Taper and Volume Systems Based on Ratio Equations for Pinus pseudostrobus Lindl. in Mexico
Abstract
1. Introduction
2. Materials and Methods
2.1. Study Area
2.2. Data
2.3. Compatible Taper and Volume Systems Fitting
Total Volume Models
2.4. Compatible Systems Fitting
2.5. Autocorrelation and Heteroscedasticity
2.6. Evaluation of Compatible Systems
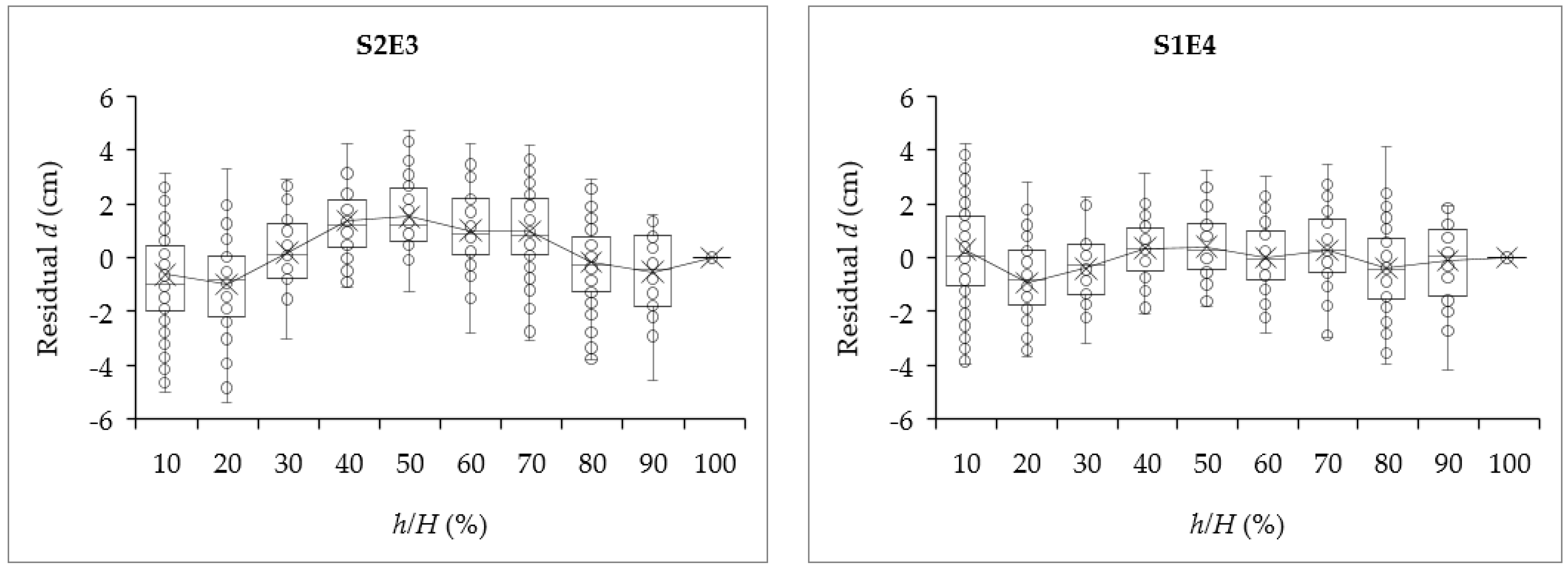
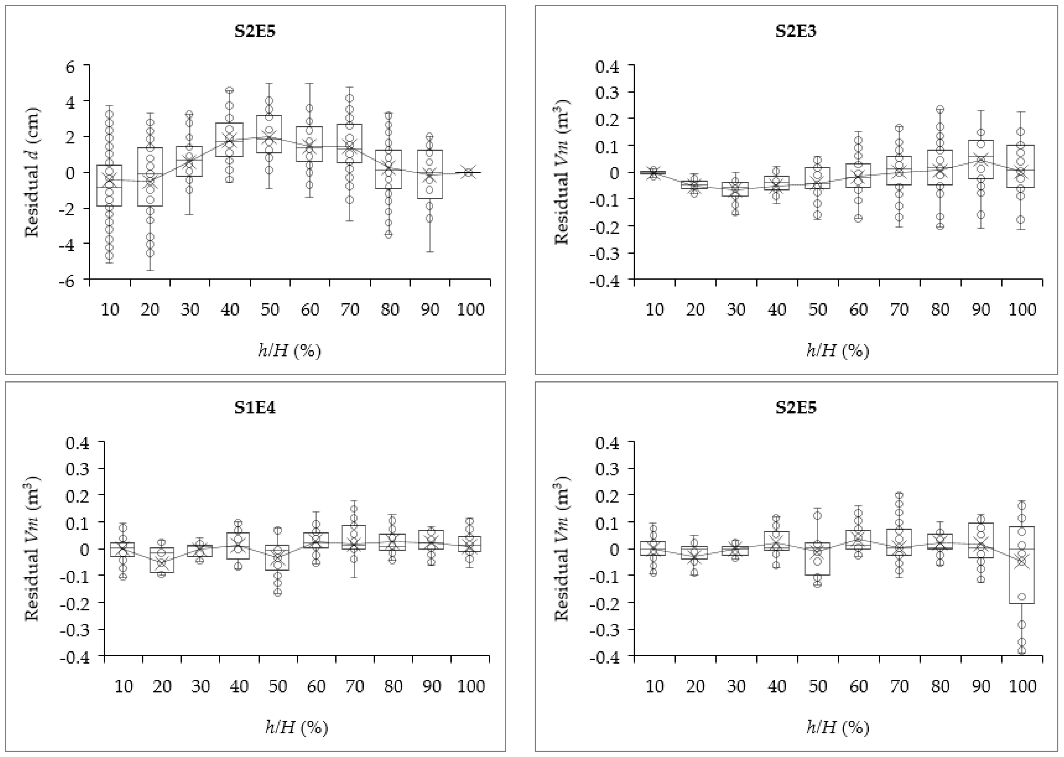
3. Results
4. Discussion
5. Conclusions
Author Contributions
Funding
Acknowledgments
Conflicts of Interest
References
- Tang, X.; Pérez-Cruzado, C.; Fehrmann, L.; Álvarez-González, J.G.; Lu, Y.; Kleinn, C. Development of a compatible taper function and stand-level merchantable volume model for Chinese fir plantations. PLoS ONE 2016, 11, e0147610. [Google Scholar] [CrossRef] [PubMed]
- Schröder, T.; Costa, E.A.; Valério, A.F.; dos Santos Lisboa, G. Taper equations for Pinus elliottii Engelm. in Southern Paraná, Brazil. For. Sci. 2015, 61, 311–319. [Google Scholar] [CrossRef]
- Prodan, M.; Peters, R.; Cox, F.; Real, P. Mensura Forestal; Serie Investigación y Educación en Desarrollo Sostenible; GTZ/IICA: San José, Costa Rica, 1997; p. 560. [Google Scholar]
- Quiñonez-Barraza, G.; De los Santos-Posadas, H.M.; Álvarez-González, J.G.; Velázquez-Martínez, A. Compatible taper and merchantable volume system for major pine species in Durango, Mexico. Agrociencia 2014, 48, 553–567. [Google Scholar]
- López-Sánchez, C.A.; Rodríguez-Soalleiro, R.; Castedo-Dorado, F.; Corral-Rivas, S.; Álvarez-González, J.G. A taper function for Pseudotsuga menziesii plantations in Spain. South. For. 2016, 78, 131–135. [Google Scholar] [CrossRef]
- Honer, T.G. Standard Volume Tables and Merchantable Conversion Factors for the Commercial Tree Species of Central and Eastern Canada; Department of Forestry and Rural Development: Ottawa, ON, Canada, 1967. [Google Scholar]
- Burkhart, H.E. Cubic-foot volume of loblolly pine to any merchantable top limit. South. J. Appl. For. 1977, 1, 7–9. [Google Scholar]
- Gilabert, H.; Paci, C. An assessment of volume-ratio functions for Eucalyptus globulus and E. Nitens in Chile. Cienc. Investig. Agrar. 2010, 37, 5–15. [Google Scholar] [CrossRef]
- Clutter, J.L. Development of taper functions from variable-top merchantable volume equations. For. Sci. 1980, 26, 117–120. [Google Scholar]
- Zhao, D.; Kane, M. New variable-top merchantable volume and weight equations derived directly from cumulative relative profiles for loblolly pine. For. Sci. 2017, 63, 261–269. [Google Scholar] [CrossRef]
- Lynch, T.B.; Zhao, D.; Harges, W.; McTague, J.P. Deriving compatible taper functions from volume ratio equations based on upper-stem height. Can. J. For. Res. 2017, 47, 1424–1431. [Google Scholar] [CrossRef]
- Corral-Rivas, J.; Vega-Nieva, D.; Rodríguez-Soalleiro, R.; López-Sánchez, C.; Wehenkel, C.; Vargas-Larreta, B.; Álvarez-González, J.; Ruiz-González, A. Compatible System for Predicting Total and Merchantable Stem Volume over and under Bark, Branch Volume and Whole-Tree Volume of Pine Species. Forests 2017, 8, 417. [Google Scholar] [CrossRef]
- MacFarlane, D.W. Predicting branch to bole volume scaling relationships from varying centroids of tree bole volume. Can. J. For. Res. 2010, 40, 2278–2289. [Google Scholar] [CrossRef]
- Flores, H.J.M.; Reyes, J.T.S.; Magaña, J.G.; Ávalos, V.M.C.; Vega, Y.M. Áreas potenciales para establecer plantaciones comerciales de pino en la Sierra Purhépecha, Michoacán. For. Ver. 2015, 17, 35–42. [Google Scholar]
- García, E.M. Modificaciones al Sistema de Clasificación Climática de Köppen; Instituto de Geografía, Universidad Autónoma de México: Ciudad de México, Mexico, 1981. [Google Scholar]
- Velázquez, A.; Bocco, G.; Torres, A.; Lopez, A.C.; Gómez, F.A. Indigenous community of Nuevo San Juan Parangaricutiro, Michoacan, Mexico. In Forest Plans of North America; Elsevier: New York, NY, USA, 2015; pp. 169–175. [Google Scholar]
- García-Espinoza, G.G.; Garcia-Magaña, J.J.; Hernández-Ramos, J.; Muñoz-Flores, H.J.; García-Cuevas, X.; Hernández-Ramos, A. Precisión de los coeficientes y cocientes de forma en la estimación del volumen de Pinus montezumae Lamb. Rev. Mex. Cienc. For. 2016, 7, 19–36. [Google Scholar]
- Viveros-Viveros, H.; Sáenz-Romero, C.; Vargas-Hernández, J.; López-Upton, J. Variación entre procedencias de Pinus pseudostrobus establecidas en dos sitios en Michoacán, México. Rev. Fitotec. Mex. 2006, 29, 121–126. [Google Scholar]
- Sáenz, R.; Muñoz, F.; Rueda, S. Especies Promisorias de Clima Templado Para Plantaciones Forestales Comerciales en Michoacán. Libro Técnico Núm. 10; SAGARPA-INIFAP-CIRPAC-Campo Experimental Uruapan: Uruapan, Michoacán, Mexico, 2011. [Google Scholar]
- Cao, Q.V.; Burkhart, H.E.; Max, T.A. Evaluation of two methods for cubic-volume prediction of loblolly pine to any merchantable limit. For. Sci. 1980, 26, 71–80. [Google Scholar]
- Chauchard, L.; Sbrancia, R. Funciones de razón para la estimación de los volúmenes maderables de pino radiata en el país vasco. Investig. Agr. Sist. Recur. For. 2005, 14, 185–194. [Google Scholar] [CrossRef][Green Version]
- Schumacher, F.X.; Hall, F.D.S. Logarithmic expression of timber-tree volume. J. Agric. Res. 1933, 47, 719–734. [Google Scholar]
- Spurr, S.H. Forest Inventory; Wiley: New York, NY, USA, 1952. [Google Scholar]
- Torres, J.M.; Magaña, O. Evaluación de Plantaciones Forestales; Limusa: Ciudad de México, Mexico, 2001. [Google Scholar]
- Barrios, A.; López, A.M.; Nieto, V. Predicción de volúmenes comerciales de Eucalyptus grandis a través de modelos de volumen total y de razón. Colomb. For. 2014, 17, 137–149. [Google Scholar] [CrossRef]
- Hernández-Ramos, J.; De los Santos-Posadas, H.M.; Valdéz-Lazalde, J.R.; Tamarit-Urias, J.C.; Ángeles-Pérez, G.; Hernández-Ramos, A.; Méndez-Lopez, B.; Peduzzi, A. Estimación del volumen comercial en plantaciones de Eucalyptus urophylla con modelos de volumen total y de razón. Agrociencia 2017, 51, 561–580. [Google Scholar]
- Simental-Cano, B.; López-Sánchez, C.A.; Wehenkel, C.; Vargas-Larreta, B.; Álvarez-González, J.G.; Corral-Rivas, J.J. Species-specific and regional volume models for 12 forest species in Durango, Mexico. Rev. Chapingo Ser. Cienc. 2017, 23. [Google Scholar] [CrossRef]
- SAS Institute Inc. Base SAS 9.4® Procedures Guide: Statistical Procedure, 3rd ed.; SAS Institute: Cary, NC, USA, 2015; Chapter 19; p. 324. [Google Scholar]
- Quiñonez-Barraza, G.; los Santos-Posadas, D.; Héctor, M.; Álvarez-González, J.G.; Velázquez-Martínez, A. Sistema compatible de ahusamiento y volumen comercial para las principales especies de Pinus en Durango, México. Agrociencia 2014, 48, 553–567. [Google Scholar]
- Santiago-García, W.; Pérez-López, E.; Quiñonez-Barraza, G.; Rodríguez-Ortiz, G.; Santiago-García, E.; Ruiz-Aquino, F.; Tamarit-Urias, J.C. A dynamic system of growth and yield equations for Pinus patula. Forests 2017, 8, 465. [Google Scholar] [CrossRef]
- Dorado, F.C.; Gonzalez, J.A. Construcción de una tarifa de cubicación con clasificación de productos para Pinus radiata D. Don en Galicia basada en una función de perfil del tronco. For. Syst. 2000, 9, 253–268. [Google Scholar]
- Crecente-Campo, F.; Alboreca, A.R.; Diéguez-Aranda, U. A merchantable volume system for Pinus sylvestris L. in the major mountain ranges of Spain. Ann. For. Sci. 2009, 66, 808. [Google Scholar] [CrossRef]
- Diéguez-Aranda, U.; Castedo-Dorado, F.; Álvarez-González, J.G.; Rojo, A. Compatible taper function for scots pine plantations in northwestern Spain. Can. J. For. Res. 2006, 36, 1190–1205. [Google Scholar] [CrossRef]
- Zimmerman, D.L.; Núñez-Antón, V.; Gregoire, T.G.; Schabenberger, O.; Hart, J.D.; Kenward, M.G.; Molenberghs, G.; Verbeke, G.; Pourahmadi, M.; Vieu, P. Parametric modelling of growth curve data: An overview. Test 2001, 10, 1–73. [Google Scholar] [CrossRef]
- Harvey, A. Estimating regression models with multiplicative heterocedasticity. Econometrica 1976, 44, 461–465. [Google Scholar] [CrossRef]
- Tamarit-Urias, J.C.; Elba, D.-R.; Barraza-Quiñonez, G.; Prado-Ordoñez, C.; Monárrez-González, J.C. Cubing system for individual Quercus spp. trees in forests under management in Puebla, Mexico. Rev. Mex. Cienc. For. 2017, 8, 69–88. [Google Scholar]
- Rodríguez-Carrillo, A.; Cruz-Cobos, F.; Vargas-Larreta, B.; Hernández, F.J. Compatible dominant height-site index model for juniper (Juniperus deppeana steud.). Rev. Chapingo Ser. Cienc. 2015, 21. [Google Scholar] [CrossRef]
- Fierros-Mateo, R.; Héctor, M.; Fierros-González, M.A.; Cruz-Cobos, F. Crecimiento y rendimiento maderable en plantaciones de Pinus chiapensis (Martínez) Andresen. Agrociencia 2017, 51, 201–214. [Google Scholar]
- Sakici, O.E.; Misir, N.; Yavuz, H.; Misir, M. Stem taper functions for Abies nordmanniana subsp. bornmulleriana in Turkey. Scand. J. For. Res. 2008, 23, 522–533. [Google Scholar] [CrossRef]
- Vargas-Larreta, B.; Corral-Rivas, J.J.; Aguirre-Calderón, O.A.; López-Martínez, J.O.; De los Santos-Posadas, H.M.; Zamudio-Sánchez, F.J.; Treviño-Garza, E.J.; Martínez-Salvador, M.; Aguirre-Calderón, C.G. Sibifor: Forest Biometric System for forest management in Mexico. Rev. Chapingo Ser. Cienc. 2017, 23, 437–455. [Google Scholar] [CrossRef]
- Fang, Z.; Borders, E.; Bailey, L. Compatible volume-taper models for loblolly and slash pine based on a system with segmented-stem form factors. For. Sci. 2000, 46, 1–12. [Google Scholar]
- Jordan, L.; Berenhaut, K.; Souter, R.; Daniels, R.F. Parsimonious and Completely Compatible Taper, Total, and Merchantable Volume Models. For. Sci. 2005, 51, 578–584. [Google Scholar] [CrossRef]
- Mate, R.; Johansson, T.; Sitoe, A. Biomass Equations for Tropical Forest Tree Species in Mozambique. Forests 2014, 5, 535–556. [Google Scholar] [CrossRef]
- Soriano-Luna, M.D.L.Á.; Ángeles-Pérez, G.; Martínez-Trinidad, T.; Plascencia-Escalante, F.O.; Razo-Zárate, R. Estimación de biomasa aérea por componente estructural en Zacualtipán, Hidalgo, México. Agrociencia 2015, 49, 423–438. [Google Scholar]
- Ver Planck, N.R.; MacFarlane, D.W. Modelling vertical allocation of tree stem and branch volume for hardwoods. Forestry 2014, 87, 459–469. [Google Scholar] [CrossRef]
- MacFarlane, D.W. Allometric scaling of large branch volume in hardwood trees in Michigan, USA: Implications for aboveground forest carbon stock inventories. For. Sci. 2011, 57, 451–459. [Google Scholar]
- Ramos-Uvilla, J.A.; García-Magaña, J.J.; Hernández-Ramos, J.; García-Cuevas, X.; Velarde-Ramírez, J.C.; Muñoz-Flores, H.J.; García Espinoza, G.G. Ecuaciones y tablas de volumen para dos especies de Pinus de la sierra Purhépecha, Michoacán. Rev. Mex. Cienc. For. 2014, 5, 92–109. [Google Scholar]
- Fonweban, J.; Gardiner, B.; Auty, D. Variable-top merchantable volume equations for Scots pine (Pinus sylvestris) and Sitka spruce (Picea sitchensis (Bong.) Carr.) in Northern Britain. Forestry 2012, 85, 237–253. [Google Scholar] [CrossRef]
- Corral-Rivas, J.J.; Diéguez-Aranda, U.; Corral Rivas, S.; Castedo Dorado, F. A merchantable volume system for major pine species in El Salto, Durango (Mexico). For. Ecol. Manag. 2007, 238, 118–129. [Google Scholar] [CrossRef]
- Cruz-Cobos, F.; De los Santos-Posadas, H.M.; Valdez-Lazalde, J.R. Compatible taper-volume system for Pinus cooperi Blanco in Durango, Mexico. Agrociencia 2008, 42, 473–485. [Google Scholar]
- Uranga-Valencia, L.P.; De los Santos-Posadas, H.M.; Valdez-Lazalde, J.R.; López-Upton, J.; Navarro-Garza, H. Total volume and taper for Pinus patula Schiede ex Schltdl. et Cham. at three forest conditions. Agrociencia 2015, 49, 787–801. [Google Scholar]
- Hernández-Ramos, J.; Hernández-Ramos, A.; García-Magaña, J.J.; García-Cuevas, X.; García-Espinoza, G.G.; Muñoz-Flores, H.J.; Olvera-Delgadillo, E.H. Sistema compatible de ahusamiento-volumen comercial para plantaciones de Pinus greggii Engelm. en Hidalgo, México. Rev. Mex. Cienc. For. 2017, 8, 59–70. [Google Scholar] [CrossRef][Green Version]
- Tamarit Urías, J.C.; De los Santos Posadas, H.M.; Aldrete, A.; Valdez Lazalde, J.R.; Ramírez Maldonado, H.; Guerra De la Cruz, V. Volume estimation system for individual Tectona grandis L. f. trees trough compatible taper/volume functions. Rev. Mex. Cienc. For. 2014, 5, 58–74. [Google Scholar]



| Variable | Mean | Minimum | Maximum | SD |
|---|---|---|---|---|
| D | 33.346 | 20.25 | 51.5 | 7.463 |
| d | 22.887 | 0 | 58.4 | 12.967 |
| H | 27.192 | 21.94 | 33 | 2.603 |
| h | 11.543 | 0.30 | 33 | 9.523 |
| Vm | 0.661 | 0 | 2.523 | 0.591 |
| Vs | 1.121 | 0.334 | 2.523 | 0.538 |
| Vt | 1.171 | 0.34 | 2.64 | 0.566 |
| Vb | 0.044 | 0.001 | 0.116 | 0.033 |
| Equation | System |
|---|---|
| (S1) | |
| (S2) | |
| (S3) | |
| (S4) | |
| (S5) | |
| (S6) | |
| CS | ||||||||||||
|---|---|---|---|---|---|---|---|---|---|---|---|---|
| S1E3 | θ | 9.1 × 10−5 | 1.669 | 1.062 | 2.384 | 0.958 | 0.764 | 0.306 | 8.6 × 10−5 | 1.693 | 1.066 | |
| ε | 1.1 × 10−5 | 0.024 | 0.052 | 0.025 | 0.002 | 0.029 | 0.043 | 1.0 × 10−5 | 0.023 | 0.051 | ||
| S2E3 | θ | 9.7 × 10−5 | 1.682 | 1.031 | 1.675 | 1.364 | 0.805 | 0.251 | 9.1 × 10−5 | 1.705 | 1.036 | |
| ε | 1.2 × 10−5 | 0.025 | 0.053 | 0.109 | 0.130 | 0.025 | 0.035 | 1.1 × 10−5 | 0.024 | 0.052 | ||
| S3E3 | θ | 9.8 × 10−5 | 1.683 | 1.035 | 0.421 | 0.922 | 0.843 | 9.2 × 10−5 | 1.705 | 1.041 | ||
| ε | 9.7 × 10−6 | 0.019 | 0.042 | 0.006 | 0.022 | 0.018 | 9.0 × 10−6 | 0.019 | 0.041 | |||
| S4E3 | θ | 9.3 × 10−5 | 1.687 | 1.035 | 2.497 | 1.155 | 0.814 | 0.245 | 8.8 × 10−5 | 1.710 | 1.041 | |
| ε | 1.2 × 10−5 | 0.025 | 0.054 | 0.026 | 0.013 | 0.026 | 0.032 | 1.1 × 10−5 | 0.025 | 0.053 | ||
| S5E3 | θ | 9.7 × 10−5 | 1.725 | 0.977 | 2.642 | −0.33 | 3.8 × 10−5 | 0.772 | 0.226 | 9.3 × 10−5 | 1.747 | 0.985 |
| ε | 8.6 × 10−6 | 0.017 | 0.036 | 0.021 | 0.073 | 1.1 × 10−5 | 0.031 | 0.031 | 8.1 × 10−6 | 0.017 | 0.036 | |
| S6E3 | θ | 7.8 × 10−5 | 1.735 | 1.039 | −0.97 | 2.566 | 2.558 | 0.671 | 0.186 | 7.4 × 10−5 | 1.756 | 1.044 |
| ε | 7.2 × 10−6 | 0.017 | 0.039 | 0.093 | 0.020 | 0.035 | 0.045 | 0.028 | 6.8 × 10−6 | 0.017 | 0.038 | |
| S1E4 | θ | 1.3 × 10−4 | 0.872 | 2.380 | 0.958 | 0.763 | 0.296 | 1.2 × 10−4 | 0.882 | |||
| ε | 9.5 × 10−6 | 0.007 | 0.025 | 0.002 | 0.029 | 0.042 | 8.7 × 10−6 | 0.007 | ||||
| S2E4 | θ | 1.2 × 10−4 | 0.875 | 1.680 | 1.358 | 0.804 | 0.248 | 1.0 × 10−4 | 0.886 | |||
| ε | 9.3 × 10−6 | 0.007 | 0.110 | 0.130 | 0.025 | 0.035 | 8.5 × 10−6 | 0.007 | ||||
| S3E4 | θ | 1.3 × 10−4 | 0.872 | 0.423 | 0.922 | 0.842 | 1.2 × 10−4 | 0.882 | ||||
| ε | 7.4 × 10−6 | 0.005 | 0.006 | 0.022 | 0.019 | 6.9 × 10−6 | 0.005 | |||||
| S4E4 | θ | 1.2 × 10−4 | 0.875 | 2.47 | 1.159 | 0.814 | 0.243 | 1.2 × 10−4 | 0.885 | |||
| ε | 9.6 × 10−6 | 0.007 | 0.025 | 0.013 | 0.026 | 0.032 | 8.6 × 10−6 | 0.007 | ||||
| S5E4 | θ | 1.1 × 10−4 | 0.883 | 3.080 | −1.499 | 1.7 × 10−4 | 0.920 | 0.796 | 1.0 × 10−4 | 0.893 | ||
| ε | 9.1 × 10−6 | 0.007 | 0.0366 | 0.533 | 3.3 × 10−5 | 0.022 | 0.023 | 8.3 × 10−6 | 0.007 | |||
| S6E4 | θ | 4.4 × 10−5 | 0.974 | −1.193 | 2.581 | 2.637 | 0.830 | 0.241 | 4.2 × 10−6 | 0.982 | ||
| ε | 7.8 × 10−7 | 0.001 | 0.119 | 0.020 | 0.036 | 0.023 | 0.033 | 8.8 × 10−7 | 0.001 | |||
| S1E5 | θ | 3.3 × 10−5 | 2.467 | 0.958 | 0.766 | 0.233 | 3.5 × 10−5 | |||||
| ε | 1.3 × 10−7 | 0.028 | 0.002 | 0.029 | 0.037 | 1.3 × 10−7 | ||||||
| S2E5 | θ | 3.3 × 10−5 | 1.758 | 1.374 | 0.809 | 0.212 | 3.5 × 10−5 | |||||
| ε | 1.4 × 10−7 | 0.120 | 0.142 | 0.025 | 0.031 | 1.4 × 10−7 | ||||||
| S3E5 | θ | 3.5 × 10−5 | 0.410 | 0.921 | 0.828 | 3.6 × 10−5 | ||||||
| ε | 1.2 × 10−7 | 0.006 | 0.023 | 0.020 | 1.2 × 10−7 | |||||||
| S4E5 | θ | 3.3 × 10−5 | 2.533 | 1.180 | 0.817 | 0.223 | 3.4 × 10−5 | |||||
| ε | 1.4 × 10−7 | 0.027 | 0.013 | 0.025 | 0.030 | 1.4 × 10−7 | ||||||
| S5E5 | θ | 3.3 × 10−5 | 2.682 | −0.376 | 7.0 × 10−6 | 0.772 | 0.207 | 3.4 × 10−5 | ||||
| ε | 9.9 × 10−8 | 0.022 | 0.062 | 2.6 × 10−6 | 0.030 | 0.029 | 1.1 × 10−7 | |||||
| S6E5 | θ | 3.4 × 10−5 | −1.252 | 2.637 | 2.701 | 0.697 | 0.184 | 3.5 × 10−5 | ||||
| ε | 1.1 × 10−7 | 0.131 | 0.021 | 0.038 | 0.041 | 0.028 | 1.1 × 10−7 | |||||
| CS | Component | R2adj | RMSE | Ē | AIC | Rating |
|---|---|---|---|---|---|---|
| S1E3 | d | 0.982 | 1.722 | 0.033 | 732.1 | 54 |
| Vm | 0.998 | 0.028 | 0.001 | −4731.6 | ||
| Vs | 0.953 | 0.116 | 0.002 | −175.9 | ||
| Vt | 0.953 | 0.122 | 0.006 | −171.9 | ||
| Vb | 0.699 | 0.018 | 0.001 | −333.2 | ||
| S2E3 | d | 0.976 | 2.012 | 0.033 | 938.7 | 52 |
| Vm | 0.998 | 0.028 | 0.001 | −4732.8 | ||
| Vs | 0.953 | 0.116 | 0.002 | −176.067 | ||
| Vt | 0.953 | 0.122 | 0.006 | −172.053 | ||
| Vb | 0.699 | 0.018 | 0.001 | −333.228 | ||
| S3E3 | d | 0.971 | 2.221 | 0.586 | 1069.1 | 100 |
| Vm | 0.998 | 0.029 | 0.002 | −4687.8 | ||
| Vs | 0.949 | 0.120 | 0.030 | −172.947 | ||
| Vt | 0.951 | 0.125 | 0.026 | −169.9 | ||
| Vb | 0.699 | 0.018 | 0.001 | −333.3 | ||
| S4E3 | d | 0.972 | 2.187 | 0.602 | 1049.6 | 74 |
| Vm | 0.998 | 0.028 | 0.001 | −4730.0 | ||
| Vs | 0.953 | 0.116 | 0.006 | −175.9 | ||
| Vt | 0.953 | 0.122 | 0.010 | −171.8 | ||
| Vb | 0.699 | 0.018 | 0.001 | −333.2 | ||
| S5E3 | d | 0.973 | 2.129 | 0.108 | 1014.9 | 52 |
| Vm | 0.986 | 0.071 | 0.002 | −3514.9 | ||
| Vs | 0.953 | 0.116 | 0.001 | −176.0 | ||
| Vt | 0.953 | 0.122 | 0.005 | −172.1 | ||
| Vb | 0.699 | 0.018 | 0.004 | −333.3 | ||
| S6E3 | d | 0.969 | 2.277 | 0.311 | 1104.6 | 80 |
| Vm | 0.998 | 0.028 | 0.001 | −4723.4 | ||
| Vs | 0.952 | 0.117 | 0.005 | −175.5 | ||
| Vt | 0.952 | 0.123 | 0.009 | −171.4 | ||
| Vb | 0.699 | 0.018 | 0.001 | −333.3 | ||
| S1E4 | d | 0.982 | 1.736 | 0.028 | 741.5 | 36 |
| Vm | 0.998 | 0.028 | 0.001 | −4729.8 | ||
| Vs | 0.954 | 0.115 | 0.002 | −177.7 | ||
| Vt | 0.955 | 0.120 | 0.006 | −174.2 | ||
| Vb | 0.699 | 0.018 | 0.001 | −333.3 | ||
| S2E4 | d | 0.976 | 2.020 | 0.040 | 942.9 | 46 |
| Vm | 0.998 | 0.028 | 0.000 | −4732.1 | ||
| Vs | 0.954 | 0.115 | 0.002 | −177.7 | ||
| Vt | 0.954 | 0.120 | 0.006 | −174.2 | ||
| Vb | 0.699 | 0.018 | 0.001 | −333.2 | ||
| S3E4 | d | 0.970 | 2.232 | 0.590 | 1075.0 | 88 |
| Vm | 0.998 | 0.029 | 0.002 | −4683.6 | ||
| Vs | 0.950 | 0.119 | 0.031 | −174.6 | ||
| Vt | 0.952 | 0.123 | 0.027 | −171.9 | ||
| Vb | 0.699 | 0.018 | 0.001 | −5335.8 | ||
| S4E4 | d | 0.971 | 2.209 | 0.633 | 1062.0 | 60 |
| Vm | 0.998 | 0.028 | 0.001 | −4727.7 | ||
| Vs | 0.954 | 0.115 | 0.005 | −177.6 | ||
| Vt | 0.954 | 0.120 | 0.010 | −173.9 | ||
| Vb | 0.699 | 0.018 | 0.001 | −333.3 | ||
| S5E4 | d | 0.971 | 2.217 | 0.176 | 1067.7 | 79 |
| Vm | 0.998 | 0.028 | 0.000 | −4727.4 | ||
| Vs | 0.954 | 0.115 | 0.005 | −177.6 | ||
| Vt | 0.954 | 0.120 | 0.009 | −173.9 | ||
| Vb | 0.699 | 0.018 | 0.001 | −333.3 | ||
| S6E4 | d | 0.970 | 2.240 | 0.566 | 1081.5 | 103 |
| Vm | 0.997 | 0.032 | 0.001 | −4566.4 | ||
| Vs | 0.941 | 0.130 | 0.021 | −167.4 | ||
| Vt | 0.942 | 0.136 | 0.025 | −163.7 | ||
| Vb | 0.699 | 0.018 | 0.000 | −333.2 | ||
| S1E5 | d | 0.980 | 1.845 | 0.363 | 821.7 | 56 |
| Vm | 0.997 | 0.034 | 0.001 | −4491.8 | ||
| Vs | 0.935 | 0.136 | 0.038 | −164.5 | ||
| Vt | 0.938 | 0.140 | 0.040 | −162.2 | ||
| Vb | 0.686 | 0.019 | 0.003 | −331.4 | ||
| S2E5 | d | 0.972 | 2.158 | 0.352 | 1029.8 | 51 |
| Vm | 0.997 | 0.034 | 0.001 | −4492.3 | ||
| Vs | 0.935 | 0.136 | 0.037 | −164.6 | ||
| Vt | 0.938 | 0.140 | 0.039 | −162.2 | ||
| Vb | 0.686 | 0.019 | 0.003 | −331.4 | ||
| S3E5 | d | 0.968 | 2.326 | 0.455 | 1128.5 | 84 |
| Vm | 0.996 | 0.036 | 0.001 | −4411.9 | ||
| Vs | 0.927 | 0.145 | 0.013 | −159.3 | ||
| Vt | 0.931 | 0.147 | 0.010 | −157.9 | ||
| Vb | 0.687 | 0.019 | 0.002 | −331.5 | ||
| S4E5 | d | 0.970 | 2.238 | 0.416 | 1078.2 | 87 |
| Vm | 0.997 | 0.034 | 0.002 | −4488.6 | ||
| Vs | 0.935 | 0.136 | 0.042 | −164.3 | ||
| Vt | 0.938 | 0.140 | 0.044 | −161.9 | ||
| Vb | 0.686 | 0.019 | 0.002 | −331.5 | ||
| S5E5 | d | 0.972 | 2.175 | 0.024 | 1041.3 | 67 |
| Vm | 0.979 | 0.086 | 0.020 | −3255.4 | ||
| Vs | 0.935 | 0.136 | 0.039 | −164.5 | ||
| Vt | 0.938 | 0.140 | 0.042 | −162.1 | ||
| Vb | 0.687 | 0.019 | 0.002 | −331.5 | ||
| S6E5 | d | 0.968 | 2.324 | 0.464 | 1129.8 | 67 |
| Vm | 0.997 | 0.034 | 0.001 | −4489.9 | ||
| Vs | 0.935 | 0.136 | 0.022 | −164.4 | ||
| Vt | 0.938 | 0.140 | 0.025 | −162.3 | ||
| Vb | 0.687 | 0.019 | 0.002 | −331.5 |
| CS | Vs | Vt | ||
|---|---|---|---|---|
| Bias (m3) | % Bias | Bias (m3) | % Bias | |
| S2E3 | −0.001 | −0.17% | 0.007 | 0.64% |
| S1E4 | 0.014 | 1.36% | 0.036 | 3.16% |
| S2E5 | 0.046 | 4.22% | 0.094 | 8.25% |
| SiBiFor | −0.100 | −9.22% | −0.111 | −9.81% |
© 2018 by the authors. Licensee MDPI, Basel, Switzerland. This article is an open access article distributed under the terms and conditions of the Creative Commons Attribution (CC BY) license (http://creativecommons.org/licenses/by/4.0/).
Share and Cite
García-Espinoza, G.G.; Aguirre-Calderón, O.A.; Quiñonez-Barraza, G.; Alanís-Rodríguez, E.; De Los Santos-Posadas, H.M.; García-Magaña, J.J. Taper and Volume Systems Based on Ratio Equations for Pinus pseudostrobus Lindl. in Mexico. Forests 2018, 9, 344. https://doi.org/10.3390/f9060344
García-Espinoza GG, Aguirre-Calderón OA, Quiñonez-Barraza G, Alanís-Rodríguez E, De Los Santos-Posadas HM, García-Magaña JJ. Taper and Volume Systems Based on Ratio Equations for Pinus pseudostrobus Lindl. in Mexico. Forests. 2018; 9(6):344. https://doi.org/10.3390/f9060344
Chicago/Turabian StyleGarcía-Espinoza, Guadalupe Geraldine, Oscar Alberto Aguirre-Calderón, Gerónimo Quiñonez-Barraza, Eduardo Alanís-Rodríguez, Héctor Manuel De Los Santos-Posadas, and J. Jesús García-Magaña. 2018. "Taper and Volume Systems Based on Ratio Equations for Pinus pseudostrobus Lindl. in Mexico" Forests 9, no. 6: 344. https://doi.org/10.3390/f9060344
APA StyleGarcía-Espinoza, G. G., Aguirre-Calderón, O. A., Quiñonez-Barraza, G., Alanís-Rodríguez, E., De Los Santos-Posadas, H. M., & García-Magaña, J. J. (2018). Taper and Volume Systems Based on Ratio Equations for Pinus pseudostrobus Lindl. in Mexico. Forests, 9(6), 344. https://doi.org/10.3390/f9060344

