Applying Topographic Classification, Based on the Hydrological Process, to Design Habitat Linkages for Climate Change
Abstract
:1. Introduction
2. Materials and Methods
2.1. Description of Study Areas
2.2. Data Collection
2.3. Topographical Classification: Morphometric and Generic
2.4. Spatial Relationship between Topographic Classes and Species Distributions
2.5. Design of Topographic Linkages
3. Results
3.1. Topographic Class Maps
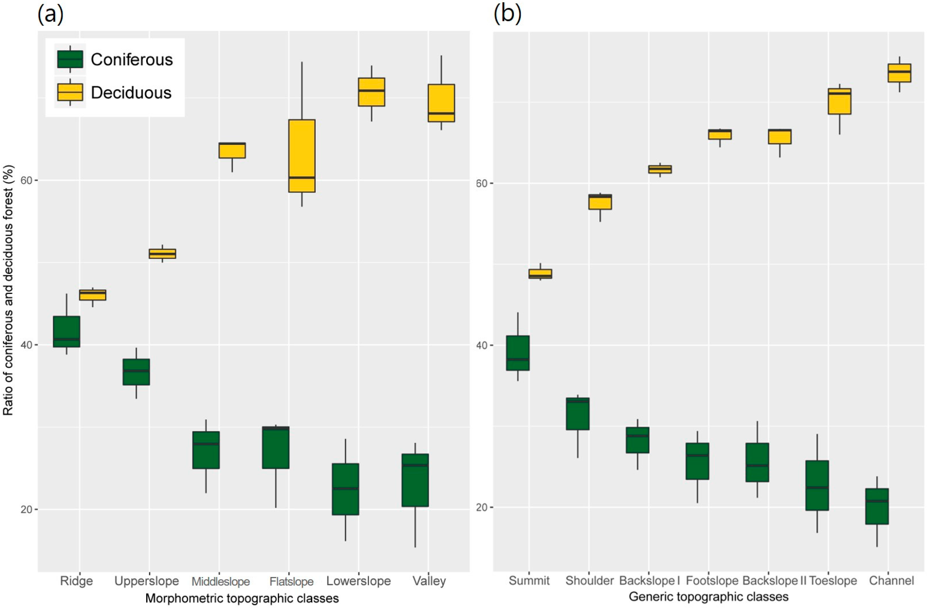
3.2. Spatial Relationship with Coniferous and Deciduous Forests
3.3. Spatial Relationship with the Potential Habitat of Mammals and Amphibians
3.4. Topographic Linkages
4. Discussion
4.1. Topographic Classes as a Surrogate of Species
4.2. Designing Topographic Linkages to Accommodate Climate Change
5. Conclusions
Supplementary Materials
Acknowledgments
Author Contributions
Conflicts of Interest
References
- Walther, G.R.; Post, E.; Convey, P.; Menzel, A.; Parmesan, C.; Beebee, T.J.C.; Fromentin, J.M.; Hoegh-Guldberg, O.; Bairlein, F. Ecological responses to recent climate change. Nature 2002, 416, 389–395. [Google Scholar] [CrossRef] [PubMed]
- Renton, M.; Childs, S.; Standish, R.; Shackelford, N. Plant migration and persistence under climate change in fragmented landscapes: Does it depend on the key point of vulnerability within the lifecycle? Ecol. Model. 2013, 249, 50–58. [Google Scholar] [CrossRef]
- Ceausu, S.; Gomes, I.; Pereira, H.M. Conservation Planning for Biodiversity and Wilderness: A Real-World Example. Environ. Manag. 2015, 55, 1168–1180. [Google Scholar] [CrossRef] [PubMed]
- United Nation. World Population Prospects: The 2015 Revision, Key Findings and Advance Tables. Available online: https://www.popline.org/node/639412 (accessed on 28 August 2016).
- Saunders, D.A.; Hobbs, R.J.; Margules, C.R. Biological consequences of ecosystem fragmentation: A review. Conserv. Biol. 1991, 5, 18–32. [Google Scholar] [CrossRef]
- Baschak, L.A.; Brown, R.D. An ecological framework for the planning, design and management of urban river greenways. Landsc. Urban Plan. 1995, 33, 211–225. [Google Scholar] [CrossRef]
- Mawdsley, J.R.; O’malley, R.; Ojima, D.S. A review of climate-change adaptation strategies for wildlife management and biodiversity conservation. Conserv. Biol. 2009, 23, 1080–1089. [Google Scholar] [CrossRef] [PubMed]
- Pouzols, F.M.; Moilanen, A. A method for building corridors in spatial conservation prioritization. Landsc. Ecol. 2014, 789–801. [Google Scholar] [CrossRef]
- Heller, N.E.; Zavaleta, E.S. Biodiversity management in the face of climate change: A review of 22 years of recommendations. Biol. Conserv. 2009, 142, 14–32. [Google Scholar] [CrossRef]
- Beier, P. Conceptualizing and Designing Corridors for Climate Change. Ecol. Restor. 2012, 30, 312–319. [Google Scholar] [CrossRef]
- Brost, B.M.; Beier, P. Use of land facets to design linkages for climate change. Ecol. Appl. 2012, 22, 87–103. [Google Scholar] [CrossRef] [PubMed]
- LaRue, M.A.; Nielsen, C.K. Modelling potential dispersal corridors for cougars in midwestern North America using least-cost path methods. Ecol. Model. 2008, 212, 372–381. [Google Scholar] [CrossRef]
- Cushman, S.A.; McKelvey, K.S.; Hayden, J.; Schwartz, M.K. Gene flow in complex landscapes: Testing multiple hypotheses with causal modeling. Am. Nat. 2006, 168, 486–499. [Google Scholar] [CrossRef] [PubMed]
- Schwartz, M.K.; Copeland, J.P.; Anderson, N.J.; Squires, J.R.; Inman, R.M.; McKelvey, K.S.; Pilgrim, K.L.; Waits, L.P.; Cushman, S.A. Wolverine gene flow across a narrow climatic niche. Ecology 2009, 90, 3222–3232. [Google Scholar] [CrossRef] [PubMed]
- Ziółkowska, E.; Ostapowicz, K.; Kuemmerle, T.; Perzanowski, K.; Radeloff, V.C.; Kozak, J. Potential habitat connectivity of European bison (Bison bonasus) in the Carpathians. Biol. Conserv. 2012, 146, 188–196. [Google Scholar] [CrossRef]
- Poor, E.E.; Loucks, C.; Jakes, A.; Urban, D.L. Comparing Habitat Suitability and Connectivity Modeling Methods for Conserving Pronghorn Migrations. PLoS ONE 2012, 7. [Google Scholar] [CrossRef] [PubMed]
- Beier, P.; Majka, D.R.; Newell, S.L. Uncertainty analysis of least-cost modeling for designing wildlife linkages. Ecol. Appl. 2009, 19, 2067–2077. [Google Scholar] [CrossRef] [PubMed]
- Minor, E.S.; Lookingbill, T.R. A Multiscale Network Analysis of Protected-Area Connectivity for Mammals in the United States. Conserv. Biol. 2010, 24, 1549–1558. [Google Scholar] [CrossRef] [PubMed]
- Brost, B.M.; Beier, P. Comparing Linkage Designs Based on Land Facets to Linkage Designs Based on Focal Species. PLoS ONE 2012, 7, e48965. [Google Scholar] [CrossRef] [PubMed]
- Nuñez, T.A.; Lawler, J.J.; McRae, B.H.; Pierce, D.J.; Krosby, M.B.; Kavanagh, D.M.; Singleton, P.H.; Tewksbury, J.J. Connectivity planning to address climate change. Conserv. Biol. 2013, 27, 1–10. [Google Scholar] [CrossRef] [PubMed]
- Hunter, M.L.; Jacobson, G.L.; Webb, T. Paleoecology and the coarse-filter approach to maintaining biological diversity. Conserv. Biol. 1988, 2, 375–385. [Google Scholar] [CrossRef]
- Dickson, B.G.; Beier, P. Quantifying the influence of topographic position on cougar (Puma concolor) movement in southern California, USA. J. Zool. 2007, 271, 270–277. [Google Scholar] [CrossRef]
- Beier, P.; Brost, B. Use of land facets to plan for climate change: Conserving the arenas, not the actors. Conserv. Biol. 2010, 24, 701–710. [Google Scholar] [CrossRef] [PubMed]
- Park, S. A Geomorphological Classification System to Characterize Ecological Processes over the Landscape. J. Korean Geogr. Soc. 2004, 39, 495–513. [Google Scholar]
- Morison, C.G.T.; Hoyle, A.C.; Hope-Simpson, J.F. Tropical soil-vegetation catenas and mosaics: A study in the south-western part of the Anglo-Egyptian Sudan. J. Ecol. 1948, 36, 1–84. [Google Scholar] [CrossRef]
- D’herbès, J.-M.; Valentin, C.; Tongway, D.J.; Leprun, J.-C. Banded vegetation patterns and related structures. In Banded Vegetation Patterning in Arid and Semiarid Environments; Springer: Newyork, NY, USA, 2001; pp. 1–19. [Google Scholar]
- Park, S.; van de Giesen, N. Soil–landscape delineation to define spatial sampling domains for hillslope hydrology. J. Hydrol. 2004, 295, 28–46. [Google Scholar] [CrossRef]
- Parker, A.J. The topographic relative moisture index: An approach to soil-moisture assessment in mountain terrain. Phys. Geogr. 1982, 3, 160–168. [Google Scholar]
- Oliveira-Filho, A.T.; Vilela, E.A.; Carvalho, D.A.; Gavilanes, M.L. Effects of soils and topography on the distribution of tree species in a tropical riverine forest in south-eastern Brazil. J. Trop. Ecol. 1994, 10, 483–508. [Google Scholar] [CrossRef]
- Cantón, Y.; Del Barrio, G.; Solé-Benet, A.; Lázaro, R. Topographic controls on the spatial distribution of ground cover in the Tabernas badlands of SE Spain. Catena 2004, 55, 341–365. [Google Scholar] [CrossRef]
- Xu, X.-L.; Ma, K.-M.; Fu, B.-J.; Song, C.-J.; Liu, W. Relationships between vegetation and soil and topography in a dry warm river valley, SW China. Catena 2008, 75, 138–145. [Google Scholar] [CrossRef]
- Lawson, G.W.; Jenik, J.; Armstrong-Mensah, K.O. A study of a vegetation catena in Guinea savanna at Mole Game Reserve (Ghana). J. Ecol. 1968, 56, 505–522. [Google Scholar] [CrossRef]
- Sakai, A.; Ohsawa, M. Topographical pattern of the forest vegetation on a river basin in a warm-temperate hilly region, central Japan. Ecol. Res. 1994, 9, 269–280. [Google Scholar] [CrossRef]
- Kosmas, C.; Danalatos, N.G.; Gerontidis, S. The effect of land parameters on vegetation performance and degree of erosion under Mediterranean conditions. Catena 2000, 40, 3–17. [Google Scholar] [CrossRef]
- Iverson, L.R.; Schwartz, M.W.; Prasad, A.M. How fast and far might tree species migrate in the eastern United States due to climate change? Glob. Ecol. Biogeogr. 2004, 13, 209–219. [Google Scholar] [CrossRef]
- Canadell, J.G.; Pataki, D.E.; Pitelka, L.F. Plant Species Migration as a Key Uncertainty in Predicting Future Impacts of Climate Change on Ecosystems: Progress and Challenges. In Terrestrial Ecosystems in a Changing World; Springer: Berlin/Heidelberg, Germany; New York, NY, USA, 2007; pp. 129–137. ISBN 9783540327295. [Google Scholar]
- Thuiller, W.; Albert, C.; Araújo, M.B.; Berry, P.M.; Cabeza, M.; Guisan, A.; Hickler, T.; Midgley, G.F.; Paterson, J.; Schurr, F.M.; et al. Predicting global change impacts on plant species’ distributions: Future challenges. Perspect. Plant Ecol. Evol. Syst. 2008, 9, 137–152. [Google Scholar] [CrossRef]
- Tomlinson, K.W.; Poorter, L.; Sterck, F.J.; Borghetti, F.; Ward, D.; de Bie, S.; van Langevelde, F. Leaf adaptations of evergreen and deciduous trees of semi-arid and humid savannas on three continents. J. Ecol. 2013, 101, 430–440. [Google Scholar] [CrossRef]
- Majka, D.; Beier, P.; Jenness, J. CorridorDesigner: ArcGIS Tools for Designing and Evaluating Corridors. 2007. Available online: http//corridordesign.org (accessed on 3 June 2016).
- Jang, K.; Song, J.; Park, K.; Chung, J. An Objective Procedure to Decide the Scale Factors for Applying Land-form Classification Methodology Using TPI. J. Korean For. Soc. 2009, 98, 639–645. [Google Scholar]
- Weiss, A. Topographic position and landforms analysis. In Proceedings of the Poster Presentation, ESRI User Conference, San Diego, CA, USA, 9–13 July 2001; Volume 200. [Google Scholar]
- Gou, Y.; Chen, H.; Wu, W.; Liu, H. Bin Effects of slope position, aspect and cropping system on soil nutrient variability in hilly areas. Soil Res. 2015, 53, 338–348. [Google Scholar] [CrossRef]
- Gnyawali, K.R.; Maka, S.; Adhikari, B.R.; Chamlagain, D. Spatial Implications of Earthquake Induced Landslides Triggered by the April 25 Gorkha Earthquake Mw 7. 8: Preliminary analysis and findings. In Proceedings of the International Conference on Earthquake Engineering and Post Disastor Reconstruction Planning, Bhaktapur, Nepal, 24–26 April 2016; pp. 50–58. [Google Scholar]
- Han, H.; Chung, W.; Song, J.; Seol, A.; Chung, J. A terrain-based method for selecting potential mountain ridge protection areas in South Korea. Landsc. Res. 2016, 41, 906–921. [Google Scholar] [CrossRef]
- Pareta, K.; Pareta, U. Landform Classification and Geomorphological Mapping of Ramgarh Structure, Rajasthan (India) through Remote Sensing and Geographic Information System (GIS). J. Hydrol. Environ. Res. 2016, 4, 1–17. [Google Scholar]
- Jenness, J.; Brost, B.; Beier, P. Land Facet Corridor Designer: Extension for ArcGIS. Jenness Enterp. 2013, 1, 110. [Google Scholar]
- Park, S.J.; McSweeney, K.; Lowery, B. Identification of the spatial distribution of soils using a process-based terrain characterization. Geoderma 2001, 103, 249–272. [Google Scholar] [CrossRef]
- Davis, F.W.; Goetz, S. Modeling vegetation pattern using digital terrain data. Landsc. Ecol. 1990, 4, 69–80. [Google Scholar] [CrossRef]
- Thuiller, W.; Lafourcade, B.; Engler, R.; Araújo, M.B. BIOMOD - A platform for ensemble forecasting of species distributions. Ecography 2009, 32, 369–373. [Google Scholar] [CrossRef]
- Iverson, L.R.; Prasad, A.M.; Matthews, S.N.; Peters, M.P. Lessons Learned While Integrating Habitat, Dispersal, Disturbance, and Life-History Traits into Species Habitat Models Under Climate Change. Ecosystems 2011, 14, 1005–1020. [Google Scholar] [CrossRef]
- Wickham, H. Ggplot2: Elegant Graphics for Data Analysis; Springer: NewYork, NY, USA, 2016. [Google Scholar]
- Reuter, H.I.; Giebel, A.; Wendroth, O. Can landform stratification improve our understanding of crop yield variability? Precis. Agric. 2005, 6, 521–537. [Google Scholar] [CrossRef]
- Lee, D.; Kim, E.; Oh, K. Conservation Value Assessment by Considering Patch Size, Connectivity and Edge. J. Korean Environ. Restor. Technol. 2005, 8, 56–67. [Google Scholar]
- Hayashi, S.; Tanaka, Y.; Kodama, E. A new manufacturing control system using Mahalanobis distance for maximising productivity. In Proceedings of the 2001 IEEE International Semiconductor Manufacturing Symposium, San Jose, CA, USA, 8–10 October 2001; pp. 59–62. [Google Scholar]
- Harris, N.G. Modelling walk link congestion and the prioritisation of congestion relief. Traffic Eng. Control 1991, 32, 78–80. [Google Scholar]
- Forman, R.T.T. Land Mosaics: The Ecology of Landscapes and Regions (1995); Cambridge University Press: Cambridge, UK, 2014. [Google Scholar]
- Helzer, C.J.; Jelinski, D.E. The relative importance of patch area and perimeter-ratio to grassland breeding birds. Ecol. Appl. 1999, 9, 1448–1458. [Google Scholar] [CrossRef]
- Wiens, J.A.; Stenseth, N.C.; Van Horne, B.; Ims, R.A. Ecological Mechanisms and Landscape Ecology. Oikos 1993, 66, 369–380. [Google Scholar] [CrossRef]
- Lindenmayer, D.B.; Margules, C.R.; Botkin, D.B. Indicators of biodiversity for ecologically sustainable forest management. Conserv. Biol. 2000, 14, 941–950. [Google Scholar] [CrossRef]
- Dawson, T.P.; Jackson, S.T.; House, J.I.; Prentice, I.C.; Mace, G.M. Beyond predictions: Biodiversity conservation in a changing climate. Science 2011, 332, 53–58. [Google Scholar] [CrossRef] [PubMed]
- Hjort, J.; Heikkinen, R.K.; Luoto, M. Inclusion of explicit measures of geodiversity improve biodiversity models in a boreal landscape. Biodivers. Conserv. 2012, 21, 3487–3506. [Google Scholar] [CrossRef]
- Ohsawa, M. Vegetation Structure and Dynamics in the Oi-gawa Genryubu Wilderness Area. Ecol. Res. 1981, 9, 269–280. [Google Scholar]
- Kong, W. Species Composition and Distribution of Native Korean Conifers. J. Korean Geogr. Soc. 2004, 39, 528–543. [Google Scholar]
- Conacher, A.J.; Dalrymple, J.B. The nine unit landsurface model: An approach to pedogeomorphic research. Geoderma 1977, 18, 127–144. [Google Scholar]
- Cushman, S.A.; Landguth, E.L. Multi-taxa population connectivity in the Northern Rocky Mountains. Ecol. Model. 2012, 231, 101–112. [Google Scholar] [CrossRef]
- Cushman, S.A.; Mcrae, B.; Adriaensen, F.; Beier, P.; Shirley, M.; Zeller, K. Biological corridors and connectivity. In Key Topics in Conservation Biology 2; John Wiley & Sons: West Sussex, UK, 2013; pp. 384–404. ISBN 9780470658765. [Google Scholar]
- Semlitsch, R.D.; Bodie, J.R. Biological criteria for buffer zones around wetlands and riparian habitats for amphibians and reptiles. Conserv. Biol. 2003, 17, 1219–1228. [Google Scholar] [CrossRef]
- Hunter, M.L. A mesofilter conservation strategy to complement fine and coarse filters. Conserv. Biol. 2005, 19, 1025–1029. [Google Scholar] [CrossRef]
- Tingley, M.W.; Darling, E.S.; Wilcove, D.S. Fine- and coarse-filter conservation strategies in a time of climate change. Ann. N. Y. Acad. Sci. 2014, 1322, 92–109. [Google Scholar] [CrossRef] [PubMed]
- Reyers, B.; Fairbanks, D.H.K.; Van Jaarsveld, A.S.; Thompson, M. Priority areas for the conservation of South African vegetation: A coarse-filter approach. Divers. Distrib. 2001, 7, 79–95. [Google Scholar] [CrossRef]
- Anderson, M.G.; Ferree, C.E. Conserving the stage: Climate change and the geophysical underpinnings of species diversity. PLoS ONE 2010, 5, e11554. [Google Scholar] [CrossRef] [PubMed]
- Beier, P.; Hunter, M.L.; Anderson, M. Special Section: Conserving Nature’s Stage. Conserv. Biol. 2015, 29, 613–617. [Google Scholar] [CrossRef] [PubMed]
- Hodgson, J.A.; Thomas, C.D.; Wintle, B.A.; Moilanen, A. Climate change, connectivity and conservation decision making: Back to basics. J. Appl. Ecol. 2009, 46, 964–969. [Google Scholar] [CrossRef]
- Rowland, E.L.; Davison, J.E.; Graumlich, L.J. Approaches to evaluating climate change impacts on species: A guide to initiating the adaptation planning process. Environ. Manag. 2011, 47, 322–337. [Google Scholar] [CrossRef] [PubMed]
- Rouget, M.; Cowling, R.M.; Lombard, A.T.; Knight, A.T.; Kerley, G.I.H. Designing Large-Scale Conservation Corridors for Pattern and Process. Conserv. Biol. 2006, 20, 549–561. [Google Scholar] [CrossRef] [PubMed]
- Beier, P.; Sutcliffe, P.; Hjort, J.; Faith, D.P.; Pressey, R.L.; Albuquerque, F. A review of selection-based tests of abiotic surrogates for species representation. Conserv. Biol. 2015, 29, 668–679. [Google Scholar] [CrossRef] [PubMed]








| Topographic Classes | Criteria | |
|---|---|---|
| TPI | Slope | |
| Ridges | TPI ≥ 1 | |
| Upperslopes | 0.5 ≤ TPI ≤ 1 | |
| Middleslopes | −0.5 ≤ TPI ≤ 0.5 | Slope ≥ 5° |
| Flatslopes | −0.5 ≤ TPI ≤ 0.5 | Slope ≤ 5° |
| Lowerslopes | −1 ≤ TPI ≤ −0.5 | |
| Valleys | TPI ≤ −1 | |
| Topographic Class | Description | Categories in Figure 3 | Criteria | |
|---|---|---|---|---|
| As | Cs | |||
| Summit | The region is divided by two rivers in the one drainage system | a | Min. ≤ Ast | 0~Max. |
| Shoulder | This region has a positive surface curvature value, and, therefore, an erosional process is predominant | b | Asi ≤ Ap | +Csi ≤ Max. |
| Backslope I | These regions achieve equilibrium of inflows and outflows | c | Asi ≤ Ast | −Csi ≤ +Csi |
| Footslope | This region has a negative value for the surface curvature, which indicates inflow rather than erosion | d | Min. ≤ Ast | Min. ≤ −Csi |
| Backslope II | These regions achieve equilibrium between inflows and outflows | e | Ast ≤ Ap | −Csi ≤ +Csi |
| Toeslope | This area is saturated with groundwater and accumulates alluvial deposition from the up valley | f | Ast ≤ Ap | Min. ≤ −Csi |
| Channel | Rivers flow | g | Ap ≤ Max. | Min.~Max. |
© 2017 by the authors. Licensee MDPI, Basel, Switzerland. This article is an open access article distributed under the terms and conditions of the Creative Commons Attribution (CC BY) license (http://creativecommons.org/licenses/by/4.0/).
Share and Cite
Mo, Y.; Lee, D.K.; Song, K.; Kim, H.G.; Park, S.J. Applying Topographic Classification, Based on the Hydrological Process, to Design Habitat Linkages for Climate Change. Forests 2017, 8, 466. https://doi.org/10.3390/f8120466
Mo Y, Lee DK, Song K, Kim HG, Park SJ. Applying Topographic Classification, Based on the Hydrological Process, to Design Habitat Linkages for Climate Change. Forests. 2017; 8(12):466. https://doi.org/10.3390/f8120466
Chicago/Turabian StyleMo, Yongwon, Dong Kun Lee, Keunyea Song, Ho Gul Kim, and Soo Jin Park. 2017. "Applying Topographic Classification, Based on the Hydrological Process, to Design Habitat Linkages for Climate Change" Forests 8, no. 12: 466. https://doi.org/10.3390/f8120466
APA StyleMo, Y., Lee, D. K., Song, K., Kim, H. G., & Park, S. J. (2017). Applying Topographic Classification, Based on the Hydrological Process, to Design Habitat Linkages for Climate Change. Forests, 8(12), 466. https://doi.org/10.3390/f8120466

