Next Article in Journal
Comparison of Wood Quality of Douglas Fir and Spruce from Afforested Agricultural Land and Permanent Forest Land in the Czech Republic
Previous Article in Journal
Fungal Community and Ligninolytic Enzyme Activities in Quercus deserticola Trel. Litter from Forest Fragments with Increasing Levels of Disturbance
Previous Article in Special Issue
Site- and Species-Specific Influences on Sub-Alpine Conifer Growth in Mt. Rainier National Park, USA
 
 
Font Type:
Arial Georgia Verdana
Font Size:
Aa Aa Aa
Line Spacing:
Column Width:
Background:
Article

Responses of Tree Seedlings near the Alpine Treeline to Delayed Snowmelt and Reduced Sky Exposure

1
Ecological Plant Geography, Faculty of Geography, University of Marburg, Deutschhausstrasse 10, D-35032 Marburg, Germany
2
Functional Ecology of Plants, Institute of Biology and Environmental Sciences, University of Oldenburg, D-26111 Oldenburg, Germany
*
Author to whom correspondence should be addressed.
Forests 2018, 9(1), 12; https://doi.org/10.3390/f9010012
Submission received: 26 September 2017 / Revised: 15 November 2017 / Accepted: 20 December 2017 / Published: 25 December 2017
(This article belongs to the Special Issue Treeline Ecotone Dynamics)

Abstract

:
Earlier snowmelt changes spring stress exposure and growing-season length, possibly causing shifts in plant species dominance. If such shifts involve trees, this may lead to changes in treeline position. We hypothesized that earlier snowmelt would negatively affect the performance of tree seedlings near the treeline due to higher spring stress levels, but less so if seedlings were protected from the main stress factors of night frosts and excess solar radiation. We exposed seedlings of five European treeline tree species: Larix decidua, Picea abies, Pinus cembra, Pinus uncinata, and Sorbus aucuparia to two snow-cover treatments (early and late melting, with about two weeks difference) combined with reduced sky exposure during the day (shading) or night (night warming), repeated in two years, at a site about 200 m below the regional treeline elevation. Physiological stress levels (as indicated by lower Fv/Fm) in the first weeks after emergence from snow were higher in early-emerging seedlings. As expected, shade reduced stress, but contrary to expectation, night warming did not. However, early- and late-emerging seedlings did not differ overall in their growth or survival, and the interaction with shading was inconsistent between years. Overall, shading had the strongest effect, decreasing stress levels and mortality (in the early-emerging seedlings only), but also growth. A two-week difference in snow-cover duration did not strongly affect the seedlings, although even smaller differences have been shown to affect productivity in alpine and arctic tundra vegetation. Still, snowmelt timing cannot be discarded as important for regeneration in subalpine conditions, because (1) it is likely more critical in very snow-rich or snow-poor mountains or landscape positions; and (2) it can change (sub)alpine vegetation phenology and productivity, thereby affecting plant interactions, an aspect that should be considered in future studies.

1. Introduction

Changes in snow-cover duration are one of the ecologically most influential consequences of global climate change in high-mountain ecosystems. At the same time, such changes are particularly difficult to predict, as they depend on complex interactions of altered precipitation and temperature in different seasons. Generally, snow cover in the northern hemisphere has been decreasing in the last decades [1]. This trend is also observed in many mountain areas [2,3,4,5], but depending on the local climate, some mountain ranges have also experienced increases [6]. In the European Alps, snow-cover duration is clearly decreasing: snowmelt in spring has advanced by about 26 days, on average, between 1970 and 2015 (across 11 Swiss stations between ca. 1100 and 2500 m a.s.l. [7]). This trend is observed across elevations up to 2500~3000 m, so including the current treeline and adjoining alpine areas, and is expected to continue in the coming decades [8,9].
Snow-manipulation experiments have been widely used to study the effect of changes in snow-cover duration on alpine and arctic tundra vegetation. According to a recent meta-analysis [6], the effects of snow manipulations depend on the species groups studied. Overall plant productivity tends to decline with delayed snowmelt, but this pattern is not universal and appears to be mostly driven by grasses, while the growth of forbs tends to increase and dwarf shrubs are not very responsive. Interestingly, according to this meta-analysis, the length of the change in snowmelt date (ranging from <1 to >3 weeks) does not affect the strength of the effect on productivity.
Alpine treelines outside the tropics are generally subject to winter snow cover, but snow is not a primary driver of treeline position, at least not at the global scale. At that scale, treeline positions agree best in their mean growing-season temperature, given a minimum growing season length [10,11], indicating that they are caused by a lack of warmth for growth. Low air temperatures affect trees before low vegetation, because tree canopies are better coupled to the atmosphere and hence warm up less in the sun than smaller plants. However, in treeline studies focussed on tree seedlings, cold-related stress and photoinhibition have been identified as most critical for this life stage, rather than a lack of warmth for growth [12,13,14]. Consequently, treeline positions and dynamics at the local scale can very well be driven by snow-cover patterns, as indicated by natural seedling distributions and sapling survival and growth patterns [15,16,17,18,19].
In winter, seedlings in temperate-zone mountains will usually be covered by snow and are thus protected from the harshest conditions. As a result, for instance, small Larix seedlings can ‘afford’ to be evergreen [20]. Emergence from snow cover results in exposure to stresses like frost, high solar radiation, wind abrasion, and winter desiccation. Adult trees may be seriously limited by these stress factors [21,22,23], but seedlings may suffer harsher conditions (e.g., stronger frosts) and may be more vulnerable due to their small size. Their small size implies smaller water reserves and hence a higher susceptibility to damage by winter desiccation [24]. Likewise, the relatively small carbohydrate reserves, in relation to the high proportion of vulnerable tissues, may delay the replacement of lost or damaged tissue. Tree seedlings can also be more frost sensitive than adult trees, e.g., in Lophozonia (formerly Nothofagus) menziesii (Hook.f.) Heenan & Smissen [25], but for other taxa, e.g., most Pinus and many Abies species, this does not appear to be the case [26].
Although deciduous and coniferous treeline trees and seedlings are generally highly frost tolerant in winter [26,27,28], frost hardening may be less developed under snow due to the relatively high temperatures here compared to outside [29]. Snow-covered plant parts and seedlings are therefore particularly vulnerable upon sudden exposure [30]. Earlier snowmelt implies exposure to more frost events [31]. Observed higher temperatures and earlier snowmelt in the last decades are not necessarily accompanied by a reduction in the number of frost events during the growing season [32]. This unfavourable combination of abiotic conditions would result in increased freezing damage, as indicated, e.g., by the results of experimental warming in Larix decidua L. trees at the treeline [33]. Interestingly, most frost damage in that warming experiment occurred in the first two to three weeks after snowmelt.
Low temperatures can be especially damaging when combined with high solar radiation. Cold-induced photoinhibition and possibly photodamage affect tree regeneration at Australian evergreen eucalypt treelines [14] and North-American conifer (Picea and Abies) treelines [13,34]. High sky exposure also appears to restrict tree establishment at treelines in New Zealand, as well as in the tropical Andes, although there the physiological mechanisms are less clear [23,35,36]. At alpine treelines, cold-induced photoinhibition can occur at any time of the year, due to the large daily temperature fluctuations at these elevations, but it is more likely in spring and autumn, when nights are colder. The importance of cold-induced photoinhibition for long-term seedling performance is unclear, however, even for those species where photoinhibition is known to occur.
Prolonged protection under snow has obvious advantages in terms of reduced exposure to climatic stressors, but it also shortens the growing season [18]. A shorter season does not only reduce the time available for growth, but also that for tissue ripening. It has been suggested that insufficient tissue ripening in the cool, short growing season may leave trees and, in particular, seedlings vulnerable to freezing damage or winter desiccation [28,37,38]. The response of tree seedlings to differences in snow cover thus has various interacting dimensions [15,39]. Apart from time for growth and damage through early-season stress, further potentially important dimensions include the growth of parasitic snow fungi (worse with late snowmelt; [16,40]) and the timing and duration of soil water supply (better with late snowmelt). The relative importance of all of these dimensions may also differ between tree species and life stages.
In this paper, we explore the effect of shorter or longer snow cover in spring on physiological stress, growth, and survival of seedlings of five tree species in the subalpine zone just below alpine-treeline elevation in the French Alps. We explicitly studied two potential stress factors after emergence from snow cover: cold-induced photoinhibition (addressed through shading and night warming) and freezing damage (addressed through night warming). We hypothesized that: (1) early-emerging seedlings experience higher stress levels and have lower survival; (2) early-emerging seedlings have lower overall growth, in spite of the longer growing season, due to damage suffered early in the season; and (3) the negative effects of earlier snowmelt are ameliorated by shade and night warming.

2. Materials and Methods

2.1. Study Area and Tree Species

The experiment took place in the experimental garden of the Alpine Research Station Joseph Fourier in the French Alps, ca. 200 m below the regional natural treeline (Lautaret Pass, 2100 m a.s.l., 45°02′ N, 6°24′ E). This garden is situated in the transition zone between the wet outer Alps and the dryer inner Alps [41]. The mean temperature of the warmest month (July) is 11 °C and the average annual precipitation is 1230 mm [42]. Persistent snow cover typically lasts four to five months with a moderate depth of 2–3 m (Franck Delbart, Alpine Research Station Joseph Fourier, personal communication). Due to a long history of land use, there is no natural treeline at the Lautaret pass, with the subalpine vegetation consisting mostly of species-rich Festuca paniculata (L.) Schinz & Thell.—meadows [43].
We studied four important treeline-forming conifers in the European Alps: Larix decidua L., Picea abies (L.) Karst, Pinus cembra L., and Pinus uncinata Ram. (the latter added in 2013), plus the broadleaved Sorbus aucuparia L., which also grows up to the treeline [44]. Seeds of subalpine origin were obtained from a commercial seed producer (Herzog Baum, Samen und Pflanzen GmbH, Gmunden, Austria) and a forestry office (Kantonaler Forstgarten Rodels, Rodels, Switzerland) providing seeds from the inner Alps. Only seeds of Sorbus aucuparia were unavailable form the Alps and were obtained from a lower-montane origin in Hungary.

2.2. Experimental Design

Seedlings were planted in plots with six treatment combinations: two levels of snowmelt timing: early and late; combined with three levels of sky exposure: continuous exposure (control), daytime roof providing shade, and night-time roof providing passive warming (Figure 1). The experimental plots were arranged in four blocks, set up perpendicular to the slope. Each of the six plots per block was randomly assigned to a treatment combination, except when treatment constructions would impact neighboring plots (e.g., due to shading). Ten seedlings per tree species were planted in one randomly assigned row per species in each of the 50 × 75-cm plots. Half the plots were planted in 2012, and the other half (new rows) in 2013. The experiment was thus repeated in two years, with seedlings planted in autumn 2012 and monitored in 2013 and 2014, and with seedlings planted in autumn 2013 and monitored in 2014.
All blocks were fenced against cattle. The 50 × 75-cm plots were excavated to a depth of 15 cm to remove all above- and belowground plant material. The soil of the plots within a block was then mixed and returned, creating a homogenous growth substrate within blocks. This treatment roughly resembles the disturbance of soil by, e.g., animal burrowing, which may play a role in tree establishment at treelines and provides a suitable substrate for tree seedlings [39,45]. Sky-exposure treatments were installed just before seedlings were exposed from under the snow. Shade was produced by shade roofs (70% reduction in photosynthetically active radiation compared to open air), covering the plots in the shade treatment during the day. These same roofs were placed over the plots in the night-warming treatments during the night to reduce radiative cooling. The roofs were 30-cm high and had 20-cm shade-cloth curtains on all sides to prevent the penetration of low-angle sunlight.
Plots were marked with 80-cm tall poles. When these became visible in spring, snow was removed from the early plots to a height of 5 cm above the ground, so that seedlings were uncovered by subsequent melting. This snow was moved onto the late plots, and snow cover was maintained here by adding snow from snow patches outside the experimental area for as long as possible. This resulted in a difference of twelve days between early and late plots in 2014. Snow cover thus lasted until, respectively, 16 and 28 May 2014. The previous winter (2012–2013) was very snow rich, with a quite late but suddenly warm spring and many late snow events until June. The early plots were exposed from under the snow several times (11–14, 22–25, and 27–28 May 2013) before final snowmelt (29 May 2013 for the early plots). Shade/night-warming roofs were installed during these exposed periods and removed again when new snow fell. After final snowmelt in the early plots, snow melted very fast, so that the late plots were snow-free seven days later in early June 2013.

2.3. Planting Procedures and Response Parameters

Seeds were germinated in spring 2012 and 2013 in Oldenburg (lowland northern Germany) and transferred to the Lautaret alpine botanical garden in late spring, when most were still in the cotyledonous stage. They were then kept in open-air nursery beds with 40% shade at midday but penetrating direct light for several hours a day over summer to acclimatize to the subalpine conditions before being transferred to the plots in early October 2012 and late September 2013, respectively. Conifer seedlings developed their first real needles in the subalpine nursery, or only in the second growing season, but did not grow much during that first acclimation summer. They were <5 cm tall (S. aucuparia, L aucuparia, <3 cm for the other species) upon outplanting and were planted bare-rooted, with a 5–6 cm distance between seedlings, so there was no crowding. To reduce the number of dimensions of the seedling responses to snow cover, focusing the experiments on climatic stress and growing-season length, we excluded soil-water effects by providing sufficient water to all plots, watering on days without natural precipitation throughout the growing season. Therefore, the extra soil water provided by the late-melting snow to the late plots and possibly to neighboring early plots should not have influenced the effects of these treatments.
Starting at snowmelt, survival and the cause of observed mortality were recorded monthly during the growing season. Seedling size (height, longest-leaf length, number of shoots, and number of leaves) was recorded for all seedlings at the end of their first growing season in the field (August) and, for the 2012 seedlings, also after snowmelt in the second year (June). Biomass growth was studied by sampling two seedlings per plot (one in 2014) at the end of the growing season (September) and determining their dry weight.
To assess whether seedlings were physiologically stressed, we measured chlorophyll fluorescence in summer 2013 and in spring 2014, determining pre-dawn quantum yield (Fv/Fm). Lower Fv/Fm values indicate a reduced quantum efficiency of photosynthesis, indicating that plants are increasingly stressed; values above ca. 0.7 are taken to be normal for healthy plants (0.83 corresponding to maximal efficiency), whereas values below are taken to indicate stress [46]. In 2013, we determined Fv/Fm shortly after snowmelt (10–11 June) and in the middle of summer (25–28 July), spreading the measurements over several days (one to two blocks per day) because of the time needed to measure all seedlings and the necessity to measure before dawn. In 2014, we determined Fv/Fm on two days per snow treatment, eight and 20 days (eight and 16 days for the late plots) after snowmelt, in the seedlings planted in autumn 2013. We used a hand-held PAM-fluorometer (Mini PAM, Walz GmbH, Effeltrich, Germany). Additionally, to analyze the influence of weather conditions on physiological stress, we monitored chlorophyll fluorescence, determining Fv/Fm (or ΔF/Fm′ during daylight hours) every two hours, using a monitoring PAM-fluorometer (Moni-PAM, Walz GmbH, Effeltrich, Germany) with custom-made probes for measuring small seedlings at ground level. Simultaneous monitoring was done with six probes installed to measure six seedlings of two species in three treatments. Measurements took place during the first three weeks after emergence from snow (15 May to 4 June 2014 for the early-emerging plots and 5 to 26 June 2014 for the late-emerging plots) or after the development of leaves (27 June to 17 July for Sorbus and Larix).

2.4. Microclimate

Sky-exposure treatment effects on microclimate were assessed with dataloggers with external temperature sensors (Model ProV2, Onset Corp, Bourne, MA, USA), monitoring air (sensor protected by a sunshield, at 10 cm above the ground) and soil (at 5-cm depth) temperature in three plots per treatment. All sensors were placed in a central position in the plot and data were recorded in 30-min intervals. Additional climate data were available from a standard weather station near the study site at the Lautaret pass (Reseau d’Observation Méteo du Massif Alpin—Col du Lautaret, http://romma.fr).
To show the effect of the night-warming treatment on dew-water input and night-time surface temperatures, we collected dew from the top of our temperature-sensor sunshields, which provided a standardized smooth white plastic surface (ca. 5-cm diameter) at about 10-cm height in all treatments. Dew was collected in the three sky-exposure treatments in the four blocks (12 observations) before sunrise on a morning with strong dewfall. To this end, 12 dry filter papers were sealed into plastic bags and weighed, then taken out in the field and used to absorb all dew from the respective sunshields, before being placed back into their bag and reweighed.

2.5. Statistical Analysis

To assess the effects of snowmelt timing and sky exposure and their interactions on seedling biomass, leaf fluorescence, and final mortality, we used generalized linear models (GLMs). The three response variables, Fv/Fm, mortality at the end of the 2014 growing season, and biomass at the end of the first growing season, were analyzed in separate models, and separately for seedlings planted in 2012 and in 2013. A gamma error distribution was used for Fv/Fm and biomass and a binomial distribution was used for mortality [47]. Full models always included snow treatment, sky-exposure treatment, species, and their interactions, while block was included to control for spatial heterogeneity. Non-significant terms were removed from the full models using backward stepwise selection. Significant interaction terms were only maintained in the models when they improved the AIC by at least 10 units. Post-hoc comparisons were made using least-squares means [48] and Tukey adjustments.
To test whether and for how long low night temperatures negatively affected pre-dawn Fv/Fm, we calculated cross-correlations between daily minimum temperature and daily maximum Fv/Fm for a period of 33 days. We used the R function ccf [49], which calculates estimates of the cross-correlation of two univariate series. The function is useful to predict lags (time units = days) over which variable “a” (here: minimum temperature) may predict variable “b” (here: maximum Fv/Fm).
To test not only the differences in final mortality (tested using GLM) but also in survival rates through time, we used a survival analysis separately for each species and for the seedlings planted in 2012 and 2013. Survival rates were based on deaths per monitoring time per treatment. Survival was averaged across blocks to create a survival curve (R function surv) per treatment and tree species. We used the R function pairwise_survdiff for pairwise comparisons of survival curves for the treatments (here we had to use the six treatment combinations as independent treatments), using a Bonferroni correction to obtain adjusted p values.
The effect of snow and sky-exposure treatments on growth, expressed in terms of plant morphology (height, leaf length, number of shoots and leaves), was assessed by means of a multivariate analysis of variance (MANOVA, [50]). MANOVAs were performed separately for each species and measurement time, using the four size variables (height, leaf length, number of shoots and leaves) as dependent variables and snow and sky-exposure treatments, their interaction, and blocks as independent variables. After the overall MANOVA was calculated, univariate MANOVAs were obtained for each size variable.
Analyses were conducted using the software R 3.3.3 [51] and the packages “lsmeans” [48], “survival” [52], “survminer” [53], and “dunn.test” [54].

3. Results

3.1. Microclimate

In both 2013 and 2014, early-emerging seedlings experienced substantial frosts, whereas late-emerging seedlings did not. According to local weather station data, in spring 2014, the first two nights after emergence in the early plots (15 and 16 May 2014) were rather cold (−3.7 and −2.7 °C), whereas in the two following weeks only four light night frosts (−0.4 °C minimum) occurred. We did not measure temperatures in the plots before 23 May 2014, but as the −0.4 °C in the weather station corresponded to −2.3 °C at seedling height in the plots, it is likely that the first two nights were below −5 °C in the early plots. In the late plots, emerging on 28 May 2014, the first two weeks after snowmelt were frost free at the weather station, while according to our microclimatic measurements, there was just one light night of frost at seedling height (5 June 2014, −1.7 °C in the control plots, 0.3 °C at the weather station).
In Spring 2013, the snow-free intervals in the early plots corresponded to frosty nights, with minima at the weather station of −2.8 °C in the first, −5.8 °C in the second, and −2.7 °C in the third interval. After final snowmelt in the early plots on 29 May 2013, the first three nights were frosty (minima of −3.4 °C), but after that, temperatures stayed above zero at the weather station. After late snowmelt on 5 June 2013, no more frosts were registered at the weather station.
In the shade treatment, frost occurrences were the same as in the control, whereas in the night-warming treatment, they were slightly reduced (Figure 2). The absolute minimum air temperature reached during the measurement period in 2014 was −2.3 °C in the control treatment (24 May, 6 a.m.), corresponding to −1.4 °C in the night-warming treatment. Shading reduced daily maximum and mean air temperatures, while the night-warming treatment hardly affected air temperatures (Figure 2). Temperatures at 5-cm soil depth were always positive, with minima of about +2 °C. Soil temperatures were similar in the night-warming treatment and the control, while shading reduced soil temperatures, especially daily means and maxima, but also minima (Figure 2). However, dewfall was strongly reduced in the night-warming treatment (Figure A1, Kruskal-Wallis rank sum test, Chi2, p < 0.05), indicating that surface temperatures were higher in this treatment due to protection from radiative cooling. Lower dewfall may also indicate a lower natural moisture input in this treatment.
It is relevant that the strongest frosts occurred directly after emergence and not several weeks later, when seedlings would have lost their frost hardiness. Although seedlings under snow are likely to be less hardened than exposed tree branches [28], the frosts experienced after snowmelt are unlikely to have caused freezing damage. Snow-covered P. cembra tolerates frost of −30 °C [29], while even during leaf expansion, the most sensitive phenological phase, four of our study species at the treeline have been found to tolerate a temperature of −4 °C [55]. However, the low night temperatures may have contributed to cold-induced photoinhibition, as suggested by the observed patterns of chlorophyll fluorescence (see below).

3.2. Seedling Performance

3.2.1. Chlorophyll Fluorescence

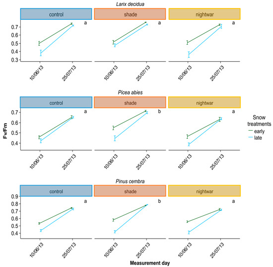
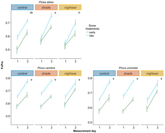
In spring 2014, when measurements were taken one and 2.5 weeks after snowmelt, the snow and the sky-exposure treatments interactively affected Fv/Fm, and species differed in their response to sky exposure (Table 1 and Table 2, Figure 3). The pre-dawn Fv/Fm values indicated moderate physiological stress in the first week after emergence in both early- and late-emerging seedlings, which was stronger in the early-emerging ones. After 20 days, early-emerging seedlings still showed reduced Fv/Fm values, while late-emerging seedlings had nearly fully recovered after 16 days (Fv/Fm between 0.7 and 0.8). Shade resulted in higher pre-dawn Fv/Fm values in P. abies and P. cembra, but not in P. uncinata (Figure 3). Overall, this difference was significant both in the early and late plots. However, in the early plots, shade differed from the control, while in the late plot, shade differed from the night-warming treatment (Table 2). A comparison of the second measurement for early-emerging seedlings and the first measurement for late-emerging seedlings, which were carried out on the same date, showed that these differed only in the night-warming treatment, with the early-emerging seedlings (snow-free since 2.5 weeks) having significantly higher Fv/Fm values than the late-emerging seedlings (snow-free since one week). A similar pattern could be seen in P. abies in the shade treatment (Figure 3). This probably reflects the reactiviation of the photosynthetic apparatus after winter, leading to reduced Fv/Fm values at emergence from the snow, irrespective of additional stress [56].
In 2013, this pattern was similar and more widespread among treatments (Table 1, Figure A2): when measured simultaneously 12 days (early plots) or five days (late plots) after snowmelt, the early-emerging seedlings had higher Fv/Fm values than the late emerging seedlings. In summer (July), this difference had disappeared. Shade increased Fv/Fm overall (Table 1, Figure A2). In summer, stress levels were generally low, irrespective of treatment: Fv/Fm was >0.7 except in the control and night-warming treatments in P. abies, where they were still around 0.65 (Figure A2, or even 0.75 in the monitored seedlings, Figure A3). Such Fv/Fm values seem to be typical or even relatively high for exposed conifer seedlings at the treeline, where values of 0.55, 0.65, and 0.7 have been reported [57,58].
The time courses of the daily maxima and minima of Fv/Fm (or ΔF/Fm′ during daylight hours) showed more temporal variation in the early- than in the late-emerging seedlings (Figure A3). A cross-correlation analysis suggests that the lowest daily maximum values were reached a few days after nights with low minimum temperatures (Figure 4). Cross correlations functions (CCF, scaled between −1 and 1) between minimum temperature and pre-dawn Fv/Fm values were consistently positive at lags between one and seven days, most strongly after three days (CCF = 0.63), but only in the control treatment. In the shade and night-warming treatments, there were a few significant but very weak correlations (max CCF = 0.41) at larger lags, which are unlikely to be meaningful (Figure 4). This suggests that both the shade and the night-warming treatments had protective effects against cold-induced photoinhibition.

3.2.2. Mortality

In spite of the differences in early-season Fv/Fm between early- and late-emerging seedlings, mortality by the end of the 2014 growing season did not differ significantly between these groups, either for the 2.5-year old seedlings (planted in autumn 2012) or the 1.5-year old seedlings (planted in autumn 2013). However, there was an interaction with the sky-exposure treatments (Table 3, Figure 5). For those planted in 2012, early-emerging seedlings showed lower mortality in the shade than in the control and with night warming, while the latter two did not differ. This is in line with our expectation. However, in contrast to our expectation, shaded early plots also showed lower mortality than late plots (Table 3). Mortality in shaded late plots did not differ significantly from that in shaded early plots, but it was also not reduced compared to other late plots.
The additional analysis of survival through time per tree species indicated that one-year survival curves for the 2013 seedlings did not differ among treatments for any of the species (Figure A4). For the 2012 seedlings, two-year survival curves differed among treatments only in P. abies (Figure 5). The pattern in this species agrees with the final-mortality-based GLM in that survival in the early-emerging seedlings was significantly higher in the shade than in the controls or night-warming treatments, with shaded early-emerging seedlings having the highest survival overall. This indicates that the pattern found in the GLM, although not significantly different between species, was driven by the strong pattern in P. abies.
The most important causes of mortality were climatic stress (indicated by shriveled or dropped foliage), herbivory (indicated by missing shoot tips, most likely bitten off by rodents), and to a lesser extent, pathogens (mostly fungi), while other causes such as uprooting by frost heave played a minor role. The importance of fungi as a cause of mortality was very low in most treatments, with the exception of the late-emerging plots with shade for P. abies and P. cembra, where they caused between 25% (P. abies 2012–2014, 50% for 2013–2014) and 80% (P. cembra 2012–2014, but 0% mortality in this treatment for 2013–2014) of seedlings deaths. However, the difference with the other treatments was not significant.

3.2.3. Growth

When based on biomass, growth did not differ between snow treatments (Table 1). In 2013 (seedlings planted in 2012), there was also no difference between sky-exposure treatments on end-of-season biomass, but in 2014 (seedlings planted 2013), there was a negative shade effect (Figure 6).
When based on plant morphology (height, leaf length, number of shoots and leaves), growth was affected by both snow and sky-exposure treatments, though species varied in what measures were affected by what treatment (Table S1). For instance, in L. decidua and P. abies, mainly height and leaf length responded to the treatments, as the number of shoots was nearly always between one and two in all treatments and the number of leaves was nearly always >20 (typical mean value for well-leafed specimens for this species)(Figure S1). In P. cembra, leaf numbers were also nearly always very high, in this case >30, but for P. uncinata and S. aucuparia, leaf numbers varied between one and 15 and responded to treatments. Shoot numbers (including the main apex plus branches) were most variable in S. aucuparia, varying between one and 16, but also varied in the two Pinus species (up to eight in P. cembra and six in P. uncinata).
Seedlings of L. decidua tended to grow slightly taller (ca. 4 cm vs. ca. 3 cm, on average) with night warming than in the shade, especially in early-emerging plots, while other effects were inconsistent for this species. In P. cembra, seedling height was consistently a few mm higher in the early compared to the late plots (Figure S1). This pattern was also observed for P. abies. These last two species tended to have longer needles in the shaded plots, while other differences were inconsistent. In P. uncinata, which was only planted in 2013, seedlings were smaller in the shade, which was expressed in plant height as well as leaf length (Table S1, Figure S1).
Sorbus aucuparia was the most responsive species to treatments across traits and throughout repeated measurements. There was an interactive effect of snow and sky-exposure treatments for S. aucuparia seedling height, leaf length and the number of leaves, and the additive effects of these two treatment types for the number of shoots. Thereby, S. aucuparia seedlings in the shaded plots had the smallest number of shoots and leaves (Figure S1). Seedlings grew largest in the early plots with night warming. These patterns were consistent between seedlings planted in 2012 (measured August 2013 and June 2014) and those planted in 2013 (measured August 2014).
Overall, seedling morphology suggested somewhat faster growth in early than in late plots, sometimes in interaction with sky-exposure treatments, and slower growth in the shade for some species. However, this effect of snowmelt timing was weak and not consistent among species or measurement times and was not supported by the biomass data. The slower growth in the shade observed in some species (P. uncinata, S. aucuparia) was in line with our biomass data.

4. Discussion

Even though all seedlings emerging early from the snow experienced stronger frosts and showed higher physiological stress in the first week after emergence than those emerging later, this stress was quickly overcome and the long-term differences in growth and survival were not clear-cut. The interactions between snowmelt timing and reduced sky exposure partly supported our hypotheses, but they were inconsistent between years and species. Overall, our hypothesis that early-emerging seedlings would experience higher stress levels was supported by the fluorescence measurement, and these negative effects were indeed reduced by shade, though not by night warming. Our hypothesis that early-emerging seedlings would show higher mortality which would be reduced by shade and night warming was supported only partly by the data. Our hypothesis that early-emerging seedlings would have lower overall growth was not supported by the data at all; no differences in biomass were found and for some species, seedlings were even slightly taller in the early plots.
Mortality after one growing season (seedlings planted 2013) differed between early- and late-emerging seedlings only in the unprotected control plots with higher mortality in early plots. This seems to be in line with our hypothesis that early-season stress after early snowmelt decreases seedling survival. However, protection did not increase survival in the early plots for the 2013 seedlings. Instead, survival was equally low in all protected plots as in the early control plots. Only the older, 2012 seedlings showed increased survival in the shade, and only in the early plots. This also seems to be in line with our hypothesis that protection is especially important early in the season. However, survival in the late-emerging unprotected plots should then be higher than in the early ones, but this was not the case for these seedlings, only for those planted in 2013. Apart from being inconsistent between years, differences in mortality between treatments were also very small. One of the reasons for these weak results may lie in the complexity of snow-cover effects. For example, in our experiment, fungi were a substantial cause of seedling death for some species only in some of the late-melting shaded plots. This suggests that in spite of reducing abiotic stress, protection by snow and shade can be associated with biotic stress, especially (snow) molds, and thus does not always have a net positive effect on survival [16,39].
Reduced sky exposure during the night (night-warming treatment) did not increase minimum soil temperatures, but it did increase minimum air and pre-dawn surface temperatures, leading to a reduction of cold stress. In this regard, the treatment resembles vegetation cover, which was shown to increase the minimum temperatures of seedling leaves in our study area, reducing the frequency of below-zero temperatures [59]. Still, in contrast to a previous study in which night warming clearly stimulated photosynthetic capacity, determined by measuring CO2 exchange, in treeline tree seedlings [13], we did not find higher Fv/Fm values in the night-warming treatment compared to the control or shading treatment. Likewise, night warming did not affect seedling survival, indicating that frost protection in this relatively mild after-snowmelt period was not important, although it may well be important in controlling seedling mortality at more extreme treeline sites [32,60].
Reduced sky exposure during the day (shading) had stronger effects than night warming, attenuating physiological stress (increasing Fv/Fm) in both early and late emerging seedlings in two of the species (P. cembra and P. abies), while reducing mortality in early-emerging seedlings only (seedlings planted in 2012) or not at all (seedlings planted in 2013). On the negative side, although shading increased photosynthetic efficiency, it reduced end-of-season biomass, potentially compromising growth and survival in subsequent years. Even near the alpine treeline, where radiation levels can be damagingly high, light thus appears to be more important as a resource than as a stressor, though the light level at which this balance tips is species-specific [13,59].
The reduction of physiological stress in the shade happened in spite of this treatment having lower night temperatures and was probably due to decreased photoinhibition at lower light levels [13]. The sustained positive effect of shade in different seasons (shortly after snowmelt and in the middle of summer) suggests that photoinhibition occurred throughout the growing season for the exposed P. cembra and P. abies. The lag in the response of Fv/Fm reduction after cold nights suggests that some of the photoinhibition was sustained and should therefore be considered photodamage rather than just indicative of photoprotection. However, our data do not allow us to conclude whether the reduced photosynthetic efficiency affected carbon gain or growth, because we do not know if seedling growth was carbon limited [59]. Growth was lowest in the shade, likely due to a direct light limitation of photosynthesis that was not compensated for by the higher photosynthetic efficiency in the shaded seedlings. Direct measurements of carbon gain in younger (<0.5-years old) conifer seedlings at a North-American treeline [13] suggested strong reductions (down to ca. 15%) in exposed conditions compared to shaded or night-warmed treatments in one of the studied species (Abies lasiocarpa (Hook.) Nutt.), though not in the other (Picea engelmannii Parry ex Engelm.). The species in our experiment (including a Picea species) appear to behave more like the latter.
It could be argued that seedlings germinated in greenhouse conditions and outplanted into the alpine zone are not suitable for testing seedling tolerances to (sub)alpine conditions, because of unacclimated tissues and because the first critical stage after germination is omitted [59,61]. The second argument is especially important when drawing conclusions from experiments for seedling establishment in the field, because establishment requires the survival of all life stages and these can differ in their environmental responses [62]. Therefore, we emphasize that our results are valid only for one- to three-year old seedlings and not for germination or subsequent germinant survival. We partly addressed the first argument by acclimatizing the seedlings in partly exposed subalpine conditions for one growing season before using them in the experiment. However, since growth is very slow at this elevation, seedlings still had their cotyledons, which expanded under greenhouse conditions, when outplanted. This could mean that (1) they had a higher stress-sensitivity than locally germinated seedlings would have had; and (2) seedlings with more growth became better acclimatized, possibly feeding back positively on growth. Therefore, it is possible that (1) the positive effects of shade and night warming would have been lower had seedlings emerged in unprotected subalpine conditions, even if these effects are consistent with previous findings [13,14,35]; and (2) the variability in growth among individuals was exaggerated due to the origin of the seedlings, thereby possibly masking treatment effects. Letting seedlings germinate in the field to study subsequent seedling survival avoids potential acclimation issues, but the environmental filters in the germination and germinant stages may confound effects during later seedlings stages. A good compromise, and to our knowledge a new approach, might be field germination followed by randomized replanting. Thereby, a reciprocal reallocation of part of the seedlings to different treatments could shed light on the importance of early-life acclimation to, e.g., shade vs. exposed conditions.
In our experiment, frost events after early snowmelt were rare and moderate. At the treeline, ca. 200 m higher in elevation than our plots, minimum temperatures may be lower and snow may melt later. However, in the subalpine and alpine zone, horizontal variation in snowmelt timing and microclimate due to topographic heterogeneity can easily exceed variation along elevational gradients [63]. Therefore, although our site was located below the treeline, the effects observed should not be fundamentally different from those at treeline elevation. The potential treeline elevation unlikely represents a sudden shift in the seedling-relevant microclimate, unless trees are actually present and modify environmental conditions. Still, early-season protection by snow and maximising growing-season length should both become more crucial with elevation. Additionally, for the subalpine and alpine zone in general, it is easy to imagine that in years with earlier snowmelt and longer exposure to early-season weather, frost damage may play a larger role and photoinhibition may more often turn into more severe photodamage. The same is true for mountain ranges with shorter snow-cover duration and for landscape positions with little snow cover or high melting rates. At treeline elevation in the European Alps, inter-annual variation in snowmelt timing can be up to a month [64] and the difference between landscape positions can be up to four months [63]. In situations with relatively early natural snowmelt, a shorter snow-cover duration may have stronger negative effects on tree seedlings, as emergence occurs during climatically more stressful times of the year. Likewise, in situations where snow cover naturally lasts well into the growing season, the limited growing-season length may become more critical and a change in snow-cover duration of a few weeks may have stronger impacts, as confirmed by comparing responses across sites [6].
Spatial snowmelt gradients exert strong controls on species distributions in alpine vegetation [63,64,65,66]. Likewise, they can influence the spatial distribution of successful tree seedling establishment, as found, e.g., for mountain birch in Sweden [67] and conifers in the Alps and Rocky Mountains [17,68], and as commonly recognized by forestry practitioners in the Alps [69]. Due to such landscape-scale snow-cover patterns, and interactions with other environmental gradients (e.g., in nutrient availability [70]), effects of shifts in snowmelt timing on alpine and subalpine vegetation will be spatially highly heterogeneous. Additionally, snow in the treeline ecotone can be redistributed and tends to melt differentially around tree islands, causing feedbacks between tree establishment and snow-cover duration [15,17].
In our experiment, two weeks was the maximum possible difference in snowmelt timing we could achieve experimentally, due to the fast melting in spring. Previous snow manipulation experiments in alpine and arctic tundra vegetation had similar time frames and many reported significant results (summarized in [6]). Effects on phenology are nearly always found, while effects on growth and productivity are very variable. Because of the position of their overwintering organs, the response of tree seedlings should be similar to that of dwarf shrubs, rather than that of tall shrubs, herbs, or grasses. Dwarf-shrub growth responses to change in snowmelt timing are highly variable across sites and species [6,31]. It appears from our results that a similarly high variability can be found among tree seedlings.

5. Conclusions

A two-week difference in snow-cover duration did not strongly affect the seedlings in our experiment. Still, even if not directly causing consistent growth responses in tree seedlings, snowmelt timing could affect tree establishment by modifying biotic interactions. Changes in snow-cover duration can cause short-term changes in the phenology and productivity, as well as long-term changes in the functional composition of the alpine vegetation [71]. Vegetation density as well as phenology have been shown to affect interactions between tree seedlings and alpine vegetation [57,58,59]. Indirect effects of shifts in snowmelt timing, via plant-plant interactions, may thus be much more important for tree establishment near the treeline than direct effects on seedling physiology and should be a preferential focus of future studies.

Supplementary Materials

The following are available online at www.mdpi.com/1999-4907/9/1/12/s1, Figure S1: Morphological properties (height, leaf length, number of shoots, number of leaves) of tree seedlings near treeline in the French Alps; Table S1: Output of manova (multivariate analysis of variance) models assessing the effect of snowmelt timing and sky-exposure treatments on traits representing seedling size (height, longest-leaf length, number of leaves and number of shoots) of tree seedlings of five species near treeline in the French Alps.

Acknowledgments

We thank Serge Aubert, former director of the Lautaret Alpine Botanical Garden and the research station Joseph Fourier, for allowing us to use the experimental garden and station facilities, and the gardener team for their support. We acknowledge Marc Müller for his pioneering work on the experimental setups. Thanks also to several field assistants, especially Carla Sardemann, Mathilde Vicente, Jasmin Baruck, Gesa Pries, Verena Schenk, and Eric Thurm, for their help in installing, maintaining, and monitoring the experiment, and to Marianne Schäfer for digitizing the last field data. The study was funded by the German Research Foundation (DFG, BA 3843/5-1&2).

Author Contributions

M.Y.B. and G.Z. conceived the study, M.Y.B. and H.L. designed the experiments; H.L. performed the experiments; G.M.L. analyzed the data; M.Y.B. wrote the paper; H.L., G.M.L., and G.Z. revised the paper.

Conflicts of Interest

The authors declare no conflict of interest. The founding sponsors had no role in the design of the study; in the collection, analyses, or interpretation of data; in the writing of the manuscript, and in the decision to publish the results.

Abbreviations

The following abbreviations are used in this manuscript:
Fv/FmVariable fluorescence divided by maximum fluorescence in dark-adapted leaves, representing the maximum quantum yield of photosynthesis
GLMGeneralized linear Model
AICAkaike Information Criterion
CCFCross-Correlation Function
L. deciduaLarix decidua
P. abiesPicePicea abies
P. cembraPinus cembra
P. uncinataPinus uncinata
S. aucupariaSorbus aucuparia

Appendix A

Figure A1. Dew deposit (in g) on a morning with heavy dewfall on flat white plastic temperature-sensor sunshields (ca. 5-cm diameter) at 10 cm above the soil surface in three sky-exposure treatments near the treeline in the French Alps. Boxplots show medians, quantiles, and minimum and maximum values, n = 4 sunshields. Treatments: control (no roof), shade (shade roof during the day), and nightwar = night warming (shade roof during the night).
Figure A1. Dew deposit (in g) on a morning with heavy dewfall on flat white plastic temperature-sensor sunshields (ca. 5-cm diameter) at 10 cm above the soil surface in three sky-exposure treatments near the treeline in the French Alps. Boxplots show medians, quantiles, and minimum and maximum values, n = 4 sunshields. Treatments: control (no roof), shade (shade roof during the day), and nightwar = night warming (shade roof during the night).
Forests 09 00012 g0a1
Figure A2. Pre-dawn quantum yield (chlorophyll fluorescence parameter Fv/Fm) of tree seedlings near the treeline in the French Alps, planted autumn 2012. Line colors indicate snowmelt treatments (early and late, legend). Columns correspond to sky-exposure treatments: control (no roof), shade (shade roof during the day), and nightwar = night warming (shade roof during the night). Shown are mean values (±se) based on eight to 20 individuals per treatment combination (in four blocks). Shade had significantly higher Fv/Fm overall (Tukey HSD post-hoc test, p < 0.001), while the effect of the snow treatment differed between measurement dates (p < 0.001).
Figure A2. Pre-dawn quantum yield (chlorophyll fluorescence parameter Fv/Fm) of tree seedlings near the treeline in the French Alps, planted autumn 2012. Line colors indicate snowmelt treatments (early and late, legend). Columns correspond to sky-exposure treatments: control (no roof), shade (shade roof during the day), and nightwar = night warming (shade roof during the night). Shown are mean values (±se) based on eight to 20 individuals per treatment combination (in four blocks). Shade had significantly higher Fv/Fm overall (Tukey HSD post-hoc test, p < 0.001), while the effect of the snow treatment differed between measurement dates (p < 0.001).
Forests 09 00012 g0a2
Figure A3. Time-courses of the quantum yield (chlorophyll fluorescence parameter Fv/Fm, or ΔF/Fm′ during daylight hours) in seedlings of four tree species grown in different experimental treatments near the treeline in the French Alps. Species: Lar = Larix decidua, Pic = Picea abies, Pinu = Pinus uncinata, Sor = Sorbus aucuparia. Line colors indicate the snow treatments: early (dark green) and late (blue). Columns correspond to sky-exposure treatments: control (no roof), shade (shade roof during the day), and nightwar = night warming (shade roof during the night). Shown are minimum and maximum daily values from measurements in two plots per treatment (i.e., in two blocks). Maximum values correspond to pre-dawn values and are taken to indicate stress when below ca. 0.7.
Figure A3. Time-courses of the quantum yield (chlorophyll fluorescence parameter Fv/Fm, or ΔF/Fm′ during daylight hours) in seedlings of four tree species grown in different experimental treatments near the treeline in the French Alps. Species: Lar = Larix decidua, Pic = Picea abies, Pinu = Pinus uncinata, Sor = Sorbus aucuparia. Line colors indicate the snow treatments: early (dark green) and late (blue). Columns correspond to sky-exposure treatments: control (no roof), shade (shade roof during the day), and nightwar = night warming (shade roof during the night). Shown are minimum and maximum daily values from measurements in two plots per treatment (i.e., in two blocks). Maximum values correspond to pre-dawn values and are taken to indicate stress when below ca. 0.7.
Forests 09 00012 g0a3
Figure A4. Tree seedling remaining through time after having been planted in autumn 2013 near the treeline in the French Alps. Species: Lar = Larix decidua, Pic = Picea abies, Pinc = Pinus cembra, Pinu = Pinus uncinata, Sor = Sorbus aucuparia. Line colors represent snow treatments: early (dark green) and late (blue). Columns show different sky-exposure treatments: control (no roof), shade (shade roof during the day), and nightwar = night warming (shade roof during the night). A GLM of final mortality indicated that for early-emerging seedlings, shade caused lowered mortality overall, while species did not differ. However, a pair-wise comparison of survival curves showed that there were no significant differences between treatments in any of the species. Measurement dates: 19 May, 25 June, 29 August 2014.
Figure A4. Tree seedling remaining through time after having been planted in autumn 2013 near the treeline in the French Alps. Species: Lar = Larix decidua, Pic = Picea abies, Pinc = Pinus cembra, Pinu = Pinus uncinata, Sor = Sorbus aucuparia. Line colors represent snow treatments: early (dark green) and late (blue). Columns show different sky-exposure treatments: control (no roof), shade (shade roof during the day), and nightwar = night warming (shade roof during the night). A GLM of final mortality indicated that for early-emerging seedlings, shade caused lowered mortality overall, while species did not differ. However, a pair-wise comparison of survival curves showed that there were no significant differences between treatments in any of the species. Measurement dates: 19 May, 25 June, 29 August 2014.
Forests 09 00012 g0a4
Table A1. Model estimates (response = Fv/Fm) and Tukey-adjusted comparisons (sky exposure:species), averaged over snow treatments and measurement times, in the GLM assessing the effect of snow and sky-exposure treatments on fluorescence parameter Fv/Fm measured one and 2.5 weeks after snowmelt (2014) in tree seedlings at the alpine treeline in the French Alps. Treatments: control (no roof), shade (shade roof during the day), and nightwar = night warming (shade roof during the night). Species: Pic = Picea abies, Pinc = Pinus cembra, Pinu = Pinus uncinata. SE = Standard error, Asymp.LCL and Asymp.UCL = asymptotic lower and upper control limits. Groups indicate significantly different treatment combinations per species.
Table A1. Model estimates (response = Fv/Fm) and Tukey-adjusted comparisons (sky exposure:species), averaged over snow treatments and measurement times, in the GLM assessing the effect of snow and sky-exposure treatments on fluorescence parameter Fv/Fm measured one and 2.5 weeks after snowmelt (2014) in tree seedlings at the alpine treeline in the French Alps. Treatments: control (no roof), shade (shade roof during the day), and nightwar = night warming (shade roof during the night). Species: Pic = Picea abies, Pinc = Pinus cembra, Pinu = Pinus uncinata. SE = Standard error, Asymp.LCL and Asymp.UCL = asymptotic lower and upper control limits. Groups indicate significantly different treatment combinations per species.
FLUORESCENSE 2013/14
Sky-Exposure TreatmentSpeciesResponseSEAsymp.LCLAsymp.UCLGroup
controlPic0.600.010.580.63ab
shadePic0.640.010.620.66b
nightwarPic0.590.010.570.62a
controlPinc0.630.010.610.65a
shadePinc0.670.010.650.69b
nightwarPinc0.630.010.610.65a
controlPinu0.660.010.640.69a
shadePinu0.670.010.650.69a
nightwarPinu0.680.010.650.70a
Table A2. Model estimates (prob = probability of mortality) and Tukey-adjusted comparisons (sky exposure:species), averaged over snow treatments, in the GLM assessing the effect of snow and sky-exposure treatments on final mortality of seedlings planted in autumn 2013, assessed in 2014. Species: Lar = Larix decidua, Pic = Picea abies, Pinc = Pinus cembra, Pinu = Pinus uncinata, Sor = Sorbus aucuparia. SE = Standard error, Asymp.LCL and Asymp.UCL = asymptotic lower and upper control limits. Groups indicate significant differences between sky-exposure treatments within species.
Table A2. Model estimates (prob = probability of mortality) and Tukey-adjusted comparisons (sky exposure:species), averaged over snow treatments, in the GLM assessing the effect of snow and sky-exposure treatments on final mortality of seedlings planted in autumn 2013, assessed in 2014. Species: Lar = Larix decidua, Pic = Picea abies, Pinc = Pinus cembra, Pinu = Pinus uncinata, Sor = Sorbus aucuparia. SE = Standard error, Asymp.LCL and Asymp.UCL = asymptotic lower and upper control limits. Groups indicate significant differences between sky-exposure treatments within species.
MORTALITY 2013/14 Pair-Wise Comparisons, Sky Exposure: Species
Shade TreatmentSpeciesProbSEAsymp.LCLAsymp.UCLGroup
controlLar0.150.020.090.23ab
shadeLar0.070.020.030.13a
nightwarLar0.180.020.120.27b
controlPic0.180.020.120.26a
shadePic0.220.030.160.31a
nightwarPic0.280.030.200.37a
controlPinc0.010.010.000.06a
shadePinc0.010.010.000.06a
nightwarPinc0.000.000.000.07a
controlPinu0.160.020.100.24a
shadePinu0.070.020.040.14a
nightwarPinu0.130.020.080.20a
controlSor0.020.010.000.06a
shadeSor0.040.010.010.09a
nightwarSor0.030.010.010.08a
Table A3. Model estimates (lsmean = biomass (mg), log scale) and Tukey-adjusted comparisons (snow:sky exposure) averaged over sky-exposure treatments and species, in the GLM assessing the effect of snow and sky-exposure treatments on biomass for seedlings planted in autumn 2013, assessed in 2014, near the treeline in the French Alps. SE = Standard error, Asymp.LCL and Asymp.UCL = asymptotic lower and upper control limits. Groups indicate significantly different treatment combinations.
Table A3. Model estimates (lsmean = biomass (mg), log scale) and Tukey-adjusted comparisons (snow:sky exposure) averaged over sky-exposure treatments and species, in the GLM assessing the effect of snow and sky-exposure treatments on biomass for seedlings planted in autumn 2013, assessed in 2014, near the treeline in the French Alps. SE = Standard error, Asymp.LCL and Asymp.UCL = asymptotic lower and upper control limits. Groups indicate significantly different treatment combinations.
BIOMASS 2013/14 Pair-Wise Comparisons, Snow: Sky Exposure
Sky-Exposure TreatmentsLsmeanSEAsymp.LCLAsymp.UCLGroup
control5.090.054.955.21b
shade4.790.054.654.91a
nightwar5.180.055.045.30b

References

  1. Vaughan, D.G.; Comiso, J.C. Chapter 4. Observations crysphere. In Climate Change 2013: The Physical Science Basis. Contribution of Working Group I to the Fifth Assessment Report of the Intergovernmental Panel on Climate Change; IPCC, Ed.; Cambridge University Press: Cambridge, UK; New York, NY, USA, 2013; p. 1535. [Google Scholar]
  2. Beniston, M. Variations of snow depth and duration in the Swiss Alps over the last 50 years: Links to changes in large-scale climatic forcings. Clim. Chang. 1997, 36, 281–300. [Google Scholar] [CrossRef]
  3. Durand, Y.; Giraud, G.; Laternser, M.; Etchevers, P.; Merindol, L.; Lesaffre, B. Reanalysis of 47 years of climate in the French Alps (1958–2005): Climatology and trends for snow cover. J. Appl. Meteorol. Climatol. 2009, 48, 2487–2512. [Google Scholar] [CrossRef]
  4. Pederson, G.T.; Betancourt, J.L.; McCabe, G.J. Regional patterns and proximal causes of the recent snowpack decline in the Rocky Mountains, US. Geophys. Res. Lett. 2013, 40, 1811–1816. [Google Scholar] [CrossRef]
  5. Xu, Y.; Ramanathan, V.; Washington, W.M. Observed high-altitude warming and snow cover retreat over Tibet and the Himalayas enhanced by black carbon aerosols. Atmos. Chem. Phys. 2016, 16, 1303–1315. [Google Scholar] [CrossRef]
  6. Wipf, S.; Rixen, C. A review of snow manipulation experiments in arctic and alpine tundra ecosystems. Polar Res. 2010, 29, 95–109. [Google Scholar] [CrossRef]
  7. Klein, G.; Vitasse, Y.; Rixen, C.; Marty, C.; Rebetez, M. Shorter snow cover duration since 1970 in the Swiss Alps due to earlier snowmelt more than to later snow onset. Clim. Chang. 2016, 139, 637–649. [Google Scholar] [CrossRef]
  8. Marty, C.; Schlogl, S.; Bavay, M.; Lehning, M. How much can we save? Impact of different emission scenarios on future snow cover in the Alps. Cryosphere 2017, 11, 517–529. [Google Scholar] [CrossRef]
  9. Beniston, M. Is snow in the Alps receding or disappearing? Wiley Interdiscip. Rev. Clim. Chang. 2012, 3, 349–358. [Google Scholar] [CrossRef]
  10. Körner, C.; Paulsen, J. A world-wide study of high altitude treeline temperatures. J. Biogeogr. 2004, 31, 713–732. [Google Scholar] [CrossRef]
  11. Paulsen, J.; Körner, C. A climate-based model to predict potential treeline position around the globe. Alp. Bot. 2014, 124, 1–12. [Google Scholar] [CrossRef]
  12. Coop, J.D.; Givnish, T.J. Constraints on tree seedling establishment in montane grasslands of the Valles Caldera, New Mexico. Ecology 2008, 89, 1101–1111. [Google Scholar] [CrossRef] [PubMed]
  13. Germino, M.J.; Smith, W.K. Sky exposure, crown architecture, and low-temperature photoinhibition in conifer seedlings at alpine treeline. Plant Cell Environ. 1999, 22, 407–415. [Google Scholar] [CrossRef]
  14. Ball, M.C.; Hodges, V.S.; Laughlin, G.P. Cold-induced photoinhibition limits regeneration of snow gum at tree-line. Funct. Ecol. 1991, 5, 663–668. [Google Scholar] [CrossRef]
  15. Holtmeier, F.K.; Broll, G. Feedback effects of clonal groups and tree clusters on site conditions at the treeline: Implications for treeline dynamics. Clim. Res. 2017, 1–12. [Google Scholar] [CrossRef]
  16. Barbeito, I.; Brucker, R.L.; Rixen, C.; Bebi, P. Snow fungi-induced mortality of Pinus cembra at the alpine treeline: Evidence from plantations. Arct. Antarct. Alp. Res. 2013, 45, 455–470. [Google Scholar] [CrossRef]
  17. Hättenschwiler, S.; Smith, W.K. Seedling occurrence in alpine treeline conifers: A case study from the central Rocky Mountains, USA. Acta Oecol. 1999, 20, 219–224. [Google Scholar] [CrossRef]
  18. Moir, W.H.; Rochelle, S.G.; Schoettle, A.W. Microscale patterns of tree establishment near upper treeline, Snowy Range, Wyoming, USA. Arct. Antarct. Alp. Res. 1999, 31, 379–388. [Google Scholar] [CrossRef]
  19. Hagedorn, F.; Shiyatov, S.G.; Mazepa, V.S.; Devi, N.M.; Grigor’Ev, A.A.; Bartysh, A.A.; Fomin, V.V.; Kapralov, D.S.; Terent’Ev, M.; Bugman, H.; et al. Treeline advances along the Urals mountain range—Driven by improved winter conditions? Glob. Chang. Biol. 2014, 20, 3530–3543. [Google Scholar] [CrossRef] [PubMed]
  20. Richards, J.H.; Bliss, L.C. Winter water relations of a deciduous timberline conifer, Larix lyallii Parl. Oecologia 1986, 69, 16–24. [Google Scholar] [CrossRef] [PubMed]
  21. Grace, J.; James, J. Physiology of trees at treeline. In Forest Development in Cold Climates; Alden, J., Mastrantonio, J.L., Oedum, S., Eds.; Plenum Press: New York, NY, USA, 1993; Volume 244, p. 566. [Google Scholar]
  22. Sveinbjörnsson, B. North American and European treelines: External forces and internal processes controlling position. Ambio 2000, 29, 388–395. [Google Scholar] [CrossRef]
  23. Wardle, P. New Zealand forest to alpine transitions in global context. Arct. Antarct. Alp. Res. 2008, 40, 240–249. [Google Scholar] [CrossRef]
  24. Körner, C. A re-assessment of high elevation treeline positions and their explanation. Oecologia 1998, 115, 445–459. [Google Scholar] [CrossRef] [PubMed]
  25. Neuner, G.; Bannister, P.; Larcher, W. Ice formation and foliar frost resistance in attached and excised shoots from seedlings and adult trees of Nothofagus menziesii. N. Z. J. Bot. 1997, 35, 221–227. [Google Scholar] [CrossRef]
  26. Sakai, A.; Larcher, W. Frost Survival of Plants, Responses and Adaptaion to Freezing Stress; Springer: Berlin, Germany, 1987; Volume 62. [Google Scholar]
  27. Bannister, P. A touch of frost? Cold hardiness of plants in the Southern Hemisphere. N. Z. J. Bot. 2007, 45, 1–33. [Google Scholar] [CrossRef]
  28. Tranquillini, W. Physiological Ecology of the Alpine Timberline: Tree Existence at High Altitudes with Special Reference to the European Alps; Springer: Berlin, Germany, 1979; Volume 31, p. 137. [Google Scholar]
  29. Tranquillini, W. Die Frosthärte der Zirbe unter besonderer Berücksichtigung autochthoner und aus Forstgärten stammender Jungpflanzen. Forstwiss. Cent. 1958, 77, 89–105. [Google Scholar] [CrossRef]
  30. Neuner, G. Frost resistance at the upper timberline. In Trees at Their Upper Limit. Treelife Limitation at the Alpine Timberline; Wieser, G., Tausz, M., Eds.; Springer: Dordrecht, The Netherlands, 2007; Volume 5, pp. 171–180. [Google Scholar]
  31. Wheeler, J.A.; Hoch, G.; Cortes, A.J.; Sedlacek, J.; Wipf, S.; Rixen, C. Increased spring freezing vulnerability for alpine shrubs under early snowmelt. Oecologia 2014, 175, 219–229. [Google Scholar] [CrossRef] [PubMed]
  32. Shen, W.; Zhang, L.; Liu, X.S.; Luo, T.X. Seed-based treeline seedlings are vulnerable to freezing events in the early growing season under a warmer climate: Evidence from a reciprocal transplant experiment in the Sergyemla Mountains, southeast Tibet. Agric. For. Meteorol. 2014, 187, 83–92. [Google Scholar] [CrossRef]
  33. Rixen, C.; Dawes, M.A.; Wipf, S.; Hagedorn, F. Evidence of enhanced freezing damage in treeline plants during six years of CO2 enrichment and soil warming. Oikos 2012, 121, 1532–1543. [Google Scholar] [CrossRef]
  34. Germino, M.J.; Smith, W.K.; Resor, A.C. Conifer seedling distribution and survival in an alpine-treeline ecotone. Plant Ecol. 2002, 162, 157–168. [Google Scholar] [CrossRef]
  35. Bader, M.Y.; Van Geloof, I.; Rietkerk, M. High solar radiation hinders tree regeneration above the alpine treeline in northern Ecuador. Plant Ecol. 2007, 191, 33–45. [Google Scholar] [CrossRef]
  36. Ball, M.C. The role of photoinhibition during tree seedling establishment at low temperatures. In Photoinhibition of Photosynthesis—From Molecular Mechanisms to the Field; Baker, N.R., Bowyer, J.R., Eds.; BIOS Scientific Publishers: Oxford, UK, 1994; pp. 365–376. [Google Scholar]
  37. Baig, M.N.; Tranquillini, W. The effects of wind and temperature on cuticular transpiration of Picea abies and Pinus cembra and their significance in desiccation damage at the alpine treeline. Oecologia 1980, 47, 252–256. [Google Scholar] [CrossRef] [PubMed]
  38. Wardle, P. Causes of alpine timberline: A review of the hypotheses. In Forest Development in Cold Climates; Alden, J., Mastrantonio, J.L., Odum, S., Eds.; Plenum Press: New York, NY, USA; London, UK, 1993; Volume 244, pp. 89–103. [Google Scholar]
  39. Holtmeier, F.-K. Mountain Timberlines. Ecology, Patchiness, and Dynamics; Springer: Berlin, Germany, 2009; Volume 36, p. 437. [Google Scholar]
  40. Stöcklin, J.; Körner, C. Recruitment and mortality of Pinus sylvestris near the nordic treeline: The role of climate change and herbivory. Ecol. Bull. 1999, 47, 168–177. [Google Scholar]
  41. Ozenda, P. Die Vegetation der Alpen im Europäischen Gebirgsraum; Gustav Fischer Verlag: Stuttgart, Germany; New York, NY, USA, 1988. [Google Scholar]
  42. Choler, P.; Michalet, R.; Callaway, R.M. Facilitation and competition on gradients in alpine plant communities. Ecology 2001, 82, 3295–3308. [Google Scholar] [CrossRef]
  43. Quétier, F.; Lavorel, S.; Thuiller, W.; Davies, I. Plant-trait-based modeling assessment of ecosystem-service sensitivity to land-use change. Ecol. Appl. 2007, 17, 2377–2386. [Google Scholar] [CrossRef] [PubMed]
  44. Brändli, U.-B. Die Häufigsten Waldbäume der Schweiz—Ergebnisse aus Dem Landesforstinventar 1983–85: Verbreitung, Standort und Häufigkeit von 30 Baumarten, 2nd ed.; Eidgenössische Forschungsanstalt für Wald, Schnee und Landschaft: Birmensdorf, Switzerland, 1998. [Google Scholar]
  45. Munier, A.; Hermanutz, L.; Jacobs, J.D.; Lewis, K. The interacting effects of temperature, ground disturbance, and herbivory on seedling establishment: Implications for treeline advance with climate warming. Plant Ecol. 2010, 210, 19–30. [Google Scholar] [CrossRef]
  46. Maxwell, K.; Johnson, G.N. Chlorophyll fluorescence—A practical guide. J. Exp. Bot. 2000, 51, 659–668. [Google Scholar] [CrossRef] [PubMed]
  47. Zuur, A.; Ieno, E.N.; Walker, N.; Saveliev, A.A.; Smith, G.M. Mixed Effects Models and Extensions in Ecology with R; Springer: New York, NY, USA, 2009. [Google Scholar]
  48. Lenth, R. Least-squares means: The R package lsmeans. J. Stat. Softw. 2016, 69, 1–33. [Google Scholar] [CrossRef]
  49. Venables, W.N.; Ripley, B.D. Modern Applied Statistics with S, 4th ed.; Springer: New York, NY, USA, 2002. [Google Scholar]
  50. Krzanowski, W.J. Principles of Multivariate Analysis: A User’s Perspective; Oxford University Press: New York, NY, USA, 1988; p. 563. [Google Scholar]
  51. R Development Core Team. R: A Language and Environment for Statistical Computing; R Foundation for Statistical Computing: Vienna, Austria, 2017; Available online: http://www.R-project.org (accessed on 8 July 2017).
  52. Therneau, T.M. A Package for Survival Analysis in S. R Verion 2.3.8. 2015. Available online: https://CRAN.R-project.org/package=survival (accessed on 8 July 2017).
  53. Kassambara, A.; Kosinski, M. Survminer: Drawing Survival Curves Using ‘ggplot2’. R Version 0.4.0. 2017. Available online: https://CRAN.R-project.org/package=survminer (accessed on 8 July 2017).
  54. Dinno, A. Dunn.Test: Dunn’s Test of Multiple Comparisons Using Rank Sum. R Package Version 1.3.4. 2017. Available online: https://CRAN.R-project.org/package=dunn.test (accessed on 8 July 2017).
  55. Taschler, D.; Beikircher, B.; Neuner, G. Frost resistance and ice nucleation in leaves of five woody timberline species measured in situ during shoot expansion. Tree Physiol. 2004, 24, 331–337. [Google Scholar] [CrossRef] [PubMed]
  56. Repo, T.; Leinonen, I.; Ryyppö, A.; Finér, L. The effect of soil temperature on the bud phenology, chlorophyll fluorescence, carbohydrate content and cold hardiness of norway spruce seedlings. Physiol. Plant. 2004, 121, 93–100. [Google Scholar] [CrossRef] [PubMed]
  57. Bansal, S.; Reinhardt, K.; Germino, M.J. Linking carbon balance to establishment patterns: Comparison of whitebark pine and Engelmann spruce seedlings along an herb cover exposure gradient at treeline. Plant Ecol. 2011, 212, 219–228. [Google Scholar] [CrossRef]
  58. Maher, E.L.; Germino, M.J.; Hasselquist, N.J. Interactive effects of tree and herb cover on survivorship, physiology, and microclimate of conifer seedlings at the alpine tree-line ecotone. Can. J. For. Res. 2005, 35, 567–574. [Google Scholar] [CrossRef]
  59. Loranger, H.; Zotz, G.; Bader, M.Y. Competitor or facilitator? The ambiguous role of alpine grassland for the early establishment of tree seedlings at treeline. Oikos 2017, 126, 1625–1636. [Google Scholar] [CrossRef]
  60. Shen, W.; Zhang, L.; Guo, Y.; Luo, T. Causes for treeline stability under climate warming: Evidence from seed and seedling transplant experiments in southeast Tibet. For. Ecol. Manag. 2018, 408, 45–53. [Google Scholar] [CrossRef]
  61. Castanha, C.; Torn, M.S.; Germino, M.J.; Weibel, B.; Kueppers, L.M. Conifer seedling recruitment across a gradient from forest to alpine tundra: Effects of species, provenance, and site. Plant Ecol. Divers. 2013, 6, 307–318. [Google Scholar] [CrossRef]
  62. Loranger, H.; Zotz, G.; Bader, M.Y. Early establishment of trees at the alpine treeline: Idiosyncratic species responses to temperature-moisture interactions. AoB Plants 2016, 8, plw053. [Google Scholar] [CrossRef] [PubMed]
  63. Körner, C. Alpine Plant Life: Functional Plant Ecology of High Mountain Ecosystems, 2nd ed.; Springer: Berlin, Germany; New York, NY, USA, 2003; p. 338. [Google Scholar]
  64. Friedel, H. Schneedecken-Andauer und Vegetations-Verteilung im Gelände. Mitteilungen Forstl. Bundesversuchsanstalt Mariabrunn 1961, 59, 317–368. [Google Scholar]
  65. Walker, D.A.; Halfpenny, J.C.; Walker, M.D.; Wessman, C.A. Long-term studies of snow-vegetation interactions. Bioscience 1993, 43, 287–301. [Google Scholar] [CrossRef]
  66. Heegaard, E. A model of alpine species distribution in relation to snowmelt time and altitude. J. Veg. Sci. 2002, 13, 493–504. [Google Scholar] [CrossRef]
  67. Kullman, L. Transplantation experiments with saplings of Betula pubescens ssp tortuosa near the tree-limit in central Sweden. Holarct. Ecol. 1984, 7, 289–293. [Google Scholar] [CrossRef]
  68. Hiller, B.; Müterthies, A.; Holtmeier, F.L.; Broll, G. Investigations on spatial heterogeneity of humus forms and natural regeneration of larch (Larix decidua mill.) and swiss stone pine (Pinus cembra L.) in an alpine timberline ecotone (Upper Engadine, Central Alps, Switzerland). Geogr. Helv. 2002, 57, 81–90. [Google Scholar] [CrossRef]
  69. Aulitzky, H. Grundlagen und Anwendung des vorläufigen Wind-Schnee-Ökogrammes. Mitteilungen Forstl. Bundesversuchsanstalt Mariabrunn 1963, 60, 763–834. [Google Scholar]
  70. Little, C.J.; Wheeler, J.A.; Sedlacek, J.; Cortes, A.J.; Rixen, C. Small-scale drivers: The importance of nutrient availability and snowmelt timing on performance of the alpine shrub Salix herbacea. Oecologia 2016, 180, 1015–1024. [Google Scholar] [CrossRef] [PubMed]
  71. Jonas, T.; Rixen, C.; Sturm, M.; Stoeckli, V. How alpine plant growth is linked to snow cover and climate variability. J. Geophys. Res.-Biogeosci. 2008, 113. [Google Scholar] [CrossRef]
Figure 1. Experimental setup to study the effects of snowmelt timing and sky exposure on tree seedling performance near the alpine treeline at Lautaret Alpine Botanical Garden, French Alps. Early plots are already snow-free and some are covered by shade roofs (which are moved to night-warming plots each night). Piles of snow still cover the late plots. Photo by Hannah Loranger.
Figure 1. Experimental setup to study the effects of snowmelt timing and sky exposure on tree seedling performance near the alpine treeline at Lautaret Alpine Botanical Garden, French Alps. Early plots are already snow-free and some are covered by shade roofs (which are moved to night-warming plots each night). Piles of snow still cover the late plots. Photo by Hannah Loranger.
Forests 09 00012 g001
Figure 2. Temperature at 5 cm below (top graphs) and 10 cm above (bottom graphs) the bare soil surface in three experimental treatments near the treeline in the French Alps: control (no roof), shade (shade roof during the day), and nightwar = night warming (shade roof during the night). Shown are mean values of three temperature sensors (in three blocks) per treatment.
Figure 2. Temperature at 5 cm below (top graphs) and 10 cm above (bottom graphs) the bare soil surface in three experimental treatments near the treeline in the French Alps: control (no roof), shade (shade roof during the day), and nightwar = night warming (shade roof during the night). Shown are mean values of three temperature sensors (in three blocks) per treatment.
Forests 09 00012 g002
Figure 3. Pre-dawn quantum yield (chlorophyll fluorescence parameter Fv/Fm) of tree seedlings near the treeline in the French Alps, planted autumn 2013, measured after snowmelt 2014. Lines indicate snowmelt timing treatments: early (dark green) and late (blue). Columns correspond to sky-exposure treatments: control (no roof), shade (shade roof during the day), and nightwar = night warming (shade roof during the night). Shown are mean values (±se) based on 22 to 40 individuals per treatment combination (in four blocks). Measurement days were eight and 20 days (early plots) or eight and 16 days (late plots) after snowmelt. Time 2 for the early plots corresponds to time 1 for the late plots. Different letters indicate significant differences between microclimatic treatments within species (Table A1). Early and late snowmelt plots differed significantly overall (Table 2).
Figure 3. Pre-dawn quantum yield (chlorophyll fluorescence parameter Fv/Fm) of tree seedlings near the treeline in the French Alps, planted autumn 2013, measured after snowmelt 2014. Lines indicate snowmelt timing treatments: early (dark green) and late (blue). Columns correspond to sky-exposure treatments: control (no roof), shade (shade roof during the day), and nightwar = night warming (shade roof during the night). Shown are mean values (±se) based on 22 to 40 individuals per treatment combination (in four blocks). Measurement days were eight and 20 days (early plots) or eight and 16 days (late plots) after snowmelt. Time 2 for the early plots corresponds to time 1 for the late plots. Different letters indicate significant differences between microclimatic treatments within species (Table A1). Early and late snowmelt plots differed significantly overall (Table 2).
Forests 09 00012 g003
Figure 4. Estimates of the cross-correlation function (CCF), which calculates the cross-covariance of two univariate time series: Air temperature (daily minimum) and Fv/Fm (daily maximum) according to sky-exposure treatments: control (no roof), shade (shade roof during the day), and nightwar = night warming (shade roof during the night). Time series corresponded to 33 days, for air temperature from 28 May to 29 June 2014 and for fluorescence from 29 May to 30 June 2014. The y axis indicates the correlation and the x axis represents the inter-day lag. A positive lag of x days mean that temperature at day t is positively correlated with Fv/Fm on day t + x. Bars passing the dotted blue lines indicate significant correlations between the time series at the respective lag.
Figure 4. Estimates of the cross-correlation function (CCF), which calculates the cross-covariance of two univariate time series: Air temperature (daily minimum) and Fv/Fm (daily maximum) according to sky-exposure treatments: control (no roof), shade (shade roof during the day), and nightwar = night warming (shade roof during the night). Time series corresponded to 33 days, for air temperature from 28 May to 29 June 2014 and for fluorescence from 29 May to 30 June 2014. The y axis indicates the correlation and the x axis represents the inter-day lag. A positive lag of x days mean that temperature at day t is positively correlated with Fv/Fm on day t + x. Bars passing the dotted blue lines indicate significant correlations between the time series at the respective lag.
Forests 09 00012 g004
Figure 5. Seedling numbers per experimental plot remaining through time (two growing seasons) of ten per plot planted in autumn 2012 near the treeline in the French Alps. Species: Lar = Larix decidua, Pic = Picea abies, Pinc = Pinus cembra, Sor = Sorbus aucuparia. Line colors indicate the snowmelt timing treatments: early (dark green) and late (blue). Columns represent sky-exposure treatments: control (no roof), shade (shade roof during the day), and nightwar = night warming (shade roof during the night). The p value corresponds to a single significant output from pairwise comparisons (using Log-Rank test) of survival curves, showing a difference between early and late snowmelt in the shade treatment for P. abies. Shown are means and standard deviations, n = 4 plots. Measurement dates: 12 May, 25 July, 26 August, and 23 September 2013, 19 May and 25 June 2014.
Figure 5. Seedling numbers per experimental plot remaining through time (two growing seasons) of ten per plot planted in autumn 2012 near the treeline in the French Alps. Species: Lar = Larix decidua, Pic = Picea abies, Pinc = Pinus cembra, Sor = Sorbus aucuparia. Line colors indicate the snowmelt timing treatments: early (dark green) and late (blue). Columns represent sky-exposure treatments: control (no roof), shade (shade roof during the day), and nightwar = night warming (shade roof during the night). The p value corresponds to a single significant output from pairwise comparisons (using Log-Rank test) of survival curves, showing a difference between early and late snowmelt in the shade treatment for P. abies. Shown are means and standard deviations, n = 4 plots. Measurement dates: 12 May, 25 July, 26 August, and 23 September 2013, 19 May and 25 June 2014.
Forests 09 00012 g005
Figure 6. End-of season biomass of 1.5-year old tree seedlings near the treeline in the French Alps: Lar = Larix decidua, Pic = Picea abies, Pinc = Pinus cembra, Pinu = Pinus uncinata, Sor = Sorbus aucuparia. Seedlings planted autumn 2012 (left) and 2013 (right), measured one year later. Snow treatments: early (dark green) and late (blue); sky-exposure treatments (x-axis): control (no roof), shade (shade roof during the day), and nightwar = night warming (shade roof during the night). Box plots show medians and quartiles from four blocks, based on means of one (2013) or three (2014) seedlings per block. The letters indicate a significant effect of shade on the 2013-2014 seedlings overall, with no interaction with species.
Figure 6. End-of season biomass of 1.5-year old tree seedlings near the treeline in the French Alps: Lar = Larix decidua, Pic = Picea abies, Pinc = Pinus cembra, Pinu = Pinus uncinata, Sor = Sorbus aucuparia. Seedlings planted autumn 2012 (left) and 2013 (right), measured one year later. Snow treatments: early (dark green) and late (blue); sky-exposure treatments (x-axis): control (no roof), shade (shade roof during the day), and nightwar = night warming (shade roof during the night). Box plots show medians and quartiles from four blocks, based on means of one (2013) or three (2014) seedlings per block. The letters indicate a significant effect of shade on the 2013-2014 seedlings overall, with no interaction with species.
Forests 09 00012 g006
Table 1. Analysis of deviance of the generalized linear models (GLM) assessing the effect of snowmelt timing and sky-exposure treatments (‘snow’ and ‘sky’) on tree seedlings planted in 2012 (left column) and 2013 (right column) near the treeline in the French Alps. Response variables: (a) Fluorescence parameter Fv/Fm measured twice, shortly after snowmelt and in summer in 2013 (left), and one and 2.5 weeks after snowmelt in 2014 (right). ‘Time’ represents the two measurement times in each year. (b) Final mortality in August 2014. (c) Biomass after one growing season. LR Chi2 = likelihood ratio test, Df = degrees of freedom.
Table 1. Analysis of deviance of the generalized linear models (GLM) assessing the effect of snowmelt timing and sky-exposure treatments (‘snow’ and ‘sky’) on tree seedlings planted in 2012 (left column) and 2013 (right column) near the treeline in the French Alps. Response variables: (a) Fluorescence parameter Fv/Fm measured twice, shortly after snowmelt and in summer in 2013 (left), and one and 2.5 weeks after snowmelt in 2014 (right). ‘Time’ represents the two measurement times in each year. (b) Final mortality in August 2014. (c) Biomass after one growing season. LR Chi2 = likelihood ratio test, Df = degrees of freedom.
(a) FLUORESCENCE 2012/13 FLUORESCENCE 2013/14
Variables LR Chi2 Df p LR Chi2 Df p
snow107.11<0.001227.51<0.001
sky 45.032<0.00119.182<0.001
time16231<0.001536.31<0.001
species53.793<0.00170.512<0.001
snow:time112.91<0.001
sky:species 13.0940.01
snow:sky 12.3420.002
(b) MORTALITY 2012/14 MORTALITY 2013/14
Variables LR Chi2 Df p LR Chi2 Df p
snow2.4610.123.0710.09
sky10.822<0.0512.632<0.05
species27.393<0.001281.004<0.001
snow:sky6.962<0.0523.182<0.001
sky:species 24.078<0.05
(c) BIOMASS 2012/13 BIOMASS 2013/14
Variables LR Chi2 Df p LR Chi2 Df p
snow0.0610.800.0110.91
sky exposure5.1620.08272<0.001
species57.493<0.001400.44<0.001
Table 2. Model estimates and Tukey-adjusted pair-wise comparisons (snow:sky exposure), averaged over three species and two measurement time, in a GLM model assessing the effect of snowmelt timing and sky-exposure treatments on fluorescence parameter Fv/Fm in tree seedlings at the alpine treeline, spring 2014. Snow treatments: early and late snowmelt; sky-exposure treatments: control (no roof), shade (shade roof during the day), and nightwar = night warming (shade roof during the night). Asymp. SE = Standard error, Asymp.LCL and Asymp.UCL = asymptotic lower and upper control limits. Groups indicate significantly different treatment combinations.
Table 2. Model estimates and Tukey-adjusted pair-wise comparisons (snow:sky exposure), averaged over three species and two measurement time, in a GLM model assessing the effect of snowmelt timing and sky-exposure treatments on fluorescence parameter Fv/Fm in tree seedlings at the alpine treeline, spring 2014. Snow treatments: early and late snowmelt; sky-exposure treatments: control (no roof), shade (shade roof during the day), and nightwar = night warming (shade roof during the night). Asymp. SE = Standard error, Asymp.LCL and Asymp.UCL = asymptotic lower and upper control limits. Groups indicate significantly different treatment combinations.
FLUORESCENCE 2013/14
Snow TreatmentSky-Exposure TreatmentFv/Fm EstimateSEAsymp.LCLAsymp.UCLGroup
earlycontrol0.580.010.560.60a
earlyshade0.610.010.600.63b
earlynightwar0.600.010.580.62ab
latecontrol0.680.010.660.70cd
lateshade0.700.010.680.72d
latenightwar0.660.010.640.6c
Table 3. Model estimates (Prob = probability of mortality) and Tukey-adjusted pair-wise comparisons (snow:sky exposure), averaged over species, in the GLMs assessing the effect of snowmelt timing and sky-exposure treatments on final mortality of tree seedlings at the alpine treeline after two (2012/2014) or one (2013/2014) seasons in the field. SE = Standard error, Asymp.LCL and Asymp.UCL = asymptotic lower and upper control limits. Groups indicate significantly different treatment combinations.
Table 3. Model estimates (Prob = probability of mortality) and Tukey-adjusted pair-wise comparisons (snow:sky exposure), averaged over species, in the GLMs assessing the effect of snowmelt timing and sky-exposure treatments on final mortality of tree seedlings at the alpine treeline after two (2012/2014) or one (2013/2014) seasons in the field. SE = Standard error, Asymp.LCL and Asymp.UCL = asymptotic lower and upper control limits. Groups indicate significantly different treatment combinations.
Snow TreatmentSky-Exposure TreatmentProbSEAsymp.LCLAsymp.UCLGroup
MORTALITY 2012/14
earlycontrol0.270.040.190.38b
earlyshade0.130.030.080.22a
earlynightwar0.300.040.210.40b
latecontrol0.320.040.230.42b
lateshade0.260.030.180.36ab
latenightwar0.260.040.180.36b
MORTALITY 2013/14
earlycontrol0.090.020.060.14b
earlyshade0.060.010.040.10ab
earlynightwar0.050.010.030.10ab
latecontrol0.040.010.020.07a
lateshade0.050.010.030.08ab
latenightwar0.080.020.040.14ab

Share and Cite

MDPI and ACS Style

Bader, M.Y.; Loranger, H.; Zotz, G.; Mendieta-Leiva, G. Responses of Tree Seedlings near the Alpine Treeline to Delayed Snowmelt and Reduced Sky Exposure. Forests 2018, 9, 12. https://doi.org/10.3390/f9010012

AMA Style

Bader MY, Loranger H, Zotz G, Mendieta-Leiva G. Responses of Tree Seedlings near the Alpine Treeline to Delayed Snowmelt and Reduced Sky Exposure. Forests. 2018; 9(1):12. https://doi.org/10.3390/f9010012

Chicago/Turabian Style

Bader, Maaike Y., Hannah Loranger, Gerhard Zotz, and Glenda Mendieta-Leiva. 2018. "Responses of Tree Seedlings near the Alpine Treeline to Delayed Snowmelt and Reduced Sky Exposure" Forests 9, no. 1: 12. https://doi.org/10.3390/f9010012

APA Style

Bader, M. Y., Loranger, H., Zotz, G., & Mendieta-Leiva, G. (2018). Responses of Tree Seedlings near the Alpine Treeline to Delayed Snowmelt and Reduced Sky Exposure. Forests, 9(1), 12. https://doi.org/10.3390/f9010012

Note that from the first issue of 2016, this journal uses article numbers instead of page numbers. See further details here.

Article Metrics

Back to TopTop