Rapid Estimation of Stomatal Density and Stomatal Area of Plant Leaves Based on Object-Oriented Classification and Its Ecological Trade-Off Strategy Analysis
Abstract
1. Introduction
2. Materials and Methods
2.1. Study Area
2.2. Plant Material
2.3. Stomatal Image Acquisition
2.4. Stomatal Image Processing
2.4.1. Stomatal Image Pretreatment
2.4.2. Extraction Process
2.5. Calculation of Stomatal Density and Stomatal Area
2.6. Accuracy Analysis
2.7. Surface Temperature and Gas Parameter Determination
Surface Temperature Measurement
3. Results
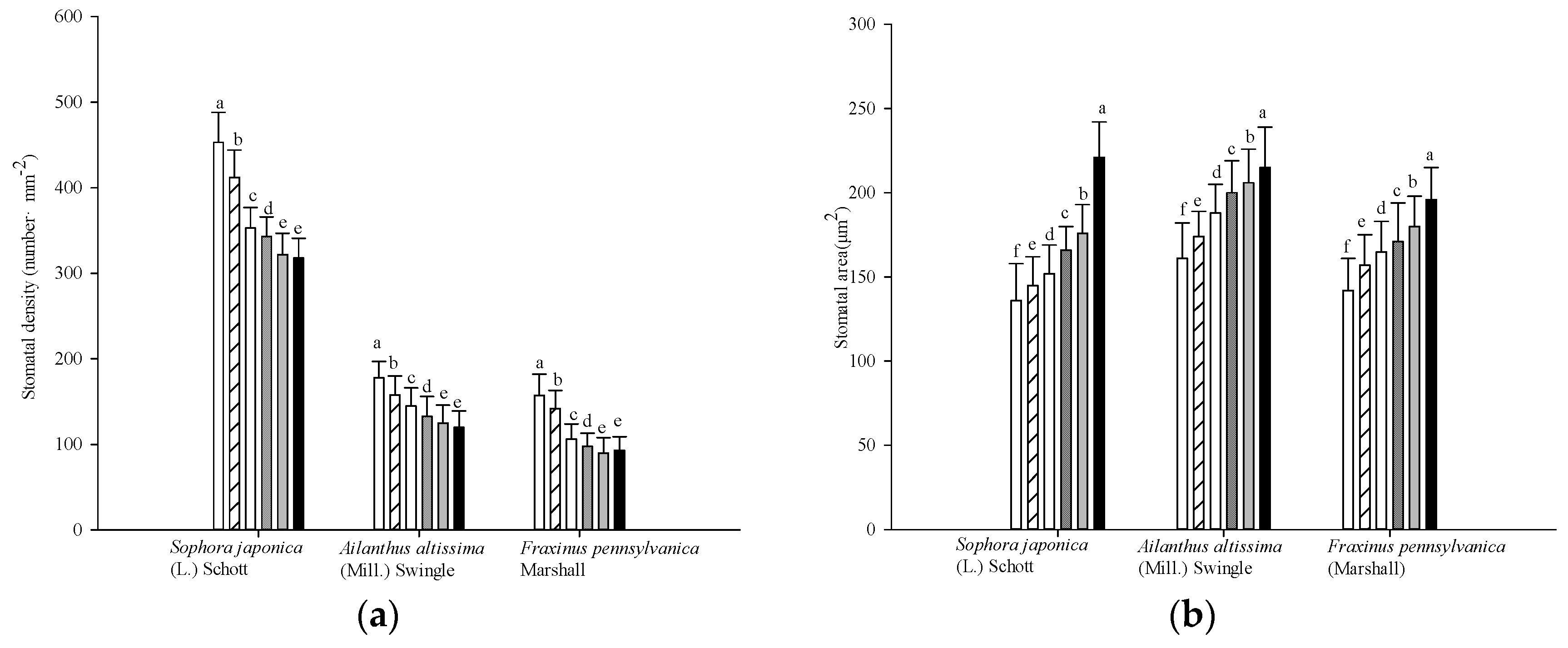
3.1. Stomatal Characteristics under Different Environments
3.1.1. Surface Temperature Characteristics of Urban Underlying Surface Environments
3.1.2. Stomatal Characteristics under Six Urban Underlying Surface Environments
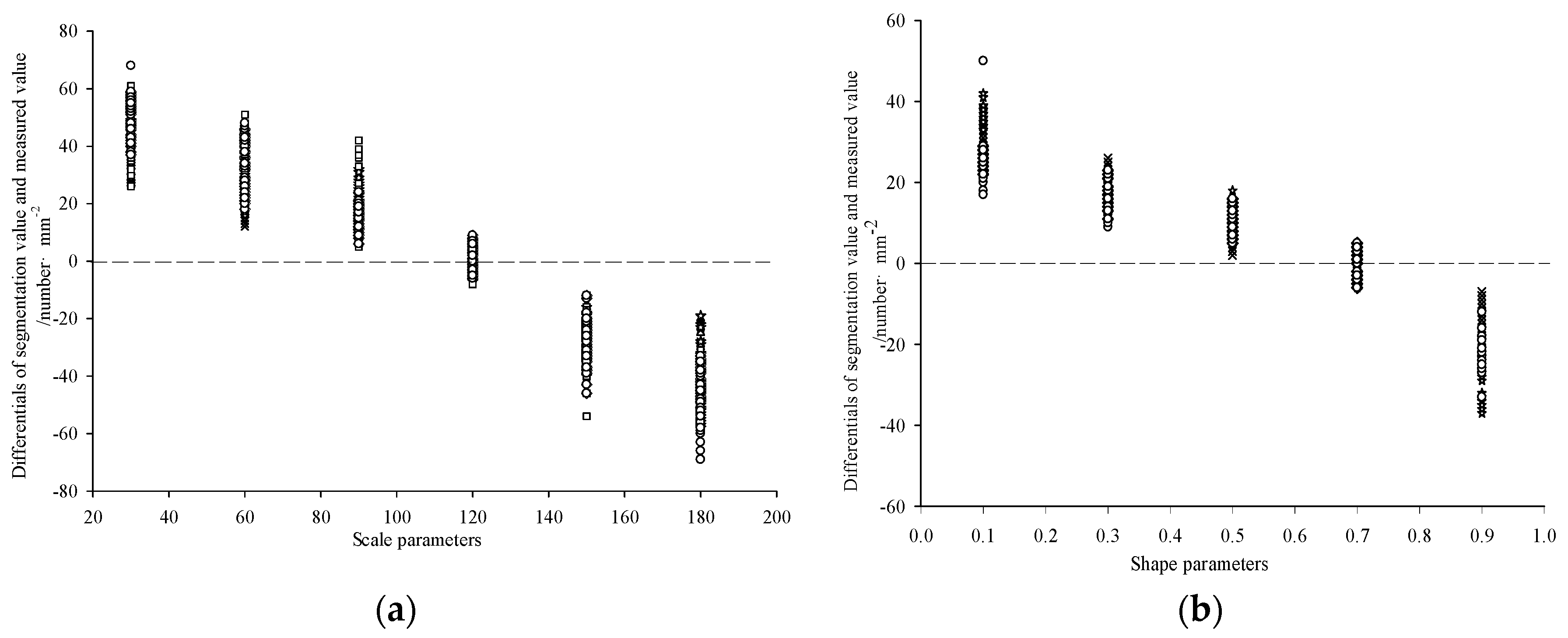
3.2. Image Optimal Segmentation Parameter Determination
3.3. Stomatal Classification and Automatic Extraction of Image Interpretation Conditions
- The stomata have special spectral characteristics, which can be clearly distinguished from the background structure.
- The stomata have very regular traits and are generally elliptical in shape.
- Due to their unique structure, the stomata are clearly different in brightness from the background in the image.
3.3.1. Brightness Rules
3.3.2. Spectral Rules
3.3.3. Shape Rules
3.4. Interpretation of Stomatal Density and Stomatal Area and an Estimation of Its Accuracy
4. Discussion
4.1. Stomatal Extraction
4.2. The Trade-Off Strategy of Stomatal Morphology under Urban Environment
5. Conclusions
- When eCognition object-oriented classification techniques were applied to the stomatal extraction of plant leaves, the estimation accuracy of the stomatal density and the stomatal area of the blade reached 99.2% and 94.5%, respectively. This method can be used to obtain stomatal characterization information in large quantities, which lays the foundation for further research on stomatal characteristics in the future. The optimal parameters and extraction rules obtained for stomatal splitting were as follows: scale parameter 120–125, shape parameter 0.7, compactness parameter 0.9, brightness value 160–220, red band >95, and shape–density index 1.5–2.2. These are generally applicable to the extraction of most plant stomata.
- In the high temperature environment of the city, as the temperature increased, the plant stomatal density and its shape index increased, but the stomatal area decreased significantly. There was a regulating behavior between stomatal area, stomatal density, and stomatal shape index under different environments, which might be an ecological trade-off strategy for plants to adapt to a particular growing environment.
Author Contributions
Funding
Acknowledgments
Conflicts of Interest
References
- Royer, D.L. Stomatal density and stomatal index as indicators of paleoatmospheric CO2 concentration. Rev. Palaeobot. Palynol. 2001, 114, 1–28. [Google Scholar] [CrossRef]
- Sugano, S.S.; Shimada, T.; Imai, Y.; Okawa, K.; Tamai, A.; Mori, M.; Hara-Nishimura, L. Stomagen positively regulates stomatal density in arabidopsis. Nature 2010, 463, 241. [Google Scholar] [CrossRef] [PubMed]
- Berger, D.; Altmann, T. Subtilisin-like serine protease involved in the regulation of stomatal density and distribution in Arabidopsis thaliana. Genes Dev. 2000, 14, 1119–1131. [Google Scholar] [PubMed]
- Delporte, F.; Mostade, O.; Jacquemin, J.M. Plant regeneration through callus initiation from thin mature embryo fragments of wheat. Plant Cell Tissue Organ Cult. 2001, 67, 73–80. [Google Scholar] [CrossRef]
- Masterson, J. Stomatal size in fossil plants: Evidence for polyploidy in majority of angiosperms. Science 1994, 264, 421. [Google Scholar] [CrossRef] [PubMed]
- Huang, Z.; Xu, C.; Li, Y.; Wang, P.Q.; Li, Y.K.; Xiang, Y. Induction of somatic embryogenesis by anther-derived callus culture and plantlet ploidy determination in poplar (Populus × beijingensis). Plant Cell Tissue Organ Cult. 2015, 120, 949–959. [Google Scholar] [CrossRef]
- Flexas, J.; Medrano, H. Drought-inhibition of photosynthesis in C3 plants: Stomatal and non-stomatal limitations revisited. Ann. Bot. 2002, 89, 183–189. [Google Scholar] [CrossRef] [PubMed]
- Lawson, T.; Blatt, M.R. Stomatal size, speed, and responsiveness impact on photosynthesis and water use efficiency. Plant Physiol. 2014, 164, 1556–1570. [Google Scholar] [CrossRef] [PubMed]
- Flexas, J.; Bota, J.; Escalona, J.M.; Sampol, B.; Medrano, H. Effects of drought on photosynthesis in grapevines under field conditions: An evaluation of stomatal and mesophyll limitations. Funct. Plant Biol. 2002, 29, 461–471. [Google Scholar] [CrossRef]
- Chen, Z.C.; Feng, J.X.; Wan, X.C. Stomatal behaviours of aspen (Populus tremuloides) plants in response to low root temperature in Hydroponics. Russ. J. Plant Physiol. 2018, 65, 512–517. [Google Scholar] [CrossRef]
- Yun, S.C.; Laurence, J.A. The response of clones of Populus tremuloides differing in sensitivity to ozone in the field. New Phytol. 1999, 141, 411–421. [Google Scholar] [CrossRef]
- Boer, H.J.D.; Price, C.A.; Wagner-Cremer, F.; Dekker, S.C.; Franks, P.J.; Veneklaas, E.J. Optimal allocation of leaf epidermal area for gas exchange. New Phytol. 2016, 210, 1219–1228. [Google Scholar] [CrossRef] [PubMed]
- Paudel, I.; Halpern, M.; Wagner, Y.; Raveh, E.; Yermiyahu, U.; Hoch, G.; Klein, T. Elevated CO2, compensates for drought effects in lemon saplings via stomatal down regulation, increased soil moisture, and increased wood carbon storage. Environ. Exp. Bot. 2018, 148, 117–127. [Google Scholar] [CrossRef]
- Zheng, Y.P.; Ming, X.U.; Wang, J.S.; Qin, S.; Wang, H.X. Responses of the stomatal traits and gas exchange of Maize leaves to climate warming. Acta Agron. Sin. 2015, 41, 601. [Google Scholar] [CrossRef]
- Panteris, E.; Galatis, B.; Quader, H.; Apostolakos, P. Cortical actin filament organization in developing and functioning stomatal complexes of Zea mays and Triticum turgidum. Cytoskeleton 2007, 64, 531. [Google Scholar] [CrossRef] [PubMed]
- Xu, M. The optimal atmospheric CO2 concentration for the growth of winter wheat (Triticum aestivum). J. Plant Physiol. 2015, 184, 89–97. [Google Scholar] [CrossRef] [PubMed]
- Kato, Y.; Okami, M. Root growth dynamics and stomatal behaviour of rice (Oryza sativa L.) grown under aerobic and flooded conditions. Field Crops Res. 2010, 117, 9–17. [Google Scholar] [CrossRef]
- Montserrat-Martí, G.; Camarero, J.J.; Palacio, S.; Pérez-Rontomé, C.; Milla, R.; Albuixech, J.; Maestro, M. Summer-drought constrains the phenology and growth of two co-existing Mediterranean oaks with contrasting leaf habit: Implications for their persistence and reproduction. Trees 2009, 23, 787–799. [Google Scholar] [CrossRef]
- Cochard, H.; Breda, N.; Granier, A. Whole tree hydraulic conductance and water loss regulation in Quercus during drought: Evidence for stomatal control of embolism? Ann. For. Sci. 1996, 53, 197–206. [Google Scholar] [CrossRef]
- Jones, H.G. Use of infrared thermometry for estimation of stomatal conductance as a possible aid to irrigation scheduling. Agric. For. Meteorol. 1999, 95, 139–149. [Google Scholar] [CrossRef]
- Jones, H.G.; Stoll, M.; Santos, T.; Sousa, C.D.; Chaves, M.M.; Grant, O.M. Use of infrared thermography for monitoring stomatal closure in the field: Application to grapevine. J. Exp. Bot. 2002, 53, 2249–2260. [Google Scholar] [CrossRef] [PubMed]
- Guilioni, L.; Jones, H.G.; Leinonen, I.; Lhomme, J.P. On the relationships between stomatal resistance and leaf temperatures in thermography. Agric. For. Meteorol. 2008, 148, 1908–1912. [Google Scholar] [CrossRef]
- Ghassemian, H.; Landgrebe, D.A. Object-oriented feature extraction method for image data compaction. IEEE Control Syst. Mag. 2002, 8, 42–48. [Google Scholar] [CrossRef]
- Niu, C.Y.; Jiang, W.S.; Huang, X.F.; Xie, J.F. Analysis and comparison between two object-oriented information extraction software of feature analyst and ecognition. Remote Sens. Inf. 2007, 43, 66–70. [Google Scholar]
- Anheier, H.K.; Gerhards, J.; Romo, F.P. Forms of capital and social structure in cultural fields: Examining Bourdieu’s social topography. Am. J. Sociol. 1995, 100, 859–903. [Google Scholar] [CrossRef]
- Lopez, O.R.; Farrislopez, K.; Montgomery, R.A.; Givnish, T.J. Leaf phenology in relation to canopy closure in southern Appalachian trees. Am. J. Bot. 2008, 95, 1395–1407. [Google Scholar] [CrossRef] [PubMed]
- Yu, M.H.; Ding, G.D.; Gao, G.L.; Zhao, Y.Y.; Sai, K. Leaf temperature fluctuations of typical psammophytic plants and their application to stomatal conductance estimation. Forests 2018, 9, 313. [Google Scholar] [CrossRef]
- Elisabet, M.S.; Lizeth, K.; Vásconez, N.; Hannes, S.; Isabel, D.L.; Annette, M. Responses of contrasting tree functional types to air warming and drought. Forests 2017, 8, 450. [Google Scholar]
- Garnier, E.; Berger, A. The influence of drought on stomatal conductance and water potential of peach trees growing in the field. Sci. Hortic. 1987, 32, 249–263. [Google Scholar] [CrossRef]
- Alkhudhairy, D.H.A.; Caravaggi, I.; Giada, S. Structural damage assessments from Ikonos data using change detection, object-oriented segmentation, and classification techniques. Photogramm. Eng. Remote Sens. 2005, 71, 825–838. [Google Scholar] [CrossRef]
- Liu, W.; Wang, C.H.; Zhao, E.P.; Du, H.J. Extraction of small river information based on object-oriented classification. Trans. Chin. Soc. Agric. Eng. 2014, 45, 237–244. [Google Scholar]
- Jian, S.Q.; Zhao, C.Y.; Zhao, Y.; Peng, S.Z.; Peng, H.H. Based on image processing technology estimatingleaves stomatal density of Populus euphratica and analysis of its ecological significance. Acta Ecol. Sin. 2011, 31, 4818–4825. [Google Scholar]
- Maimaitijiang, M.; Alimujiang, K. Study on land surface characteristics and its relationship with land surface thermal environment of typical city in arid region. Ecol. Environ. Sci. 2015, 24, 1865–1871. [Google Scholar]
- Rogiers, S.Y.; Hardie, W.J.; Smith, J.P. Stomatal density of grapevine leaves (Vitis vinifera, L.) responds to soil temperature and atmospheric carbon dioxide. Austr. J. Grape Wine Res. 2011, 17, 147–152. [Google Scholar] [CrossRef]
- Shpak, E.D.; Mcabee, J.M.; Pillitteri, L.J.; Torii, K.U. Stomatal patterning and differentiation by synergistic interactions of receptor kinases. Science 2005, 309, 290–293. [Google Scholar] [CrossRef] [PubMed]
- Pillitteri, L.J.; Sloan, D.B.; Bogenschutz, N.L.; Torii, K.U. Termination of asymmetric cell division and differentiation of stomata. Nature 2007, 445, 501–505. [Google Scholar] [CrossRef] [PubMed]
- Irvine, J.; Perks, M.P.; Magnani, F.; Grace, J. The response of Pinus sylvestris to drought: Stomatal control of transpiration and hydraulic conductance. Tree Physiol. 1998, 18, 393–402. [Google Scholar] [CrossRef] [PubMed]
- Klein, T. The variability of stomatal sensitivity to leaf water potential across tree species indicates a continuum between isohydric and anisohydric behaviours. Funct. Ecol. 2014, 28, 1313–1320. [Google Scholar] [CrossRef]
- Martínez-Vilalta, J.; Garcia-Forner, N. Water potential regulation, stomatal behaviour and hydraulic transport under drought: Deconstructing the ISO/anisohydric concept. Plant. Cell Environ. 2016, 40, 962–976. [Google Scholar] [CrossRef] [PubMed]
- Wheeler, J.K.; Huggett, B.A.; Tofte, A.N.; Rockwell, F.E.; Holbrook, N.M. Cutting xylem under tensionor supersaturated with gas can generate PLC and the appearance of rapid recovery from embolism. Plant Cell Environ. 2013, 36, 1938–1949. [Google Scholar] [PubMed]
- Pierce, S.; Cerabolini, B.E.L. Allocating CSR plant functional types: The use of leaf economics and size traits to classify woody and herbaceous vascular plants. Funct. Ecol. 2013, 27, 1002–1010. [Google Scholar] [CrossRef]
- Pierce, S.; Bottinelli, A.; Bassani, I.; Ceriani, R.M.; Cerabolini, B.E.L. How well do seed production traits correlate with leaf traits, whole plant traits and plant ecological strategies? Plant Ecol. 2014, 215, 1351–1359. [Google Scholar] [CrossRef]
- Phonphan, W.; Diep, N.T.H.; Korsem, T. Determination aquaculture area in Thanh Phu District, Ben Tre Province, Vietnam using remote sensing technology. J. Comput. Theor. Nanosci. 2018, 24, 5355–5358. [Google Scholar] [CrossRef]
- Wang, C.; He, H.S.; Kabrick, J.M. A remote sensing-assisted risk rating study to predict oak decline and recovery in the Missouri Ozark highlands, USA. GISci. Remote Sens. 2008, 45, 406–425. [Google Scholar] [CrossRef]
- Benz, U.C.; Hofmann, P.; Willhauck, G.; Lingenfelder, I.; Heynen, M. Multi-resolution, object-oriented fuzzy analysis of remote sensing data for GIS-ready information. ISPRS J. Photogramm. Remote Sens. 2004, 58, 239–258. [Google Scholar] [CrossRef]
- Hu, Q.; Wu, W.; Xia, T.; Yu, Q.; Yang, P.; Li, Z.; Song, Q. Exploring the use of google earth imagery and object-based methods in land use/cover mapping. Remote Sens. 2013, 5, 6026–6042. [Google Scholar] [CrossRef]
- Swyngedouw, E.; Moulaert, F.; Rodriguez, A. Neoliberal urbanization in Europe: Large-scale urban development projects and the new urban policy. Antipode 2002, 34, 542–577. [Google Scholar] [CrossRef]
- Yan, P.; Yang, J. Species diversity of urban forests in China. Urban For. Urban Green. 2017, 28, 160–166. [Google Scholar] [CrossRef]
- Iijima, H.; Shibuya, M.; Saito, H. Effects of surface and light conditions of fallen logs on the emergence and survival of coniferous seedlings and saplings. J. For. Res. 2007, 12, 262–269. [Google Scholar] [CrossRef]
- Sharpe, D.M.; Stearns, F.; Leitner, L.A.; Dorney, J.R. Fate of natural vegetation during urban development of rural landscapes in Southeastern Wisconsin. Urban Ecol. 1986, 9, 267–287. [Google Scholar] [CrossRef]
- Magle, S.B.; Crooks, K.R. Interactions between black-tailed prairie dogs (Cynomys ludovicianus) and vegetation in habitat fragmented by urbanization. J. Arid Environ. 2008, 72, 238–246. [Google Scholar] [CrossRef]
- Hart, M.A.; Sailor, D.J. Quantifying the influence of land-use and surface characteristics on spatial variability in the urban heat island. Theor. Appl. Climatol. 2008, 95, 397–406. [Google Scholar] [CrossRef]
- Imhoff, M.L.; Zhang, P.; Wolfe, R.E.; Bounoua, L. Remote sensing of the urban heat island effect across biomes in the continental USA. Remote. Sens. Environ. 2010, 114, 504–513. [Google Scholar] [CrossRef]
- Linden, J. Nocturnal cool island in the Sahelian city of Ouagadougou, Burkina Faso. Int. J. Climatol. 2010, 31, 605–620. [Google Scholar] [CrossRef]
- Abrams, M.D.; Mostoller, S.A. Gas-exchange, leaf structure and nitrogen in contrasting successional tree species growing in open and understory sites during a drought. Tree Physiol. 1995, 15, 361–370. [Google Scholar] [CrossRef] [PubMed]
- Yano, K. Stomatal density of cowpea correlates with carbon isotope discrimination in different phosphorus, water and CO2 environments. New Phytol. 2008, 179, 799–807. [Google Scholar]
- Khazaei, H.; Street, K.; Santanen, A.; Bari, A.; Stoddard, F.L. Do faba bean (Vicia faba L.) accessions from environments with contrasting seasonal moisture availabilities differ in stomatal characteristics and related traits? Genet. Resour. Crop Evol. 2013, 60, 2343–2357. [Google Scholar] [CrossRef]
- Collatz, G.J.; Ball, J.T.; Grivet, C.; Berry, J.A. Pysiological and environmental regulation of stomatal conductance, photosyntesis and transpiration: A model that includes a laminal boundary layer. Agric. For. Meteorol. 1991, 54, 107–136. [Google Scholar] [CrossRef]
- Orsini, F.; Alnayef, M.; Bona, S.; Maggio, A.; Gianquinto, G. Low stomatal density and reduced transpiration facilitate strawberry adaptation to salinity. Environ. Exp. Bot. 2012, 81, 1–10. [Google Scholar] [CrossRef]
- Smith, W.K. Temperatures of desert plants: Another perspective on the adaptability of leaf size. Science 1978, 201, 614–616. [Google Scholar] [CrossRef] [PubMed]









| Tree Species | Tree Age/a | Tree Height/m | Diameter/cm | Leaf Area/cm2 | Texture | Leaf Hair |
|---|---|---|---|---|---|---|
| Fraxinus pennsylvanica Marshall | 18 | 10.8 ± 2.6a | 18.6 ± 3.5a | 24.637 ± 1.432b | Coriaceous | Smooth |
| Ailanthus altissima (Mill.) Swingle | 18 | 10.5 ± 2.3a | 17.0 ± 2.7a | 45.017 ± 5.230a | Thin coriaceous | Rough |
| Sophora japonica (L.) Schott | 18 | 11.4 ± 2.0a | 17.5 ± 3.3a | 11.134 ± 2.005c | Papery | Hair cover |
| Source of Variation | Interparameters | Interenvironment | Interspecies | ||||
|---|---|---|---|---|---|---|---|
| F | p | F | p | F | p | ||
| Interpretation accuracy | Split parameters | 24.065 | 0.0001 | 15.224 | 0.6873 | 24.092 | 0.3150 |
| Brightness characteristic | 65.204 | 0.0015 | 27.921 | 0.8025 | 15.677 | 0.4437 | |
| Spectrum characteristic | 35.471 | 0.0047 | 54.937 | 0.0772 | 33.321 | 0.3245 | |
| Shape characteristic | 7.094 | 0.0001 | 2.003 | 0.0584 | 18.263 | 0.9220 | |
| Object | Brightness | Spectral | Shape | ||
|---|---|---|---|---|---|
| Layer 1 | Layer 2 | Layer 3 | |||
| Stomatal | 150–250 | >170 | 160–250 | >95 | 1.5–2.2 |
| Nonstomatal | >200 | <185 | <185 | <95 | <1.5 |
| Trees Species | Stomatal Density/(number·mm−2) | Stomatal Area/μm2 | ||||||
|---|---|---|---|---|---|---|---|---|
| Extraction Value | Measured Value | Difference | Accuracy | Extraction Value | Measured Value | Difference | Accuracy | |
| Ailanthus altissima | 179 ± 9 | 179 ± 7 | 0 ± 2 | 100.0 | 341 ± 15.7 | 331 ± 22.4 | 10.5 ± 1.3 | 97.1 |
| Fraxinus pennsylvanica | 284 ± 6 | 285 ± 7 | 1 ± 1 | 99.5 | 185 ± 16.4 | 196 ± 19.6 | 11.1 ± 2.6 | 94.5 |
| Sophora japonica | 247 ± 10 | 249 ± 9 | 2 ± 1 | 99.2 | 310 ± 21.5 | 318 ± 21.2 | 8.4 ± 3.2 | 97.5 |
| Stomatal Density | Stomatal Area | |||||||||
|---|---|---|---|---|---|---|---|---|---|---|
| Squares | df | M.s. | F | Sig. | Squares | df | M.s. | F | Sig. | |
| Inter-environment | 0.003 | 1 | 0.003 | 0.005 | 0.928 | 0.316 | 1 | 0.255 | 1.609 | 0.211 |
| Inter-species | 2.727 | 2 | 1.433 | 2.195 | 0.118 | 0.436 | 2 | 0.257 | 1.844 | 0.193 |
| Error | 242.126 | 357 | 0.653 | 45.627 | 357 | 0.156 | ||||
| Total | 244.856 | 360 | 46.379 | 360 | ||||||
© 2018 by the authors. Licensee MDPI, Basel, Switzerland. This article is an open access article distributed under the terms and conditions of the Creative Commons Attribution (CC BY) license (http://creativecommons.org/licenses/by/4.0/).
Share and Cite
Zhu, J.; Yu, Q.; Xu, C.; Li, J.; Qin, G. Rapid Estimation of Stomatal Density and Stomatal Area of Plant Leaves Based on Object-Oriented Classification and Its Ecological Trade-Off Strategy Analysis. Forests 2018, 9, 616. https://doi.org/10.3390/f9100616
Zhu J, Yu Q, Xu C, Li J, Qin G. Rapid Estimation of Stomatal Density and Stomatal Area of Plant Leaves Based on Object-Oriented Classification and Its Ecological Trade-Off Strategy Analysis. Forests. 2018; 9(10):616. https://doi.org/10.3390/f9100616
Chicago/Turabian StyleZhu, Jiyou, Qiang Yu, Chengyang Xu, Jinhang Li, and Guoming Qin. 2018. "Rapid Estimation of Stomatal Density and Stomatal Area of Plant Leaves Based on Object-Oriented Classification and Its Ecological Trade-Off Strategy Analysis" Forests 9, no. 10: 616. https://doi.org/10.3390/f9100616
APA StyleZhu, J., Yu, Q., Xu, C., Li, J., & Qin, G. (2018). Rapid Estimation of Stomatal Density and Stomatal Area of Plant Leaves Based on Object-Oriented Classification and Its Ecological Trade-Off Strategy Analysis. Forests, 9(10), 616. https://doi.org/10.3390/f9100616

