Post-Fire Regeneration and Diversity Response to Burn Severity in Pinus halepensis Mill. Forests
Abstract
1. Introduction
2. Materials and Methods
2.1. Study Area
2.2. Field Sampling
2.3. Plant Diversity and Regeneration
2.4. Statistical Analysis
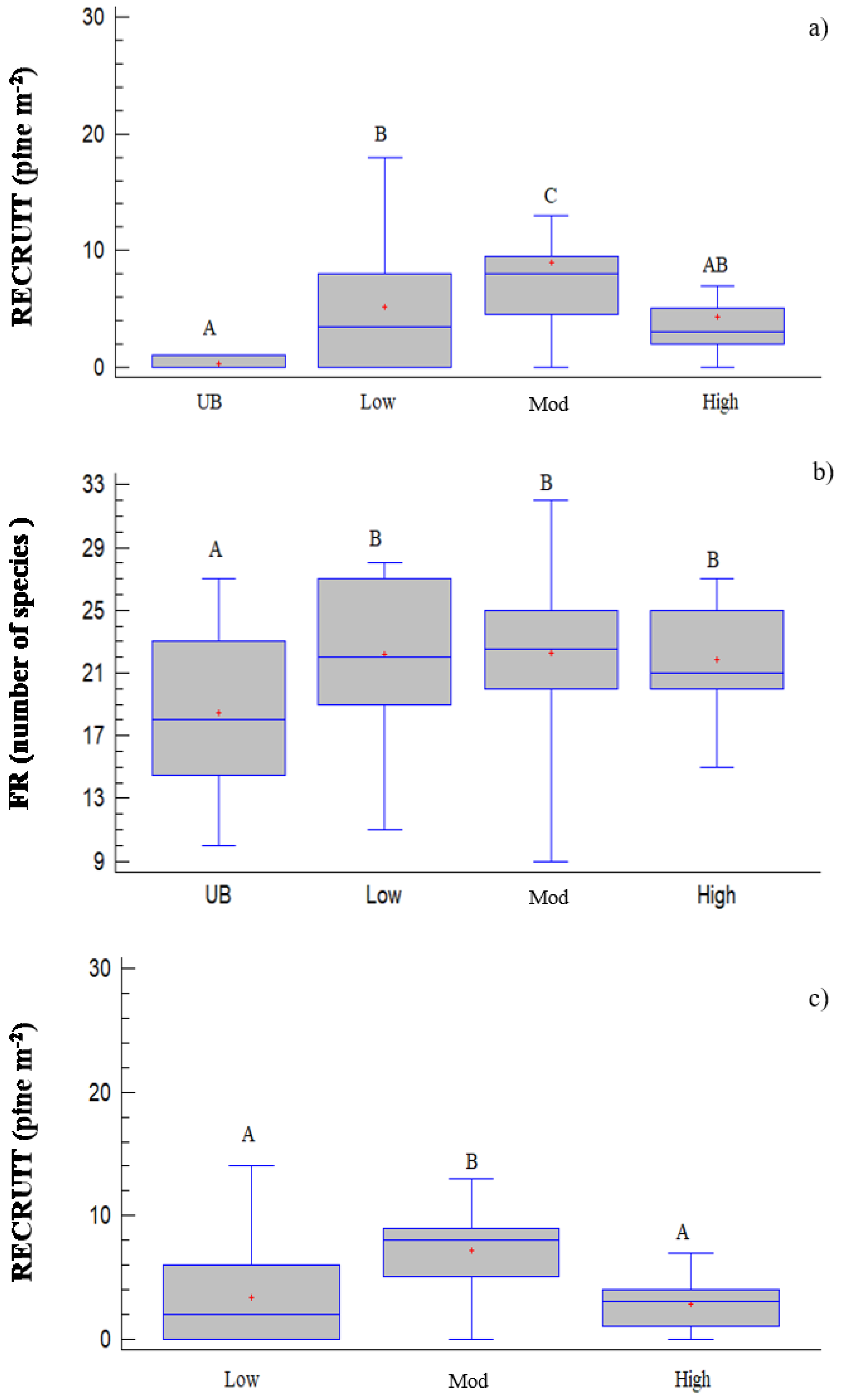
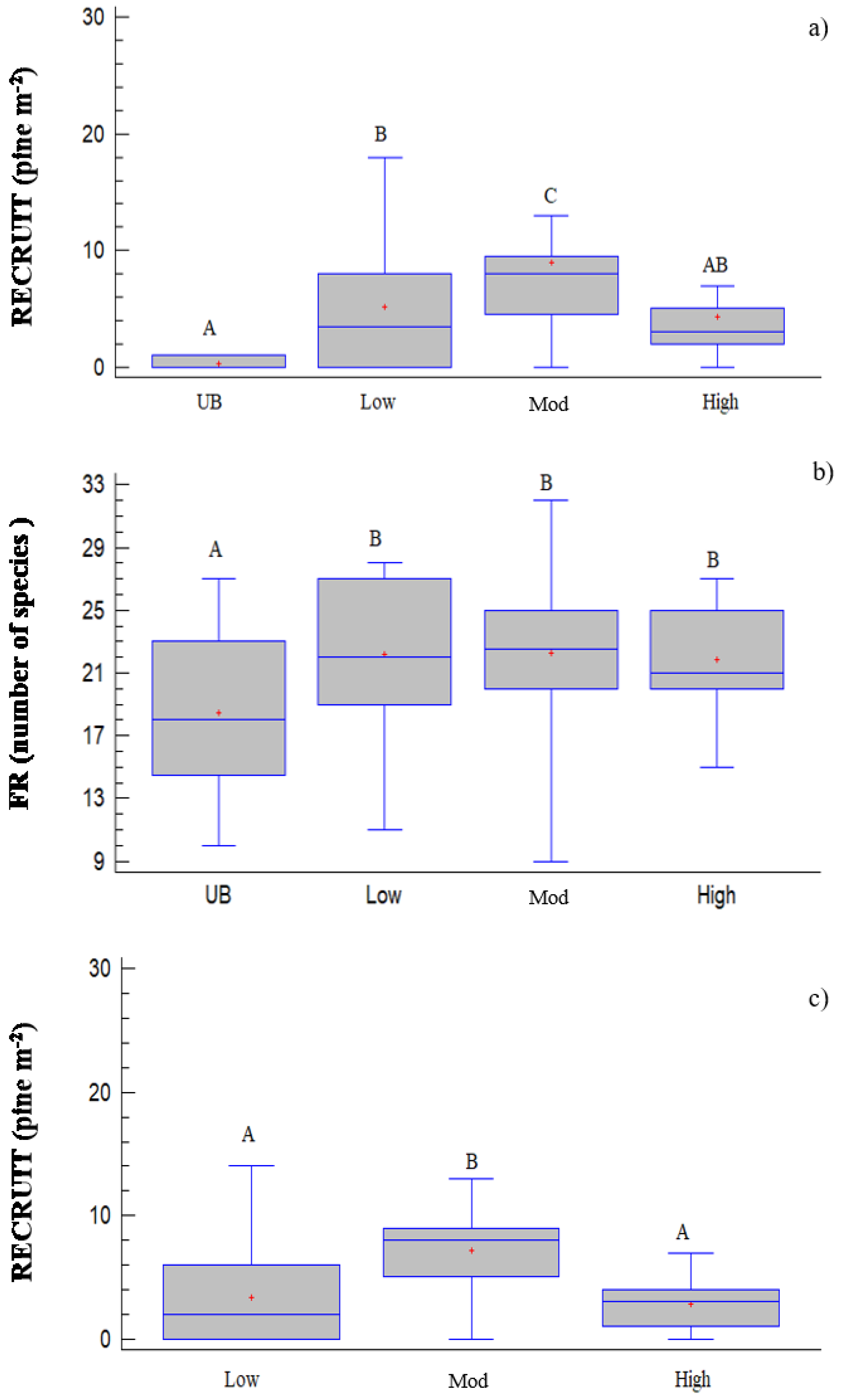
3. Results
4. Discussion
5. Conclusions
Supplementary Materials
Author Contributions
Funding
Acknowledgments
Conflicts of Interest
References
- Bond, W.J.; Keeley, J.E. Fire as a global ‘herbivore’: The ecology and evolution of flammable ecosystems. Trends Ecol. Evol. 2005, 20, 387–394. [Google Scholar] [CrossRef] [PubMed]
- Pausas, J.G.; Keeley, J.E. A burning story: The role of fire in the history of life. BioScience 2009, 59, 593–601. [Google Scholar] [CrossRef]
- Cerdá, A.; Mataix-Solera, J. Efectos de los Incendios Forestales Sobre los Suelos en España: El Estado de la Cuestión visto por los Científicos Españoles; FUEGORED, Cátedra Divulgación de la Ciencia (Universitat de Valencia): Valencia, Spain, 2009; 529p. [Google Scholar]
- Scott, A.C. The Pre-Quaternary history of fire. Palaeogeogr. Palaeoclimatol. Palaeoecol. 2000, 164, 281–329. [Google Scholar] [CrossRef]
- Pausas, J.G.; Keeley, J.E. Abrupt climate-independent fire regime changes. Ecosystems 2014, 17, 1109–1120. [Google Scholar] [CrossRef]
- Dale, V.H.; Joyce, L.A.; McNulty, S.; Neilson, R.P.; Ayres, M.P.; Flannigan, M.D.; Hanson, P.J. Climate change and forest disturbances. BioScience 2001, 51, 723–734. [Google Scholar] [CrossRef]
- Doblas-Miranda, E.; Martínez-Vilalta, J.; Lloret, F.; Álvarez, A.; Ávila, A.; Bonet, F.J.; Brotons, L.; Castro, J.; Curiel Yuste, J.; Díaz, M.; et al. Reassessing global change research priorities in Mediterranean terrestrial ecosystems: How far have we come and where do we go from here? Glob. Ecol. Biog. 2015, 24, 25–43. [Google Scholar] [CrossRef]
- Moriondo, M.; Good, P.; Durao, R.; Bindi, M.; Giannakopoulos, C.; Corte-Real, J. Potential impact of climate change on fire risk in the Mediterranean area. Clim. Res. 2006, 31, 85–95. [Google Scholar] [CrossRef]
- San-Miguel-Ayanz, J.; Schulte, E.; Schmuck, G.; Camia, A.; Strobl, P.; Liberta, G.; McInerney, D. Comprehensive monitoring of wildfires in Europe: The European forest fire information system (EFFIS). Approaches to Managing Disaster-Assessing Hazards, Emergencies and Disaster Impacts. Intech Open. 2012. Available online: https://www.intechopen.com/books/approaches-to-managing-disaster-assessing-hazards-emergencies-and-disaster-impacts/comprehensive-monitoring-of-wildfires-in-europe-the-european-forest-fire-information-system-effis- (accessed on 25 May 2018).
- Doblas-Miranda, E.; Alonso, R.; Arnan, X.; Bermejo, V.; Brotons, L.; de las Heras, J.; Estiarte, M.; Hódar, J.A.; Llorens, P.; Lloret, F.; et al. A review of the combination among global change factors in forests, shrublands and pastures of the Mediterranean Region: Beyond drought effects. Glob. Planet. Chang. 2017, 148, 42–54. [Google Scholar] [CrossRef]
- Newton, A.C.; Cantarello, E. Restoration of forest resilience: An achievable goal? New For. 2015, 46, 645–668. [Google Scholar] [CrossRef]
- Clarke, P.J.; Lawes, M.J.; Midgley, J.J.; Lamont, B.B.; Ojeda, F.; Burrows, G.E.; Knox, K.J.E. Resprouting as a key functional trait: How buds, protection and resources drive persistence after fire. New Phytol. 2013, 197, 19–35. [Google Scholar] [CrossRef] [PubMed]
- Tapias, R.; Gil, L.; Fuentes-Utrilla, P.; Pardos, J.A. Canopy seed banks in Mediterranean pines of South-Eastern Spain: A comparison between Pinus halepensis Mill.; P. pinaster Ait.; P. nigra Arn. and P. pinea L. J. Ecol. 2001, 89, 629–638. [Google Scholar] [CrossRef]
- Reyes, O.; Trabaud, L. Germination behaviour of 14 Mediterranean species in relation to fire factors: Smoke and heat. Plant Ecol. 2009, 202, 113. [Google Scholar] [CrossRef]
- Moreira, F.; Catry, F.X.; Rego, F.; Bacao, F. Size-dependent pattern of wildfire ignitions in Portugal: When do ignitions turn into big fires? Landsc. Ecol. 2010, 25, 1405–1417. [Google Scholar] [CrossRef]
- Moya, D.; De las Heras, J.; López-Serrano, F.R.; Leone, V. Optimal intensity and age of management in young Aleppo pine stands for post-fire resilience. For. Ecol. Manag. 2008, 255, 3270–3280. [Google Scholar] [CrossRef]
- González-De Vega, S.; De Las Heras, J.; Moya, D. Resilience of Mediterranean terrestrial ecosystems and fire severity in semiarid areas: Responses of Aleppo pine forests in the short, mid and long term. Sci. Total Environ. 2016, 573, 1171. [Google Scholar] [CrossRef] [PubMed]
- Viana-Soto, A.; Aguado, I.; Martínez, S. Assessment of Post-Fire Vegetation Recovery Using Fire Severity and Geographical Data in the Mediterranean Region (Spain). Environments 2017, 4, 9. [Google Scholar] [CrossRef]
- Schwilk, D.W.; Keeley, J.E.; Bond, W.J. The intermediate disturbance hypothesis does not explain fire and diversity pattern in Fynbos. Plant Ecol. 1997, 132, 77–84. [Google Scholar] [CrossRef]
- Verroios, G.; Georgiadis, T. Post-fire vegetation succession: The case of Aleppo pine (Pinus halepensis Miller) forests of Northern Achaia (Greece). Fresenius Environ. Bull. 2002, 11, 186–193. [Google Scholar]
- García-Jiménez, R.; Palmero-Iniesta, M.; Espelta, J.M. Contrasting effects of fire severity on the regeneration of Pinus halepensis Mill. and resprouter species in recently thinned thickets. Forests 2017, 8, 55. [Google Scholar] [CrossRef]
- López-Poma, R.; Bautista, S. Plant regeneration functional groups modulate the response to fire of soil enzyme activities in a Mediterranean shrubland. Soil Biol. Biochem. 2014, 79, 5–13. [Google Scholar] [CrossRef]
- Pereira, P.; Francos, M.; Brevik, E.C.; Ubeda, X.; Bogunovic, I. Post-fire soil management. Curr. Opin. Environ. Sci. Health 2018, 5, 26–32. [Google Scholar] [CrossRef]
- Pasho, E.; Camarero, J.J.; de Luis, M.; Vicente-Serrano, S.M. Impacts of drought at different time scales on forest growth across a wide climatic gradient in north-eastern Spain. Agric. For. Meteor. 2011, 151, 1800–1811. [Google Scholar] [CrossRef]
- Quezel, P. Taxonomy and biogeography of Mediterranean pines (Pinus halepensis and P. brutia). In Ecology, Biogeography and Management of Pinus halepensis and P. brutia Forest Ecosystems in the Mediterranean Basin; Ne’eman, G., Trabaud, L., Eds.; Backhuys Publishers: Leiden, The Netherlands, 2000; pp. 1–12. [Google Scholar]
- Sarris, D.; Christodoulakis, D.; Korner, C. Impact of recent climatic change on growth of low elevation eastern Mediterranean forest trees. Clim. Chang. 2011, 106, 203–223. [Google Scholar] [CrossRef]
- Goubitz, S.; Nathan, R.; Roitemberg, D.; Shmida, A.; Ne’eman, G. Canopy seed bank structure in relation to: Fire, tree size and density. Plant Ecol. 2004, 173, 191–201. [Google Scholar] [CrossRef]
- Keeley, J.E.; Bond, W.J.; Bradstock, R.A.; Pausas, J.G.; Rundel, P.W. Fire in Mediterranean Ecosystems: Ecology, Evolution and Management; Cambridge University Press: Cambridge, UK, 2012. [Google Scholar]
- Hernández-Serrano, A.; Verdú, M.; González-Martínez, S.C.; Pausas, J.G. Fire structures pine serotiny at different scales. Am. J. Bot. 2013, 100, 2349–2356. [Google Scholar] [CrossRef] [PubMed]
- DeRose, R.J.; Long, J.N. Resistance and resilience: A conceptual framework for silviculture. For. Sci. 2014, 60, 1205–1212. [Google Scholar] [CrossRef]
- Kottek, M.; Grieser, J.; Rieser, C.; Beck, C.; Rudolf, B.; Rubel, F. World map of the Koppen-Geiger climate classification updated. Meteorol. Z. 2006, 15, 259–263. [Google Scholar] [CrossRef]
- García-Morote, F.A.; Martínez-García, E.; Andrés-Abellán, M.; Caballero, E.R.; Miettinen, H.; López-Serrano, F.R. Direct seeding of Pinus halepensis Mill. for recovery of burned Semi-Arid Forests: Implications for post-fire management for improving natural regeneration. Forests 2017, 8, 353. [Google Scholar]
- Soil Survey Staff. Keys to Soil Taxonomy, 12th ed.; USDA-Natural Resources Conservation Service: Washington, DC, USA, 2014.
- Miller, J.D.; Thode, A.E. Quantifying burn severity in a heterogeneous landscape with a relative version of the delta normalized burn ratio (dNBR). Remote Sens. Environ. 2007, 109, 66–80. [Google Scholar] [CrossRef]
- Gómez-Sánchez, E.; de las Heras, J.; Lucas-Borja, M.; Moya, D. Assessing fire severity in semi-arid environments: Application in Donceles 2012 wildfire (SE Spain). Revista Teledetección 2017, 49, 103–113. [Google Scholar] [CrossRef]
- Alloza, J.A.; García, S.; Gimeno, T.; Baeza, M.J.; Vallejo, V.R. Guía Técnica Para la Gestión de Montes Quemados; Ministerio de Agricultura, Alimentación y Medio Ambiente: Madrid, Spain, 2014; 188p. [Google Scholar]
- Ryan, K.; Noste, N. Evaluating prescribed fires. Proceedings of the Symposium and Workshop on Wilderness Fire, Missoula, Montana, 15 November 1983. USDA Forest Service Intermountain Forest and Range Experiment Station, General Technical Report INT 182. 1985, pp. 230–238. Available online: https://www.fs.fed.us/rm/publications/titles/int_gtr.html (accessed on 25 May 2018).
- Stohlgren, T.J.; Falkner, M.; Schell, D.L. A Modified-Whittaker nested vegetation sampling method. Plant Ecol. 1995, 117, 113–121. [Google Scholar] [CrossRef]
- Van der Maarel, E. Transformation of cover-abundance values for appropriate numerical treatment–Alternatives to the proposals by Podani. J. Veg. Sci. 2007, 18, 767–770. [Google Scholar]
- Buckland, S.T.; Borchers, D.L.; Johnston, A.; Henrys, P.A.; Marques, T.A. Line transect methods for plant surveys. Biometrics 2007, 63, 989–998. [Google Scholar] [CrossRef] [PubMed]
- Shannon, C. A mathematical theory of communication. Bell. Syst. Tech. J. 1948, 27, 379–423. [Google Scholar] [CrossRef]
- Simpson, E.H. Measurement of diversity. Nature 1949, 163, 688. [Google Scholar] [CrossRef]
- Paula, S.; Arianoutsou, M.; Kazanis, D.; Tavsanoglu, Ç.; Lloret, F.; Buhk, C.; Ojeda, F.; Luna, B.; Moreno, J.M.; Rodrigo, A.; et al. Fire-related traits for plant species of the Mediterranean Basin. Ecology 2009, 90, 1420. [Google Scholar] [CrossRef]
- Tutin, T.G.; Heywood, V.H.; Burges, N.A.; Moore, D.M.; Valentine, D.H.; Walters, S.M.; Webb, D.A. Flora Europaea; Cambridge University Press: Cambridge, UK, 1964. [Google Scholar]
- Castroviejo, S. Flora ibérica. Available online: http://www.floraiberica.es/ (accessed on 24 May 2018).
- Statgraphics Centurion 18.1.03; Statpoint Technologies Inc.: Warrenton, VA, USA, 2018.
- R Development Core Team. R: A Language and Environment for Statistical Computing; R Foundation for Statistical Computing: Vienna, Austria, 2015. [Google Scholar]
- Kruger, F.J. Plant Community Diversity and Dynamics in Relation to Fire. In Mediterranean-Type Ecosystems; Kruger, F.J., Mitchell, D.T., Jarvis, J.U.M., Eds.; Ecological Studies (Analysis and Synthesis); Springer: Berlin/Heidelberg, Germany, 1983. [Google Scholar]
- Ghermandi, L.; Gonzalez, S.; Lescano, M.N.; Oddi, F. Effects of fire severity on early recovery of Patagonian steppes. Int. J. Wildland Fire 2013, 22, 1055–1062. [Google Scholar] [CrossRef]
- Zedler, P.H.; Gautier, C.R.; McMaster, G.S. Vegetation change in response to extreme events: The effect of a short interval between fires in California chaparral and coastal scrub. Ecology 1983, 64, 809–818. [Google Scholar] [CrossRef]
- Cowling, R.M.; Rundel, P.W.; Lamont, B.B.; Arroyo, M.K.; Arianoutsou, M. Plant diversity in mediterranean-climate regions. Trends Ecol. Evol. 1996, 11, 362–366. [Google Scholar] [CrossRef]
- Kazanis, D.; Arianoutsou, M. Vegetation Composition in a Post-Fire Successional Gradient of Pinus halepensis Forests in Attica, Greece. Int. J. Wildland Fire 1996, 6, 83–91. [Google Scholar] [CrossRef]
- Bond, W.J.; Van Wilgen, B.W. Fire and Plants (population and community biology series 14). Popul. community Biol. 1996, 263. [Google Scholar]
- Pausas, J.G.; Keeley, J. Evolutionary ecology of resprouting and seeding in fire-prone ecosystems. New Phytol. 2014, 204, 55–65. [Google Scholar] [CrossRef] [PubMed]
- Marais, K.E.; Pratt, R.B.; Jacobs, S.M.; Jacobsen, A.L.; Esler, K.J. Postfire regeneration of resprouting mountain fynbos shrubs: Differentiating obligate resprouters and facultative seeders. Plant Ecol. 2014, 215, 195–208. [Google Scholar] [CrossRef]
- Pausas, J.G.; Bradstock, R.A.; Keith, D.A.; Keeley, J.E. Plant Functional traits in relation to fire in crown-fire ecosystems. Ecology 2004, 85, 1085–1100. [Google Scholar] [CrossRef]
- Hollingsworth, T.N.; Johnstone, J.F.; Bernhardt, E.L.; Chapin, F.S., III. Fire severity filters regeneration traits to shape community assembly in Alaska’s boreal forest. PLoS ONE 2013, 8, e56033. [Google Scholar] [CrossRef] [PubMed]
- Moya, D.; De las Heras, J.; Salvatore, R.; Valero, E.; Leone, V. Fire intensity and serotiny: Response of germination and enzymatic activity in seeds of Pinus halepensis Mill. from southern Italy. Ann. For. Sci. 2013, 70, 49–59. [Google Scholar] [CrossRef]
- Sagra, J.; Plaza-Álvarez, P.A.; Moya, D.; Lucas-Borja, M.E.; Alfaro Sánchez, R.; de las Heras Ibáñez, J.; Ferrandis, P. Predation influence on seedling recruitment in Mediterranean forests after prescribed burning. Forests 2017, 8, 243. [Google Scholar] [CrossRef]
- Pausas, J.G.; Keeley, J.E.; Schwilk, D.W. Flammability as an ecological and evolutionary driver. J. Ecol. 2017, 105, 289–297. [Google Scholar] [CrossRef]
- Ne’eman, G.; Goubitz, S.; Nathan, R. Reproductive traits of Pinus halepensis in the light of fire-A critical review. Plant Ecol. 2004, 171, 69–79. [Google Scholar] [CrossRef]





| p-Value | F-Ratio | Adj R2 | Durbin Watson | Factor | F-Ratio | p-Value | |
|---|---|---|---|---|---|---|---|
| H′ | <0.01 | 18.78 | 27.66 | 1.20 | TIME | 28.96 | <0.01 |
| TIME*SEV | 6.42 | 0.01 | |||||
| D | <0.01 | 29.39 | 37.91 | 1.77 | TIME | 17.45 | <0.01 |
| SEV | 37.39 | <0.01 | |||||
| RECRUIT | 0.01 | 6.42 | 5.56 | 2.18 | SEV | 6.42 | 0.01 |
| FR | 0.02 | 5.26 | 4.34 | 1.51 | SEV | 5.26 | 0.02 |
| Regeneration Strategy | Growth Form | ||||||||
|---|---|---|---|---|---|---|---|---|---|
| R−S− | R−S+ | R+S− | R+S+ | TREE | SHRUB | DWARF-S | HERB | ||
| 2013 | UB | 0.00 ± 0.00 | 50.00 ± 5.77 | 16.11 ± 4.55 | 33.89 ± 3.89 | 8.89 ± 1.11 | 23.89 ± 4.55 | 39.44 ± 5.30 | 27.78 ± 9.09 |
| Low | 0.00 ± 0.00 | 54.54 ± 7.06 | 16.08 ± 2.29 | 23.54 ± 1.33 | 11.56 ± 1.35 | 16.07 ± 2.35 | 19.37 ± 1.44 | 50.66 ± 1.80 | |
| Mid | 1.04 ± 0.68 | 54.10 ± 2.40 | 18.03 ± 2.25 | 26.83 ± 1.73 | 12.12 ± 2.03 | 25.49 ± 1.66 | 16.23 ± 1.88 | 46.15 ± 3.79 | |
| High | 0.35 ± 0.35 | 56.39 ± 1.81 | 18.30 ± 1.28 | 25.91 ± 2.04 | 11.82 ± 1.63 | 26.74 ± 1.89 | 19.01 ± 2.74 | 42.44 ± 3.03 | |
| 2015 | UB | 2.38 ± 2.38 | 36.96 ± 6.19 | 22.67 ± 4.85 | 37.99 ± 3.96 | 11.08 ± 1.97 | 20.19 ± 2.56 | 38.92 ± 4.15 | 29.81 ± 4.79 |
| Low | 0.41 ± 0.41 | 46.34 ± 6.13 | 14.40 ± 1.86 | 32.62 ± 2.27 | 9.52 ± 1.44 | 16.00 ± 2.34 | 33.54 ± 2.53 | 38.71 ± 2.99 | |
| Mid | 0.00 ± 0.00 | 54.88 ± 2.35 | 14.88 ± 1.86 | 30.24 ± 2.70 | 8.54 ± 0.94 | 24.01 ± 1.97 | 27.13 ± 1.73 | 40.33 ± 2.20 | |
| High | 0.82 ± 0.52 | 53.25 ± 2.32 | 19.45 ± 1.89 | 26.49 ± 2.95 | 9.44 ± 1.23 | 24.01 ± 1.29 | 29.72 ± 1.72 | 36.83 ± 2.04 | |
| 2017 | UB | 0.00 ± 0.00 | 46.85 ± 8.59 | 17.60 ± 5.07 | 38.33 ± 9.22 | 11.44 ± 3.45 | 22.66 ± 3.45 | 35.62 ± 7.10 | 30.28 ± 7.52 |
| Low | 0.41 ± 0.41 | 44.08 ± 6.38 | 17.55 ± 2.22 | 33.10 ± 2.89 | 12.97 ± 1.76 | 20.40 ± 2.70 | 28.78 ± 2.33 | 34.38 ± 2.10 | |
| Mid | 0.00 ± 0.00 | 46.38 ± 3.73 | 18.61 ± 2.99 | 35.01 ± 3.09 | 10.49 ± 2.15 | 28.73 ± 1.99 | 23.51 ± 2.49 | 37.28 ± 5.07 | |
| High | 0.34 ± 0.34 | 45.13 ± 1.53 | 20.84 ± 2.29 | 33.69 ± 3.30 | 11.05 ± 1.35 | 26.10 ± 2.10 | 28.08 ± 2.66 | 34.77 ± 3.09 | |
© 2018 by the authors. Licensee MDPI, Basel, Switzerland. This article is an open access article distributed under the terms and conditions of the Creative Commons Attribution (CC BY) license (http://creativecommons.org/licenses/by/4.0/).
Share and Cite
González-De Vega, S.; De las Heras, J.; Moya, D. Post-Fire Regeneration and Diversity Response to Burn Severity in Pinus halepensis Mill. Forests. Forests 2018, 9, 299. https://doi.org/10.3390/f9060299
González-De Vega S, De las Heras J, Moya D. Post-Fire Regeneration and Diversity Response to Burn Severity in Pinus halepensis Mill. Forests. Forests. 2018; 9(6):299. https://doi.org/10.3390/f9060299
Chicago/Turabian StyleGonzález-De Vega, Sonsoles, Jorge De las Heras, and Daniel Moya. 2018. "Post-Fire Regeneration and Diversity Response to Burn Severity in Pinus halepensis Mill. Forests" Forests 9, no. 6: 299. https://doi.org/10.3390/f9060299
APA StyleGonzález-De Vega, S., De las Heras, J., & Moya, D. (2018). Post-Fire Regeneration and Diversity Response to Burn Severity in Pinus halepensis Mill. Forests. Forests, 9(6), 299. https://doi.org/10.3390/f9060299

