Next Article in Journal
The Application of Two Approaches Using GIS Technology Implementation in Forest Road Network Planning in an Italian Mountain Setting
Next Article in Special Issue
Comparison of Whole-Tree Wood Property Maps for 13- and 22-Year-Old Loblolly Pine
Previous Article in Journal
Estimation of Forest Aboveground Biomass and Leaf Area Index Based on Digital Aerial Photograph Data in Northeast China
Previous Article in Special Issue
Phenotypic and Genotypic Correlations for Wood Properties of Hybrid Poplar Clones of Southern Quebec
 
 
Font Type:
Arial Georgia Verdana
Font Size:
Aa Aa Aa
Line Spacing:
Column Width:
Background:
Article

Solid Wood Properties Assessed by Non-Destructive Measurements of Standing European Larch (Larix decidua Mill.): Environmental Effects on Variation within and among Trees and Forest Stands

1
Department of Forest Genetics, Austrian Research Centre for Forests BFW, 1131 Vienna, Austria
2
Höhere Bundeslehranstalt für Forstwirtschaft, 8600 Bruck an der Mur, Austria
3
Department of Forest Growth and Silviculture, Austrian Research Centre for Forests BFW, 1131 Vienna, Austria
*
Author to whom correspondence should be addressed.
Forests 2018, 9(5), 276; https://doi.org/10.3390/f9050276
Submission received: 11 April 2018 / Revised: 17 May 2018 / Accepted: 18 May 2018 / Published: 18 May 2018
(This article belongs to the Special Issue Wood Property Responses to Silvicultural Treatments)

Abstract

:
To avoid unintentional loss of wood quality when selecting for higher productivity in tree breeding programs, non-destructive methods for fast and reliable assessment of wood quality on standing trees are required. In this study, we tested and applied Pilodyn penetration (PP) and measures of stress wave velocity (SWV) in trees within a European larch (Larix decidua Mill.) breeding program. Through testing PP in 4267 trees on 21 afforestation sites across a broad climatic spectrum, we analysed the effects of climate, tree age, and site conditions on PP. Moreover, detailed measures within two selected stands allowed us to estimate measurement variation within and among trees in relation to the measurement angle and individual tree characteristics. We found significant variation of PP and SWV among forests stands, single trees, and even within trees, if measured on opposite sides in mountainous terrain. Both measurements exhibited a high degree of genetic determination, i.e., repeatability was 0.32–0.61 for PP and 0.56 for SWV, respectively. The obtained estimates for wood stiffness were comparable to measures on harvested wood samples of European or hybrid larch. Our results demonstrate that the integration of wood quality parameters into larch breeding programs is highly recommended, and reliable tools are available. Results are discussed in relation to environmental and measurement variation and methods to optimize field measurements are suggested.

1. Introduction

Wood properties, including density, durability, fibre length, or wood stiffness, define the utilization of woody raw material [1] as well as their use in potential bioeconomic supply chains [2]. Bases for various wood properties are frequently species- and genera-specific trade-offs which take into account physiological, structural, and defense constraints [3]. Such constraints are largely affected by the environmental conditions of a forest (e.g., climate, soil, competition, pests) and can vary according to both transcontinental and biogeographical scales, as has been shown by P. Lenz et al. and U. Stahl et al. [4,5].
Both tree breeding activities and silvicultural regimes, which aim for increased wood production and forest stability, were found to significantly affect wood properties [6]. For example, negative correlations were observed between growth and wood quality for Norway spruce (Picea abies (L.) H. Karst.) and radiata pine (Pinus radiata D. Don) [7,8], suggesting that selection on the basis of mass production alone can negatively affect wood properties. Similar negative correlations were found in numerous other species [9]; however, because correlations between growth and wood quality traits were found to vary among subpopulations and families, this variation allows for simultaneous improvement of both traits [10]. Thus, consideration of wood quality parameters in tree improvement programs is necessary to produce raw material with well-defined structural properties [11,12].
Any wider consideration of wood properties in tree breeding programs and forest management strategies is hampered by the time-consuming methods to measure wood characteristics, which often require destructive sampling and are limited to small sample sizes. To overcome this limitation, several field measurement systems for non-destructive analysis on standing trees have been developed in recent decades. For example, wood density can be estimated by the penetration depth of a standardized striker pin, known as Pilodyn penetration [13]. Another method to predict physical and mechanical wood properties is based on acoustic technologies [14]. In particular, the stress-wave velocity, i.e., the time it takes a stress wave to travel a fixed distance through the tree, was found to be a valuable parameter, strongly correlated to the modulus of elasticity (often referred to as wood stiffness) and wood density [15,16]. Together, Pilodyn penetration and stress wave velocity measurements on standing trees are simple and effective non-destructive methods for assessing required data in terms of indirect tests of wood quality [7,16,17,18].
To apply PP and SWV within tree breeding programs, in which large numbers of genotypes are tested within different environments, all potential sources of variation for PP and SWV must be identified. For example, variation can be expected when measuring the same tree on different sides, particularly if the plantation site is inclined. Moura et al. [19] found that Pilodyn penetration is unreliable to screen density at the individual tree level; however, measurements of PP taken after stabilization of density and modulus of elasticity (MOE) can provide reliable data for genetic selection [7]. Similar conclusions were drawn for SWV by Paradis et al. [16] when screening black spruce (Picea mariana (P. Mill.) B.S.P.) populations for grade classifications. Therefore, both the optimal number of measurements per tree and the optimal measurement position need to identified. Further variation might occur in cases in which trees are growing under different climatic conditions or if different tree ages are measured. This is because PP estimates wood density only within the youngest tree rings, which might differ from the density of the core wood. Despite such measurement variation, both traits, PP and SWV, exhibited high levels of heritability [20] and thus were used as breeding selection criteria for many species. MOE calculation from the combined measurements of PP and SWV showed a high genetic correlation with benchmark MOE obtained from felled logs [7].
European larch (Larix decidua Mill.) is a deciduous conifer species with a strongly disjunct distribution [21,22] and is native to the mountains of Central Europe, in particular, the Alps, the Carpathian Mountains, the Sudetes, and the lowlands of southern Poland. As a result of its very good wood characteristics, such as high density, durability and aesthetic value, larch wood has been a traditional building material across the Alps and is often used for timber constructions for out- and indoor applications. Previous breeding activities and seed orchard programs did not consider wood quality traits, but focused on growth performance and stem form. Accordingly, for second-generation breeding programs, it is indispensable to consider wood properties to sustain the inherent characteristics of the species in future plantations.
The objective of the present study is to test the applicability of PP and SWV measurements within large scale plantation and breeding programs of European larch. Because the species is a conifer of mountainous ecosystems, we were predominantly interested in an analysis of the variation of PP and SWV within trees and to test for both the effects of the mountainous terrain (effects of slope) and the given prevailing wind conditions, which usually results into compression wood. Secondly, we tested for variation among plantation sites established under various environmental conditions and with different tree ages. Our large screening for PP within 21 plantations and SWV within 2 plantations allowed us to correlate these wood traits to other phenotypic growth measures and to test for effects of the local climate conditions on wood trait variation. Thirdly, we used repeated measures on single trees to estimate the repeatability of the wood traits as estimates for its degree of genetic determination. Finally, we combined PP and SWV measurements to calculate the modulus of elasticity; we then compared this value with published data from other larch species and larch hybrids.

2. Materials and Methods

2.1. Plant Material and Study Site

This work is based on 4267 trees of European larch from 21 regular afforestations at ages between 25 and 35 years (Table 1). The plant material consists of open-pollinated progenies of 42 clones from the first-generation seed orchard Hamet (Register No. Lä P3 4.2/sm–tm), which is situated close to Klausen-Leopoldsdorf in Vienna Woods. The 21 afforestations were planted in altitudes between 250–800 meters above sea level across a wide climatic gradient.
Climate data for the study sites (excluding wind) were obtained from the WorldClim database [23]. The prevailing wind direction in the proximity (7 km) of the intensive study stands B6 and B13 was determined from the ICP Forests Level II monitoring plot Klausen-Leopoldsdorf [24], using measurements from November 1998 until January 2017, in intervals of 15 min.

2.2. Pilodyn Penetration (PP)

Pilodyn penetration measurements (Pilodyn Forest 6J, PROCEQ, Zurich, Switzerland) were taken according to Hansen [19], with a standard pin of 2.5 mm and in a height of 1.3 m above ground level. The bark of the trees was not removed because our aim was to apply the method within regular afforestations where bark removal would result in serious injury for the tree, which we avoided as much as possible. For each tree, two shots were taken in diagonal directions from the upper slope side to reduce potential effect of slope and reaction wood.
For a detailed analysis of the variation of PP within trees in relation to slope and prevailing wind direction, 100 trees were measured on four sides using two shots per side, following the model suggested by Greaves et al. [25]. The mean value of the two shots per side was taken for additional computations. The 100 trees under analysis were growing on two stands (Stand No. B6, B13) in close proximity to each other, under similar climatic conditions. Shots were oriented towards the slope in four directions (upper side, right side, down side, and left side, respectively). Orientation of measurement directions to cardinal points was determined by azimuth. To test for differences between the four sides, we applied analysis of variance (ANOVA) with repeated measures.
PP values of all trees were used to test for correlations between PP and the climate variables (excluding wind) of the test sites and several other tree characteristics such as age, diameter at breast height (DBH), and tree height (H).
Similar correlations to DBH and H were calculated to the average PP of the four shots in stands B6 and B13. Moreover, within B6 and B13, we tested for correlations of PP with site exposition and wind direction of the measurement side.
An estimation of the degree of genetic determination usually requires parent-offspring correlations or estimates of variance components of full- or half-sib families [26]. Our study sites were planted with genetic material from the same seed orchard, but individual family information was not available. However, the repeated measurements of PP and SWV on the same trees allowed for the calculation of the proportion of total variation of the traits that resulted from differences within and between individuals. This proportion is defined as repeatability (Rep) and provides the upper limit of heritability of the given trait [26,27]. Repeatability is the ratio of the between-group variance σ 2 and total phenotypic variance σ p 2 , where σ p 2 is the sum of the between-group σ 2 and residual σ ε p 2 (within-group) variances according to Sokal and Rohlf [28] and Nakagawa and Schielzeth [29]: R e p = σ α 2 / ( σ α 2 + σ ϵ 2 ) . Variances σ 2 and σ ε p 2 were estimated by using restricted maximum likelihood estimation (REML) in linear mixed-effect models, i.e., animal model [29,30] using the software ASReml [31]. In this model y i j = β 0 + α i + ε i j , y i j represent the jth measurement on the ith individual, β 0 the fixed effect of the 21 stands, α i the random effect of the 4267 individual trees (Tree-ID), and ε i j the random error. A second linear mixed-effect model was employed for the two stands, B6 and B13, where, for every 50 trees, both PP and SWV was measured at all four sides of the tree. This model, in addition to the prevailing wind direction of a given site as fixed effect β 0 , was calculated individually for both stands, with each containing 50 trees, and within a single model, which contained 100 trees. Repeatabilities and their standard errors were calculated with the post-processing module in ASReml [31].

2.3. Stress Wave Velocity (SWV)

Stress wave velocity determination was performed using Hitman ST300 (Fibre-gen, Christchurch, New Zealand), which measures the velocity of mechanical stress-waves in standing trees [16,32]. This tool provides a strong fundamental relationship between measurements made on standing trees and logs obtained from the trees [33].
In two stands, B6 and B13, four measurements were taken per tree on the same 100 trees as for PP to test differences among stem sides in SWV. Each reading per stem side consisted of eight hits. Readings were oriented slope upper side, right side, down side, and left side in an approximate tree height between 0.5 and 1.5 m.
To test for relationships between SWV and tree height/DBH, Pearson’s correlations were applied. Moreover, we tested for effects of site exposition and wind direction at the measurement side on the obtained SWV values for both stands together as well as for each of them separately.
The degree of genetic determination, i.e., the repeatability of SWV based on four measurements per tree, was calculated in a similar manner as for PP, with a dataset of 100 trees from both stands, B13 and B6, and, subsequently, for each stand individually. The linear mixed-effect model included Tree-ID as random effect and wind as fixed effect.

2.4. Modulus of Elasticity (MOE)

Acoustic velocity is theoretically related to the modulus of elasticity and the specific wood density by a one-dimensional wave equation [16]. Using our empirical data on PP as a simple estimator of wood density as well as the SWV from the two stands, B3 and B16, we calculated the modulus of elasticity according to the following formula:
(1)
M O E = ( P P ) × 10 × S W V 2 [7]
(2)
M O E = ( P P ) × 10 × ( S W V / 1.3 ) 2 [Carter, pers. comm.]
(3)
M O E = ( 1.431 × S W V ) ( 0.116 × P P ) + 6.221 [17]
We calculated MOE for each individual tree and used average values of PP and SWV across the four measurements.

3. Results

3.1. Variation Within and among Individual Trees

Significant differences in PP and SWV measurements were found on the four different sides of the trees in both intensive study stands (Table 2). PP values for single sides ranged from 15.2 to 17.9 mm and SWV values from 3.4 to 3.8 m/s (Table 3, Figure 1). PP was found to be affected by the major wind direction, while SWV was impacted by the orientation of the site (Table 4, Figure 1). However, both effects were not significant, given the low number of residuals in the correlation test (i.e., N = 4 sides per stand). This trend was observed when both stands were analyzed separately as well as for both stands together.
Within the two intensive study sites, we tested for phenotypic correlations between wood properties and tree growth parameters height and DBH. Correlation analysis of individual mean values for PP and SWV with height and DBH showed significant positive correlations of PP with both traits. SWV was positive correlated to DBH and more strongly correlated to height (Table 5). Mutual correlation of PP and SWV was slightly negative but not significant.
The degree of genetic determination, as estimated by the repeatability of the four measurements per tree, differed for the two study stands. Stand B13 showed higher levels of repeatability for both PP and SWV (Table 6). Within B13 and B6 and for the model across these stands, the repeatability of SWV was higher (0.563) than for PP (0.319).

3.2. Variation among Sites

Measurements of PP across 21 sites with the same genetic material allowed us to test for effects of environment and tree age on wood property traits. We found significant differences in PP among the tested sites. Repeatability of PP, as calculated from two measurements per tree within all 4267 trees, was significant with 0.608 (Table 7).
To test if the environmental conditions of the test sites affected PP, we correlated average individual PP values with 48 bioclimatic and altitudinal variables. This analysis did not reveal any significant correlation of PP with environmental conditions. A low but non-significant trend was observed for inclination of terrain.
The relationship of PP to different tree characteristics, namely age, DBH, and tree height, was tested across all 4627 trees. We found significant effects of age (r = 0.258), DBH (r = 0.364), and tree height (r = 0.328) on PP (Table 8). Mutual correlations were also detected between age and DBH as well as between age and tree height, with (r = 0.158) and r = 0.412, respectively.

3.3. Calculation of MOE

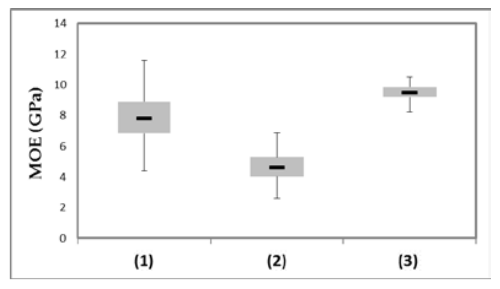
Application of PP and SWV for computation of modulus of elasticity as a significant wood quality property was performed using three different equations; results are presented in Figure 2. The highest mean value of MOE was found by formula (3) (9.493) as well as the lowest variance (0.265). Formula (1) was the second with MOE (7.826) and highest variance of (2.491). Formula (2) showed the lowest value of MOE from tested scenarios (4.631) with the middle variance (0.872).

4. Discussion

Measurement of wood quality parameters attract increasing attention during harvest and logging operations [34,35] but also during tree breeding and forest regeneration [36]. The latter requires non-destructive measurements of wood quality parameters, i.e., wood density and wood stiffness on juvenile trees within a reasonable handling time. In the present study, we used measurements of the acoustic velocity and the penetration depth of striker pin into trees as estimates of wood density and wood stiffness in European larch, a species in which the wood quality has a significant importance in terms of wood prices, with high-quality logs achieving up to 50% higher prices than those of lower quality. Our results confirm that both PP and SWV, exhibited a high degree of genetic determination and that estimates of wood stiffness, specifically MOE, were comparable to measures on harvested wood samples of European or hybrid larch. We found significant variations of both parameters among forests stands, single trees, and even within trees, if measured on opposite sides of mountainous terrain. Variations in PP and SWV within trees can be attributed to the wind exposition of the stand and stand inclination; PP is more strongly affected by the prevailing wind direction, whereas SWV is largely determined by the direction of the measurement towards the slope. Wood quality parameters of individual trees were related to tree height, DBH, and the age of the stands.
Although we found significant differences in PP among the 21 sites, we did not find significant correlations to any of the tested bioclimatic and soil variables. Thus, we need to consider other non-environmental causes for the observed trait variation; genetic differences among the planted trees can also be excluded, as all stands were established with the same seed material. Therefore, differences in PP among stands are likely a result of management, stand density, and the morphology of stands [9,37]. Vestøl et al. [38] obtained similar results for Norway spruce and found density variability to be dependent on altitude, site index, and latitude. In our study, tree age, which differed among stands but not within stands, was a likely explanation for the observed differences and was found to be significantly correlated to PP values. PP measures only the last several annual rings and wood density and growth between juvenile and adult trees can vary significantly. Accordingly, small variations in age may result in significant differences in PP [39,40]. In Norway spruce, a stabilization of wood density occurs after 15 years [41]; however, for Scots pine (Pinus sylvestris L.), Molinski and Krauss [42] observed that the density of latewood and earlywood becomes stable at around 25–30 years. Our sites were within a range of 25 to 37 years old and thus wood density stabilization might have already occurred at some but not within all stands. Albeit, Gryc et al. [43] described larch wood to be a more homogenous material, exhibiting few distinctions between juvenile and adult wood density in comparison with spruce and pine. In addition to this PP variation among sites, we also found the variation between individual trees to be strongly correlated to DBH and tree height, indicating that taller and larger diameter trees have higher PP and, accordingly, lower wood density. This negative correlation between growth and wood density is a general rule [6] in most species and tree genera, not to mention a basic problem in all breeding programs [44].
Similar correlations between growth and PP across all 4267 trees within the 21 stands were also found in the two intensive study sites. In addition, these stands were analysed for SWV and SWV and was found to be significantly positively correlated to height and DBH. A similar correlation was also found by El-Kassaby et al. [45], Lenz et al. [12], Li et al. [46], Ratcliff et al. [47] and Wielinga et al. [48].
Observable differences in PP and SWV on different sides of the trunk indicate that values of PP and SWV vary depending on the position of the measurement. Across the two sites, PP was predominantly affected by the prevailing wind conditions, while SWV was mainly affected by the direction of measurement towards the slope of the forest stand. For both measurements, reaction wood due to slope and wind direction played a role and PP, which only assess the outermost rings, will be more influenced by recent growth differences [18], while SWV measurements better reflect long-term growth, density, and stiffness differences due to slopes. Our observations regarding varying SWV values on the four tree sides corresponded to findings published by Ishiguri et al. [17] and Paradis et al. [16]. For Japanese larch (Larix kaempferi (Lamb.) Carr.), Ishiguri [17] reported on the effects of the measuring position, namely direction and height above ground level. Carter et al. [49] discussed the presence of reaction wood in stands with steep slopes as well as its impact on velocity measurement. Additionally, the heterogeneous structure and anisotropic nature of wood was found to affect propagation of mechanical waves throughout the wood [16,50]. The inner structure of wood, notably, the length and position of fibres, is likely a source of variation as opposed to a difference in wood density [51]. Other authors found only weak correlation between density and velocity [7,12,17,48], which was also confirmed with our data. The presence of knots and damages on the other side of a tree exhibited little influence on acoustic velocity in white spruce (Picea glauca (Moench) Voss), because the dilatational wave tended to take the fastest path of travel around local defects [52]. Only large knots may have distorted the acoustic wave front [53]; however, these can be excluded for the tested European larch trees as they have mainly superior stem quality and fine uniform branching patterns.
The observed differences of PP and SWV in relation to trunk orientation regularly have an impact on the measurement procedure, especially for mountainous terrain. PP measurements should be carried out according to Hansen [54] with 2–3 readings per side, with the first positioned in a random direction and subsequent measures at 90 degree angles. Such a procedure might be appropriate in both flat and sloped forests sites. Measurement of SWV must take the direction of the slope into account and should use at least two readings at a 45 degree angle to the direction of the slope, similar to available standard procedures for dendrochronological coring. In addition to the selection of appropriate test sides, measurements of SWV can be also influenced by the precision of calibration of Hitman ST300, the amplitude of the hits generated by manual hammer [49], and the depth of the transmitter and receiver probe, which may result in different wave speeds. For example, Paradis et al. [16] found that the Hitman can overestimate SWV of living black spruce trees if measured in a depth of approximately 3 cm. This layer of depth consists of dried wood layers, allowing a faster propagation of waves, as those found in outer rings.
Despite the observed variation of measurements on different trunk sides, we found that the repeated measures for single trees showed significant similarities, pointing to a high degree of genetic determination, i.e., heritability. For PP, on the basis of two measurements per tree for all 4267 trees, we calculated a repeatability of 0.608 and, on basis of four measurements within the two intensive study plots, a repeatability between 0.208 and 0.406. Thus, for exact genetic prediction, four measurements per tree helped to significantly decrease the prediction error. The repeatability for SWV within the two intensive study sites on the basis of four measures per tree ranged between 0.370 and 0.722, suggesting that SWV has lower within-tree variation and provides more stable predictions of wood properties. The comparison of repeatabilities of PP and SWV between the stands B13 and B6 indicates that the environmental variation of the test sites had a strong effect on the accuracy of prediction. The repeatability within the stand B13 was almost twice as high as within the stand B6; this was likely a result of the steeper slope in B6 (40%) as compared to B13 (25%). Currently, most field trials with genetic testing are established under homogeneous site conditions on flat terrain; under such conditions, we could expect a higher degree of genetic determination, while the mountainous terrain of our afforestation sites might limit genetic testing due to high site heterogeneity.
In contrast to studies with well-defined progenies, our study only allowed us to estimate the repeatability of the traits, which is defined as the upper limit of heritability of the given trait [26,27]. Thus, true heritability might be lower but never higher than repeatability, and this allows for comparisons with published results of heritability, which are generally in the same range as our estimates. For example, PP has been analyzed in several studies and was found to range from (Rep = 0.57–0.83) in Japanese larch [9], from (Rep = 0.22–0.25) in Scots pine [55], or from (Rep = 0.4–0.5) in Norway spruce [41]. Pâques [20] tested European and Japanese larch hybrids and the heritability in both tested groups was higher than (Rep = 0.888). Heritability of PP (0.313) published by Kowalczyk and Neyko [56] for families of seven year old European larch was almost the same as our computed repeatability in two stands using four measurements per tree. Estimates of the heritability of SWV are widely available. For example, Lenz et al. [12] observed a heritability of 0.78 in white spruce and Ratcliff et al. [47] observed (Rep = 0.42) in western larch (Larix occidentalis Nutt.).
The objective of non-destructive measurements of PP and SWV was to estimate economically important characteristics in wood. In our first application of these tools, we were not able to harvest and process sufficient wood samples for comparative destructive measurements of wood density and modulus of elasticity. Such an approach was taken by Chen et al. [7] in Norway spruce, who compared non-destructive sampling on standing trees with Silviscan data of increment cores for a total of 5618 tree samples. Chen et al. [7] found high genetic correlations of (r = −0.96) between wood density and PP, of (r = −0.94) among SWV and the microfibril angle, SWV and wood density (r = 0.47), and, finally, of (r = 0.99) among MOE and the combination of PP and SWV. This suggests a high reliability of the non-destructive measurements for estimating wood quality in breeding programs. Similar high correlations were also obtained for Japanese larch [17] in a comparison of measures on standing trees versus felled trees and processed lumber. This comparison showed that SWV measured on a standing tree was highly correlated to average wood stiffness of lumber (r = 0.834), while PP was negatively correlated to the average modulus of rupture (r = −0.859). However, the correlation coefficient between SWV and wood stiffness of logs obtained in different tree heights decreased as tree height increased [17]. With more specific data on wood density or a MOE available throughout the trunk, more sophisticated models for the calculation of MOE would be available, which could take into account height or DBH [57]. Our two non-destructive measurements allowed for estimations of MOE with different existing models. The statistical model of Ishiguri et al. [17] provided an estimate which was close to MOE values given in the literature for European larch, while the other models resulted in much lower estimates, which often were in the range of larch hybrids. All three models provided reasonable results for genetic evaluations and a relative comparison among genotypes within the larch breeding program. However, for comparison with other genetic material (Table 9), i.e., Japanese larch or hybrid larch, and for the utilization within wood technology applications, random trees should be harvested and MOE and wood density be measured on standardised wood samples to fit specific models for the respective breeding program.

5. Conclusions

Pilodyn penetration and stress wave velocity measurement provide important insights into wood characteristics of European larch and should be routinely used in breeding programs to avoid unintentional losses of wood quality when selecting for better growth performance or stem quality. Our analysis of variation among measurements showed that evaluations of Pilodyn penetration can be carried out according to the methodology of Hansen [54], in which the first of 2–3 readings is positioned at random, followed by additional readings at 90 degree angles to the first. For PP, the direction of the slope needs not be considered because the prevailing wind direction is more important. However, for measures of SWV, the direction to the slope is important: one recommendation is to use two readings at 45 degree angles to the direction of the slope. Despite differences between measurements taken on different sides of a tree, the repeated measures for single trees show a high degree of similarity, pointing to a high degree of genetic determination, i.e., heritability. SWV measurements showed higher repeatability and might be preferred in practical applications when only one test method is to be used. If PP or SWV can be compared across test sites, tree age and site management should be considered. Both may cause significant differences between stands, even with the same genetic background. Thus, applications in forest inventories with unknown stand history and varying ages might be limited.

Author Contributions

S.S., T.G., H.K. conceived the project and designed the study. P.Š. coordinated the fieldwork. P.Š., M.E., M.S., D.V. conducted the field work. P.Š. and S.S. ran the statistical analyses. P.Š., S.S. prepared and wrote the manuscript. All authors contributed to critiquing and final revision of the manuscript.

Acknowledgments

Phenotyping as well as the support of P.Š., S.S., H.K. and T.G. was funded by the Austrian Research Promotion Agency (FFG), the Cooperation Platform Forst Holz Papier (FHP), LIECO nurseries, and the Austrian Federal Forests (ÖBf). Parts of the study were done as the Diplom thesis of Michael Schuh and David Vasold at the Forstschule Bruck an der Mur.

Conflicts of Interest

The authors declare no conflict of interest.

References

  1. Defo, M.; Dechesne, I.; Stewart, J. A Review of the Current State of Wood Quality Modelling and Decision Support Systems in Canada; Information Report FI-X-012; Canadian Wood Fibre Centre: Mattawa, ON, Canada, 2015. [Google Scholar]
  2. Trung, T.; Leblon, B. The role of sensors in the new forest products industry and forest bioeconomy. Can. J. For. Res. 2011, 41, 2097–2099. [Google Scholar] [CrossRef]
  3. Chave, J.; Coomes, D.; Jansen, S.; Lewis, S.L.; Swenson, N.G.; Zanne, A.E. Towards a worldwide wood economics spectrum. Ecol. Lett. 2009, 12, 351–366. [Google Scholar] [CrossRef] [PubMed]
  4. Lenz, P.; Deslauriers, M.; Ung, C.H.; MacKay, J.; Beaulieu, J. What do ecological regions tell us about wood quality? A case study in eastern Canadian white spruce. Can. J. For. Res. 2014, 44, 1383–1393. [Google Scholar] [CrossRef]
  5. Stahl, U.; Reu, B.; Wirth, C. Predicting species’ range limits from functional traits for the tree flora of North America. PNAS 2014, 111, 13738–13744. [Google Scholar] [CrossRef] [PubMed]
  6. Zobel, B.J.; Van Buijtenen, J.P. Wood Variation: Its Causes and Control; Springer: Berlin, Germany, 1989; 363p. [Google Scholar]
  7. Chen, Z.Q.; Karlsson, B.; Lundquist, S.O.; Gil, M.R.G.; Olsson, L.; Wu, H.X. Estimating solid wood properties using Pilodyn and acoustic velocity on standing trees of Norway spruce. Ann. For. Sci. 2015, 72, 499–508. [Google Scholar] [CrossRef]
  8. Wu, H.X.; Ivković, M.; Gapare, W.J.; Baltunis, B.S.; Powell, M.B.; McRae, T.A. Breeding for wood quality and profit in radiata pine: A review of genetic parameters. N. Z. J. For. Sci. 2008, 38, 56–87. [Google Scholar]
  9. Fukatsu, E.; Tsubomura, M.; Fujisawa, Y.; Nakada, R. Genetic improvement of wood density and radial growth in Larix kaempferi: Results from a diallel mating test. Ann. For. Sci. 2013, 70, 451–459. [Google Scholar] [CrossRef]
  10. Wang, T.; Aitken, N.S.; Rosenberg, P.; Carlson, R. Selection for height growth and Pilodyn pin penetration in lodgepole pine: Effects on growth traits, wood properties, and their relationships. Can. J. For. Res. 1999, 29, 434–445. [Google Scholar] [CrossRef]
  11. Lenz, P.; Cloutier, A.; Mackay, J.; Beaulieu, J. Genetic control of wood properties in Picea glauca–An analysis of trends with cambial age. Can. J. For. Res. 2010, 40, 703–715. [Google Scholar] [CrossRef]
  12. Lenz, P.; Auty, D.; Achim, A.; Beaulieu, J.; Mackay, J. Genetic Improvement of White Spruce Mechanical Wood Traits—Early Screening by means of Acoustic Velocity. Forests 2013, 4, 575–594. [Google Scholar] [CrossRef]
  13. Cown, D.J. Comparison of the Pilodyn and torsiometer methods for the rapid assessment of wood density in living trees. N. Z. J. For. Sci. 1978, 8, 384–391. [Google Scholar]
  14. Pellerin, R.F.; Ross, J.R. Nondestructive Evaluation of Wood; Forest Products Society: Madison, WI, USA, 2002. [Google Scholar]
  15. Mochan, S.; Moore, J.; Conolly, T. Using Acoustics Tools in Forestry and the Wood Supply Chain; Forestry Commission Technical Note 18; Forestry Commission: Edinburgh, UK, 2009. [Google Scholar]
  16. Paradis, N.; Auty, D.; Carter, P.; Achim, A. Using a Standing–Tree Acoustic Tool to Identify Forest Stands for the Production of Mechanically–Graded Lumber. Sensors 2013, 13, 3394–3408. [Google Scholar] [CrossRef] [PubMed]
  17. Ishiguri, F.; Matsui, R.; Lizuka, K.; Yokota, S.; Yoshizawa, N. Prediction of the mechanical properties of lumber by stress–wave velocity and Pilodyn penetration of 36–year–old Japanese larch trees. Holz als Roh-und Werkstoff 2008, 66, 275–280. [Google Scholar] [CrossRef]
  18. Wu, S.; Xu, J.; Li, G.; Risto, V.; Lu, Z.; Li, B.; Wang, W. Use of the Pilodyn for Assessing Wood Properties in Standing Trees of Eucalyptus Clones. J. For. Res. 2010, 21, 68–72. [Google Scholar] [CrossRef]
  19. Moura, V.P.G.; Barnes, R.D.; Birks, J.S. A comparison of three methods of assessing wood density in provenances of Eucalyptus camaldulensis Dehn. and other Eucalyptus spp. in Brazil. Aust. For. Res. 1987, 17, 83–90. [Google Scholar]
  20. Pâques, L.E. Roles of European and Japanese larch in the genetic control of growth, architecture and wood quality traits in interspecific hybrids (Larix x eurolepis Henry). Ann. For. Sci. 2004, 61, 25–33. [Google Scholar] [CrossRef]
  21. Geburek, T. Larix decidua Miller, 1768. In Bäume Mitteleuropas; Roloff, A., Weissgerber, H., Lang, U., Stimm, B., Eds.; Wiley-Vch: Weinheim, Germany, 2010; pp. 431–450. [Google Scholar]
  22. McComb, A.L. The European Larch: Its races, site requirements and characteristics. For. Sci. 1955, 1, 298–318. [Google Scholar]
  23. Hijmans, R.J.; Cameron, S.E.; Parra, J.L. Very high resolution interpolated climate surfaces for global land areas. Int. J. Climatol. 2005, 25, 1965–1978. [Google Scholar] [CrossRef]
  24. Neumann, M.; Kindermann, G.; Kristöfel, F. Waldzustandsmonitoring in Österrech-20 Jahre Intensivbeobachtungsflächen (Level II) = Forest Condition Monitoring in Austria–20 Years Intensive Monitoring Plots (Level II). BFW Berichte 2016, 152, 246. [Google Scholar]
  25. Greaves, B.L.; Borallho, N.M.G.; Raymond, C.A.; Ferrington, A. Use of Pilodyn for the indirect selection of basic density in Eucalyptus nitens. Can. J. For. Res. 1996, 26, 1643–1650. [Google Scholar] [CrossRef]
  26. Falconer, D.S.; Mackay, T.F.C. Introduction to Quantitative Genetics, 4th ed.; Longmans Green: Harlow, UK, 1996. [Google Scholar]
  27. Boake, C.R.B. Repeatability: Its role in evolutionary studies of mating behaviour. Evol. Ecol. 1989, 3, 173–182. [Google Scholar] [CrossRef]
  28. Sokal, R.R.; Rohlf, F.J. Biometry: The Principles and Practice of Statistics in Biological Research, 3rd ed.; W.H. Freeman and Co.: New York, NY, USA, 1995. [Google Scholar]
  29. Nakagawa, S.; Schielzeth, H. Repeatability for Gaussian and non-Gaussian data: A practical guide for biologists. Biol. Rev. Camb. Philos. Soc. 2010, 85, 935–956. [Google Scholar] [CrossRef] [PubMed]
  30. Wilson, A.J.; Réale, D.; Clements, M.N.; Morrissay, M.M.; Postma, E.; Walling, C.A.; Kruuk, L.E.B.; Nussay, D.H. An ecologist’s guide to animal model. J. Anim. Ecol. 2010, 79, 13–26. [Google Scholar] [CrossRef] [PubMed]
  31. Gilmour, A.R.; Gogel, B.J.; Cullis, B.R.; Thompson, R. ASReml User Guide Release 3.0; VSN International Ltd.: Hemel Hempstead, UK, 2009; Available online: www.bsni.co.uk (accessed on 17 May 2018).
  32. Carter, P.; Briggs, D.; Ross, R.J.; Wang, X. Acoustic Testing to Enhance Western Forest Values and Meet Customer Wood Quality Needs; Department of Agriculture Forest Service, US Department of Agriculture (USDA): Madison, WI, USA, 2005; pp. 121–129. [Google Scholar]
  33. Ross, R.J.; Wang, X. A review of the use of acoustic speed to assess standing timber quality. In Proceedings of the 14th International Symposium on Nondestructive Testing of Wood, Eberswalde, Germany, 2–4 May 2005; University of Applied Sciences: Eberswalde, Germany, 2005. [Google Scholar]
  34. Amishev, D.; Murphy, G.E. Implementing Resonance-Based Acoustic Technology on Mechanical Harvesters/Processors for Real-Time Wood Stiffness Assessment: Opportunities and Considerations. Int. J. For. Eng. 2008, 19, 48–56. [Google Scholar]
  35. Fischer, C.; Høibø, O.A.; Vestøl, G.I.; Hauglin, M.; Hansen, E.H.; Gobakken, T. Predicting dynamic modulus of elasticity of Norway spruce structural timber by forest inventory, airborne laser scanning and harvester-derived data. Scand. J. For. Res. 2018, 1–34. [Google Scholar] [CrossRef]
  36. Lenz, P.; MacKay, J.; Rainville, A.; Cloutier, A.; Beaulieu, J. The influence of cambial age on breeding for wood properties in Picea glauca. Tree Genet. Genom. 2011, 7, 641–653. [Google Scholar] [CrossRef]
  37. Isebrands, J.; Hunt, C. Growth and wood properties of rapid grown Japanese larch. Wood Fiber Sci. 1975, 7, 119–128. [Google Scholar]
  38. Vestøl, G.I.; Fischer, C.; Høibø, O.; Øvrum, A. Between- and within-site variation of density and bending properties of Picea abies structural timber from Norway. Scand. J. For. Res. 2016, 46, 978–985. [Google Scholar]
  39. Hong, Z.; Fries, A.; Wu, H.X. Age trend of heritability, genetic correlation, and efficiency of early selection of wood quality traits in Scots pine. Can. J. For. Res. 2015, 45, 817–825. [Google Scholar] [CrossRef]
  40. Wessels, C.B.; Malan, F.C.; Rypstra, T. A review of measurement methods used on standing trees for the prediction of some mechanical properties of timber. Eur. J. For. Res. 2011, 130, 881–893. [Google Scholar] [CrossRef]
  41. Chen, Z.Q.; Gil, M.R.G.; Karlsson, B.; Lundquist, S.O.; Olsson, L.; Wu, H.X. Inheritance of growth and solid wood quality traits in a large Norway spruce population tested at two location in southern Sweden. Tree Genet. Genom. 2014, 10, 1291–1303. [Google Scholar] [CrossRef]
  42. Moliński, W.; Krauss, A. Radial gradient of Modulus of elasticity of wood and tracheid cell walls in dominant pine trees (Pinus sylvestris L.). Folia For. Polonica 2008, 39, 19–29. [Google Scholar]
  43. Gryc, V.; Vavrčík, H.; Horn, K. Density of juvenile and mature wood of selected coniferous species. J. For. Sci. 2011, 57, 123–130. [Google Scholar] [CrossRef]
  44. Hallingbäck, H.R.; Sánchez, L.; Wu, H.X. Single versus subdivided population strategies in breeding against an adverse genetic correlation. Tree Genet. Genom. 2014, 10, 605–617. [Google Scholar] [CrossRef]
  45. El-Kassaby, Y.A.; Mansfield, S.; Isik, F.; Stoehr, M. In situ wood quality assessment in Douglas-fir. Tree Genet. Genom. 2011, 7, 553–561. [Google Scholar] [CrossRef]
  46. Li, X.; Huber, D.A.; Powell, G.L.; White, T.L.; Peter, G.F. Breeding for improved growth and juvenile corewood stiffness in slash pine. Can. J. For. Res. 2007, 37, 1886–1893. [Google Scholar] [CrossRef]
  47. Ratcliff, B.; Hart, F.J.; Klápště, J.; Jaquish, B.; Mansfield, S.D.; El-Kassaby, Y. Genetics of wood quality attributes in Western Larch. Ann. For. Sci. 2014, 71, 415–424. [Google Scholar] [CrossRef]
  48. Wielinga, B.; Raymond, C.A.; James, R.; Matheson, A.C. Effect of green density values on Pinus radiata stiffness estimation using a stress-wave technique. N. Z. J. For. Sci. 2009, 39, 71–79. [Google Scholar]
  49. Carter, P.; Wang, X.; Ross, R.J. Field application of processor head acoustic technology in forest harvest operations. In Proceedings of the 18th International Nondestructive Testing and Evaluation of Wood Symposium, Madison, WI, USA, 24–27 September 2013. [Google Scholar]
  50. Kettunen, P.O. Wood Structure and Properties; Trans. Tech. Publications Ltd.: Zurich, Switzerland, 2006; 401p. [Google Scholar]
  51. Plomin, C.H.; Leprovost, G.; Stokes, A. Wood formation in trees. Plant Physiol. 2001, 127, 1513–1523. [Google Scholar] [CrossRef]
  52. Bowyer, J.L.; Shmulsky, R.; Haygreen, J.G. Forest Products and Wood Science: An Introduction; Blackwell Publishing: Ames, IA, USA, 2007; 496p. [Google Scholar]
  53. Zhang, H.; Wang, X.; Su, J. Experimental investigation of stress wave propagation in standing trees. Holzforschung 2011, 65, 743–748. [Google Scholar] [CrossRef]
  54. Hansen, C.P. Application of the Pilodyn in Forest Tree Improvement; Danida Forest Seed Centre Technical Note No. 55; Danida Forest Seed Centre: Humlebaek, Denmark, 2002. [Google Scholar]
  55. Fries, A.; Ericsson, T. Genetic parameters for earlywood and latewood densities and development with increasing age in Scots pine. Ann. For. Sci. 2009, 66, 404–411. [Google Scholar] [CrossRef]
  56. Kowalczyk, J.; Neyko, I. The breeding value of selected families of European larch (Larix decidua Mill.) of Sudeten origin growing on an experimental plot in Zwierzyniec Lubelski. Lesné Prace Badawcze (For. Res. Pap.) 2011, 3, 213–224. [Google Scholar] [CrossRef]
  57. Launay, J.; Ivkovich, M.; Pâques, L.; Batien, C.; Higelin, P.; Rozenberg, P. Rapid measurement of trunk MOE on standing trees using RIGIDIMETER. Ann. For. Sci. 2002, 59, 465–469. [Google Scholar] [CrossRef]
  58. European Wood. Available online: http://jp.europeanwood.org/ (accessed on 14 March 2018).
  59. Lavers, G.M. The Strength Properties of Timber; Department of the Environment, Building Research Establishment, HMSO: London, UK, 2002. [Google Scholar]
  60. Kouizumi, A.; Kitagawa, M.; Hirai, T. Effects of Growth Ring Parameters on Mechanical Properties of Japanese larch (Larix kaempferi) from Various Provenances. Eur. J. For. Res. 2005, 8, 85–90. [Google Scholar]
  61. Launy, J.; Rozenberg, P.; Paques, L.; Dewitte, J.M. A new experimental device for rapid measurement of trunk equivalent modulus of elasticity on standing trees. Ann. For. Sci. 2000, 57, 351–359. [Google Scholar] [CrossRef]
  62. Leban, J.M.; Haines, D.W. The modulus of elasticity of hybrid larch predicted by density, ring per centimetrer, and age. Wood Fiber Sci. 1999, 4, 394–402. [Google Scholar]
Figure 1. Illustration of the mean values of wood properties on different sides of trunk in stands B6 and B13. PP, Pilodyn penetration (mm); SWV, stress wave velocity (m·s−1); Wind, relative frequency of wind days related to the orientation of the site. Slope inclination in per cent below stand caption.
Figure 1. Illustration of the mean values of wood properties on different sides of trunk in stands B6 and B13. PP, Pilodyn penetration (mm); SWV, stress wave velocity (m·s−1); Wind, relative frequency of wind days related to the orientation of the site. Slope inclination in per cent below stand caption.
Forests 09 00276 g001
Figure 2. Comparison of estimated modulus of elasticity (GPa) with three applied calculation models. (1) by Chen et al., 2015; (2) by Chen et al., 2015 modified by Carter (−30% Swv); (3) by Ishiguri et al., 2008.
Figure 2. Comparison of estimated modulus of elasticity (GPa) with three applied calculation models. (1) by Chen et al., 2015; (2) by Chen et al., 2015 modified by Carter (−30% Swv); (3) by Ishiguri et al., 2008.
Forests 09 00276 g002
Table 1. List of analyzed sites Larix decidua Mill.
Table 1. List of analyzed sites Larix decidua Mill.
SiteLatitudeLongitudeAltitude (m a.s.l.)Age (Years)N-PPN-SWV
A48.6216.4832027209-
B148.2816.1934535208-
B248.2816.2036025200-
B348.1015.9947535204-
B448.0816.0047530202-
B548.1015.9747530201-
B648.1015.964402520150
B748.0915.9847037201-
B948.0816.0647525198-
B1148.0715.9262032201-
B1248.0715.9558027201-
B1348.1015.965303021050
B1647.9515.9972530205-
B1848.0815.9376035200-
B2048.0715.9562025200-
T148.2214.2028025218-
T248.2214.2028525195-
W348.3014.2245027170-
W448.314.2342033204-
H248.0616.1935030208-
N47.6216.5233028231-
N-PP, number of individuals for Pilodyn penetration; N-SWV, number of individuals for stress wave velocity; m a.s.l., metres above sea level.
Table 2. Test for differences between four different directions of measurement using repeated measures ANOVA.
Table 2. Test for differences between four different directions of measurement using repeated measures ANOVA.
SiteMean (SD)dfFp
PP4B616.980 (1.258)344.1660.000 ***
B1316.618 (1.306)328.9160.000 ***
SWV4B63.554 (0.281)312.3830.000 ***
B133.642 (0.367)329.5260.000 ***
PP4, Pilodyn penetration four measurements per tree; SWV₄, stress wave velocity four measurements per tree; SD, standard deviation; df, degrees of freedom; ***—p < 0.005.
Table 3. The mean values of wood properties on different sides of the trunk in the two sites.
Table 3. The mean values of wood properties on different sides of the trunk in the two sites.
B6B13
DownRightUpLeftDownRightUpLeft
PP17.94017.77515.18017.02516.82515.48516.98017.183
CV (%)10.6079.00010.23910.43910.74911.0828.0037.871
SWV3.3983.5933.7223.5043.6263.4663.6983.776
CV (%)11.08410.2928.66611.46511.1609.90610.47811.713
RFW0.0220.6920.0320.2530.5710.0970.1780.154
PP, Pilodyn penetration (mm); SWV, stress wave velocity (m·s−1); CV, coefficient of variation; RFW, relative frequency of wind days. Measurements marks consider from upper slope side view.
Table 4. Pearson’s correlation coefficient of within-tree wood properties in relation to the exposition and wind direction at the measured side in the two sites.
Table 4. Pearson’s correlation coefficient of within-tree wood properties in relation to the exposition and wind direction at the measured side in the two sites.
B6 (N = 4)B13 (N = 4)B6 & B13 (N = 8)
SWVPPSWVPPSWVPP
Wind0.127 n.s.0.441 n.s.0.058 n.s.0.318 n.s.0.092 n.s.0.396 n.s.
Exposition0.582 n.s.−0.053 n.s.0.222 n.s.0.082 n.s.0.410 n.s.−0.016 n.s.
PP, Pilodyn penetration; SWV, stress wave velocity; n.s.—non significant.
Table 5. Pearson’s correlation coefficient of wood properties in stands B6 and B13 with growing factors.
Table 5. Pearson’s correlation coefficient of wood properties in stands B6 and B13 with growing factors.
SWVPPH
PP−0.109 n.s.
H0.372 ***0.212 *
DBH0.288 ***0.389 ***0.752 ***
n.s.—non significant; *—p < 0.05; ***—p < 0.005.
Table 6. Repeatability and estimated standard error of Pilodyn penetration and stress wave velocity measured within two stands on four sides of the trees as calculated individually for both stands and together within a single model.
Table 6. Repeatability and estimated standard error of Pilodyn penetration and stress wave velocity measured within two stands on four sides of the trees as calculated individually for both stands and together within a single model.
Model for Stand Nr.NTraitRep ± SE σ ε p 2 ± SE σ 2 ± SE
B1350PP₄0.460 ± 0.0751.546 ± 0.1791.318 ± 0.347
B1350SWV₄0.726 ± 0.0510.047 ± 0.0050.123 ± 0.027
B650PP₄0.208 ± 0.0753.082 ± 0.3570.811 ± 0.332
B650SWV₄0.370 ± 0.0770.094 ± 0.0110.055 ± 0.016
B13 & B6100PP₄0.319 ± 0.0552.313 ± 0.1891.081 ± 0.241
B13 & B6100SWV₄0.563 ± 0.0480.070 ± 0.0060.090 ± 0.015
PP₄, Pilodyn penetration; SWV₄, stress wave velocity; Rep, repeatability; σ ε p 2 , residual variance (within-groups); σ 2 , variance between-groups.
Table 7. Repeatability and estimated standard error of Pilodyn penetration for all 4267 trees.
Table 7. Repeatability and estimated standard error of Pilodyn penetration for all 4267 trees.
TraitRep ± SE σ ε p 2 ± SE σ 2 ± SE
PP₂0.608 ± 0.0101.343 ± 0.0292.084 ± 0.062
PP₂, Pilodyn penetration two shots per tree; Rep, repeatability; SE, standard error; σ ε p 2 , residual variance (within-groups);   σ 2 , variance between-groups.
Table 8. Pearson’s correlation coefficient between mean values of Pilodyn penetration of 4267 trees and tree characteristics.
Table 8. Pearson’s correlation coefficient between mean values of Pilodyn penetration of 4267 trees and tree characteristics.
HDBHAge
PP0.328 ***0.364 ***0.258 *
Age0.412 ***0.158 ***x
PP, Pilodyn penetration two shots per tree; H, tree height; DBH, diameter at breast height; n.s.—non significant; *—p < 0.05; ***—p < 0.005.
Table 9. Values of Modulus of Elasticity (MOE) published for L. decidua, L. kaempferi and their hybrids.
Table 9. Values of Modulus of Elasticity (MOE) published for L. decidua, L. kaempferi and their hybrids.
SpeciesMOE (GPa)Source
L. decidua7.826MoE (1), present study
L. decidua4.631MoE (2), present study
L. decidua9.493MoE (3), present study
L. decidua13.80[58]
L. decidua11.80[5]
L. decidua9.60[59]
L. kaempferi8.2–9.5(core-outer wood) [60]
L. kaempferi10.01(fresh logs) [17]
L. decidua x L. kaepferi5.51–9.15[61]
L. decidua x L. kaepferi11.79[62]
L. decidua x L. kaepferi5.18–9.23(progeny test) [20]
L. decidua x L. kaepferi4.59–11.49(clonal test) [20]
L.decidua x L. kaepferi5.60–9.15[24]

Share and Cite

MDPI and ACS Style

Škorpík, P.; Konrad, H.; Geburek, T.; Schuh, M.; Vasold, D.; Eberhardt, M.; Schueler, S. Solid Wood Properties Assessed by Non-Destructive Measurements of Standing European Larch (Larix decidua Mill.): Environmental Effects on Variation within and among Trees and Forest Stands. Forests 2018, 9, 276. https://doi.org/10.3390/f9050276

AMA Style

Škorpík P, Konrad H, Geburek T, Schuh M, Vasold D, Eberhardt M, Schueler S. Solid Wood Properties Assessed by Non-Destructive Measurements of Standing European Larch (Larix decidua Mill.): Environmental Effects on Variation within and among Trees and Forest Stands. Forests. 2018; 9(5):276. https://doi.org/10.3390/f9050276

Chicago/Turabian Style

Škorpík, Petr, Heino Konrad, Thomas Geburek, Michael Schuh, David Vasold, Michael Eberhardt, and Silvio Schueler. 2018. "Solid Wood Properties Assessed by Non-Destructive Measurements of Standing European Larch (Larix decidua Mill.): Environmental Effects on Variation within and among Trees and Forest Stands" Forests 9, no. 5: 276. https://doi.org/10.3390/f9050276

APA Style

Škorpík, P., Konrad, H., Geburek, T., Schuh, M., Vasold, D., Eberhardt, M., & Schueler, S. (2018). Solid Wood Properties Assessed by Non-Destructive Measurements of Standing European Larch (Larix decidua Mill.): Environmental Effects on Variation within and among Trees and Forest Stands. Forests, 9(5), 276. https://doi.org/10.3390/f9050276

Note that from the first issue of 2016, this journal uses article numbers instead of page numbers. See further details here.

Article Metrics

Back to TopTop