Recruitment Niches of Enterolobium contortisiliquum (Vell.) Morong: Functional Acclimations to Light
Abstract
1. Introduction
2. Material and Methods
2.1. Site and Plant Material
2.2. Growth Analyses
2.3. Biochemical Analysis
- A = absorbance at specific wavelengths
- V = final volume of chlorophyll extract
- W = fresh weigh of tissue extracted
2.4. Leaf Gas Exchange
2.5. Anatomical Analyses
2.6. Experimental Design and Statistical Analysis
3. Results
4. Discussion
4.1. Growth and Physiological, Morphologica,l and Anatomical Adjustments to Light
4.2. Biochemical and Additional Physiological and Morphoanatomical Adjustments to Light
4.3. Shade Avoidance or Shade Tolerance? Additional Ecophysiological Strategies to Light Acclimation
4.4. Targeted Traits in the Nursery
5. Conclusions
Author Contributions
Funding
Acknowledgments
Conflicts of Interest
References
- Valladares, F.; Laanisto, L.; Niinemets, U.; Zavala, M.A. Shedding light on shade: Ecological perspectives of understorey plant life. Plant Ecol. Div. 2016, 9, 237–251. [Google Scholar] [CrossRef]
- Krause, G.H.; Koroleva, O.Y.; Dalling, J.W.; Winter, K. Acclimation of tropical tree seedlings to excessive light in simulated tree-fall gaps. Plant Cell Environ. 2001, 24, 1345–1352. [Google Scholar] [CrossRef]
- Mazzanatti, T.; Calzavara, A.K.; Pimenta, J.A.; Oliveira, H.C.; Stolf-Moreira, R.; Bianchini, E. Light acclimation in nursery: Morphoanatomy and ecophysiology of seedlings of three light-demanding neotropical tree species. Braz. J. Bot. 2016, 39, 19–28. [Google Scholar] [CrossRef]
- Oguchi, R.; Hikosaka, K.; Hiura, T.; Hirose, T. Leaf anatomy and light acclimation in woody seedlings after gap formation in a cool-temperate deciduous forest. Oecologia 2006, 149, 571–582. [Google Scholar] [CrossRef] [PubMed]
- Vazquez-Yanes, C.; Smith, H. Phytochrome control of seed-germination in the tropical rain-forest pioneer trees Cecropia obtusifolia and Piper auritum and its ecological significance. New Phytol. 1982, 92, 477–485. [Google Scholar] [CrossRef]
- Way, D.A.; Pearcy, R.W. Sunflecks in trees and forests: From photosynthetic physiology to global change biology. Tree Physiol. 2012, 32, 1066–1081. [Google Scholar] [CrossRef] [PubMed]
- Gratani, L. Plant phenotypic plasticity in response to environmental factors. Adv. Bot. 2014, 2014, 208747. [Google Scholar] [CrossRef]
- Yang, S.-J.; Sun, M.; Zhang, Y.-J.; Cochard, H.; Cao, K.-F. Strong leaf morphological, anatomical, and physiological responses of a subtropical woody bamboo (Sinarundinaria nitida) to contrasting light environments. Plant Ecol. 2014, 215, 97–109. [Google Scholar] [CrossRef]
- Gonçalves, J.F.D.C.; Marenco, R.A.; Vieira, G. Concentration of photosynthetic pigments and chlorophyll fluorescence of mahogany and tonka bean under two light environments. Rev. Bras. Fisiol. Veg. 2001, 13, 149–157. [Google Scholar] [CrossRef]
- Castro, J.; Zamora, R.; Hódar, J.A.; Gómez, J.M. Seedling establishment of a boreal tree species (Pinus sylvestris) at its southernmost distribution limit: Consequences of being in a marginal Mediterranean habitat. J. Ecol. 2004, 92, 266–277. [Google Scholar] [CrossRef]
- Espelta, J.M.; Riba, M.; Javier, R. Patterns of seedling recruitment in West-Mediterranean Quercus ilex forest influenced by canopy development. J. Veg. Sci. 1995, 6, 465–472. [Google Scholar] [CrossRef]
- Gómez-Aparicio, L.; Zamora, R.; Gómez, J.M.; Hódar, J.A.; Castro, J.; Baraza, E. Applying plant facilitation to forest restoration: A meta-analysis of the use of shrubs as nurse plants. Ecol. Appl. 2004, 14, 1128–1138. [Google Scholar] [CrossRef]
- Zavala, M.A.; Zea, E. Mechanisms maintaining biodiversity in Mediterranean pine-oak forests: Insights from a spatial simulation model. Plant Ecol. 2004, 171, 197–207. [Google Scholar] [CrossRef]
- Valladares, F.; Niinemets, U. Shade tolerance, a key plant feature of complex nature and consequences. Annu. Rev. Ecol. Evol. Syst. 2008, 39, 237–257. [Google Scholar] [CrossRef]
- Aleric, K.M.; Katherine Kirkman, L. Growth and photosynthetic responses of the federally endangered shrub, Lindera melissifolia (Lauraceae), to varied light environments. Am. J. Bot. 2005, 92, 682–689. [Google Scholar] [CrossRef] [PubMed]
- Demmig-Adams, B.; Adams, W.W. Photoprotection in an ecological context: The remarkable complexity of thermal energy dissipation. New Phytol. 2006, 172, 11–21. [Google Scholar] [CrossRef] [PubMed]
- Kageyama, P.Y. Recomposição da Vegetação com Espécies Arbóreas Nativas em Reservatórios de Usinas Hidrelétricas da Cesp; IPEF: Piracicaba, Brazil, 1992. (In Portuguese) [Google Scholar]
- Givnish, T.J. Adaptation to sun and shade: A whole-plant perspective. Funct. Plant Biol. 1988, 15, 63–92. [Google Scholar] [CrossRef]
- Hanba, Y.T.; Kogami, H.; Terashima, I. The effect of growth irradiance on leaf anatomy and photosynthesis in Acer species differing in light demand. Plant Cell Environ. 2002, 25, 1021–1030. [Google Scholar] [CrossRef]
- Walters, R.G. Towards an understanding of photosynthetic acclimation. J. Exp. Bot. 2005, 56, 435–447. [Google Scholar] [CrossRef] [PubMed]
- Cano, F.J.; Sánchez-Gómez, D.; Gascó, A.; Rodríguez-Calcerrada, J.; Gil, L.; Warren, C.R.; Aranda, I. Light acclimation at the end of the growing season in two broadleaved oak species. Photosynthetica 2011, 49, 581–592. [Google Scholar] [CrossRef]
- Chazdon, R.L.; Pearcy, R.W.; Lee, D.W.; Fetcher, N. Photosynthetic responses of tropical forest plants to contrasting light environments. In Tropical Forest Plant Ecophysiology; Mulkey, S.S., Chazdon, R.L., Smith, A.P., Eds.; Springer: Boston, MA, USA, 1996; pp. 5–55. [Google Scholar]
- Niinemets, U.; Sack, L. Structural determinants of leaf light-harvesting capacity and photosynthetic potentials. In Progress in Botany; Esser, K., Lüttge, U., Beyschlag, W., Murata, J., Eds.; Springer: Berlin/Heidelberg, Germany, 2006; pp. 385–419. [Google Scholar]
- Abrams, M.D.; Kubiske, M.E. Leaf structural characteristics of 31 hardwood and conifer tree species in central Wisconsin—Influence of light regime and shade-tolerance rank. For. Ecol. Manag. 1990, 31, 245–253. [Google Scholar] [CrossRef]
- Davi, H.; Barbaroux, C.; Dufrene, E.; Francois, C.; Montpied, P.; Brea, N.; Badeck, F. Modelling leaf mass per area in forest canopy as affected by prevailing radiation conditions. Ecol. Model. 2008, 211, 339–349. [Google Scholar] [CrossRef]
- Reich, P.B.; Walters, M.B.; Tjoelker, M.G.; Vanderklein, D.; Buschena, C. Photosynthesis and respiration rates depend on leaf and root morphology and nitrogen concentration in nine boreal tree species differing in relative growth rate. Funct. Ecol. 1998, 12, 395–405. [Google Scholar] [CrossRef]
- Zhang, L.; Copini, P.; Weemstra, M.; Sterck, F. Functional ratios among leaf, xylem and phloem areas in branches change with shade tolerance, but not with local light conditions, across temperate tree species. New Phytol. 2016, 209, 1566–1575. [Google Scholar] [CrossRef] [PubMed]
- Hoffmann, W.A.; Franco, A.C. Comparative growth analysis of tropical forest and savanna woody plants using phylogenetically independent contrasts. J. Ecol. 2003, 91, 475–484. [Google Scholar] [CrossRef]
- Moreira, A.; Queiroz, A.C.L.; Barros, F.D.; Goulart, M.F.; Lemos-Filho, J.P. Do leaf traits in two Dalbergia species present differential plasticity in relation to light according to their habitat of origin? Aust. J. Bot. 2013, 61, 592–599. [Google Scholar] [CrossRef]
- Lee, D.W.; Baskaran, K.; Mansor, M.; Mohamad, H.; Yap, S.K. Irradiance and spectral quality affect Asian tropical rain forest tree seedling development. Ecology 1996, 77, 568–580. [Google Scholar] [CrossRef]
- Smith, H. Light quality, photoperception, and plant strategy. Annu. Rev. Plant Physiol. 1982, 33, 481–518. [Google Scholar] [CrossRef]
- Casal, J.J.; Sánchez, R.A. Phytochromes and seed germination. Seed Sci. Res. 1998, 8, 317–329. [Google Scholar] [CrossRef]
- Smith, H. Sensing the light environment: The functions of the phytochrome family. In Photomorphogenesis in Plants; Kendrick, R.E., Kronenberg, G.H.M., Eds.; Springer: Dordrecht, The Netherlands, 1994; pp. 377–416. [Google Scholar]
- Taiz, L.; Zeiger, E. Plant Physiology, 4th ed.; Sinauer Associates, Inc.: Sunderland, MA, USA, 2006; p. 764. [Google Scholar]
- Ballaré, C.L.; Casal, J.J. Light signals perceived by crop and weed plants. Field Crops Res. 2000, 67, 149–160. [Google Scholar] [CrossRef]
- Franklin, K.A.; Whitelam, G.C. Phytochromes and shade-avoidance responses in plants. Ann. Bot. 2005, 96, 169–175. [Google Scholar] [CrossRef] [PubMed]
- Gautier, H.; Měch, R.; Prusinkiewicz, P.; Varlet-Grancher, C. 3D architectural modelling of aerial photomorphogenesis in white clover (Trifolium repens L.) using L-systems. Ann. Bot. 2000, 85, 359–370. [Google Scholar] [CrossRef]
- Héraut-Bron, V.; Robin, C.; Varlet-Grancher, C.; Guckert, A. Phytochrome mediated effects on leaves of white clover: Consequences for light interception by the plant under competition for light. Ann. Bot. 2001, 88 (Suppl. 1), 737–743. [Google Scholar] [CrossRef]
- Li, J.; Li, G.; Wang, H.; Wang Deng, X. Phytochrome signaling mechanisms. Arabidopsis Book 2011, 9. [Google Scholar] [CrossRef] [PubMed]
- Lima, R.S.D.; Oliveira, P.L.D.; Rodrigues, L.R. Anatomia do lenho de Enterolobium contortisiliquum (Vell.) Morong (Leguminosae-Mimosoideae) ocorrente em dois ambientes. Braz. J. Bot. 2009, 32, 361–374. (In Portuguese) [Google Scholar] [CrossRef]
- Prado, D.E.; Gibbs, P.E. Patterns of species distributions in the dry seasonal forests of South America. Ann. Mo. Bot. Gard. 1993, 902–927. [Google Scholar] [CrossRef]
- USDA. The Plants Database. Available online: http://plants.usda.gov (accessed on 28 November 2016).
- Lopes, G.L. Compêndio Online Gerson Luiz Lopes: Laboratório de Manejo Florestal. Available online: http://sites.unicentro.br/wp/manejoflorestal/6668-2/ (accessed on 15 March 2016). (In Portuguese).
- Recomendações de Adubação para Eucalyptus, Pinus e Espécies Nativas. Available online: http://www.ipef.br/silvicultura/adubacao.asp (accessed on 5 July 2013). (In Portuguese).
- Kanegae, M.F.; Braz, V.D.S.; Franco, A.C. Efeitos da seca sazonal e disponibilidade de luz na sobrevivência e crescimento de Bowdichia virgilioides em duas fitofisionomias típicas dos cerrados do Brasil Central. Braz. J. Bot. 2000, 23, 459–468. (In Portuguese) [Google Scholar] [CrossRef]
- Arnon, D.I. Copper enzymes in isolated chloroplasts. Polyphenoloxidase in Beta vulgaris. Plant Physiol. 1949, 24, 1–15. [Google Scholar] [CrossRef] [PubMed]
- Lichtenthaler, H.K.; Buschmann, C. Chlorophylls and carotenoids: Measurement and characterization by UV-VIS spectroscopy. In Current Protocols in Food Analytical Chemistry; John Wiley & Sons, Inc.: Hoboken, NJ, USA, 2001. [Google Scholar]
- Silva, F.C. Análise Química de Tecido Vegetal. In Manual de Análises Químicas de Solo, Plantas e Fertilizantes; Embrapa Informação Tecnológica: Brasília, Brazil, 2009. (In Portuguese) [Google Scholar]
- Johansen, D.A. Plant Microtechnique; McGraw-Hill Book Company, Inc.: London, UK, 1940. [Google Scholar]
- Obrien, T.P.; Feder, N.; McCully, M.E. Polychromatic staining of plant cell walls by toluidine blue O. Protoplasma 1964, 59, 368–373. [Google Scholar] [CrossRef]
- Souza, J.P.; Melo, N.M.J.; Halfed, A.D.; Reis, J.N. Shading effects on leaf life span and functional traits in the widespread species Enterolobium contortisiliquum (Vell.) Morong. Acta Sci. Biol. Sci. 2017, 39, 113–122. [Google Scholar] [CrossRef][Green Version]
- Boardman, N.K. Comparative photosynthesis of sun and shade plants. Annu. Rev. Plant Physiol. 1977, 28, 355–377. [Google Scholar] [CrossRef]
- Rossatto, D.R.; Takahashi, F.S.C.; Silva, L.D.C.R.; Franco, A.C. Características funcionais de folhas de sol e sombra de espécies arbóreas em uma mata de galeria no Distrito Federal, Brasil. Acta Bot. Bras. 2010, 24, 640–647. (In Portuguese) [Google Scholar] [CrossRef]
- Li, X.F.; Schmid, B.; Wang, F.; Paine, C.E.T. Net assimilation rate determines the growth rates of 14 species of subtropical forest trees. PLoS ONE 2016, 11, e0150644. [Google Scholar] [CrossRef] [PubMed]
- Lima, A.L.D.S.; Zanella, F.; Castro, L.D.M.D. Crescimento de Hymenaea courbaril L. var. stilbocarpa (Hayne) Lee et Lang. e Enterolobium contortisiliquum (Vell.) Morong (Leguminosae) sob diferentes níveis de sombreamento. Acta Amazon. 2010, 40, 43–48. (In Portuguese) [Google Scholar] [CrossRef]
- Markesteijn, L.; Poorter, L.; Bongers, F. Light-dependent leaf trait variation in 43 tropical dry forest tree species. Am. J. Bot. 2007, 94, 515–525. [Google Scholar] [CrossRef] [PubMed]
- Walters, M.B.; Reich, P.B. Low-light carbon balance and shade tolerance in the seedlings of woody plants: Do winter deciduous and broad-leaved evergreen species differ? New Phytol. 1999, 143, 143–154. [Google Scholar] [CrossRef]
- Melo, R.R.; CL Cunha, M.D.; Júnior, F.R.; Stangerlin, D.M. Crescimento inicial de mudas de Enterolobium contortisiliquum (Vell.) Morong. sob diferentes níveis de luminosidade. Rev. Bras. Ciênc. Agrárias 2008, 3, 138–144. (In Portuguese) [Google Scholar] [CrossRef]
- Kitajima, K. Relative importance of photosynthetic traits and allocation patterns as correlates of seedling shade tolerance of 13 tropical trees. Oecologia 1994, 98, 419–428. [Google Scholar] [CrossRef] [PubMed]
- Gilbert, I.R.; Jarvis, P.G.; Smith, H. Proximity signal and shade avoidance differences between early and late successional trees. Nature 2001, 411, 792–795. [Google Scholar] [CrossRef] [PubMed]
- Naves, V.L.; Alvarenga, A.A.; Oliveira, L.E.M. Comportamento estomático de mudas de três espécies florestais submetidas a diferentes níveis de radiação fotossinteticamente ativa. Ciênc. Prát. 1994, 18, 408–414. (In Portuguese) [Google Scholar]
- Capuzzo, J.P.; Rossatto, D.R.; Franco, A.C. Differences in morphological and physiological leaf characteristics between Tabebuia aurea and T. impetiginosa is related to their typical habitats of occurrence. Acta Bot. Bras. 2012, 26, 519–526. [Google Scholar] [CrossRef]
- Gonçalves, E.R.; Souza, F.C.; Santos, L.N.D.; Silva, J.V.; Ferreira, V.M.; Endres, L. Morphological and photosynthetic adaptations of Tabebuia aurea seedlings in the nursery. Rev. Bras. Eng. Agríc. Ambient. 2013, 17, 1201–1209. [Google Scholar] [CrossRef]
- Ivancich, H.S.; Lencinas, M.V.; Pastur, G.J.M.; Esteban, R.M.S.; Hernández, L.; Lindstrom, I. Foliar anatomical and morphological variation in Nothofagus pumilio seedlings under controlled irradiance and soil moisture levels. Tree Physiol. 2012, 32, 554–564. [Google Scholar] [CrossRef] [PubMed]
- Smith, W.K. Temperatures of desert plants: Another perspective on the adaptability of leaf size. Science 1978, 201, 614–616. [Google Scholar] [CrossRef] [PubMed]
- Abrams, M.D.; Mostoller, S.A. Gas-exchange, leaf structure and nitrogen in contrasting successional tree species growing in open and understory sites during a drought. Tree Physiol. 1995, 15, 361–370. [Google Scholar] [CrossRef] [PubMed]
- Drake, P.L.; Froend, R.H.; Franks, P.J. Smaller, faster stomata: Scaling of stomatal size, rate of response, and stomatal conductance. J. Exp. Bot. 2013, 64, 495–505. [Google Scholar] [CrossRef] [PubMed]
- Niinemets, U.; Valladares, F. Tolerance to shade, drought, and waterlogging of temperate Northern Hemisphere trees and shrubs. Ecol. Monogr. 2006, 76, 521–547. [Google Scholar] [CrossRef]
- Huang, D.; Wu, L.; Chen, J.R.; Dong, L. Morphological plasticity, photosynthesis and chlorophyll fluorescence of Athyrium pachyphlebium at different shade levels. Photosynthetica 2011, 49, 611–618. [Google Scholar] [CrossRef]
- Zhang, S.-B.; Hu, H.; Xu, K.; Li, Z.-R.; Yang, Y.-P. Flexible and reversible responses to different irradiance levels during photosynthetic acclimation of Cypripedium guttatum. J. Plant Physiol. 2007, 164, 611–620. [Google Scholar] [CrossRef] [PubMed]
- Casal, J.J.; Aphalo, P.J.; Sanchez, R.A. Phytochrome effects on leaf growth and chlorophyll content in Petunia axilaris. Plant Cell Environ. 1987, 10, 509–514. [Google Scholar] [CrossRef]
- Souza, S.D.C.R.; Santos, V.A.H.; Ferreira, M.J.; Gonçalves, J.F. Biomassa, crescimento e respostas ecofisiológicas de plantas jovens de Bertholletia excelsa bonpl. submetidas a diferentes níveis de irradiância. Ciênc. Florest. 2017, 27, 557–569. (In Portuguese) [Google Scholar] [CrossRef]
- Matsubara, S.; Krause, G.H.; Aranda, J.; Virgo, A.; Beisel, K.G.; Jahns, P.; Winter, K. Sun-shade patterns of leaf carotenoid composition in 86 species of neotropical forest plants. Funct. Plant Biol. 2009, 36, 20–36. [Google Scholar] [CrossRef]
- Demmig-Adams, B.; Adams Iii, W.W. Photoprotection and other responses of plants to high light stress. Annu. Rev. Plant Physiol. Plant Mol. Biol. 1992, 43, 599–626. [Google Scholar] [CrossRef]
- Lacerda, D.M.A.; Figueiredo, P.S.D. Restauração de matas ciliares do rio Mearim no município de Barra do Corda-MA: Seleção de espécies e comparação de metodologias de reflorestamento. Acta Amazon. 2009, 39, 295–304. (In Portuguese) [Google Scholar] [CrossRef]
- Telfer, A. What is beta-carotene doing in the photosystem II reaction center? Philos. Trans. R. Soc. Lond. Ser. B-Biol. Sci. 2002, 357, 1431–1439. [Google Scholar] [CrossRef] [PubMed]
- Weston, E.; Thorogood, K.; Vinti, G.; López-Juez, E. Light quantity controls leaf-cell and chloroplast development in Arabidopsis thaliana wild type and blue-light-perception mutants. Planta 2000, 211, 807–815. [Google Scholar] [CrossRef] [PubMed]
- Poorter, L. Growth responses of 15 rain-forest tree species to a light gradient: The relative importance of morphological and physiological traits. Funct. Ecol. 1999, 13, 396–410. [Google Scholar] [CrossRef]
- Anderson, J.M.; Chow, W.S.; Park, Y.I. The grand design of photosynthesis: Acclimation of the photosynthetic apparatus to environmental cues. Photosynth Res. 1995, 46, 129–139. [Google Scholar] [CrossRef] [PubMed]
- Gommers, C.M.M.; Visser, E.J.W.; St Onge, K.R.; Voesenek, L.; Pierik, R. Shade tolerance: When growing tall is not an option. Trends Plant Sci. 2013, 18, 65–71. [Google Scholar] [CrossRef] [PubMed]
- Ballaré, C.L.; Scopel, A.L.; Sanchez, R.A. On the opportunity cost of the photosynthate invested in stem elongation reactions mediated by phytochrome. Oecologia 1991, 86, 561–567. [Google Scholar] [CrossRef] [PubMed]
- Moraes Neto, S.; Gonçalves, J.D.M.; Takaki, M.; Cenci, S.; Gonçalves, J. Crescimento de mudas de algumas espécies arbóreas que ocorrem na mata atlântica, em função do nível de luminosidade. Rev. Árv. 2000, 24, 35–45. (In Portuguese) [Google Scholar]
- Ballaré, C.L. Keeping up with the neighbors: Phytochrome sensing and other signaling mechanisms. Trends Plant Sci. 1999, 4, 97–102. [Google Scholar] [CrossRef]
- Parks, B.M.; Folta, K.M.; Spalding, E.P. Photocontrol of stem growth. Curr. Opin. Plant Biol. 2001, 4, 436–440. [Google Scholar] [CrossRef]
- Lessa, B.F.D.T.; de Almeida, J.P.N.; Pinheiro, C.L.; Gomes, F.M.; Medeiros-Filho, S. Germination and seedling growth of Enterolobium contortisiliquum as a function of seed weight and temperature and light conditions. Agrociencia 2015, 49, 315–327. [Google Scholar]
- Poorter, L. Leaf traits show different relationships with shade tolerance in moist versus dry tropical forests. New Phytol. 2009, 181, 890–900. [Google Scholar] [CrossRef] [PubMed]
- Tong, P.S.; Ng, F.S.P. Effect of light intensity on growth, leaf production, leaf lifespan and leaf nutrient budgets of Acacia mangium, Cinnamomum iners, Dyera costulata, Eusideroxylon zwageri and Shorea roxburghii. J. Trop. For. Sci. 2008, 20, 218–234. [Google Scholar]
- Kikuzawa, K. A cost-benefit analysis of leaf habit and leaf longevity of trees and their geographical pattern. Am. Nat. 1991, 138, 1250–1263. [Google Scholar] [CrossRef]
- Kikuzawa, K. Geographical distribution of leaf life span and species diversity of trees simulated by a leaf-longevity model. Vegetatio 1996, 122, 61–67. [Google Scholar] [CrossRef]
- Reich, P.B.; Walters, M.B.; Ellsworth, D.S. Leaf life-span in relation to leaf, plant, and stand characteristics among diverse ecosystems. Ecol. Monogr. 1992, 62, 365–392. [Google Scholar] [CrossRef]
- Kikuzawa, K.; Lechowicz, M.J. Theories of leaf longevity. In Ecology of Leaf Longevity; Springer: Tokyo, Japan, 2011; pp. 41–56. [Google Scholar]
- Lemos-Filho, J.; Barros, C.; Dantas, G.; Dias, L.; Mendes, R. Spatial and temporal variability of canopy cover and understory light in a Cerrado of Southern Brazil. Braz. J. Biol. 2010, 70, 19–24. [Google Scholar] [CrossRef] [PubMed][Green Version]
- Kikuzawa, K. Leaf survival of woody-plants in deciduous broad-leaved forests.1. Tall trees. Can. J. Bot. Rev. Can. Bot. 1983, 61, 2133–2139. [Google Scholar] [CrossRef]
- Janse-ten Klooster, S.H.; Thomas, E.J.P.; Sterck, F.J. Explaining interspecific differences in sapling growth and shade tolerance in temperate forests. J. Ecol. 2007, 95, 1250–1260. [Google Scholar] [CrossRef]
- Lusk, C.H.; Warton, D.I. Global meta-analysis shows that relationships of leaf mass per area with species shade tolerance depend on leaf habit and ontogeny. New Phytol. 2007, 176, 764–774. [Google Scholar] [CrossRef] [PubMed]
- Dickson, A.; Leaf, A.L.; Hosner, J.F. Quality appraisal of white spruce and white pine seedling stock in nurseries. For. Chron. 1960, 36, 10–13. [Google Scholar] [CrossRef]
- Ritchie, G.A. Assessing seedling quality. In Forestry Nursery Manual: Production of Bareroot Seedlings; Duryea, M.L., Landis, T.D., Perry, C.R., Eds.; Springer: Dordrecht, The Netherlands, 1984; pp. 243–259. [Google Scholar]
- Claussen, J.W. Acclimation abilities of three tropical rainforest seedlings to Eincrease in light intensity. For. Ecol. Manag. 1996, 80, 245–255. [Google Scholar] [CrossRef]




| Atmospheric Conditions | Light Treatments | ||
|---|---|---|---|
| FS | S | I | |
| Tmin °C | 19.1 a | 19.2 a | 19.2 a |
| Tmax °C | 45.8 a | 34.8 b | 35.5 b |
| Tmean °C | 28.6 a | 25.2 b | 25.8 b |
| VPD | 1.39 a | 0.92 b | 0.93 b |
| R/FR | 1.67 | 1.54 | 0.69 |
| Traits | Light Treatments | ||
|---|---|---|---|
| FS | S | I | |
| LA (dm2) | 23.2 (±5.0) b | 50.4 (±6.0) a | 43.5 (±6.8) a |
| LN (leaves plant−1) | 10.9 (±2.0) b | 14.0 (±1.3) a | 12.7 (±1.6) ab |
| LS (cm2) | 21.8 (±2.5) b | 36.6 (±3.8) a | 33.9 (±4.1) a |
| LI (leaves g−1) * | 0.31 b | 0.57 a | 0.68 a |
| h (cm) * | 115.4 b | 136.2 a | 120.5 ab |
| hGR (cm day−1) | 1.37 b | 1.67 a | 1.38 b |
| SD (mm) * | 8.63 a | 8.53 a | 7.06 b |
| h/SD (cm mm−2) * | 13.8 b | 17.4 a | 17.7 a |
| SDGR (mm day−1) * | 0.072 a | 0.072 a | 0.052 b |
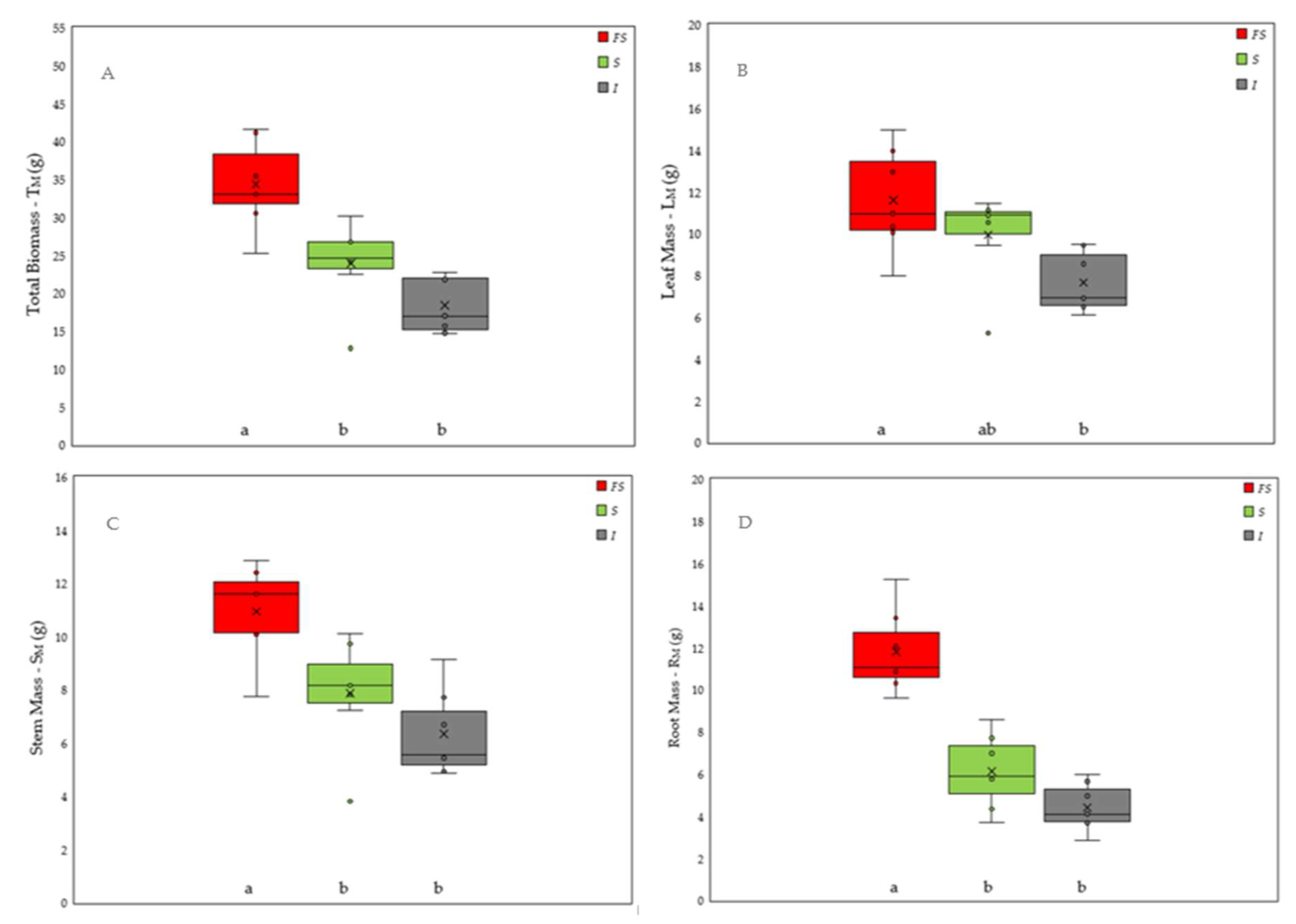
| R/S | 0.52 (±0.06) a | 0.36 (±0.07) b | 0.32 (±0.07) b |
| SA/LA (cm2 m−2) * | 0.245 a | 0.116 ab | 0.090 b |
| SLA (cm2 g−1) | 284.2 (±18.2) c | 373.3 (±28.2) b | 452.5 (±43.9) a |
| LAR (cm2 g−1) | 106.1 (±22.4) c | 149.4 (±15.9) b | 190.1 (±20.0) a |
| LMR (g g−1) | 0.34 (±0.02) b | 0.42 (±0.04) a | 0.42 (±0.03) a |
| SMR (g g−1) | 0.32 (±0.02) a | 0.33 (±0.02) a | 0.34 (±0.03) a |
| RMR (g g−1) | 0.35 (±0.02) a | 0.26 (±0.04) b | 0.24 (±0.04) b |
| dqi | 2.26 (±0.23) a | 1.25 (±0.29) b | 0.89 (±0.17) c |
| Traits | Light Treatments | ||
|---|---|---|---|
| FS | S | I | |
| An (μmol CO2 m−2 s−1) | 10.6 (± 2.17) a | 7.2 (±1.75) b | 4.5 (±1.29) c |
| gs (mol H2O m−2 s−1) * | 0.20 a | 0.19 a | 0.07 b |
| E (mmol H2O m−2 s−1) * | 6.29 a | 4.57 ab | 1.93 b |
| Ci (µmol mol−1) | 193 (±68) a | 179 (±99) a | 179 (±62) a |
| An/Ci | 0.048 a | 0.037 ab | 0.023 b |
| WUE (μmol CO2 mmol H2O−1) | 2.06 (±0.66) a | 2.30 (±1.16) a | 2.04 (±0.58) a |
| NA (g m−2) | 1.02 (±0.14) a | 0.92 (±0.08) a | 0.70 (±0.04) b |
| NM (g kg−1) | 29.4 (±5.43) a | 33.9 (±2.28) a | 31.8 (±2.11) a |
| PA (g m−2) * | 0.048 a | 0.042 a | 0.032 b |
| PM (g kg−1) * | 1.3 a | 1.6 a | 1.6 a |
| PNUE (μmol CO2 g N−1 s−1) | 10.3 (±0.07) a | 7.7 (±0.13) b | 6.3 (±0.15) b |
| Chl (a + bM) (mg g−1) | 9.13 (±1.97) b | 15.07 (±2.57) a | 15.18 (±3.93) a |
| Chl aM (mg g−1) | 6.18 (±1.16) b | 10.11 (±1.35) a | 9.91 (±2.10) a |
| Chl bM (mg g−1) | 2.96 (±0.97) b | 4.96 (±1.32) ab | 5.27 (±1.95) a |
| CarsM (mg g−1) | 1.61 (±0.46) b | 2.03 (±0.24) ab | 2.26 (±0.50) a |
| Chl (a + bA) (mg m−2) | 318.6 (±63.7) b | 408.0 (±57.9) a | 261.3 (±72.9) b |
| Chl aA (mg m−2) | 215.8 (±38.7) b | 274.5 (±34.1) a | 178.0 (±44.9) b |
| Chl bA (mg m−2) | 102.9 (±31.2) ab | 133.6 (±29.2) a | 81.9 (±30.4) b |
| CarsA (mg m−2) | 56.8 (±18.2) a | 55.3 (±7.07) a | 49.7 (±9.78) a |
| Chl (a/b) | 2.18 (±0.42) a | 2.10 (±0.30) a | 2.16 (±0.45) a |
| Traits | Light Treatments | ||
|---|---|---|---|
| FS | S | I | |
| Stomatal density (Stomas mm−2) * | 475 a | 331 b | 268 c |
| Cell density (cells mm−2) * | 2050 a | 1525 b | 1625 b |
| Stomatal index | 0.24 (±0.02) a | 0.21 (±0.02) b | 0.17 (±0.02) c |
| Stomatal length (μm) * | 18.82 a | 17.86 b | 16.74 c |
| Stomatal width (μm) | 8.77 (±1.07) a | 8.95 (±0.98) a | 8.29 (±0.94) b |
| Mesophyll thickness (μm) * | 43.40 a | 38.10 b | 22.70 c |
| Parenchyma Palisade (μm) * | 27.74 a | 22.28 b | 13.58 c |
| Parenchyma Spongy (μm) * | 20.71 a | 15.50 b | 10.59 c |
© 2018 by the authors. Licensee MDPI, Basel, Switzerland. This article is an open access article distributed under the terms and conditions of the Creative Commons Attribution (CC BY) license (http://creativecommons.org/licenses/by/4.0/).
Share and Cite
Naves, V.L.; Rambal, S.; Barbosa, J.P.R.A.D.; Castro, E.M.d.; Pasqual, M. Recruitment Niches of Enterolobium contortisiliquum (Vell.) Morong: Functional Acclimations to Light. Forests 2018, 9, 266. https://doi.org/10.3390/f9050266
Naves VL, Rambal S, Barbosa JPRAD, Castro EMd, Pasqual M. Recruitment Niches of Enterolobium contortisiliquum (Vell.) Morong: Functional Acclimations to Light. Forests. 2018; 9(5):266. https://doi.org/10.3390/f9050266
Chicago/Turabian StyleNaves, Vicente Luiz, Serge Rambal, João Paulo R. A. D. Barbosa, Evaristo Mauro de Castro, and Moacir Pasqual. 2018. "Recruitment Niches of Enterolobium contortisiliquum (Vell.) Morong: Functional Acclimations to Light" Forests 9, no. 5: 266. https://doi.org/10.3390/f9050266
APA StyleNaves, V. L., Rambal, S., Barbosa, J. P. R. A. D., Castro, E. M. d., & Pasqual, M. (2018). Recruitment Niches of Enterolobium contortisiliquum (Vell.) Morong: Functional Acclimations to Light. Forests, 9(5), 266. https://doi.org/10.3390/f9050266

