Michelotti, L. A. and Miesel J. R. Source Material and Concentration of Wildfire-Produced Pyrogenic Carbon Influence Post-Fire Soil Nutrient Dynamics. Forests 2015, 6, 1325–1342

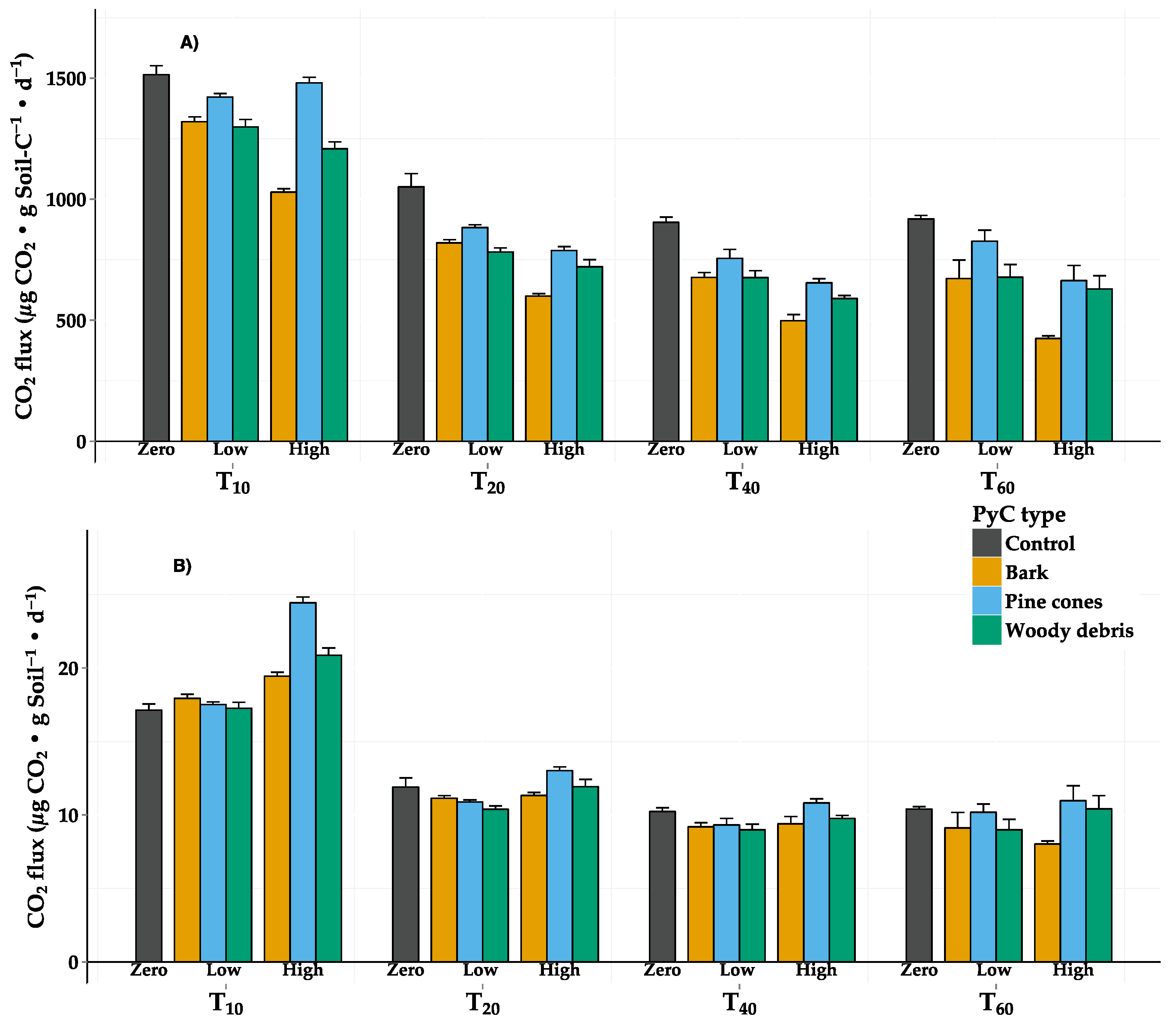
| Main Effect | F Value | p Value | |
|---|---|---|---|
| μg CO2 g soil-C−1 day−1 | Treatment | 56.28 | <0.0001 |
| Time | 1179.68 | <0.0001 | |
| Treatment × Time | 4.07 | <0.0001 | |
| μg CO2 g soil−1 day−1 | Treatment | 14.80 | <0.0001 |
| Time | 1546.33 | <0.0001 | |
| Treatment × Time | 14.55 | <0.0001 |
Reference
- Michelotti, L.A.; Miesel, J.R. Source material and concentration of wildfire-produced pyrogenic carbon influence post-fire soil nutrient dynamics. Forests 2015, 6, 1325–1342. [Google Scholar] [CrossRef]
© 2015 by the authors; licensee MDPI, Basel, Switzerland. This article is an open access article distributed under the terms and conditions of the Creative Commons Attribution license (http://creativecommons.org/licenses/by/4.0/).
Share and Cite
Michelotti, L.A.; Miesel, J.R. Michelotti, L. A. and Miesel J. R. Source Material and Concentration of Wildfire-Produced Pyrogenic Carbon Influence Post-Fire Soil Nutrient Dynamics. Forests 2015, 6, 1325–1342. Forests 2015, 6, 3683-3685. https://doi.org/10.3390/f6103683
Michelotti LA, Miesel JR. Michelotti, L. A. and Miesel J. R. Source Material and Concentration of Wildfire-Produced Pyrogenic Carbon Influence Post-Fire Soil Nutrient Dynamics. Forests 2015, 6, 1325–1342. Forests. 2015; 6(10):3683-3685. https://doi.org/10.3390/f6103683
Chicago/Turabian StyleMichelotti, Lucas A., and Jessica R. Miesel. 2015. "Michelotti, L. A. and Miesel J. R. Source Material and Concentration of Wildfire-Produced Pyrogenic Carbon Influence Post-Fire Soil Nutrient Dynamics. Forests 2015, 6, 1325–1342" Forests 6, no. 10: 3683-3685. https://doi.org/10.3390/f6103683
APA StyleMichelotti, L. A., & Miesel, J. R. (2015). Michelotti, L. A. and Miesel J. R. Source Material and Concentration of Wildfire-Produced Pyrogenic Carbon Influence Post-Fire Soil Nutrient Dynamics. Forests 2015, 6, 1325–1342. Forests, 6(10), 3683-3685. https://doi.org/10.3390/f6103683
