Biomass Stock and Carbon Sequestration in a Chronosequence of Pinus massoniana Plantations in the Upper Reaches of the Yangtze River
Abstract
:1. Introduction
2. Materials and Methods
2.1. Study Area
| Stand Age (Years) | Altitude (m) | Aspect | Slope Position | Mean DBH (cm) | Range (cm) | Mean Height (m) | Range (m) | Stand Density (tree·ha−1) | Soil Bulk Density (g·cm−3) | |
|---|---|---|---|---|---|---|---|---|---|---|
| 0–30-cm | 30–60-cm | |||||||||
| 3 | 470 | SE | Upper | 2.28 | 1.20–3.40 | 1.71 | 1.30–2.15 | 3500 | 1.12 ± 0.24 | 1.23 ± 0.21 |
| 5 | 427 | W | Middle | 4.40 | 3.30–6.80 | 4.53 | 4.20–4.80 | 3500 | 1.03 ± 0.25 | 1.37 ± 0.21 |
| 7 | 442 | NE | Upper | 6.60 | 4.80–9.00 | 4.85 | 4.20–5.63 | 3100 | 1.03 ± 0.13 | 1.05 ± 0.37 |
| 9 | 427 | W | Upper | 10.31 | 6.10–14.8 | 8.04 | 7.40–8.80 | 3100 | 0.95 ± 0.09 | 1.3 ± 0.17 |
| 12 | 445 | S | Lower | 10.61 | 7.40–16.1 | 9.95 | 9.60–10.4 | 3100 | 0.93 ± 0.08 | 1.12 ± 0.23 |
| 15 | 553 | W | Upper | 11.72 | 7.90–16.4 | 12.08 | 10.6–13.5 | 1600 | 1.18 ± 0.19 | 1.32 ± 0.09 |
| 19 | 479 | SW | Lower | 13.55 | 8.40–19.2 | 11.04 | 10.0–12.0 | 1800 | 1.15 ± 0.07 | 1.32 ± 0.05 |
| 29 | 382 | W | Upper | 20.64 | 16.7–26.1 | 14.25 | 12.8–15.3 | 1400 | 0.85 ± 0.26 | 1.32 ± 0.11 |
| 35 | 544 | W | Middle | 20.77 | 16.8–24.9 | 14.36 | 13.4–15.8 | 1400 | 1.21 ± 0.39 | 1.32 ± 0.05 |
| 42 | 400 | S | Ridge | 22.85 | 17.0–29.7 | 16.45 | 15.7–17.5 | 1100 | 0.94 ± 0.11 | 1.32 ± 0.05 |
2.2. Sampling and Biophysical Measurements
2.3. Soil Sampling
- ρb = bulk density of the soil in grams per cubic centimeter (g·cm−3),
- Ms = oven dry mass total sample in grams,
- Vt = core volume in cm3.
2.4. Biomass and Carbon Estimation of the Trees
- BV = aboveground biomass of the tree layer components,
- VOB = volume over bark (m3·ha−1),
- WD = volume-weighted average wood density (g·cm−3), to tonnes of oven dry biomass per cubic meter green volume,
- BGBD = Belowground biomass density (t·ha−1),
- AGBD = Aboveground biomass density (t·ha−1),
- DV = Default value for calculating belowground biomass density from the aboveground biomass density (%). DV = 0.2 for AGB < 125 t·ha−1, and 0.24 for AGB > 125 t·ha−1.
2.5. Soil Analysis
2.6. Calculation of Carbon Storage
2.7. Data Analysis
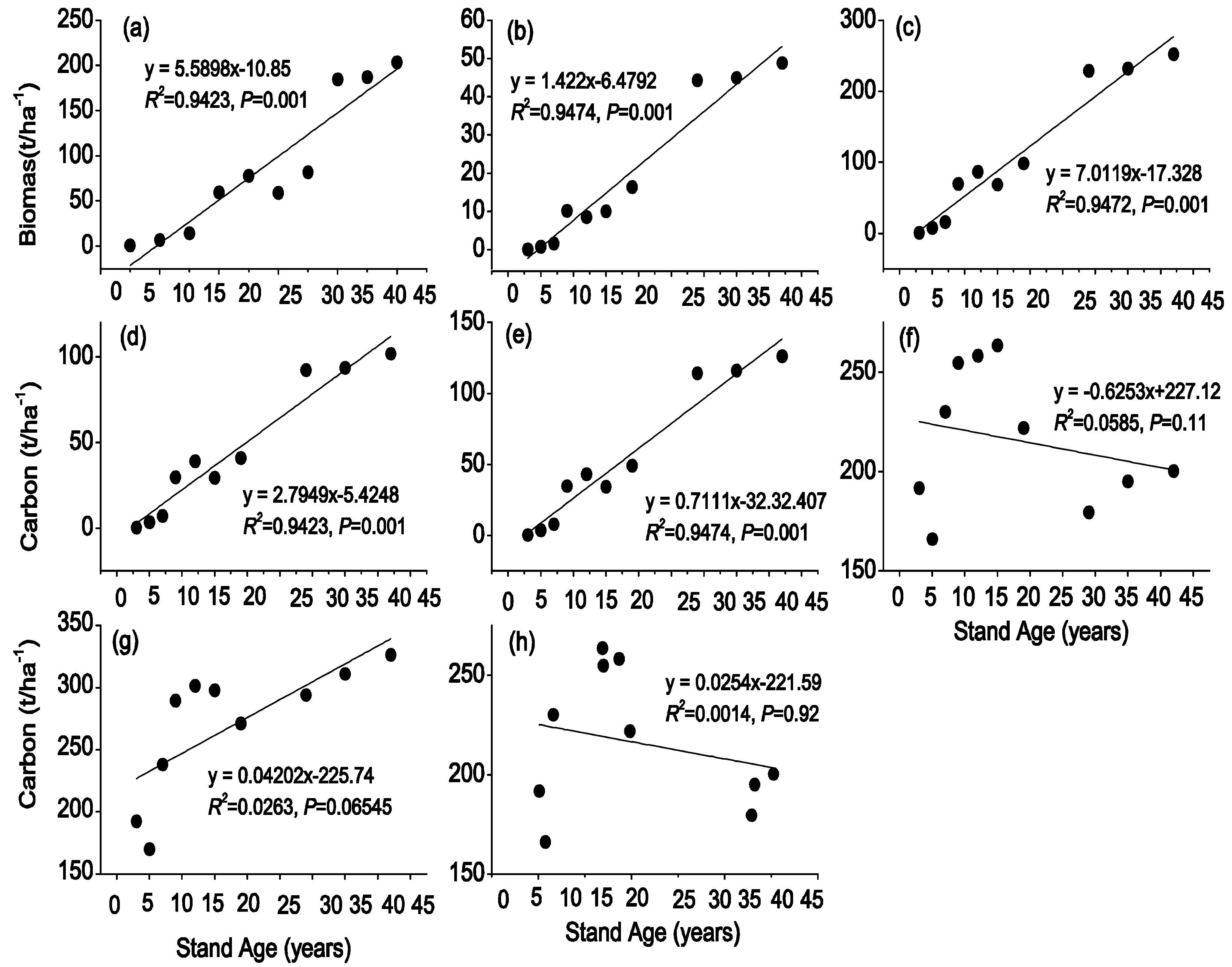
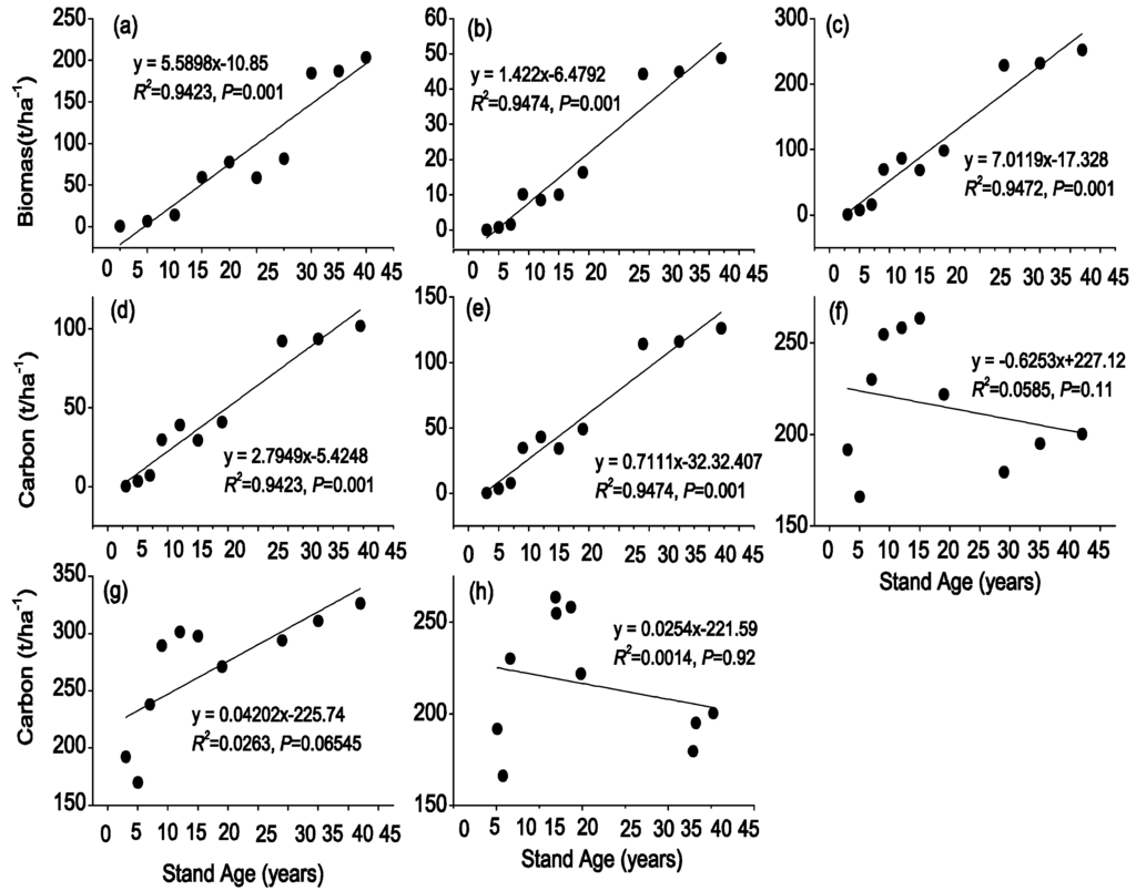
3. Results
3.1. Forest Biomass
| Stand Age (Years) | Aboveground Biomass | Belowground Biomass | Total Biomass | ||
|---|---|---|---|---|---|
| Biomass | % | Biomass | % | Biomass | |
| 3 | 0.74 ± 0.04 | 88.1 | 0.10 ± 0.03 | 11.9 | 0.84 ± 0.01 |
| 5 | 6.84 ± 3.43 | 90.24 | 0.74 ± 0.37 | 9.76 | 7.58 ± 3.80 |
| 7 | 14.39 ± 1.23 | 90.22 | 1.56 ± 0.13 | 9.78 | 15.95 ± 1.36 |
| 9 | 59.33 ± 8.72 | 85.32 | 10.21 ± 4.02 | 14.68 | 69.54 ± 12.13 |
| 12 | 78.11 ± 10.48 | 90.21 | 8.47 ± 1.14 | 9.78 | 86.59 ± 11.62 |
| 15 | 58.76 ± 1.03 | 85.49 | 9.97 ± 3.14 | 14.51 | 68.73 ± 3.53 |
| 19 | 81.90 ± 1.60 | 83.33 | 16.38 ± 0.32 | 16.67 | 98.28 ± 1.92 |
| 29 | 184.53 ± 8.58 | 80.65 | 44.29 ± 2.06 | 19.36 | 228.81 ± 10.65 |
| 35 | 187.21 ± 16.46 | 80.65 | 44.93 ± 3.95 | 19.35 | 232.14 ± 20.41 |
| 42 | 203.50 ± 15.12 | 80.64 | 48.84 ± 3.63 | 19.34 | 252.35 ± 18.75 |
| Mean | 87.53 ± 6.67 | 82.51 | 18.55 ± 1.88 | 17.49 | 106.08 ± 8.42 |
3.2. Carbon in the Mineral Soil
3.3. Carbon Storage in the Forest Ecosystem Components


| Stand Age (Years) | Vegetation Carbon Pool | Soil Carbon Pool | Total Ecosystem Carbon | ||||
|---|---|---|---|---|---|---|---|
| ABGC | BGC | ABGC + BGC | 0–30-cm Depth | 30–60-cm Depth | 0–60-cm Depth | ||
| 3 | 0.37 ± 0.02 | 0.05 ± 0.02 | 0.42 ± 0.00 | 156.78 ± 18.30 | 34.98 ± 11.99 | 191.77 ± 21.95 | 192.19 ± 21.95 |
| 5 | 3.42 ± 1.72 | 0.37 ± 0.19 | 3.79 ± 1.90 | 136.59 ± 15.44 | 29.51 ± 10.68 | 166.10 ± 23.95 | 169.90 ± 23.13 |
| 7 | 7.19 ± 0.61 | 0.78 ± 0.07 | 7.97 ± 0.68 | 157.53 ± 23.41 | 72.60 ± 12.34 | 230.13 ± 24.63 | 238.11 ± 25.31 |
| 9 | 29.67 ± 4.36 | 5.10 ± 2.01 | 34.77 ± 6.06 | 146.42 ± 21.04 | 108.32 ± 16.59 | 254.74 ± 19.23 | 289.51 ± 13.78 |
| 12 | 39.06 ± 5.24 | 4.24 ± 0.57 | 43.29 ± 5.81 | 156.32 ± 20.36 | 101.89 ± 20.19 | 258.20 ± 32.16 | 301.49 ± 27.00 |
| 15 | 29.38 ± 0.51 | 4.98 ± 1.57 | 34.36 ± 1.77 | 165.09 ± 18.17 | 98.44 ± 17.08 | 263.53 ± 31.60 | 297.89 ± 31.20 |
| 19 | 40.95 ± 0.80 | 8.19 ± 0.16 | 49.14 ± 0.96 | 146.65 ± 19.63 | 75.26 ± 8.04 | 221.91 ± 28.69 | 271.05 ± 28.23 |
| 29 | 92.26 ± 4.29 | 22.14 ± 1.03 | 114.41 ± 5.32 | 109.30 ± 11.48 | 70.27 ± 9.91 | 179.57 ± 11.92 | 293.98 ± 17.21 |
| 35 | 93.61 ± 8.23 | 22.47 ± 1.97 | 116.07 ± 10.20 | 154.77 ± 16.72 | 40.18 ± 5.48 | 194.95 ± 19.52 | 311.02 ± 26.55 |
| 42 | 101.75 ± 7.56 | 24.42 ± 1.81 | 126.17 ± 9.38 | 120.73 ± 19.64 | 79.56 ± 13.45 | 200.29 ± 30.43 | 326.46 ± 23.44 |
| Mean | 43.77 ± 3.33 | 9.27 ± 0.94 | 53.04 ± 4.21 | 145.02 ± 18.42 | 71.10 ± 12.57 | 216.12 ± 24.41 | 269.16 ± 23.78 |


4. Discussion
| S/No | Location | Stand Age (Years) | Species | Mean DBH (cm) | Mean H (m) | Density (Tree ha−1) | Stand (t·ha−1) | Sources | |
|---|---|---|---|---|---|---|---|---|---|
| County/Province | |||||||||
| 1 | Gao | Sichuan | 3 | P. massoniana | 2.28 | 1.71 | 3500 | 0.8 | This study |
| 2 | Gao | Sichuan | 5 | P. massoniana | 4.40 | 4.53 | 3500 | 7.6 | This study |
| 3 | Costa Rica | Caribbean region | 5 | H. alchorneoides | - | - | - | 14.9 | Fonseca et al., [46] |
| 4 | Gao | Sichuan | 7 | P. massoniana | 6.60 | 4.85 | 3100 | 17.0 | This study |
| 5 | Gao | Sichuan | 9 | P. massoniana | 10.31 | 8.04 | 3100 | 70.4 | This study |
| 6 | Costa Rica | Caribbean region | 9 | H. alchorneoides | - | - | - | 111.1 | Fonseca et al., [46] |
| 7 | Gao | Sichuan | 12 | P. massoniana | 10.61 | 9.95 | 3100 | 86.6 | This study |
| 8 | Longli | Guizhou | 12 | P. massoniana | 7.67 | 8.50 | 6435 | 86.9 | Ding et al., [47] |
| 9 | Costa Rica | Caribbean region | 12 | H. alchorneoides | - | - | - | 125.1 | Fonseca et al., [46] |
| 10 | Daqingshan | Guanxi | 13 | P. massoniana | 14.70 | 10.60 | 1379 | 78.8 | Kang Bing et al., [48] |
| 11 | Jianou | Fujian | 14 | P. massoniana | 10.01 | 10.02 | 2500 | 93.4 | Wu et al., [49] |
| 12 | Costa Rica | Caribbean region | 14 | H. alchorneoides | - | - | - | 115.3 | Fonseca et al., [46] |
| 13 | Southern | Ontario | 15 | Pinus strobus | 15.8 | 9.1 | 1242 | 96.7 | Peichl and Arain [3] |
| 14 | Gao | Sichuan | 15 | P. massoniana | 11.72 | 12.08 | 1600 | 68.7 | This study |
| 15 | Liling | Hunan | 16 | P. massoniana | 10.62 | 10.50 | 2500 | 78.5 | Chen et al., [50] |
| 16 | Costa Rica | Caribbean region | 16 | H. alchorneoides | - | - | - | 146.5 | Fonseca et al., [46] |
| 17 | Dinghushan | 15–50 | P. massoniana | 24.5 | 9.0 | 213 | 142.7 | Fang Yun et al., [51] | |
| 18 | Gao | Sichuan | 19 | P. massoniana | 13.55 | 11.04 | 1800 | 98.3 | This study |
| 19 | Huitong | Hunan | 20 | P. massoniana | 14.40 | 12.50 | 1750 | 100.0 | Chu et al., [52] |
| 20 | Gao | Sichuan | 29 | P. massoniana | 20.64 | 14.25 | 1400 | 228.8 | This study |
| 21 | Longli | Guizhou | 30 | P. massoniana | 19.40 | 18.00 | 1140 | 234.1 | Ding et al., [47] |
| 22 | Southern | Ontario | Pinus strobus | 15.6 | 11.2 | 1492 | 128.0 | Peichl and Arain [3] | |
| 23 | Gao | Sichuan | 35 | P. massoniana | 20.77 | 14.36 | 1400 | 232.1 | This study |
| 24 | Dinghushan | 9–70 | P. massoniana | 21.8 | 11.1 | 282 | 200.4 | Fang Yun et al., [51] | |
| 25 | Gao | Sichuan | 42 | P. massoniana | 22.85 | 16.45 | 1100 | 252.4 | This study |
| 26 | Southern | Ontario | 65 | Pinus strobus | 34.6 | 20.20 | 429 | 253.8 | Peichl and Arain [3] |
5. Conclusions
Acknowledgments
Author Contributions
References
- SCRIPPS. Institution of Oceanography; The Keeling Curve UC Sandiego. Available online: http://keelingcurve.ucsd.edu 2013 (accessed on 12 August 2015).
- National Oceanic and Atmospheric Administration (NOAA). Trends in Atmospheric Carbon Dioxede. Available online: http://www.esrl.noaa.gov/gmd/ccgg/trends/global.html (accessed on 14 August 2015).
- Peichl, M.; Arain, M.A. Above-and belowground ecosystem biomass and carbon pools in an age-sequence of temperate pine plantation forests. Agric. For. Meteorol. 2006, 140, 51–63. [Google Scholar] [CrossRef]
- Taylor, A.R.; Wang, J.R.; Chen, H.Y. Carbon storage in a chronosequence of red spruce (Picea rubens) forests in central Nova Scotia, Canada. Can. J. For. Res. 2007, 37, 2260–2269. [Google Scholar] [CrossRef]
- Thomas, S.C.; Martin, A.R. Carbon content of tree tissues: A synthesis. Forests 2012, 3, 332–352. [Google Scholar] [CrossRef]
- Schimel, D.S.; House, J.I.; Hibbard, K.A.; Bousquet, P.; Ciais, P.; Peylin, P.; Braswell, B.H.; Apps, M.J.; Baker, D.; Bondeau, A.; et al. Recent patterns and mechanisms of carbon exchange by terrestrial ecosystems. Nature 2001, 414, 169–172. [Google Scholar] [CrossRef]
- Watson, R.T.; Noble, I.R.; Bolin, B.; Ravindranath, N.; Verardo, D.J.; Dokken, D.J. Land Use, Land-Use Change and Forestry: A Special Report of the Intergovernmental Panel on Climate Change; Cambridge University Press: Cambridge, UK, 2000. [Google Scholar]
- Lorenz, K.L.R. Carbon Sequestration in Forest Ecosystems; Springer SBM: Dordrecht, the Netherlands, 2009. [Google Scholar]
- Davis, M.R.; Allen, R.B.; Clinton, P.W. Carbon storage along a stand development sequence in a New Zealand Nothofagus forest. For. Ecol. Manag. 2003, 177, 313–321. [Google Scholar] [CrossRef]
- Food and Agricultural Organization. Global Forest Resources Assessment; Progress towards Sustainable Forest Management; FAO Forestry Paper 147; FAO: Rome, Italy, 2006; Available online: ftp://ftp.fao.org/docrep/fao/008/A0400E/A0400E00.pdf/ 2006 (accessed on 10 November 2014).
- Dixon, R.K.; Solomon, A.; Brown, S.; Houghton, R.; Trexier, M.; Wisniewski, J. Carbon pools and flux of global forest ecosystems. Science 1994, 263, 185–190. [Google Scholar] [CrossRef] [PubMed]
- Food and Agricultural Organization. Global Forest Resources Assessment; Guidelines for Reporting to FRA; Working Paper 143; FAO: Rome, Italy, 2010; Available online: http://www.fao.org/forestry/fra/67094/en// (accessed on 12 December 2014).
- FAO. Global Forest Resources Assessment. Main Report; FAO Forestry Paper 163; FAO: Rome, Italy, 2010; Available online: www.fao.org/docrep/013/i1757e/i1757e.pdf/ 2010 (accessed on 25 December 2014).
- Canadell, J.G.; Kirschbaum, M.U.; Kurz, W.A.; Sanz, M.J.; Schlamadinger, B.; Yamagata, Y. Factoring out natural and indirect human effects on terrestrial carbon sources and sinks. Environ. Sci. Policy 2007, 10, 370–384. [Google Scholar] [CrossRef]
- Zhang, X.Q.; Xu, D. Potential carbon sequestration in China’s forests. Environ. Sci. Policy 2003, 6, 421–432. [Google Scholar] [CrossRef]
- Fang, J.; Guo, Z.; Piao, S.; Chen, A. Terrestrial vegetation carbon sinks in China, 1981–2000. Sci. China Ser. D Earth Sci. 2007, 50, 1341–1450. [Google Scholar] [CrossRef]
- State Forestry Administration of China. China’s Forestry 2009–2013; China Forestry Publishing House: Beijing, China, 2014. Available online: http://english.forestry.gov.cn/uploads/Information_Services/Latest_Publication/Forestry_in_China.pdf (accessed on 14 June 2015).
- Huang, L.; Liu, J.; Shao, Q.; Xu, X. Carbon sequestration by forestation across China: Past, present, and future. Renew. Sustain. Energy Rev. 2012, 16, 1291–1299. [Google Scholar] [CrossRef]
- Pregitzer, K.S.; Euskirchen, E.S. Carbon cycling and storage in world forests: Biome patterns related to forest age. Glob. Chang. Biol. 2004, 10, 2052–2077. [Google Scholar] [CrossRef]
- Piao, S.; Fang, J.; Ciais, P.; Peylin, P.; Huang, Y.; Sitch, S.; Wang, T. The carbon balance of terrestrial ecosystems in China. Nature 2009, 458, 1009–1013. [Google Scholar] [CrossRef] [PubMed]
- State Forestry Administration. The 7th National forest inventory and status of forest resources. For. Resour. Manag. 2010, 1, 3–10. [Google Scholar]
- State Forestry Administration. China’s Forestry 1999–2005; China Forestry Publishing House: Beijing, China, 2007. [Google Scholar]
- Silver, W.L.; Kueppers, L.M.; Lugo, A.E.; Ostertag, R.; Matzek, V. Carbon sequestration and plant community dynamics following reforestation of tropical pasture. Ecol. Appl. 2004, 14, 1115–1127. [Google Scholar] [CrossRef]
- Pibumrung, P.; Gajaseni, N.; Popan, A. Profiles of carbon stocks in forest, reforestation and agricultural land, Northern Thailand. J. For. Res. 2008, 19, 11–18. [Google Scholar]
- Stinson, G.; Kurz, W.; Smyth, C.; Neilson, E.; Dymond, C.; Metsaranta, J.; Boisvenue, C.; Rampley, G.J.; Li, Q.; White, T.M.; et al. An inventory-based analysis of Canada’s managed forest carbon dynamics, 1990 to 2008. Glob. Chang. Biol. 2011, 17, 2227–2244. [Google Scholar] [CrossRef]
- IPCC. Land Use, Land-Use Change, and Forestry; Special Report of the IPCC; Cambridge University Press: Cambridge, UK; New York, NY, USA, 2000; p. 377. [Google Scholar]
- Lal, R. Global soil erosion by water and carbon dynamics. In Soils and Globle Change; Lal, R., Kimble, J., Levine, E., Stewart, B.A., Eds.; Lewis Publishers: Boca Raton, FL, USA, 1995; pp. 131–142. [Google Scholar]
- Sundquist, E.T. The global carbon dioxide budget. Science 1993, 259, 934–941. [Google Scholar] [CrossRef]
- Kimble, J.M.; Rice, C.W.; Reed, D.; Mooney, S.; Follett, R.F.; Lal, R. Soil Carbon Management: Economic, Environmental and Societal Benefits; CRC Press: Boca Raton, FL, USA, 2007. [Google Scholar]
- Mirov, N.T. The Genus Pinus; The Ronald Press Company: New York, NY, USA, 1967. [Google Scholar]
- Michéli, E.; Schad, P.; Spaargaren, O.; Dent, D.; Nachtergaele, F. World Reference Base for Soil Resources: A Framework for International Classification, Correlation and Communication; FAO: Rome, Italy, 2006. [Google Scholar]
- IPCC. Good Practice Guidance for Land Use, Land-Use Change and Forestry, the National Greenhouse Gas Inventories Programme, the Intergovernmental Panel on Climate Change; Institute for Global Environmental Strategies (IGES) for the IPCC: Hayama, Japan, 2003; pp. 1–275. [Google Scholar]
- Lal, R.; Shukla, M.K. Principles of Soil Physics; CRC Press: Boca Raton, FL, USA, 2004. [Google Scholar]
- White, E.; Pritchett, W.L. Water table control and fertilization for Pine production in the flatwoods. In Technical Bulletin; Florida Agricultural Experiment Station: Gainesville, FL, USA, 1970. [Google Scholar]
- Food and Agricultural Organization. Global Forest Resources Assessment; Country Report China; FAO: Rome, Italy, 2010; Available online: http://www.forestcarbonasia.org/other-publications/2010 (accessed on 18 February 2015).
- Lu, R. Soil and Agro-Chemical Analytical Methods; China Agricultural Science and Technology Press: Beijing, China, 1999; p. 146. [Google Scholar]
- Brown, S.; Lugo, A.E. The storage and production of organic matter in tropical forests and their role in the global carbon cycle. Biotropica 1982, 14, 161–187. [Google Scholar] [CrossRef]
- Malhi, Y.; Baker, T.R.; Phillips, O.L.; Almeida, S.; Alvarez, E.; Arroyo, L.; Chave, J.; Czimczik, C.I.; Fiore, A.D.; Higuchi, N.; et al. The above-ground coarse wood productivity of 104 Neotropical forest plots. Glob. Chang. Biool. 2004, 10, 563–591. [Google Scholar] [CrossRef]
- Broos, K.; Baldock, J. Building Soil Carbon for Productivity and Implications for Carbon Accounting. In South Australian GRDC Grains Research Updates; CSIRO Publishing: Clayton South, Australia, 2008. [Google Scholar]
- Pearson, T.R.; Brown, S.L.; Birdsey, R.A. Measurement Guidelines for the Sequestration of Forest Carbon; US Department of Agriculture, Forest Service, Northern Research Station: Washington, DC, USA, 2007.
- Odum, E.P. The strategy of ecosystem development. Sustainability 1969, 164, 58. [Google Scholar] [CrossRef]
- Ryan, M.; Binkley, D.; Fownes, J. Age-related decline in forest productivity. Adv. Ecol. Res. 1997, 27, 213–262. [Google Scholar]
- Bond-Lamberty, B.; Wang, C.; Gower, S.T. Net primary production and net ecosystem production of a boreal black spruce wildfire chronosequence. Glob. Chang. Biol. 2004, 10, 473–487. [Google Scholar] [CrossRef]
- Gower, S.T.; McMurtrie, R.E.; Murty, D. Aboveground net primary production decline with stand age: Potential causes. Trends Ecol. Evol. 1996, 11, 378–382. [Google Scholar] [CrossRef]
- Rothstein, D.E.; Yermakov, Z.; Buell, A.L. Loss and recovery of ecosystem carbon pools following stand-replacing wildfire in Michigan jack pine forests. Can. J. For. Res. 2004, 34, 1908–1918. [Google Scholar] [CrossRef]
- Fonseca, W.; Federico, E.A.; Rey-Benayas, J.M. Carbon accumulation in aboveground and belowground biomass and soil of different age native forest plantations in the humid tropical lowlands of Costa Rica. New For. 2011. [Google Scholar] [CrossRef]
- Ding, G.; Wang, P. Study on change laws of biomass and productivity of masson pine forest plantation II. Biomass and productivity of stand at different ages. For. Res. 2001, 15, 54–60. [Google Scholar]
- Kang, B.; Liu, S.; Zhang, G.; Chang, J.; Wen, Y.; Ma, J.; Hao, W.F. Carbon accumulation and distribution in Pinus massoniana and Cunninghamia lanceolata mixed forest ecosystem in Daqingshan, Guangxi, China. Acta Ecol. Sin. 2006, 26, 1320–1327. [Google Scholar] [CrossRef]
- Wu, S.R.; Yang, H.Q.; Hong, R.; Zhu, W.; Chen, X.Q. Studies on the biomass of Pinus massoniana plantations and its structure. J. Fujitsu For. Technol. Sci. 1999, 26, 18–21. [Google Scholar]
- Chen, Z.; He, Y.; Bai, F.; Zhang, J.; Li, Z. Effects of stand density on the biomass and productivity of Pinus massoniana air-sowing stands. J. Cent. South For. Univ. 2001, 21, 44–47. [Google Scholar]
- Fang, Y.T.; Ming, M.J.; Huang, Z.L.; Ouyang, X.J. Carbon allocation and distribution in Pinus massoniana and Schima superba in mixed forest ecosystem of Dinghusan Biosphere Reserve. J. Trop. Subtrop. Bot. 2003, 11, 47–52. [Google Scholar]
- Chu, Y.C.; Feng, Z.W.; Zhang, J.W.; Wang, K.P.; Zhao, J.L.; Gao, H. Determination of biomass of Pinus massoniana stand in Huitong county, Hunan province. J. Sci. Silv. Sin. 1982, 2, 2. [Google Scholar]
- Singh, P.; Dubey, P.; Jha, K. Biomass production and carbon storage at harvest age in superior Dendrocalamus strictus Nees. plantation in dry deciduous forest region of India. Indian J. For. 2006, 29, 353–360. [Google Scholar]
- Bradford, J.B.; Kastendick, D.N. Age-related patterns of forest complexity and carbon storage in pine and aspen-birch ecosystems of northern Minnesota, USA. Can. J. For. Res. 2010, 40, 401–409. [Google Scholar] [CrossRef]
- Vesterdal, L.; Rosenqvist, L.; van der Salm, C.; Hansen, K.; Groenenberg, B.J.; Johansson, M.B. Carbon Sequestration in Soil and Biomass Following Afforestation: Experiences from Oak and Norway Spruce Chronosequences in Denmark, Sweden and the Netherlands. Environmental Effects of Afforestation in North-Western Europe; Springer: Berlin, Germany; Heidelberg, Germany, 2007; pp. 19–51. [Google Scholar]
- Cao, J.; Wang, X.; Tian, Y.; Wen, Z.; Zha, T. Pattern of carbon allocation across three different stages of stand development of a Chinese pine (Pinus tabulaeformis) forest. Ecol. Res. 2012, 27, 883–892. [Google Scholar] [CrossRef]
- Zhou, Y.R.; Yu, Z.L.; Zhao, S.D. Carbon storage and budget of major Chinese forest types. Acta Phytoecol. Sin. 2000, 24, 518–522. [Google Scholar]
- Gao, Y.; Cheng, J.; Ma, Z.; Zhao, Y.; Su, J. Carbon storage in biomass, litter, and soil of different plantations in a semiarid temperate region of northwest China. Ann. For. Sci. 2014, 71, 427–435. [Google Scholar] [CrossRef]
- Lal, R. Soil carbon sequestration to mitigate climate change. Geoderma 2004, 123, 1–22. [Google Scholar] [CrossRef]
- Hooker, T.D.; Compton, J.E. Forest ecosystem carbon and nitrogen accumulation during the first century after agricultural abandonment. Ecol. Appl. 2003, 13, 299–313. [Google Scholar] [CrossRef]
© 2015 by the authors; licensee MDPI, Basel, Switzerland. This article is an open access article distributed under the terms and conditions of the Creative Commons Attribution license (http://creativecommons.org/licenses/by/4.0/).
Share and Cite
Justine, M.F.; Yang, W.; Wu, F.; Tan, B.; Khan, M.N.; Zhao, Y. Biomass Stock and Carbon Sequestration in a Chronosequence of Pinus massoniana Plantations in the Upper Reaches of the Yangtze River. Forests 2015, 6, 3665-3682. https://doi.org/10.3390/f6103665
Justine MF, Yang W, Wu F, Tan B, Khan MN, Zhao Y. Biomass Stock and Carbon Sequestration in a Chronosequence of Pinus massoniana Plantations in the Upper Reaches of the Yangtze River. Forests. 2015; 6(10):3665-3682. https://doi.org/10.3390/f6103665
Chicago/Turabian StyleJustine, Meta Francis, Wanqin Yang, Fuzhong Wu, Bo Tan, Muhammad Naeem Khan, and Yeyi Zhao. 2015. "Biomass Stock and Carbon Sequestration in a Chronosequence of Pinus massoniana Plantations in the Upper Reaches of the Yangtze River" Forests 6, no. 10: 3665-3682. https://doi.org/10.3390/f6103665
APA StyleJustine, M. F., Yang, W., Wu, F., Tan, B., Khan, M. N., & Zhao, Y. (2015). Biomass Stock and Carbon Sequestration in a Chronosequence of Pinus massoniana Plantations in the Upper Reaches of the Yangtze River. Forests, 6(10), 3665-3682. https://doi.org/10.3390/f6103665

