Culture and Density Effects on Tree Quality in Midrotation Non-Thinned Loblolly Pine Plantations
Abstract
:1. Introduction
2. Materials and Methods
2.1. Site Description
2.2. Measurements
2.3. Analysis
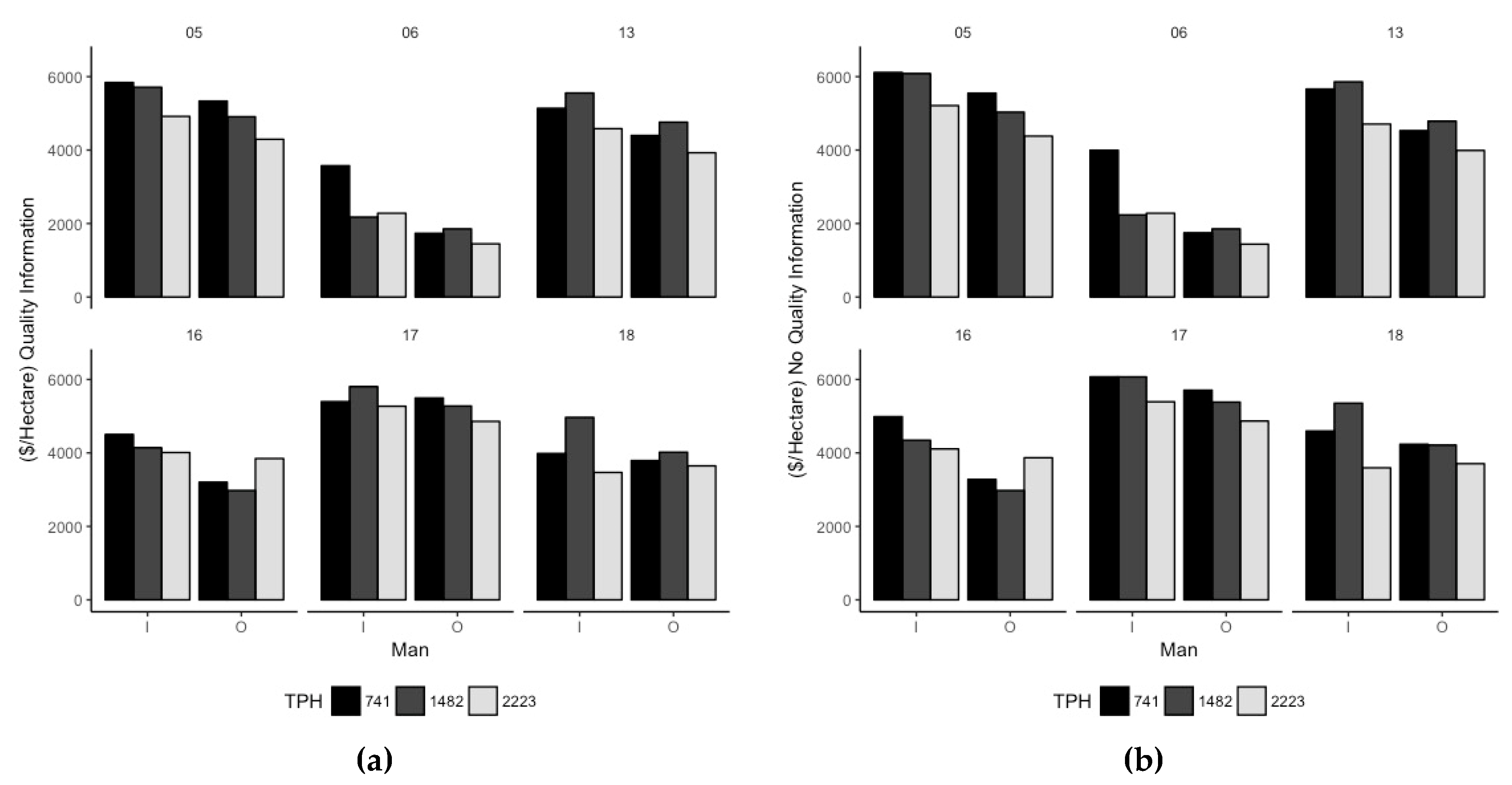
3. Results
3.1. Tree Quality Index
3.2. Product-Defining Defects
3.3. Product Value Impact
4. Discussion
5. Conclusions
Acknowledgments
Author Contributions
Conflicts of Interest
References
- Jokela, E.J.; Martin, D.S.; Vogel, J.G. Twenty-five years of intensive forest management with southern pines: Important lessons learned. J. For. 2010, 108, 338–347. [Google Scholar]
- Sharma, M.; Burkhart, H.B.; Amateis, R.L. Modeling the effect of density on the growth of loblolly pine trees. South. J. Appl. For. 2002, 26, 124–133. [Google Scholar]
- Amateis, R.L.; Burkhart, H.E. Rotation-age results from a loblolly pine spacing trial. South. J. Appl. For. 2012, 36, 11–18. [Google Scholar] [CrossRef]
- Zhao, D.; Kane, M.; Borders, B.; Subedi, S.; Akers, M. Effects of cultural intensity and planting density on stand-level aboveground biomass production and allocation for 12-year-old loblolly pine plantations in the Upper Coastal Plain and Piedmont of the southeastern United States. Can. J. For. Res. 2012, 42, 111–122. [Google Scholar] [CrossRef]
- Akers, M.K.; Kane, M.; Zhao, D.; Teskey, R.O.; Daniels, R.F. Effects of planting density and cultural intensity on stand and crown attributes of mid-rotation loblolly pine plantations. For. Ecol. Manag. 2013, 310, 468–475. [Google Scholar] [CrossRef]
- Pienaar, L.V.; Shiver, B.D. Early results from an old-field loblolly pine spacing study in the Georgia Piedmont with competition control. South. J. Appl. For. 1993, 17, 193–196. [Google Scholar]
- Pienaar, L.V.; Shiver, B.D. The effect of planting density on dominant height in unthinned slash pine plantations. For. Sci. 1984, 30, 1059–1066. [Google Scholar]
- Nyland, R.D. Silviculture: Concepts and Applications, 2nd ed.; McGraw-Hill Co.: New York, NY, USA, 2002; pp. 407–428. [Google Scholar]
- Hennessey, T.C.; Dougherty, P.M.; Lynch, T.B.; Wittwer, R.F.; Lorenzi, E.M. Long-term growth and ecophysiological responses of a southeastern Oklahoma loblolly pine plantation to early rotation thinning. For. Ecol. Manag. 2004, 192, 97–116. [Google Scholar] [CrossRef]
- Wheeler, G.L.; Meade, F.M.; Russell, M.W. Growth of loblolly pine in the Arkansas Ozarks. South. J. Appl. For. 1982, 6, 215–217. [Google Scholar]
- Amateis, R.L.; Burkhart, H.E. The influence of thinning on the proportion of peeler, sawtimber, and pulpwood trees in loblolly pine plantations. South. J. Appl. For. 2005, 29, 158–162. [Google Scholar]
- Burkhart, H.E.; Bredenkamp, B.V. Product-class proportions for thinned and unthinned loblolly pine plantations. South. J. Appl. For. 1989, 13, 192–195. [Google Scholar]
- Fox, T.R.; Allen, L.; Albaugh, T.J.; Rubilar, R.; Carlson, C.A. Tree nutrition and forest fertilization of pine plantations in the southern United States. South. J. Appl. For. 2007, 31, 5–11. [Google Scholar]
- Gent, J.A.; Allen, H.L.; Campbell, R.G.; Wells, C.G. Magnitude, duration, and economic analysis of loblolly pine growth response following bedding and phosphorus fertilization. South. J. Appl. For. 1986, 10, 124–128. [Google Scholar]
- Jokela, E.J.; Wilson, D.S.; Allen, J.E. Early growth responses of slash and loblolly pine following fertilization and herbaceous weed control treatments at establishment. South. J. Appl. For. 2000, 24, 23–30. [Google Scholar]
- Borders, B.E.; Bailey, R.L. Loblolly pine–pushing the limits of growth. South. J. Appl. For. 2001, 25, 69–74. [Google Scholar]
- Will, R.E.; Munger, G.T.; Zhang, Y.; Borders, B.E. Effects of annual fertilization and complete competition control on current annual increment, foliar development, and growth efficiency of different aged Pinus taeda stands. Can. J. For. Res. 2002, 32, 1728–1740. [Google Scholar] [CrossRef]
- Borders, B.E.; Will, R.E.; Markewitz, D.; Clark, A.; Hendrick, R.; Teskey, R.O.; Zhang, Y. Effect of complete competition control and annual fertilization on stem growth and canopy relations for a chronosequence of loblolly pine plantations in the lower coastal plain of Georgia. For. Ecol. Manag. 2004, 192, 21–37. [Google Scholar] [CrossRef]
- Jokela, E.J.; Dougherty, P.M.; Martin, T.A. Production dynamics of intensively managed loblolly pine stands in the southern United States: A synthesis of seven long-term experiments. For. Ecol. Manag. 2004, 192, 117–130. [Google Scholar] [CrossRef]
- Allen, C.B.; Will, R.E.; Jacobson, M.A. Production efficiency and radiation use efficiency of four tree species receiving irrigation and fertilization. For. Sci. 2005, 51, 556–569. [Google Scholar]
- Albaugh, T.J.; Stape, J.L.; Fox, T.R.; Rubliar, R.A.; Allen, H.L. Midrotation vegetation control and fertilization response in Pinus taeda and Pinus elliottii across the southeastern United States. South. J. Appl. For. 2012, 36, 44–53. [Google Scholar] [CrossRef]
- Creighton, J.L.; Zutter, B.R.; Glover, G.R.; Gjerstad, D.H. Planted pine growth and survival responses to herbaceous vegetation control, treatment duration, and herbicide application technique. South. J. Appl. For. 1987, 11, 223–227. [Google Scholar]
- Fortson, J.C.; Shiver, B.D.; Shackelford, L. Removal of competing vegetation from established loblolly pine plantations increases growth on Piedmont and Upper Coastal Plain sites. South. J. Appl. For. 1996, 20, 188–192. [Google Scholar]
- Martin, S.W.; Shiver, B.D. Impacts of vegetation control, genetic improvement and their interaction on loblolly pine growth in the southern United States-age 12 results. South. J. Appl. For. 2002, 26, 37–42. [Google Scholar]
- Amateis, R.L.; Radtke, P.J.; Hansen, G.D. The effect of spacing rectangularity on stem quality in loblolly pine plantations. Can. J. For. Res. 2004, 34, 498–501. [Google Scholar] [CrossRef]
- Prestemon, J.P.; Buongiorno, J. Determinants of tree quality and lumber value in natural uneven-aged southern pine stands. Can. J. For. Res. 2000, 30, 211–219. [Google Scholar] [CrossRef]
- Teglemark, D.O. Prediction of stem properties based on climate and soil factors in naturally regenerated Pinus sylvestris stands. Scand. J. For. Res. 1999, 14, 131–142. [Google Scholar] [CrossRef]
- Cumbie, P.W.; Isik, F.; McKeand, S.E. Genetic improvement of sawtimber potential in loblolly pine. For. Sci. 2012, 58, 168–177. [Google Scholar] [CrossRef]
- McKeand, S.E.; Abt, R.C.; Allen, H.L.; Li, B.; Catts, G.P. What are the best loblolly pine genotypes worth to landowners? J. For. 2006, 104, 352–358. [Google Scholar]
- McKeand, S.E.; Jokela, E.J.; Huber, H.; Byram, T.D.; Allen, H.L.; Bailian, L.; Mullin, T.J. Performance of improved genotypes of loblolly pine across different soils, climates, and silvicultural inputs. For. Ecol. Manag. 2006, 227, 178–184. [Google Scholar] [CrossRef]
- Wang, M.; Kane, M.; Zhao, D. SAGS Culture/Density Study: Age 12 Results; Plantation Management Research Cooperative Tech. Rep; University of Georgia: Athens, GA, USA, 2010. [Google Scholar]
- Sharma, M.; Amateis, R.L.; Burkhart, H.E. Top height definition and its effect on site index determination in thinned and unthinned loblolly pine plantations. For. Ecol. Manag. 2002, 168, 163–175. [Google Scholar] [CrossRef]
- Trincado, G.; Burkhart, H.E. A framework for modeling the dynamics of first-order branches and spatial distribution of knots in loblolly pine trees. Can. J. For. Res. 2009, 39, 566–579. [Google Scholar] [CrossRef]
- Bullock, B.P.; Burkhart, H.E. Equations for predicting green weight of loblolly pine trees in the South. South. J. Appl. For. 2003, 27, 153–159. [Google Scholar]
- Amateis, R.L.; Burkhart, H.E.; Allen, H.L.; Montes, C.R. FASTLOB: A Stand-Level Growth and Yield Model for Fertilized and Thinned Loblolly Pine Plantations. Available online: http://www.fmrc.frec.vt.edu/documents/models/fastlob.pdf (accessed on 2 February 2018).
- Borders, B.E.; Harrison, W.M.; Zhang, Y.; Shiver, B.D.; Clutter, M.; Cieszewski, C.; Daniels, R.F. Growth and Yield Models for Second Rotation Loblolly Pine Plantations in The Piedmont/Upper Coastal Plain and Lower Coastal Plain of The Southeastern; U.S. Plantation Management Research Cooperative Tech. Rep; University of Georgia: Athens, GA, USA, 2004. [Google Scholar]
- A Language and Environment for Statistical Computing. Available online: http://www.R-project.org/ (accessed on 8 February 2018).
- Wickham, H. Ggplot2: Elegant Graphics for Data Analysis; Springer: New York, NY, USA, 2009. [Google Scholar]
- Bates, D.; Maechler, M.; Walker, S. Fitting linear mixed-effects models using lme4. J. Stat. Softw. 2015, 67. [Google Scholar] [CrossRef]
- Espinoza, J.A.; Allen, H.L.; McKeand, S.E.; Dougherty, P.M. Stem sinuosity in loblolly pine with nitrogen and calcium additions. For. Ecol. Manag. 2011, 265, 55–61. [Google Scholar] [CrossRef]
- Impact of Cultural Treatments and Planting Density on Branch Characteristics of Loblolly Pine at Seven and Eight Years of Age. Available online: http://pmrc.uga.edu/TR2010-2.pdf (accessed on 8 February 2018).








| Installation | County | State | Physiographic Province | NRCS Soil Series | Soil Taxonomy | Site Index (m) 1 |
|---|---|---|---|---|---|---|
| 5 | Talbot | GA | Piedmont | Lloyd | Fine, kaolinitic, thermic Rhodic Kanhapludults | 27.1 |
| 6 | Marion | GA | Upper C.P. | Lakeland | Thermic, coated Typic Quartzipsamments | 21 |
| 13 | Jasper | GA | Piedmont | Lloyd-Pacolet | Fine, kaolinitic, thermic Rhodic Kanhapludults | 25.6 |
| 16 | St. Clair | AL | Piedmont | Conasauga Firestone | Very fine, mixed, active, thermic Chromic Vertic Hapludalfs | 21.6 |
| 17 | Harolson | GA | Piedmont | Grover | Fine-loamy, micaceous, thermic Typic Hapludults | 25.6 |
| 18 | Chatooga | GA | Piedmont | Fullerton | Fine, smectitic, thermic Vertic Paleudalfs | 22.9 |
| Treatment | Operational | Intensive |
|---|---|---|
| Chemical Site Preparation | High-rate broadcast treatment in late summer/fall | High-rate broadcast treatment in late summer/fall |
| Mechanical Site Preparation | Optional, Cooperator select, applied to all plots | Optional, Cooperator select, applied to all plots |
| Fertilization | At Planting: 56 kg/ha N + 24.6 kg/ha P + 47 kg/ha K | At planting: 56 kg/ha N + 24.6 kg/ha P + 47 kg/ha K |
| After year 2: 112 kg/ha N + 29.1 kg/ha P + 56 kg/ha K + micronutrients | ||
| Before year 4: 44.8 kg/ha N | ||
| Before year 6: 112 kg/ha N | ||
| Before year 8: 224.2 kg/ha N + 28 kg/ha P | Before year 8: 224.2 kg/ha N + 28 kg/ha P | |
| Before year 10: 224.2 kg/ha + 28 kg/ha P | ||
| Before year 12: 224.2 kg/ha N + 28 kg/ha P | Before year 12: 224.2 kg/ha + 28 kg/ha P | |
| Before year 14: 224.2 kg/ha + 28 kg/ha P | ||
| Competition Control | Year 1: 0.29 L/ha Sulfometuron methyl banded + directed spraying of glyphosate and tryclopyr for hardwood control | Year 1: 0.29 L/ha Sulfometuron methyl broadcast + directed spraying for complete competing vegetation control |
| After year 1: 0.88 L/ha Arsenal broadcast | ||
| To Date: Repeated directed spraying of glyphosate and tryclopyr for complete competing vegetation control |
| Planting Density (TPH) | Spacing (m × m) | Trees Per Measurement Plot | Measurement Plot | Gross Plot Size (ha) |
|---|---|---|---|---|
| Size (ha) | ||||
| 741 | 3.66 × 3.66 | 80 | 0.105 | 0.227 |
| 1482 | 2.44 × 2.74 | 80 | 0.053 | 0.150 |
| 2223 | 2.44 × 1.83 | 96 | 0.045 | 0.125 |
| TQI Class | Specifications |
|---|---|
| 1 | No defects that would eliminate solid wood product potential. No product-defining defects below 4.88 m. |
| 2 | Not used in this study |
| 3 | Major defects that eliminate solid wood potential. Permanently classified as pulpwood. |
| 4 | Serious defects that eliminate all merchantability. Classified as cull. |
| Product | Minimum DBH (cm) | Maximum DBH (cm) | Top Diameter (cm) | Minimum Length (m) | $/Green Metric Ton |
|---|---|---|---|---|---|
| Pulpwood | 11.43 | 20.32 | 7.62 | 4.88 | 11 |
| Chip-and-saw | 20.32 | 31.75 | 15.24 | 7.32 | 16.5 |
| Sawtimber | 31.75 | 101.6 | 20.32 | 4.88 | 27.6 |
| Model | DF | -Value | p-Value | |
|---|---|---|---|---|
| Model 1 | Intercept | 1 | 50.545 | <0.001 |
| Man. | 1 | 47.135 | <0.001 | |
| TPH | 2 | 5.243 | 0.073 | |
| Model 2 | Intercept | 1 | 19.071 | <0.001 |
| Man. | 1 | 2.938 | 0.087 | |
| TPH | 2 | 5.682 | 0.058 | |
| Model 3 | Intercept | 1 | 289.702 | <0.001 |
| Man. | 1 | 4.180 | 0.041 | |
| TPH | 2 | 3.183 | 0.204 |
© 2018 by the authors. Licensee MDPI, Basel, Switzerland. This article is an open access article distributed under the terms and conditions of the Creative Commons Attribution (CC BY) license (http://creativecommons.org/licenses/by/4.0/).
Share and Cite
Green, P.C.; Bullock, B.P.; Kane, M.B. Culture and Density Effects on Tree Quality in Midrotation Non-Thinned Loblolly Pine Plantations. Forests 2018, 9, 82. https://doi.org/10.3390/f9020082
Green PC, Bullock BP, Kane MB. Culture and Density Effects on Tree Quality in Midrotation Non-Thinned Loblolly Pine Plantations. Forests. 2018; 9(2):82. https://doi.org/10.3390/f9020082
Chicago/Turabian StyleGreen, P. Corey, Bronson P. Bullock, and Michael B. Kane. 2018. "Culture and Density Effects on Tree Quality in Midrotation Non-Thinned Loblolly Pine Plantations" Forests 9, no. 2: 82. https://doi.org/10.3390/f9020082
APA StyleGreen, P. C., Bullock, B. P., & Kane, M. B. (2018). Culture and Density Effects on Tree Quality in Midrotation Non-Thinned Loblolly Pine Plantations. Forests, 9(2), 82. https://doi.org/10.3390/f9020082

