Stocktype and Vegetative Competition Influences on Pseudotsuga menziesii and Larix occidentalis Seedling Establishment
Abstract
1. Introduction
2. Materials and Methods
2.1. Nursery Culture
2.2. Nursery Phase Sampling
2.3. Outplanting
2.4. Edaphic and Atmospheric Monitoring
2.5. Survival and Morphology Measurements
2.6. Seedling Gas Exchange and Water Potential Measurements
2.7. Statistical Analysis
3. Results
3.1. Nursery Culture
3.1.1. Douglas Fir
3.1.2. Western Larch
3.2. Site Conditions
3.3. Field Survival and Growth
3.3.1. Douglas Fir
3.3.2. Western Larch
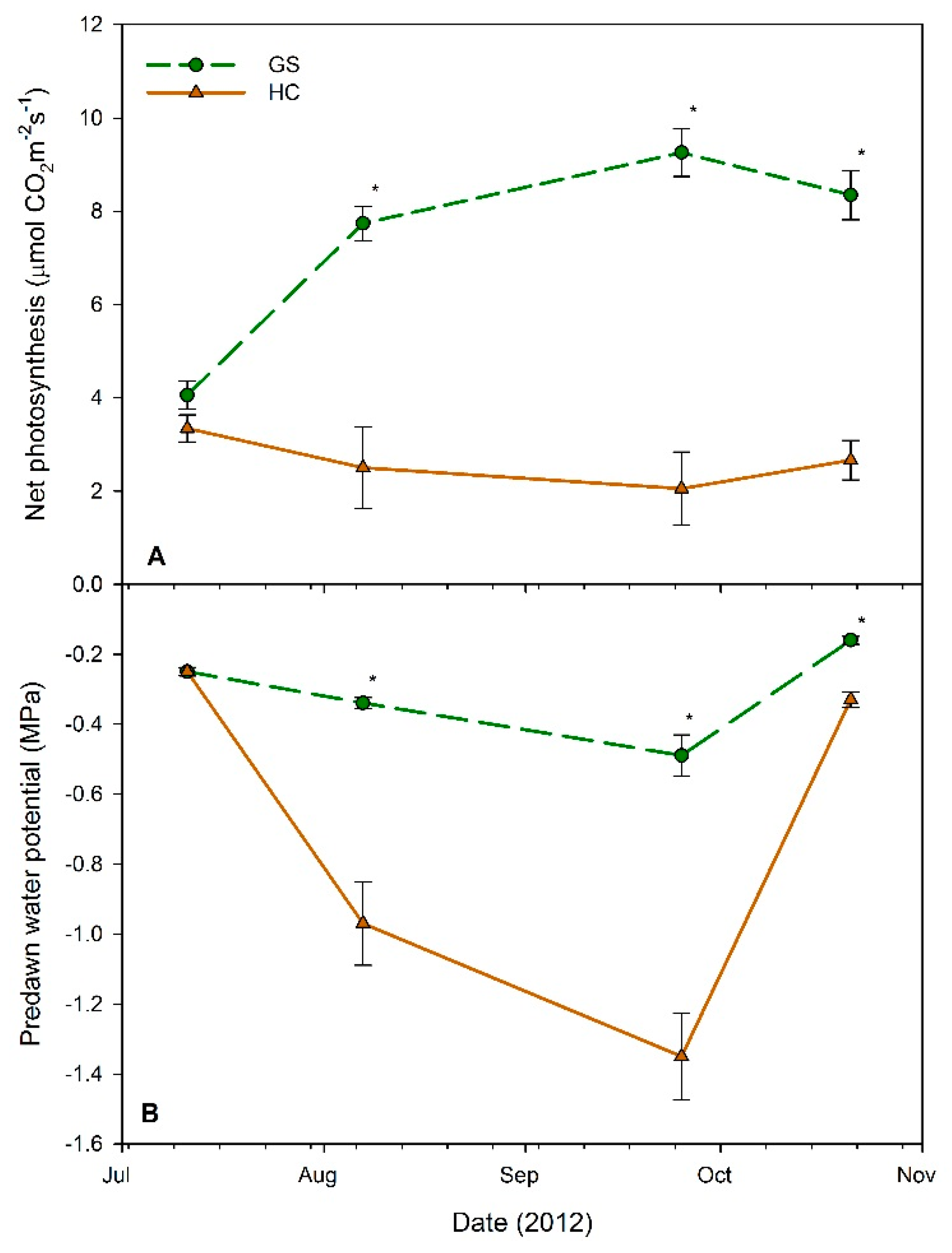
3.4. Physiology
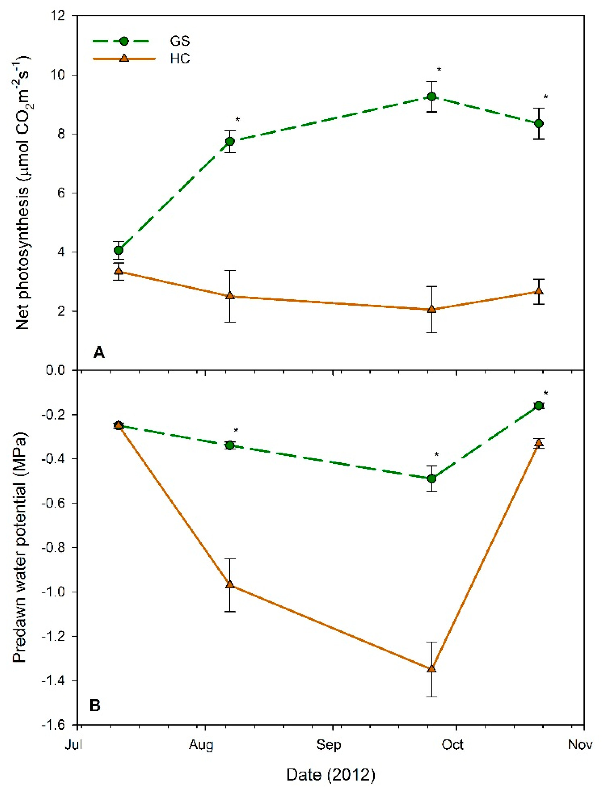
3.4.1. Douglas Fir
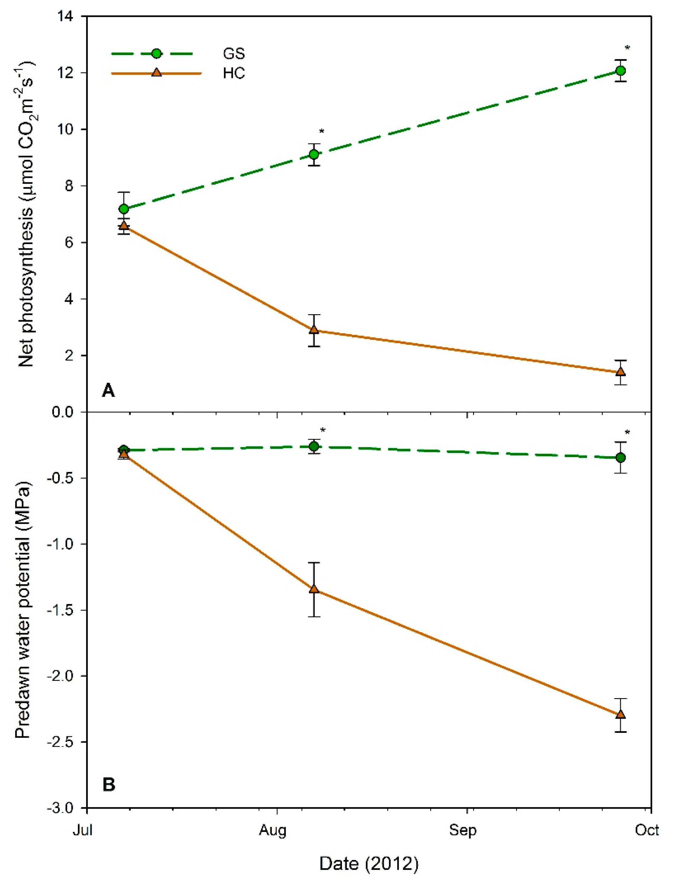
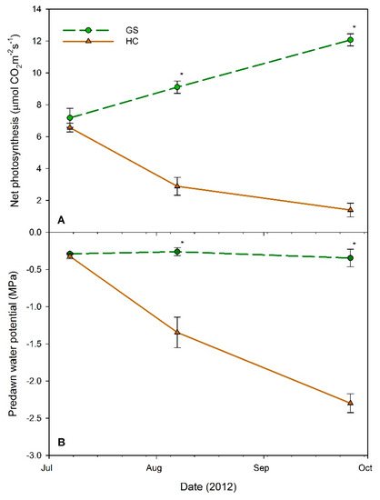
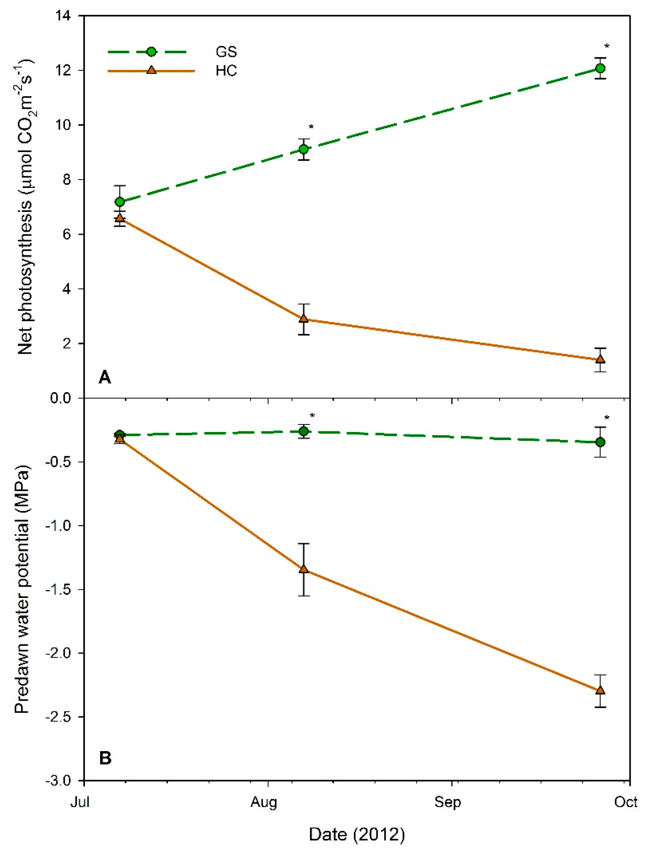
3.4.2. Western Larch
4. Discussion
5. Conclusions
Author Contributions
Acknowledgments
Conflicts of Interest
References
- Landis, T.D.; Tinus, R.W.; McDonald, S.E.; Barnett, J.P. Containers and growing media. In The Container Tree Nursery Manual; USDA Forest Service Agricultural Handbook 674: Washington, DC, USA, 1990; Volume 2, p. 88. [Google Scholar]
- Rose, R.; Carlson, W.C.; Morgan, P. The target seedling concept. In Target Seedling Symposium: Proceedings, Combined Meeting Western Forest Nursery Associations, Roseburg, OR, USA, 13–17 August 1990; Rose, R., Campbell, S.J., Landis, T.D., Eds.; USDA Forest Service General Technical Report RM-200; U.S. Department of Agriculture, Forest Service, Rocky Mountain Forest and Range Experiment Station: Fort Collins, CO, USA, 1990. [Google Scholar]
- Thiffault, N. Stock type in intensive silivculture: A (short) discussion about roots and size. For. Chron. 2004, 8, 463–468. [Google Scholar] [CrossRef]
- Endean, F.; Carlson, L.W. The effect of rooting volume on the early growth of lodgepole pine seedlings. Can. J. For. Res. 1975, 5, 55–60. [Google Scholar] [CrossRef]
- Jinks, R.; Mason, B. Effects of seedling density on the growth of Corsican pine (Pinus nigra var. maritima Melv.), Scots pine (Pinus sylvestris L.) and Douglas-fir (Pseudotsuga menziesii Franco) in containers. Ann. For. Sci. 1998, 55, 407–423. [Google Scholar] [CrossRef]
- Chirino, E.; Vilagrosa, A.; Hernández, E.I.; Matos, A.; Vallejo, V.R. Effects of a deep container on morpho-functional characteristics and root colonization in Quercus suber L. seedlings for reforestation in Mediterranean climate. For. Ecol. Manag. 2008, 256, 779–785. [Google Scholar] [CrossRef]
- Carlson, L.W.; Endean, F. The effect of rooting volume and container configuration on the early growth of white spruce seedlings. Can. J. For. Res. 1976, 6, 221–224. [Google Scholar] [CrossRef]
- Simpson, D. Nursery growing density and container volume affect nursery and field growth of Douglas-fir and lodgepole Pine seedlings. In National Proceedings: Forest and Conservation Nursery Associations, Williamsburg, VA, USA, 11–14 July 1994; Landis, T.D., Dumroese, R.K., Tech. Coords., Eds.; USDA Forest Service General Technical Report RM-GTR-257; U.S. Department of Agriculture, Forest Service, Rocky Mountain Forest and Range Experiment Station: Fort Collins, CO, USA, 1994. [Google Scholar]
- Aphalo, P.; Rikala, R. Field performance of silver-birch planting-stock grown at different spacing and in containers of different volume. New For. 2003, 25, 93–108. [Google Scholar] [CrossRef]
- Dominguez-Lerena, S.; Herrerosierra, N.; Carrascomanzano, I.; Ocanabueno, L.; Penuelasrubira, J.; Mexal, J. Container characteristics influence seedling development in the nursery and field. For. Ecol. Manag. 2006, 221, 63–71. [Google Scholar] [CrossRef]
- Haase, D.L.; Rose, R.; Trobaugh, J. Field Performance of Three Stock Sizes of Douglas-fir Container Seedlings Grown with Slow-release Fertilizer in the Nursery Growing Medium. New For. 2006, 31, 1–24. [Google Scholar] [CrossRef]
- Puértolas, J.; Jacobs, D.F.; Benito, L.F.; Peñuelas, J.L. Cost–benefit analysis of different container capacities and fertilization regimes in Pinus stock-type production for forest restoration in dry Mediterranean areas. Ecol. Eng. 2012, 44, 210–215. [Google Scholar] [CrossRef]
- Carlson, W.C.; Miller, D.E. Target seedling root system size, hydraulic conductivity, and water use during seedling establishment. In Target Seedling Symposium: Proceedings, Combined Meeting Western Forest Nursery Associations, Roseburg, OR, USA, 13–17 August 1990; Rose, R., Campbell, S.J., Landis, T.D., Eds.; USDA Forest Service General Technical Report RM-200; U.S. Department of Agriculture, Forest Service, Rocky Mountain Forest and Range Experiment Station: Fort Collins, CO, USA, 1990. [Google Scholar]
- Cuesta, B.; Villar-Salvador, P.; Puértolas, J.; Jacobs, D.F.; Rey Benayas, J.M. Why do large, nitrogen rich seedlings better resist stressful transplanting conditions? A physiological analysis in two functionally contrasting Mediterranean forest species. For. Ecol. Manag. 2010, 260, 71–78. [Google Scholar] [CrossRef]
- Pinto, J.R.; Marshall, J.D.; Dumroese, R.K.; Davis, A.S.; Cobos, D.R. Photosynthetic response, carbon isotopic composition, survival, and growth of three stock types under water stress enhanced by vegetative competition. Can. J. For. Res. 2012, 42, 333–344. [Google Scholar] [CrossRef]
- Villar-Salvador, P.; Puértolas, J.; Cuesta, B.; Peñuelas, J.L.; Uscola, M.; Heredia-Guerrero, N.; Rey Benayas, J.M. Increase in size and nitrogen concentration enhances seedling survival in Mediterranean plantations. Insights from an ecophysiological conceptual model of plant survival. New For. 2012, 43, 755–770. [Google Scholar] [CrossRef]
- Sutherland, C.; Day, R.J. Container volume affects survival and growth of white spruce, black spruce, and jack pine seedlings: A literature review. North. J. Appl. For. 1988, 5, 185–189. [Google Scholar] [CrossRef]
- Jobidon, R.; Roy, V.; Cyr, G. Net effect of competing vegetation on selected environmental conditions and performance of four spruce seedling stock sizes after eight years in Québec (Canada). Ann. For. Sci. 2003, 60, 691–699. [Google Scholar] [CrossRef]
- Close, D.C.; Paterson, S.; Corkrey, R.; McArthur, C. Influences of seedling size, container type and mammal browsing on the establishment of Eucalyptus globulus in plantation forestry. New For. 2010, 39, 105–115. [Google Scholar] [CrossRef]
- Van den Driessche, R. Relationship between spacing and nitrogen fertilization of seedlings in the nursery, seedling mineral nutrition, and outplanting performance. Can. J. For. Res. 1984, 14, 431–436. [Google Scholar] [CrossRef]
- Pinto, J.R.; Marshall, J.D.; Dumroese, R.K.; Davis, A.S.; Cobos, D.R. Establishment and growth of container seedlings for reforestation: A function of stocktype and edaphic conditions. For. Ecol. Manag. 2011, 261, 1876–1884. [Google Scholar] [CrossRef]
- Burdett, A.N. Physiological processes in plantation establishment and the development of specifications for forest planting stock. Can. J. For. Res. 1990, 20, 415–427. [Google Scholar] [CrossRef]
- Ferguson, S.A. Climatology of the Interior Columbia River Basin; USDA Forest Service General Technical Report PNW-GTR-445; USDA Forest Service: Portland, OR, USA, 1999.
- Grossnickle, S.C. Why seedlings survive: Influence of plant attributes. New For. 2012, 43, 711–738. [Google Scholar] [CrossRef]
- Lamhamedi, M.S.; Bernier, P.Y.; Hébert, C.; Jobidon, R. Physiological and growth responses of three sizes of containerized Picea mariana seedlings outplanted with and without vegetation control. For. Ecol. Manag. 1998, 110, 13–23. [Google Scholar] [CrossRef]
- Mohammed, G.H.; Noland, T.L.; Wagner, R.G. Physiological perturbation in jack pine (Pinus banksiana Lamb.) in the presence of competing herbaceous vegetation. For. Ecol. Manag. 1998, 103, 77–85. [Google Scholar] [CrossRef]
- Pinto, J.R.; Dumroese, R.K.; Davis, A.S.; Landis, T.D. Conducting seedling stocktype trials: A new approach to an old question. J. For. 2011, 109, 293–299. [Google Scholar]
- Dumroese, R.K.; Montville, M.E.; Pinto, J.R. Using container weights to determine irrigation needs: A simple method. Native Plants J. 2015, 16, 67–71. [Google Scholar] [CrossRef]
- Burdett, A.N. A nondestructive method for measuring the volume of intact plant parts. Can. J. For. Res. 1979, 9, 120–122. [Google Scholar] [CrossRef]
- Web Soil Survey: Natural Resources Conservation Service (NRCS) Soil Survey Staff. United States Department of Agriculture. Available online: http://websoilsurvey.nrcs.usda.gov/ (accessed on 8 February 2012).
- Daubenmire, R. A canopy-coverage method of vegetational analysis. Northwest Sci. 1959, 33, 43–64. [Google Scholar]
- Paterson, J. Growing environment and container type influence field performance of black spruce container stock. New For. 1997, 13, 329–339. [Google Scholar] [CrossRef]
- Lamhamedi, M.S.; Bernier, P.Y.; Herbert, C. Effect of shoot size on the gas exchange and growth of containerized Picea mariana seedlings under different watering regimes. New For. 1997, 13, 207–221. [Google Scholar] [CrossRef]
- Rose, R.; Haase, D.L.; Kroiher, F.; Sabin, T. Root volume and growth of Ponderosa pine and Douglas-fir seedlings: A summary of eight growing seasons. West. J. Appl. For. 1997, 12, 69–73. [Google Scholar] [CrossRef][Green Version]
- Van den Driessche, R. Absolute and relative growth of Douglas-fir seedlings of different sizes. Tree Physiol. 1992, 10, 141–152. [Google Scholar] [CrossRef] [PubMed]
- Faure-Lacroix, J.; Tremblay, J.P.; Thiffault, N.; Roy, V. Stock type performance in addressing top-down and bottom-up factors for the restoration of indigenous trees. For. Ecol. Manag. 2013, 307, 333–340. [Google Scholar] [CrossRef]
- Overton, W.S.; Ching, K.K. Analysis of differences in height growth among populations in a nursery selection study of Douglas-fir. For. Sci. 1978, 24, 497–509. [Google Scholar] [CrossRef]
- Rose, R.; Gleason, J.F.; Atkinson, M. Morphological and water-stress characteristics of three Douglas-fir stocktypes in relation to seedling performance under different soil moisture conditions. New For. 1993, 7, 1–17. [Google Scholar] [CrossRef]
- Chavasse, C.G.R. The significance of planting height as an indicator of subsequent seedling growth. N. Z. J For. Sci. 1977, 22, 283–296. [Google Scholar]
- Carlson, W.C. Root system considerations in the quality of loblolly pine seedlings. South. J. Appl. For. 1986, 10, 87–92. [Google Scholar] [CrossRef]
- Mexal, J.G.; Landis, T.D. Target seedling concepts: Height and diameter. In Target Seedling Symposium: Proceedings, Combined Meeting Western Forest Nursery Associations, Roseburg, OR, USA, 13–17 August 1990; Rose, R., Campbell, S.J., Landis, T.D., Eds.; USDA Forest Service General Technical Report RM-200; U.S. Department of Agriculture, Forest Service, Rocky Mountain Forest and Range Experiment Station: Fort Collins, CO, USA, 1990; pp. 17–35. [Google Scholar]
- Haase, D.L.; Rose, R. Soil moisture stress induces transplant shock in stored and unstored 2 + 0 Douglas-fir seedlings of varying root volumes. For. Sci. 1993, 39, 275–294. [Google Scholar]
- South, D.; Harris, S.; Barnett, J.; Hainds, M.; Gjerstad, D. Effect of container type and seedling size on survival and early height growth of seedlings in Alabama, U.S.A. For. Ecol. Manag. 2005, 204, 385–398. [Google Scholar] [CrossRef]
- McDowell, N.; Pockman, W.T.; Allen, C.D.; Breshears, D.D.; Cobb, N.; Kolb, T.; Plaut, J.; Sperry, J.; West, A.; Williams, D.G.; et al. Mechanisms of plant survival and mortality during drought: Why do some plants survive while others succumb to drought? New Phytol. 2008, 178, 719–739. [Google Scholar] [CrossRef] [PubMed]
- Piñol, J.; Sala, A. Ecological implications of xylem cavitation for several Pinaceae in the Pacific Northern USA. Funct. Ecol. 2000, 14, 538–545. [Google Scholar] [CrossRef]
- Schmidt, W.C.; Shearer, R.C.; Roe, A.L. Ecology and Silviculture of Western Larch Forests; Technical Bulletin. 1520; U.S. Department of Agriculture, Forest Service: Washington, DC, USA, 1976; 96p.
- Schmidt, W.C. Larix occidentalis . In Silvics of North America: Volume 1. Conifers; Burns, R.M., Honkala, B.H., Eds.; Agricultural Handbook 654; USDA Forest Service: Washington, DC, USA, 1990; p. 877. [Google Scholar]
- Pinto, J.R.; Marshall, J.D.; Dumroese, R.K.; Davis, A.S.; Cobos, D.R. Seedling establishment and physiological responses to temporal and spatial soil moisture changes. New For. 2016, 47, 223–241. [Google Scholar] [CrossRef]
- Rosenthal, S.I.; Camm, E.L. Photosynthetic decline and pigment loss during autumn foliar senescence in western larch (Larix occidentalis). Tree Physiol. 1997, 17, 767–775. [Google Scholar] [CrossRef] [PubMed]
- Robertson, N.D.; Davis, A.S. Sulfometuron methyl influences seedling growth and leaf function of three conifer species. New For. 2011, 43, 185–195. [Google Scholar] [CrossRef]
- Dumroese, R.K.; Haase, D.L.; Landis, T.D. Seedling processing, storage, and outplanting. In The Container Tree Nursery Manual; USDA Forest Service Agricultural Handbook: Washington, DC, USA, 2010; Volume 7, p. 674. [Google Scholar]
- Rietveld, W.J. Transplanting stress in bareroot conifer seedlings: Its development and progression to establishment. North. J. Appl. For. 1989, 6, 99–107. [Google Scholar] [CrossRef]
- Grossnickle, S.C. Importance of root growth in overcoming planting stress. New For. 2005, 30, 273–294. [Google Scholar] [CrossRef]
- Sayer, M.S.; Brissette, J.C.; Barnett, J.P. Root growth and hydraulic conductivity of southern pine seedlings in response to soil temperature and water availability after planting. New For. 2005, 30, 253–272. [Google Scholar] [CrossRef]
- Rouhi, V.; Samson, R.; Lemeur, R.; Van Damme, P. Photosynthetic gas exchange characteristics in three different almond species during drought stress and subsequent recovery. Environ. Exp. Bot. 2007, 59, 117–129. [Google Scholar] [CrossRef]
- Flexas, J.; Bota, J.; Galmes, J.; Medrano, H.; Ribas-Carbo, M. Keeping a positive carbon balance under adverse conditions: Responses of photosynthesis and respiration to water stress. Physiol. Plant. 2006, 127, 343–352. [Google Scholar] [CrossRef]
- Niinemets, U. Responses of forest trees to single and multiple environmental stresses from seedlings to mature plants: Past stress history, stress interactions, tolerance and acclimation. For. Ecol. Manag. 2010, 260, 1623–1639. [Google Scholar] [CrossRef]
- Stewart, J.D.; Zine el Abidine, A.; Bernier, P.Y. Stomatal and mesophyll limitations of photosynthesis in black spruce seedlings during multiple cycles of drought. Tree Physiol. 1995, 15, 57–64. [Google Scholar] [CrossRef] [PubMed]




| Container | ID Code Cells/mL | Metric Number | Cell Depth (cm) | Cell Volume (cm3) | Cell Diameter (cm) | Cells Per Container | Cells Per m2 |
|---|---|---|---|---|---|---|---|
| Styroblock® | 91/130 | 415C | 11.0 a | 80 a | 3.9 | 91 | 430 |
| 15.1 | 130 | ||||||
| Styroblock® | 60/250 | 515A | 12.4 a | 200 a | 5.1 | 60 | 284 |
| 15.1 | 250 |
| Container Volume (cm3) | Height (cm) | RCD (mm) | RV (cm3) | R:S |
|---|---|---|---|---|
| Douglas-fir | ||||
| 80 | 18.9 (0.3) a | 2.77 (0.1) a | 3.78 (0.3) a | 0.65 (0.0) a |
| 130 | 23.8 (0.3) b | 3.19 (0.1) b | 6.33 (0.3) b | 0.69 (0.0) ab |
| 200 | 24.2 (0.3) b | 3.61 (0.1) c | 8.67 (0.3) c | 0.74 (0.0) b |
| 250 | 25.4 (0.3) c | 3.63 (0.1) c | 8.89 (0.3) c | 0.80 (0.0) b |
| p < 0.0001 | p < 0.0001 | p < 0.0001 | p < 0.0001 | |
| western larch | ||||
| 80 | 22.2 (0.8) a | 3.79 (0.1) a | 5.04 (0.3) a | 0.77 (0.04) |
| 130 | 27.3 (0.8) bc | 4.21 (0.1) b | 6.78 (0.3) b | 0.82 (0.04) |
| 200 | 30.3 (0.8) c | 4.96 (0.1) c | 9.88 (0.3) d | 0.78 (0.04) |
| 250 | 26.6 (0.8) b | 4.47 (0.1) b | 8.27 (0.3) c | 0.87 (0.04) |
| p < 0.0001 | p < 0.0001 | p < 0.0001 | p = 0.2509 | |
| Height (cm) | Height Inc. (cm) | RCD (mm) | RCD Inc. (mm) | Proportion Mortality | |
|---|---|---|---|---|---|
| First field season (October 2012)–Container Volume (cm3) | |||||
| 80 | 24.7 (0.8) a | 5.9 (0.7) a | 4.4 (0.2) a | 1.3 (0.2) | 0.11 (0.1) |
| 130 | 31.1 (0.8) b | 8.7 (0.7) b | 5.3 (0.2) b | 1.5 (0.2) | 0.10 (0.1) |
| 200 | 30.4 (0.8) b | 8.1 (0.7) b | 5.4 (0.2) b | 1.5 (0.2) | 0.07 (0.0) |
| 250 | 31.5 (0.8) b | 7.7 (0.8) b | 5.5 (0.2) b | 1.4 (0.2) | 0.10 (0.0) |
| First field season (October 2012)–Vegetative Competition Treatment | |||||
| GS | 29.8 (0.9) | 8.1 (0.9) | 5.9 (0.3) a | 2.4 (0.3) a | 0.03 (0.0) a |
| HC | 29.0 (0.9) | 7.1 (0.9) | 4.5 (0.3) b | 1.0 (0.3) b | 0.28 (0.1) b |
| Container effect | p < 0.0001 | p < 0.0001 | p < 0.0001 | p = 0.2366 | p = 0.5233 |
| Competition effect | p = 0.5452 | p = 0.4645 | p = 0.0196 | p = 0.0165 | p = 0.0068 |
| Interaction | p = 0.4461 | p = 0.7935 | p = 0.6395 | p = 0.4188 | p = 0.8799 |
| Second field season (October 2013)–Container Volume (cm3) | |||||
| 80 | 32.7 (2.4) a | 8.2 (1.7) ab | 7.7 (0.6) a | 3.2 (0.4) ab | 0.36 (0.1) |
| 130 | 42.5 (2.4) b | 10.9 (1.7) b | 9.4 (0.6) c | 3.9 (0.4) b | 0.38 (0.1) |
| 200 | 38.0 (2.4) b | 7.7 (1.7) a | 8.3 (0.6) ab | 2.9 (0.4) a | 0.28 (0.1) |
| 250 | 42.0 (2.4) b | 10.1 (1.7) ab | 9.1 (0.6) bc | 3.5 (0.4) ab | 0.35 (0.1) |
| Second field season (October 2013)–Vegetative Competition Treatment | |||||
| GS | 41.5 (2.8) | 11.8 (2.0) | 10.1 (0.7) | 4.2 (0.4) | 0.15 (0.1) a |
| HC | 36.1 (3.3) | 6.7 (2.3) | 7.1 (0.8) | 2.5 (0.5) | 0.61 (0.2) b |
| Container effect | p < 0.0001 | p = 0.0374 | p = 0.0005 | p = 0.0012 | p = 0.4722 |
| Competition effect | p = 0.2959 | p = 0.1887 | p = 0.0585 | p = 0.0725 | p = 0.0286 |
| Interaction | p = 0.9678 | p = 0.9388 | p = 0.2755 | p = 0.0856 | p = 0.1414 |
| Height (cm) | Height Inc. (cm) | RCD (mm) | RCD Inc. (mm) | |
|---|---|---|---|---|
| First field season (October 2012)–Container Volume (cm3) | ||||
| 80 | 39.4 (1.8) a | 18.7 (1.6) ab | 6.64 (0.3) a | 3.16 (0.3) ab |
| 130 | 49.7 (1.8) c | 22.5 (1.6) b | 7.83 (0.3) b | 3.81 (0.3) b |
| 200 | 49.5 (1.8) c | 18.5 (1.6) ab | 8.01 (0.3) b | 3.37 (0.3) ab |
| 250 | 45.2 (1.8) b | 17.6 (1.8) a | 7.37 (0.3) b | 3.05 (0.3) a |
| Container effect | p < 0.0001 | p = 0.0107 | p < 0.0001 | p = 0.0163 |
| Second field season (October 2013)–Container Volume (cm3) | ||||
| 80 | 60.8 (2.5) a | 21.6 (2.4) | 10.9 (0.4) a | 4.2 (0.2) a |
| 130 | 73.7 (2.4) b | 23.0 (2.4) | 13.3 (0.3) b | 5.3 (0.2) b |
| 200 | 74.5 (2.4) b | 24.8 (2.3) | 12.9 (0.3) b | 4.9 (0.2) b |
| 250 | 68.8 (2.5) b | 23.1 (2.4) | 12.4 (0.4) b | 5.0 (0.2) b |
| Container effect | p < 0.0001 | p = 0.5697 | p < 0.0001 | p = 0.0071 |
© 2018 by the authors. Licensee MDPI, Basel, Switzerland. This article is an open access article distributed under the terms and conditions of the Creative Commons Attribution (CC BY) license (http://creativecommons.org/licenses/by/4.0/).
Share and Cite
Pinto, J.R.; McNassar, B.A.; Kildisheva, O.A.; Davis, A.S. Stocktype and Vegetative Competition Influences on Pseudotsuga menziesii and Larix occidentalis Seedling Establishment. Forests 2018, 9, 228. https://doi.org/10.3390/f9050228
Pinto JR, McNassar BA, Kildisheva OA, Davis AS. Stocktype and Vegetative Competition Influences on Pseudotsuga menziesii and Larix occidentalis Seedling Establishment. Forests. 2018; 9(5):228. https://doi.org/10.3390/f9050228
Chicago/Turabian StylePinto, Jeremiah R., Bridget A. McNassar, Olga A. Kildisheva, and Anthony S. Davis. 2018. "Stocktype and Vegetative Competition Influences on Pseudotsuga menziesii and Larix occidentalis Seedling Establishment" Forests 9, no. 5: 228. https://doi.org/10.3390/f9050228
APA StylePinto, J. R., McNassar, B. A., Kildisheva, O. A., & Davis, A. S. (2018). Stocktype and Vegetative Competition Influences on Pseudotsuga menziesii and Larix occidentalis Seedling Establishment. Forests, 9(5), 228. https://doi.org/10.3390/f9050228
