Drought Stress Reaction of Growth and Δ13C in Tree Rings of European Beech and Norway Spruce in Monospecific Versus Mixed Stands Along a Precipitation Gradient
Abstract
:1. Introduction
2. Materials and Methods
2.1. Experimental Sites
2.2. Sampling Procedure
2.3. Tree Ring Measurements
2.4. Carbon Isotope Analysis
2.5. Climatic Site Conditions
2.6. Data Analysis and Statistics
3. Results
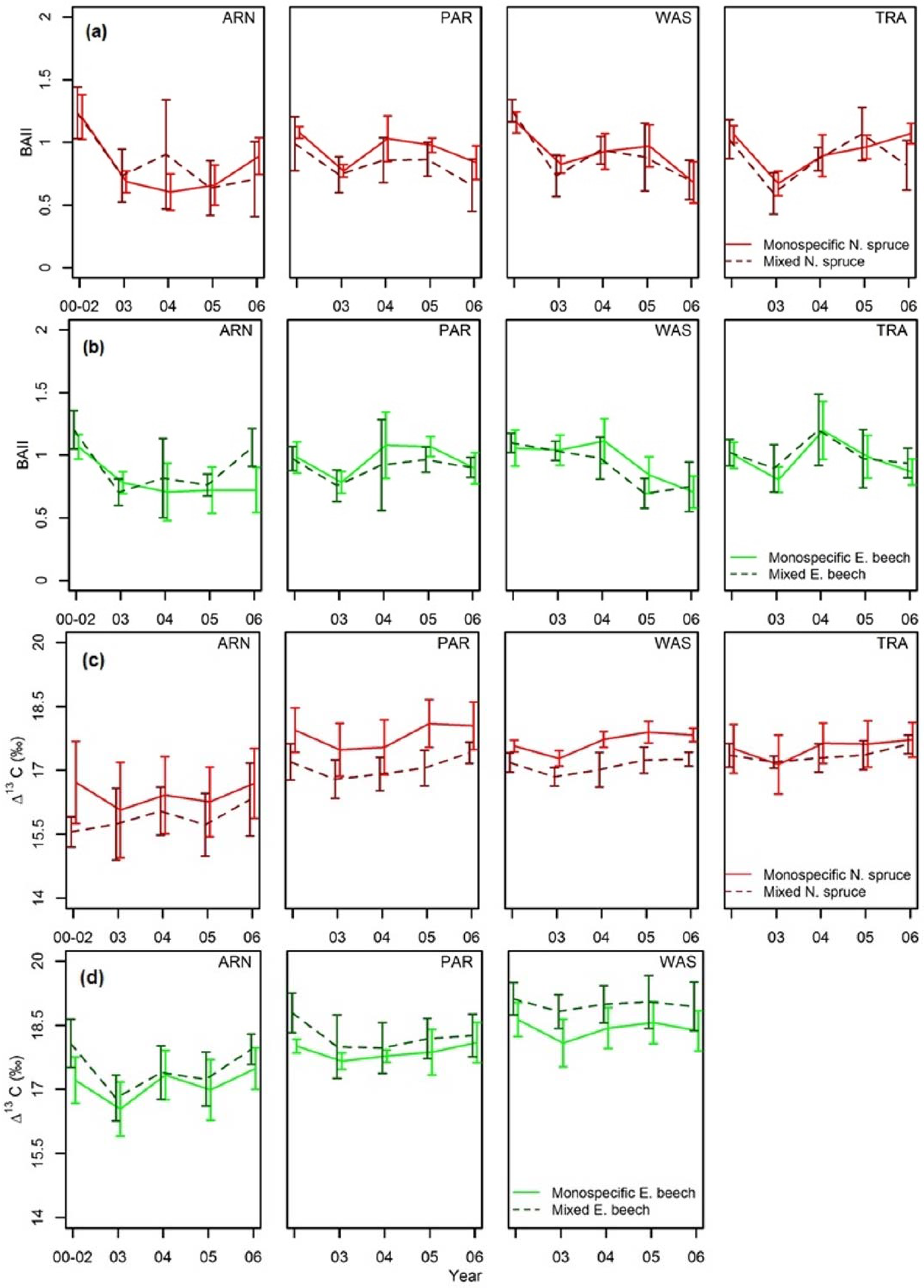
3.1. Ring Width Variations and Tree Ring Δ13C Signatures
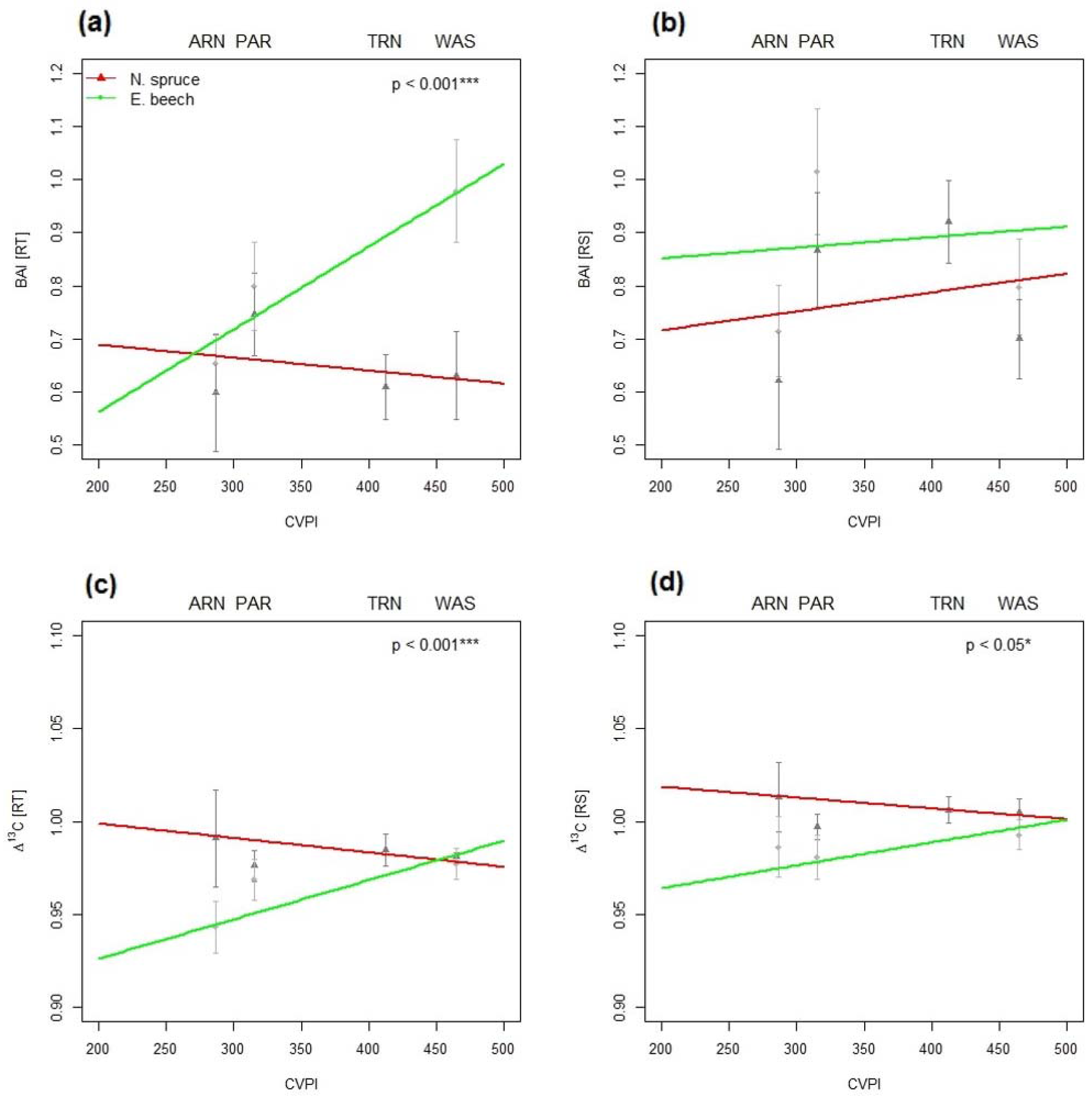
3.2. Species-Specific Differences in Resistance and Resilience
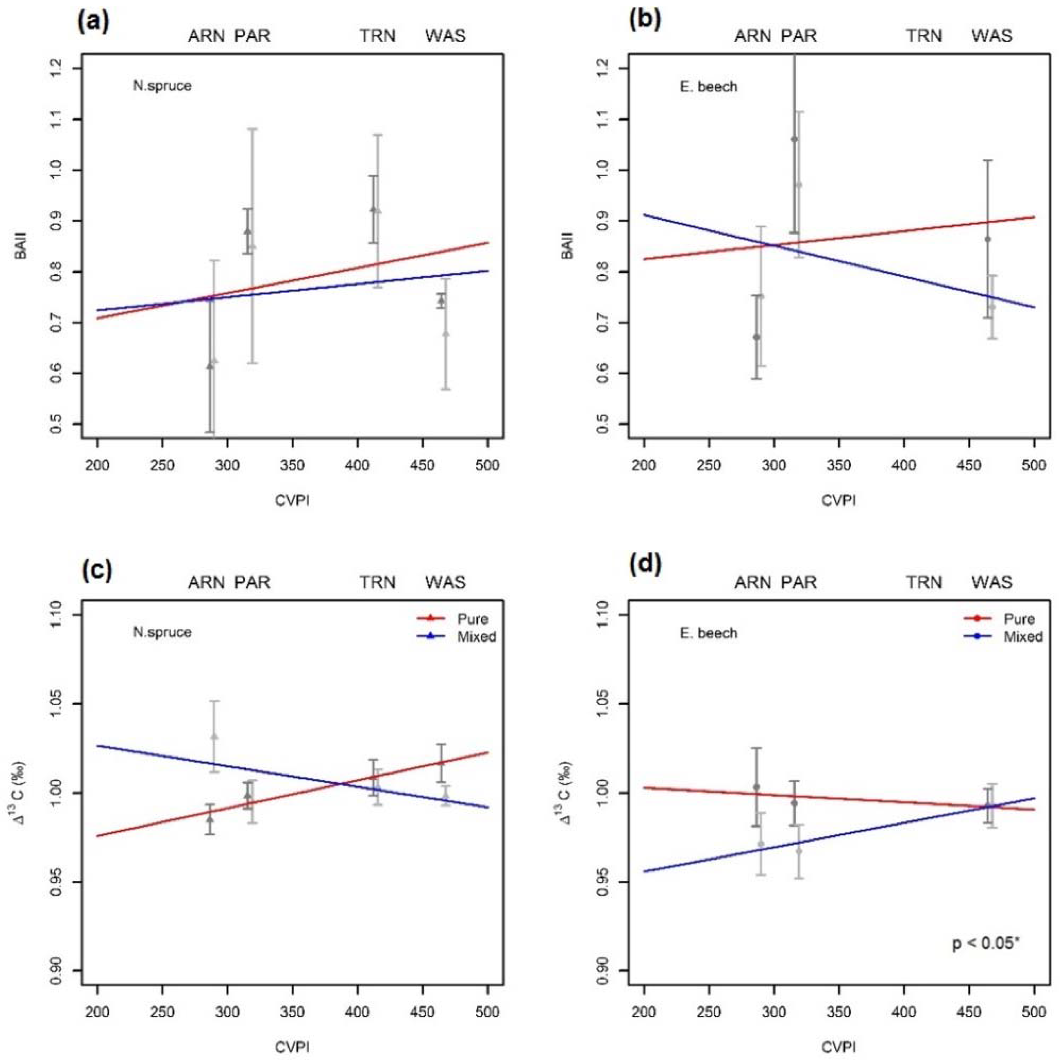
3.3. Differences in Resistance and Resilience of Monospecific vs. Mixed Stands
3.4. Relationship with Climate Variables
4. Discussion
4.1. Species-Specific Differences of BAI and Δ13C Signatures in Tree Rings
4.2. Species Interaction in Monospecific Versus Mixed Stands
5. Conclusions
Acknowledgments
Author Contributions
Conflicts of Interest
Appendix A
| Dependent Variable: | ||||||||
|---|---|---|---|---|---|---|---|---|
| N. Spruce | E. Beech | |||||||
| RT | RT | RS | RS | RT | RT | RS | RS | |
| BAI | Δ13C | BAI | Δ13C | BAI | Δ13C | BAI | Δ13C | |
| Intercept | 0.871 * | 1.027 *** | 0.672 | 1.050 *** | 0.157 | 0.861 * | 1.033 | 0.928 *** |
| −0.252 | −0.032 | −0.453 | −0.033 | −0.213 | −0.041 | −0.608 | −0.022 | |
| CVPI | −0.001 | −0.0001 | 0.0003 | −0.0001 | 0.002 *** | 0.0003 | −0.001 | 0.0001 * |
| −0.001 | −0.0001 | −0.001 | −0.0001 | −0.001 | −0.0001 | −0.002 | −0.0001 | |
| Mixture (Pure) | −0.342 | −0.091 | −0.062 | −0.105 (*) | 0.173 | 0.102 *** | −0.263 | 0.083 * |
| −0.245 | −0.047 | −0.309 | −0.047 | −0.229 | −0.027 | −0.288 | −0.031 | |
| CVPI·Mixture (Pure) | 0.001 | 0.0002 | 0.0002 | 0.0003 (*) | −0.0002 | −0.0003 ** | 0.001 | −0.0002 * |
| −0.001 | −0.0001 | −0.001 | −0.0001 | −0.001 | −0.0001 | −0.001 | −0.0001 | |


References
- Ciais, P.; Reichstein, M.; Viovy, N.; Granier, A.; Ogée, J.; Allard, V.; Aubinet, M.; Buchmann, N.; Bernhofer, C.; Carrara, A.; et al. Europe-wide reduction in primary productivity caused by the heat and drought in 2003. Nature 2005, 437, 529–533. [Google Scholar] [CrossRef] [PubMed]
- Bolte, A.; Ammer, C.; Löf, M.; Madsen, P.; Nabuurs, G.-J.; Schall, P.; Spathelf, P.; Rock, J. Adaptive forest management in central Europe: Climate change impacts, strategies and integrative concept. Scand. J. For. Res. 2009, 24, 473–482. [Google Scholar] [CrossRef]
- McCarroll, D.; Loader, N.J. Stable isotopes in tree rings. Quat. Sci. Rev. 2004, 23, 771–801. [Google Scholar] [CrossRef]
- Hartl-Meier, C.; Zang, C.; Büntgen, U.; Esper, J.; Rothe, A.; Göttlein, A.; Dirnböck, T.; Treydte, K. Uniform climate sensitivity in tree-ring stable isotopes across species and sites in a mid-latitude temperate forest. Tree Physiol. 2015, 35, 4–15. [Google Scholar] [CrossRef] [PubMed]
- Mölder, I.; Leuschner, C.; Leuschner, H.H. δ13C signature of tree rings and radial increment of Fagus sylvatica trees as dependent on tree neighborneighborhood and climate. Trees 2011, 25, 215–229. [Google Scholar] [CrossRef]
- Gessler, A.; Ferrio, J.P.; Hommel, R.; Treydte, K.; Werner, R.A.; Monson, R.K. Stable isotopes in tree rings: Towards a mechanistic understanding of isotope fractionation and mixing processes from the leaves to the wood. Tree Physiol. 2014, 34, 796–818. [Google Scholar] [CrossRef] [PubMed]
- Bréda, N.; Huc, R.; Granier, A.; Dreyer, E. Temperate forest trees and stands under severe drought: A review of ecophysiological responses, adaptation processes and long-term consequences. Ann. For. Sci. 2006, 63, 625–644. [Google Scholar] [CrossRef]
- Farquhar, G.D.; Ehleringer, J.R.; Hubick, K.T. Carbon Isotope Discrimination and Photosynthesis. Annu. Rev. Plant Physiol. Plant Mol. Biol. 1989, 40, 503–537. [Google Scholar] [CrossRef]
- Andreu, L.; Planells, O.; Gutiérrez, E.; Helle, G.; Schleser, G.H. Climatic significance of tree-ring width and δ13C in a Spanish pine forest network. Tellus B 2008, 60, 771–781. [Google Scholar] [CrossRef]
- Thurm, E.A.; Uhl, E.; Pretzsch, H. Mixture reduces climate sensitivity of Douglas-fir stem growth. For. Ecol. Manag. 2016, 376, 205–220. [Google Scholar] [CrossRef]
- Pretzsch, H.; Schütze, G.; Uhl, E. Resistance of European tree species to drought stress in mixed versus pure forests: Evidence of stress release by inter-specific facilitation. Plant Biol. 2013, 15, 483–495. [Google Scholar] [CrossRef] [PubMed]
- Lebourgeois, F.; Gomez, N.; Pinto, P.; Mérian, P. Mixed stands reduce Abies alba tree-ring sensitivity to summer drought in the Vosges mountains, western Europe. For. Ecol. Manag. 2013, 303, 61–71. [Google Scholar] [CrossRef]
- Ammer, C.; Bickel, E.; Kolling, C. Converting Norway spruce stands with beech—A review of arguments and techniques. Austrian J. For. Sci. 2008, 125, 3–26. [Google Scholar]
- Binkley, D. Seven decades of stand development in mixed and pure stands of conifers and nitrogen-fixing red alder. Can. J. For. Res. 2003, 33, 2274–2279. [Google Scholar] [CrossRef]
- Smith, K.W. Bird populations: Effects of tree species mixtures. In The Ecology of Mixed-Species Stands of Trees; Cannell, M.G.R., Malcolm, D.C., Robertson, P.A., Eds.; Blackwell: Oxford, UK, 1992; pp. 233–242. [Google Scholar]
- Gotelli, N.J.; Colwell, R.K. Quantifying biodiversity: Procedures and pitfalls in the measurement and comparison of species richness. Ecol. Lett. 2001, 4, 379–391. [Google Scholar] [CrossRef]
- Pretzsch, H.; Dieler, J.; Seifert, T.; Rötzer, T. Climate effects on productivity and resource-use efficiency of Norway spruce (Picea abies [L.] Karst.) and European beech (Fagus sylvatica [L.]) in stands with different spatial mixing patterns. Trees 2012, 26, 1343–1360. [Google Scholar] [CrossRef]
- Morin, X.; Fahse, L.; Scherer-Lorenzen, M.; Bugmann, H. Tree species richness promotes productivity in temperate forests through strong complementarity between species. Ecol. Lett. 2011, 14, 1211–1219. [Google Scholar] [CrossRef] [PubMed]
- Knoke, T.; Ammer, C.; Stimm, B.; Mosandl, R. Admixing broadleaved to coniferous tree species: A review on yield, ecological stability and economics. Eur. J. For. Res. 2008, 127, 89–101. [Google Scholar] [CrossRef]
- Kelty, M.J. The role of species mixtures in plantation forestry. For. Ecol. Manag. 2006, 233, 195–204. [Google Scholar] [CrossRef]
- Forrester, D.I. The spatial and temporal dynamics of species interactions in mixed-species forests: From pattern to process. For. Ecol. Manag. 2014, 312, 282–292. [Google Scholar] [CrossRef]
- Rötzer, T. Mixing patterns of tree species and their effects on resource allocation and growth in forest stands. Nova Acta Leopoldina 2013, 114, 239–254. [Google Scholar]
- Metz, J.; Annighöfer, P.; Schall, P.; Zimmermann, J.; Kahl, T.; Schulze, E.-D.; Ammer, C. Site-adapted admixed tree species reduce drought susceptibility of mature European beech. Glob. Chang. Biol. 2016, 22, 903–920. [Google Scholar] [CrossRef] [PubMed]
- Lyr, H.; Fiedler, H.J.; Tranquillini, W. Physiologie und Ökologie der Gehölze; G. Fischer Verlag: Jena, Germany, 1992. [Google Scholar]
- Klein, T. The variability of stomatal sensitivity to leaf water potential across tree species indicates a continuum between isohydric and anisohydric behaviours. Funct. Ecol. 2014, 28, 1313–1320. [Google Scholar] [CrossRef]
- Lloret, F.; Keeling, E.G.; Sala, A. Components of tree resilience: Effects of successive low-growth episodes in old ponderosa pine forests. Oikos 2011, 120, 1909–1920. [Google Scholar] [CrossRef]
- Bavarian State Research Center for Agriculture (LfL): Meteorological Data from Local Weather Stations. Available online: http://www.wetter-by.de (accessed on 16 October 2016).
- Standortskartierung, A. Forstliche Standortsaufnahme, 7th ed.; IHW-Verlag: Eching, Germany, 2016. [Google Scholar]
- Häberle, K.H. Soil Characteristics, Personal Communication: Freising, Germany, 2016.
- Leavitt, S.W.; Long, A. Sampling strategy for stable carbon isotope analysis of tree rings in pine. Nature 1984, 311, 145–147. [Google Scholar] [CrossRef]
- Treydte, K.; Schleser, G.H.; Schweingruber, F.H.; Winiger, M. The climatic significance of δ13C in subalpine spruces (Lötschental, Swiss Alps). Tellus B 2001, 53, 593–611. [Google Scholar] [CrossRef]
- Biondi, F.; Qeadan, F. A Theory-Driven Approach to Tree-Ring Standardization: Defining the Biological Trend from Expected Basal Area Increment. Tree-Ring Res. 2008, 64, 81–96. [Google Scholar] [CrossRef]
- Holmes, R.L.; Adams, R.K.; Fritts, H.C. Tree-Ring Chronologies of Western North America: California, Eastern Oregon and Nothern Great Basin with Procedures Used in the Chronology Development Work Including Users Manuals for Computer Programs COFECHA and ARSTAN; University of Arizona: Tucson, AZ, USA, 1986; p. 184. [Google Scholar]
- Hugershoff, R. Die Mathematischen Hilfsmittel der Kulturingenieurs und Biologen: Herleitung von Gesetzmäßigen Zusammenhängen. Als Manuskript Veröffentlicht; Institut für Forstingenieurwesen und Luftbildmessung an der forstlichen Abteilung der Technischen Universität Dresden: Dresden, Germany, 1936. [Google Scholar]
- Isaac-Renton, M.; Schneider, L.; Treydte, K. Contamination risk of stable isotope samples during milling. Rapid Commun. Mass Spectrom. 2016, 30, 1513–1522. [Google Scholar] [CrossRef] [PubMed]
- Farquhar, G.D.; O’Leary, M.H.; Berry, J.A. On the Relationship between Carbon Isotope Discrimination and the Intercellular Carbon Dioxide Concentration in Leaves. Aust. J. Plant Physiol. 1982, 13, 281–292. [Google Scholar] [CrossRef]
- Paterson, S.S. The Forest Area of the World and Its Potential Productivity; Royal University of Goteborg: Gothenburg, Sweden, 1956. [Google Scholar]
- Benavides, R.; Roig, S.; Osoro, K. Potential productivity of forested areas based on a biophysical model. A case study of a mountainous region in northern Spain. Ann. For. Sci. 2009, 66, 108. [Google Scholar] [CrossRef]
- Vanclay, J.K. Modelling Forest Growth and Yield: Applications to Mixed Tropical Forests; CAB International: Wallingford, UK, 1994; p. 312. [Google Scholar]
- Pretzsch, H.; Rötzer, T. Indicating Forest Ecosystem and Stand Productivity: From Deductive to Inductive Concepts. In Ecological Forest Management Handbook; CRC Press Taylor & Francis Group: London, UK, 2016; p. 415. [Google Scholar]
- Bates, D.; Maechler, M.; Bolker, B.; Walker, S. Fitting Linear Mixed-Effects Models Using lme4. J. Stat. Softw. 2015, 67, 1–48. [Google Scholar] [CrossRef]
- Kuznetsova, A.; Brockhoff, P.B.; Christensen, R.H.B. lmerTest: Tests in Linear Mixed Effects Models. R Package Version 2.0-29. Available online: http://CRAN.R-project.org/package=lmerTest (accessed on 2 September 2016).
- Saurer, M.; Siegenthaler, U.; Schweingruber, F. The climate-carbon isotope relationship in tree rings and the significance of site conditions. Tellus B 1995, 47, 320–330. [Google Scholar] [CrossRef]
- Gessler, A.; Brandes, E.; Buchmann, N.; Helle, G.; Rennenberg, H.; Barnard, R.L. Tracing carbon and oxygen isotope signals from newly assimilated sugars in the leaves to the tree-ring archive. Plant Cell Environ. 2009, 32, 780–795. [Google Scholar] [CrossRef] [PubMed]
- Leavitt, S.W. Tree-ring C-H-O isotope variability and sampling. Sci. Total Environ. 2010, 408, 5244–5253. [Google Scholar] [CrossRef] [PubMed]
- Levesque, M.; Saurer, M.; Siegwolf, R.; Eilmann, B.; Brang, P.; Bugmann, H.; Rigling, A. Drought response of five conifer species under contrasting water availability suggests high vulnerability of Norway spruce and European larch. Glob. Chang.Biol. 2013, 19, 3184–3199. [Google Scholar] [CrossRef] [PubMed]
- Kloeppel, B.D.; Treichel, I.W.; Kharuk, S.; Gower, S.T. Foliar carbon isotope discrimination in Larix species and sympatric evergreen conifers: A global comparison. Oecologia 1998, 114, 153–159. [Google Scholar] [CrossRef] [PubMed]
- Zang, C.; Rothe, A.; Weis, W.; Pretzsch, H. Zur Baumarteneignung bei Klimawandel: Ableitung der Trockenstress-Anfälligkeit wichtiger Waldbaumarten aus Jahrringbreiten. Allg. Forst Jagdztg. 2011, 182, 98–112. [Google Scholar]
- Helle, G.; Schleser, G.H. Beyond CO2-fixation by Rubisco—An interpretation of 13C/12C variations in tree rings from novel intra-seasonal studies on broad-leaf trees. Plant Cell Environ. 2004, 27, 367–380. [Google Scholar] [CrossRef]
- Kuptz, D.; Fleischmann, F.; Matyssek, R.; Grams, T.E.E. Seasonal patterns of carbon allocation to respiratory pools in 60-yr-old deciduous (Fagus sylvatica) and evergreen (Picea abies) trees assessed via whole-tree stable carbon isotope labeling. New Phytol. 2011, 191, 160–172. [Google Scholar] [CrossRef] [PubMed]
- Klein, T.; Hemming, D.; Lin, T.; Grunzweig, J.M.; Maseyk, K.; Rotenberg, E.; Yakir, D. Association between tree-ring and needle delta13C and leaf gas exchange in Pinus halepensis under semi-arid conditions. Oecologia 2005, 144, 45–54. [Google Scholar] [CrossRef] [PubMed]
- Barbour, M.M.; Walcroft, A.S.; Farquhar, G.D. Seasonal variation in delta13C and delta18O of cellulose from growth rings of Pinus radiata. Plant Cell Environ. 2002, 25, 1483–1499. [Google Scholar] [CrossRef]
- Hommel, R.; Siegwolf, R.; Zavadlav, S.; Arend, M.; Schaub, M.; Galiano, L.; Haeni, M.; Kayler, Z.E.; Gessler, A. Impact of interspecific competition and drought on the allocation of new assimilates in trees. Plant Biol. 2016, 18, 785–796. [Google Scholar] [CrossRef] [PubMed]
- Zang, U.; Goisser, M.; Häberle, K.-H.; Matyssek, R.; Matzner, E.; Borken, W. Effects of drought stress on photosynthesis, rhizosphere respiration, and fine-root characteristics of beech saplings: A rhizotron field study. Z. Pflanzenernähr. Bodenkd. 2014, 177, 168–177. [Google Scholar] [CrossRef]
- Zeide, B. Tolerance and self-tolerance of trees. For. Ecol. Manag. 1985, 13, 149–166. [Google Scholar] [CrossRef]
- Assmann, E. Waldertragskunde. In Organische Produktion, Struktur, Zuwachs und Ertrag von Waldbeständen; BLV Verlagsgesellschaft: München, Germany, 1961. [Google Scholar]
- Pretzsch, H. Facilitation and Competition in Mixed-Species Forests Analyzed along an Ecological Gradient. Nova Acta Leopoldina 2013, 114, 159–174. [Google Scholar]
- Jucker, T.; Bouriaud, O.; Avacaritei, D.; Coomes, D.A. Stabilizing effects of diversity on aboveground wood production in forest ecosystems: Linking patterns and processes. Ecol. Lett. 2014, 17, 1560–1569. [Google Scholar] [CrossRef] [PubMed]
- Goisser, M.; Geppert, U.; Rötzer, T.; Paya, A.; Huber, A.; Kerner, R.; Bauerle, T.; Pretzsch, H.; Pritsch, K.; Häberle, K.H.; et al. Does belowground interaction with Fagus sylvatica increase drought susceptibility of photosynthesis and stem growth in Picea abies? For. Ecol. Manag. 2016, 375, 268–278. [Google Scholar] [CrossRef]
- Matyssek, R.; Fromm, J.; Rennenberg, H.; Roloff, A. Biologie der Bäume; Verlag Eugen Ulmer: Stuttgart, Germany, 2010. [Google Scholar]
- Caldwell, M.M.; Dawson, T.E.; Richards, J.H. Hydraulic lift: Consequences of water efflux from the roots of plants. Oecologia 1998, 113, 151–161. [Google Scholar] [CrossRef] [PubMed]
- Dawson, T.E. Hydraulic lift and water use by plants: Implications for water balance, performance and plant-plant interactions. Oecologia 1993, 95, 565–574. [Google Scholar] [CrossRef] [PubMed]
- Pretzsch, H.; Schütze, G. Transgressive overyielding in mixed compared with pure stands of Norway spruce and European beech in Central Europe: Evidence on stand level and explanation on individual tree level. Eur. J. For. Res. 2009, 128, 183–204. [Google Scholar] [CrossRef]
- Pretzsch, H.; Schütze, G. Crown allometry and growing space efficiency of Norway spruce (Picea abies L. Karst.) and European beech (Fagus sylvatica L.) in pure and mixed stands. Plant Biol. 2005, 7, 628–639. [Google Scholar] [CrossRef] [PubMed]
- Bolte, A.; Kampf, F.; Hilbrig, L. Space sequestration below ground in old-growth spruce-beech forests—Signs for facilitation? Front. Plant Sci. 2013, 4, 1–11. [Google Scholar] [CrossRef] [PubMed]
- Callaway, R.M.; Walker, L.R. Competition and Facilitation: A Synthetic Approach to Interactions in Plant Communities. Ecology 1997, 78, 1958–1965. [Google Scholar] [CrossRef]
- Maestre, F.T.; Callaway, R.M.; Valladares, F.; Lortie, C.J. Refining the stress-gradient hypothesis for competition and facilitation in plant communities. J. Ecol. 2009, 97, 199–205. [Google Scholar] [CrossRef]
- Malkinson, D.; Tielbörger, K. What does the stress-gradient hypothesis predict?: Resolving the discrepancies. Oikos 2010, 119, 1546–1552. [Google Scholar] [CrossRef]
- Pretzsch, H.; Block, J.; Dieler, J.; Dong, P.H.; Kohnle, U.; Nagel, J.; Spellmann, H.; Zingg, A. Comparison between the productivity of pure and mixed stands of Norway spruce and European beech along an ecological gradient. Ann. For. Sci. 2010, 67, 712. [Google Scholar] [CrossRef]
- Tardieu, F.; Granier, C.; Muller, B. Water deficit and growth. Co-ordinating processes without an orchestrator? Curr. Opin. Plant Biol. 2011, 14, 283–289. [Google Scholar] [CrossRef] [PubMed]




| Site | Latitude (°) | Longitude (°) | Elevation above the Sea Level (m) | Geological Substrate | Ta (°C) | Pa (mm) | Tgr (°C) | Pgr (mm) | CVPI |
|---|---|---|---|---|---|---|---|---|---|
| Arnstein | 49.903 | 9.977 | 330 | limestone (mid Triassic) | 9.5 | 654 | 13.6 | 320 | 280 |
| Parsberg | 48.936 | 11.822 | 550 | limestone (Jurassic) | 8.5 | 713 | 13.5 | 400 | 315 |
| Wasserburg | 48.142 | 12.073 | 620 | moraines from Würm glaciation | 8.8 | 858 | 13.5 | 650 | 464 |
| Traunstein | 47.939 | 12.672 | 600 | moraines from Würm glaciation | 9.1 | 962 | 13.3 | 850 | 412 |
| Site | Species | Mixture | Age | N | HO | DO | HG | DG | GV | VV |
|---|---|---|---|---|---|---|---|---|---|---|
| (years) | (n/ha) | (m) | (cm) | (m) | (cm) | (m2·ha−1) | (m3·ha−1) | |||
| Arnstein | spruce | mono | 70 | 484 | 32.7 | 41.6 | 30.4 | 33.5 | 42.6 | 624 |
| beech | mono | 85 | 1018 | 26.9 | 38.4 | 22.7 | 21.7 | 37.5 | 453 | |
| beech | mixture | 77 | 514 | 27.3 | 37.3 | 23.9 | 22.1 | 19.8 | 249 | |
| spruce | mixture | 77 | 269 | 31.2 | 45.0 | 27.7 | 31.1 | 20.4 | 276 | |
| total | mixture | 783 | 40.2 | 525 | ||||||
| Parsberg | spruce | mono | 60 | 889 | 30.5 | 45.5 | 26.9 | 28.7 | 57.6 | 756 |
| beech | mono | 95 | 470 | 32.7 | 39.6 | 30.5 | 30.7 | 34.8 | 558 | |
| beech | mixture | 90 | 136 | 36.3 | 53.3 | 33.9 | 42.2 | 19.0 | 298 | |
| spruce | mixture | 90 | 214 | 32.8 | 47.3 | 30.4 | 33.8 | 19.3 | 316 | |
| total | mixture | 350 | 38.3 | 613 | ||||||
| Wasserburg | spruce | mono | 50 | 733 | 25.1 | 38.4 | 22.8 | 27.9 | 44.7 | 498 |
| beech | mono | 55 | 595 | 24.4 | 36.6 | 22.5 | 24.7 | 28.4 | 328 | |
| beech | mixture | 60 | 208 | 28.6 | 40.7 | 25.4 | 28.3 | 13.1 | 162 | |
| spruce | mixture | 60 | 433 | 24.6 | 34.5 | 22.2 | 22.3 | 16.9 | 192 | |
| total | mixture | 641 | 30.0 | 354 | ||||||
| Traunstein | spruce | mono | 50 | 523 | 28.6 | 41.4 | 26.9 | 33.0 | 44.7 | 579 |
| beech | mono | 65 | 375 | 26.5 | 42.3 | 24.9 | 30.8 | 28.0 | 367 | |
| beech | mixture | 67 | 143 | 30.2 | 41.0 | 29.1 | 34.0 | 13.0 | 197 | |
| spruce | mixture | 67 | 294 | 33.8 | 46.8 | 31.3 | 36.0 | 29.9 | 445 | |
| total | mixture | 437 | 42.9 | 643 |
| Site | Species | Mixture | Exposition | Cation Exchange Capacity (CEC) | Plant Available Soil Water |
|---|---|---|---|---|---|
| (kmol·ha−1) | (L·m−2) | ||||
| Arnstein | spruce | mono | south | 1072 | 83 |
| beech | mono | plain | 2931 | 89 | |
| spruce/beech | mixture | plain | 1552 | 79 | |
| Parsberg | spruce | mono | northwest | 2060 | 67 |
| beech | mono | northwest | 1813 | 67 | |
| spruce/beech | mixture | northwest | 2477 | 80 | |
| Wasserburg | spruce | mono | south | 920 | 217 |
| beech | mono | south | 685 | 215 | |
| spruce/beech | mixture | south | 921 | 250 | |
| Traunstein | spruce | mono | west | 1604 | 204 |
| beech | mono | west | 2215 | 198 | |
| spruce/beech | mixture | north | 1975 | 209 |
| Dependent Variables: | ||||||
|---|---|---|---|---|---|---|
| (1) | (2) | (3) | (4) | (5) | (6) | |
| Log(RT) | Log(RS) | RT | RS | RT | RS | |
| Δ13C | Δ13C | BAI | BAI | Δ13C | Δ13C | |
| Intercept | −0.02 *** | −0.018 ** | 0.249 | 0.812 | 0.884 *** | 0.939 *** |
| −0.005 | −0.005 | −0.198 | −0.482 | −0.029 | −0.028 | |
| Log(RT) (BAI) | 0.052 ** | |||||
| −0.015 | ||||||
| Log(RS) (BAI) | −0.008 | |||||
| −0.013 | ||||||
| CVPI | 0.002 (*) | 0.0002 | 0.0002 * | 0.0001 | ||
| −0.001 | −0.001 | −0.0001 | −0.0001 | |||
| Species (N. spruce) | −0.007 | 0.022 ** | 0.488 ** | −0.168 | 0.131 *** | 0.091 *** |
| −0.009 | −0.007 | −0.17 | −0.211 | −0.029 | −0.026 | |
| Log(RS):Species (N. spruce) | −0.003 | |||||
| −0.017 | ||||||
| Log(RT):Species (N. spruce) | −0.083 *** | |||||
| −0.022 | ||||||
| CVPI:Species (N. spruce) | −0.002 *** | 0.0002 | 0.0003 *** | −0.0002 * | ||
| −0.0005 | −0.001 | −0.0001 | −0.0001 | |||
| Group Comparison | Type | Variable | Group Comparison (Means) | Difference | p Value | ||
|---|---|---|---|---|---|---|---|
| 1 | 2 | 1 | 2 | ||||
| E. beech–N. spruce | BAI | RT | 0.80 | 0.65 | 0.15 | 0.00 *** | |
| E. beech Mixed–E. beech Pure | BAI | RT | 0.76 | 0.84 | −0.09 | 0.09 (*) | |
| N. spruce Mixed–N. spruce Pure | BAI | RT | 0.64 | 0.67 | −0.03 | 0.60 | |
| E. beech–N. spruce | BAI | RS | 0.89 | 0.78 | 0.11 | 0.02 * | |
| E. beech Mixed–E. beech Pure | BAI | RS | 0.86 | 0.91 | −0.05 | 0.38 | |
| N. spruce Mixed–N. spruce Pure | BAI | RS | 0.77 | 0.79 | −0.02 | 0.74 | |
| E. beech–N. spruce | ∆13C | RT | 0.96 | 0.98 | −0.02 | 0.00 *** | |
| E. beech Mixed–E. beech Pure | ∆13C | RT | 0.96 | 0.97 | −0.01 | 0.07 (*) | |
| N. spruce Mixed–N. spruce Pure | ∆13C | RT | 0.99 | 0.97 | 0.02 | 0.03 * | |
| E. beech–N. spruce | ∆13C | RS | 0.98 | 1.00 | −0.02 | 0.00 ** | |
| E. beech Mixed–E. beech Pure | ∆13C | RS | 0.98 | 1.00 | −0.02 | 0.03 * | |
| N. spruce Mixed–N. spruce Pure | ∆13C | RS | 1.01 | 1.00 | 0.01 | 0.49 | |
© 2017 by the authors. Licensee MDPI, Basel, Switzerland. This article is an open access article distributed under the terms and conditions of the Creative Commons Attribution (CC BY) license (http://creativecommons.org/licenses/by/4.0/).
Share and Cite
Schäfer, C.; Grams, T.E.E.; Rötzer, T.; Feldermann, A.; Pretzsch, H. Drought Stress Reaction of Growth and Δ13C in Tree Rings of European Beech and Norway Spruce in Monospecific Versus Mixed Stands Along a Precipitation Gradient. Forests 2017, 8, 177. https://doi.org/10.3390/f8060177
Schäfer C, Grams TEE, Rötzer T, Feldermann A, Pretzsch H. Drought Stress Reaction of Growth and Δ13C in Tree Rings of European Beech and Norway Spruce in Monospecific Versus Mixed Stands Along a Precipitation Gradient. Forests. 2017; 8(6):177. https://doi.org/10.3390/f8060177
Chicago/Turabian StyleSchäfer, Cynthia, Thorsten E. E. Grams, Thomas Rötzer, Aline Feldermann, and Hans Pretzsch. 2017. "Drought Stress Reaction of Growth and Δ13C in Tree Rings of European Beech and Norway Spruce in Monospecific Versus Mixed Stands Along a Precipitation Gradient" Forests 8, no. 6: 177. https://doi.org/10.3390/f8060177
APA StyleSchäfer, C., Grams, T. E. E., Rötzer, T., Feldermann, A., & Pretzsch, H. (2017). Drought Stress Reaction of Growth and Δ13C in Tree Rings of European Beech and Norway Spruce in Monospecific Versus Mixed Stands Along a Precipitation Gradient. Forests, 8(6), 177. https://doi.org/10.3390/f8060177

