - | 37.4 | 38.0 | no Cq | no Cq |
| Group C 3.3 × 106 CCID50/animal | |||||||||||
| R/277_EDTA blood | no Cq | no Cq | no Cq | 34.2 | - | 36.8 | 35.4 | † | † | † | † |
| R/277_serum | no Cq | no Cq | no Cq | 37.7 | - | 37.1 | 37.4 | † | † | † | † |
| R/277_nasal swab | no Cq | no Cq | no Cq | no Cq | - | 38.3 | 37.6 | † | † | † | † |
| R/283_EDTA blood | no Cq | no Cq | 36.7 | 28.3 | 29.4 | † | † | † | † | † | † |
| R/283_serum | no Cq | no Cq | no Cq | 35.1 | 35.6 | † | † | † | † | † | † |
| R/283_nasal swab | no Cq | no Cq | no Cq | 35.0 | 34.5 | † | † | † | † | † | † |
| R/284_EDTA blood | no Cq | no Cq | 31.8 | 33.0 | - | 33.0 | - | 36.8 | no Cq | no Cq | no Cq |
| R/284_serum | no Cq | no Cq | 37.6 | 35.4 | - | 34.9 | - | 38.4 | no Cq | 37.6 | no Cq |
| R/284_nasal swab | no Cq | no Cq | no Cq | no Cq | - | no Cq | - | no Cq | no Cq | no Cq | no Cq |
| R/921_EDTA blood | no Cq | no Cq | no Cq | 28.2 | - | 32.6 | - | 33.3 | 32.6 | 35.3 | no Cq |
| R/921_serum | no Cq | no Cq | no Cq | 34.6 | - | 34.3 | - | 34.6 | 35.5 | 37.1 | no Cq |
| R/921_nasal swab | no Cq | no Cq | no Cq | no Cq | - | 38.5 | - | no Cq | no Cq | no Cq | no Cq |
| R/841_EDTA blood | no Cq | 34.8 | 34.3 | 34.8 | 33.1 | † | † | † | † | † | † |
| R/841_serum | no Cq | no Cq | no Cq | 35.5 | 35.7 | † | † | † | † | † | † |
| R/841_nasal swab | no Cq | no Cq | no Cq | no Cq | no Cq | † | † | † | † | † | † |
| R/989_EDTA blood | no Cq | no Cq | 33.8 | 29.6 | 34.6 | † | † | † | † | † | † |
| R/989_serum | no Cq | 37.3 | no Cq | 33.1 | 35.0 | † | † | † | † | † | † |
| R/989_nasal swab | no Cq | no Cq | no Cq | 33.7 | 28.5 | † | † | † | † | † | † |
| Group D 3.8 × 107 CCID50/animal | |||||||||||
| R/276_EDTA blood | no Cq | no Cq | no Cq | 24.3 | - | 38.8 | - | no Cq | 31.0 | no Cq | 30.9 |
| R/276_serum | no Cq | no Cq | no Cq | 33.0 | - | 36.9 | - | no Cq | 38.4 | no Cq | no Cq |
| R/276_nasal swab | no Cq | no Cq | no Cq | 37.2 | - | no Cq | - | no Cq | no Cq | no Cq | no Cq |
| R/282_EDTA blood | no Cq | 36.5 | no Cq | 38.5 | - | no Cq | - | no Cq | no Cq | no Cq | no Cq |
| R/282_serum | no Cq | no Cq | 38.6 | no Cq | - | no Cq | - | no Cq | no Cq | no Cq | no Cq |
| R/282_nasal swab | no Cq | no Cq | no Cq | 36.4 | - | no Cq | - | 34.7 | 37.0 | no Cq | no Cq |
| R/981_EDTA blood | no Cq | 31.7 | 33.9 | 32.4 | 30.4 | † | † | † | † | † | † |
| R/981_serum | no Cq | no Cq | 36.7 | 34.4 | 34.0 | † | † | † | † | † | † |
| R/981_nasal swab | no Cq | no Cq | no Cq | 26.8 | 24.6 | † | † | † | † | † | † |
| R/860_EDTA blood | no Cq | no Cq | no Cq | no Cq | - | 35.7 | - | 38.6 | no Cq | no Cq | no Cq |
| R/860_serum | no Cq | no Cq | no Cq | no Cq | - | no Cq | - | 39.4 | no Cq | no Cq | no Cq |
| R/860_nasal swab | no Cq | no Cq | no Cq | no Cq | - | no Cq | - | no Cq | no Cq | no Cq | no Cq |
| R/893_EDTA blood | no Cq | no Cq | no Cq | 33.8 | - | 36.1 | - | 36.3 | no Cq | no Cq | no Cq |
| R/893_serum | no Cq | no Cq | no Cq | 37.6 | - | no Cq | - | 37.2 | no Cq | no Cq | no Cq |
| R/893_nasal swab | no Cq | no Cq | no Cq | no Cq | - | 33.9 | - | 38.5 | 40.6 | no Cq | no Cq |
| R/988_EDTA blood | no Cq | 33.5 | 29.5 | 27.0 | 27.8 | † | † | † | † | † | † |
| R/988_serum | no Cq | 37.5 | 33.7 | 29.8 | 28.2 | † | † | † | † | † | † |
| R/988_nasal swab | no Cq | no Cq | 36.2 | 27.6 | 23.2 | † | † | † | † | † | † |
| Cattle | Cervical Lymph Node | Medestinal Lymph Node | Mesenterial Lymph Node | Spleen | Liver | Lung | Neck (Skin Nodules) | Udder Mirror (Skin Nodules) | Pox-Like Lesions Lung | |
|---|---|---|---|---|---|---|---|---|---|---|
| Group A—3.8 × 102 CCID50/animal | R/279 | no Cq | no Cq | no Cq | no Cq | no Cq | no Cq | no Cq | n.t. | n.t. |
| R/278 | no Cq | no Cq | no Cq | no Cq | no Cq | no Cq | n.t. | n.t. | n.t. | |
| R/280 | 29.8 | no Cq | no Cq | no Cq | 38.4 | 37.7 | 18.6 | 24.0 | n.t. | |
| R/824 | 29.3 | no Cq | no Cq | 35.7 | 37.2 | 30.2 | 18.9 | 17.1 | 15.9 | |
| R/915 | 36.7 | no Cq | no Cq | no Cq | no Cq | no Cq | n.t. | n.t. | n.t. | |
| R/203 | no Cq | no Cq | no Cq | no Cq | no Cq | no Cq | n.t. | n.t. | n.t. | |
| Group B—2.4 × 104 CCID50/animal | R/888 | 32.4 | no Cq | no Cq | no Cq | no Cq | 35.4 | 19.3 | 21.2 | n.t. |
| R/857 | no Cq | no Cq | no Cq | no Cq | no Cq | no Cq | n.t. | n.t. | n.t. | |
| R/891 | no Cq | no Cq | no Cq | no Cq | no Cq | no Cq | n.t. | n.t. | n.t. | |
| R/829 | 36.4 | no Cq | no Cq | no Cq | no Cq | no Cq | n.t. | n.t. | n.t. | |
| R/984 | 33.3 | no Cq | no Cq | no Cq | 37.6 | 33.9 | 21.8 | 20.8 | n.t. | |
| R/990 | no Cq | no Cq | no Cq | no Cq | no Cq | no Cq | n.t. | n.t. | n.t. | |
| Group C—3.3 × 106 CCID50/animal | R/277 | no Cq | no Cq | no Cq | no Cq | no Cq | 34.2 | 16.3 | 14.7 | 21.3 |
| R/283 | 31.0 | 37.5 | 37.1 | no Cq | no Cq | 33.5 | 19.7 | 17.4 | n.t. | |
| R/284 | no Cq | no Cq | no Cq | no Cq | no Cq | no Cq | no Cq | n.t. | 23.1 | |
| R/921 | no Cq | no Cq | no Cq | no Cq | no Cq | no Cq | n.t. | n.t. | n.t. | |
| R/841 | 31.2 | 34.8 | no Cq | no Cq | no Cq | 33.3 | 20.0 | 19.7 | n.t. | |
| R/989 | 31.8 | 31.3 | no Cq | no Cq | no Cq | 35.6 | 20.1 | n.t. | 23.8 | |
| Group D—3.8 × 107 CCID50/animal | R/276 | no Cq | no Cq | no Cq | no Cq | no Cq | no Cq | n.t. | n.t. | 23.9 |
| R/282 | no Cq | no Cq | no Cq | no Cq | no Cq | no Cq | n.t. | n.t. | n.t. | |
| R/981 | 31.8 | 41.1 | no Cq | no Cq | no Cq | 31.0 | 20.7 | 17.9 | n.t. | |
| R/860 | no Cq | no Cq | no Cq | no Cq | no Cq | 31.3 | n.t. | n.t. | n.t. | |
| R/893 | no Cq | no Cq | no Cq | no Cq | no Cq | no Cq | no Cq | no Cq | 25.8 | |
| R/988 | 25.1 | 20.5 | 35.5 | 26.0 | 29.7 | 19.3 | 19.3 | 17.4 | 15.6 | |
| Group A 3.8 × 102 CCID50/Animal | Group B 2.4 × 104 CCID50/Animal | Group C 3.3 × 106 CCID50/Animal | Group D 3.8 × 107 CCID50/Animal | ||||||||
|---|---|---|---|---|---|---|---|---|---|---|---|
| Cattle _Dpi | ELISA S/P% | SNT Titer | Cattle_Dpi | ELISA S/P% | SNT Titer | Cattle_Dpi | ELISA S/P% | SNT Titer | Cattle_Dpi | ELISA S/P% | SNT Titer |
| R/279_−1 | −1 | n.d. | R/888_−1 | 0 | n.d. | R/277_−1 | −1 | n.d. | R/276_−1 | −1 | n.d. |
| R/279_14 | 0 | n.d. | R/888_11 | −1 | <1:10 | R/277_13 | 5 | <1:10 | R/276_14 | 8 | n.d. |
| R/279_17 | −1 | n.d. | R/276_17 | 11 | n.d. | ||||||
| R/279_21 | 0 | <1:10 | R/276_21 | 11 | 1:13 | ||||||
| R/279_28 | 0 | <1:10 | R/276_28 | 41 | 1:160 | ||||||
| R/278_−1 | 0 | n.d. | R/857_−1 | 1 | n.d. | R/283_−1 | −1 | n.d. | R/282_−1 | −1 | n.d. |
| R/278_14 | 0 | n.d. | R/857_14 | 0 | n.d. | R/283_11 | −1 | <1:10 | R/282_14 | 4 | n.d. |
| R/278_17 | 0 | n.d. | R/857_17 | 0 | n.d. | R/282_17 | 14 | 1:16 | |||
| R/278_21 | −1 | <1:10 | R/857_21 | 1 | <1:10 | R/282_21 | 22 | 1:32 | |||
| R/278_28 | 3 | <1:10 | R/857_28 | 6 | ≤1:13 | R/282_28 | 43 | 1:128 | |||
| R/280_−1 | −2 | n.d. | R/891_−1 | 0 | n.d. | R/284_−1 | −1 | n.d. | R/981_−1 | 8 | n.d. |
| R/280_13 | 1 | <1:10 | R/891_14 | −1 | n.d. | R/284_14 | 11 | n.d. | R/981_11 | 14 | <1:10 |
| R/891_17 | 1 | n.d. | R/284_17 | 11 | n.d. | ||||||
| R/891_21 | 0 | <1:10 | R/284_21 | 4 | 1:16 | ||||||
| R/891_28 | 128 | 1:40 | R/284_28 | 57 | 1:50 | ||||||
| R/824_−1 | 0 | n.d. | R/829_−1 | −1 | n.d. | R/921_−1 | −1 | n.d. | R/860_−1 | 1 | n.d. |
| R/824_14 | 3 | n.d. | R/829_13 | 8 | <1:10 | R/921_14 | 4 | <1:10 | R/860_14 | 26 | 1:16 |
| R/824_17 | 0 | <1:10 | R/921_17 | 13 | <1:10 | R/860_17 | 59 | 1:128 | |||
| R/824_21 | −1 | <1:10 | R/921_21 | 25 | 1:32 | R/860_21 | 98 | 1:128 | |||
| R/921_28 | 67 | 1:80 | R/860_28 | 163 | 1:256 | ||||||
| R/915_−1 | −1 | n.d. | R/984_−1 | −1 | n.d. | R/841_−1 | 2 | n.d. | R/893_−1 | 12 | n.d. |
| R/915_14 | −1 | n.d. | R/984_13 | 5 | <1:10 | R/841_11 | 0 | <1:10 | R/893_14 | 7 | <1:10 |
| R/915_17 | −1 | n.d. | R/893_17 | 16 | 1:50 | ||||||
| R/915_21 | −2 | <1:10 | R/893_21 | 9 | 1:80 | ||||||
| R/915_28 | 3 | ≤1:13 | R/893_28 | 36 | 1:50 | ||||||
| R/203_−1 | −1 | n.d. | R/990_−1 | 2 | n.d. | R/989_−1 | 2 | n.d. | R/988_−1 | 1 | n.d. |
| R/203_14 | 0 | n.d. | R/990_14 | 6 | n.d. | R/989_11 | 2 | <1:10 | R/988_11 | 8 | <1:10 |
| R/203_17 | 0 | n.d. | R/990_17 | 0 | n.d. | ||||||
| R/203_21 | −1 | <1:10 | R/990_21 | 7 | <1:10 | ||||||
| R/203_28 | 2 | <1:10 | R/990_28 | 3 | 1:20 | ||||||
© 2020 by the authors. Licensee MDPI, Basel, Switzerland. This article is an open access article distributed under the terms and conditions of the Creative Commons Attribution (CC BY) license (http://creativecommons.org/licenses/by/4.0/).
Share and Cite
Wolff, J.; Krstevski, K.; Beer, M.; Hoffmann, B. Minimum Infective Dose of a Lumpy Skin Disease Virus Field Strain from North Macedonia. Viruses 2020, 12, 768. https://doi.org/10.3390/v12070768
Wolff J, Krstevski K, Beer M, Hoffmann B. Minimum Infective Dose of a Lumpy Skin Disease Virus Field Strain from North Macedonia. Viruses. 2020; 12(7):768. https://doi.org/10.3390/v12070768
Chicago/Turabian StyleWolff, Janika, Kiril Krstevski, Martin Beer, and Bernd Hoffmann. 2020. "Minimum Infective Dose of a Lumpy Skin Disease Virus Field Strain from North Macedonia" Viruses 12, no. 7: 768. https://doi.org/10.3390/v12070768
APA StyleWolff, J., Krstevski, K., Beer, M., & Hoffmann, B. (2020). Minimum Infective Dose of a Lumpy Skin Disease Virus Field Strain from North Macedonia. Viruses, 12(7), 768. https://doi.org/10.3390/v12070768

