Mapping Forest Biomass Using Remote Sensing and National Forest Inventory in China
Abstract
:1. Introduction
2. Data and Methods
2.1. Data
2.1.1. Forest Inventory Data
2.1.2. MODIS Land Cover Data
| Class | Type | Class | Type |
|---|---|---|---|
| 0 | Water | 9 | Savannas |
| 1 | Evergreen Needleleaf forest | 10 | Grasslands |
| 2 | Evergreen Broadleaf Forest | 11 | Permanent Wetlands |
| 3 | Deciduous Needleleaf Forest | 12 | Croplands |
| 4 | Deciduous Broadleaf Forest | 13 | Urban and Built-Up Lands |
| 5 | Mixed Forest | 14 | Cropland/Natural Vegetation Mosaic |
| 6 | Closed Shrublands | 15 | Snow and Ice |
| 7 | Open Shrublands | 16 | Barren or sparsely vegetated |
| 8 | Woody Savannas | 17 | Fill Value/Unclassified |
2.2. Methods
2.2.1. Preparation of Biomass Statistics

2.2.2. Forest Area Calibration Process

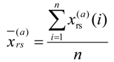
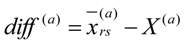
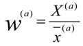
represents the image-estimated mean coverage for the land cover type a in the province; X(a) is the accurate mean forest or non-forest coverage based on inventory statistics, which was calculated as the ratio of total forest or non-forest area obtained from inventory statistics to the land area calculated from the image of the calibration province; W (a) is the adjust coefficient to match the coverage estimate from image to statistics;
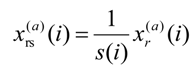
is the adjusted proportion for the land cover a in a pixel (i); S (i) is the sum of the calibrated proportions of the two land cover types in a pixel (i); To confirm the sum value is 100% for each pixel, the sum value is scaled by deriving a ratio for each pixel: 1/ S (i);
is the calibrated and scaled proportion estimate for land cover type a in a pixel (i).
is the recalculated image-estimated mean coverage for the land cover type a in the province. diff (a) represents the difference between forest coverage estimated from calibrated image and that from the inventory statistics.2.2.3. Downscaling
is the forest biomass in a pixel (i) (Mg ha−1); B(a) is the total forest biomass of a province from the statistics (Mg); A(a) is the forest area of a province estimated from the calibrated map (ha), which also matched the inventory statistics;
is the calibrated and scaled forest proportion estimate in a pixel (i).3. Results and Discussion
3.1. Calibration of Forest Area

3.2. Downscaling


3.3. Spatial Distribution of Biomass

3.4. Accuracy Assessment



3.5. Uncertainty
4. Conclusions
Acknowledgments
Author Contributions
Conflicts of Interest
References
- Le Toan, T.; Quegan, S.; Davidson, M.W.J.; Balzter, H.; Paillou, P.; Papathanassiou, K.; Plummer, S.; Rocca, F.; Saatchi, S.; Shugart, H.; et al. The BIOMASS mission: Mapping global forest biomass to better understand the terrestrial carbon cycle. Remote Sens. Environ. 2011, 115, 2850–2860. [Google Scholar] [CrossRef]
- Sessa, R.; Dolman, H. (Eds.) Terrestrial Essential Climate Variables for Climate Change Assessment, Mitigation and Adaptation; FAO GTOS-52: Rome, Italy, 2008; p. 40. Available online: http://www.fao.org/gtos/doc/pub52.pdf (accessed on 12 January 2014).
- Wang, B.; Wang, D.; Niu, X. Past, present and future forest resources in China and the implications for carbon sequestration dynamics. J. Food Agric. Environ. 2013, 11, 801–806. [Google Scholar]
- Piao, S.; Fang, J.; Ciais, P.; Peylin, P.; Huang, Y.; Sitch, S.; Wang, T. The carbon balance of terrestrial ecosystems in China. Nature 2009, 458, 1009–1013. [Google Scholar] [CrossRef]
- Brown, S. Measuring carbon in forests: Current status and future challenges. Environ. Pollut. 2002, 116, 363–372. [Google Scholar] [CrossRef]
- Lu, D.S. The potential and challenge of remote sensing-based biomass estimation. Int. J. Remote Sens. 2006, 27, 1297–1328. [Google Scholar] [CrossRef]
- Ji, L.; Wylie, B.K.; Nossov, D.R.; Peterson, B.; Waldrop, M.P.; McFarland, J.W.; Rover, J.; Hollingsworth, T.N. Estimating aboveground biomass in interior Alaska with Landsat data and field measurements. Int. J. Appl. Earth Obs. Geoinfor. 2012, 18, 451–461. [Google Scholar] [CrossRef]
- Rauste, Y. Multi-temporal JERS SAR data in boreal forest biomass mapping. Remote Sens. Environ. 2005, 97, 263–275. [Google Scholar] [CrossRef]
- Goetz, S.J.; Baccini, A.; Laporte, N.T.; Johns, T.; Walker, W.; Kellndorfer, J.; Houghton, R.A.; Sun, M. Mapping and monitoring carbon stocks with satellite observations: A comparison of methods. Carbon Balance Manag. 2009, 4. [Google Scholar] [CrossRef]
- Wulder, M.A.; White, J.C.; Fournier, R.A.; Luther, J.E.; Magnussen, S. Spatially explicit large area biomass estimation: Three approaches using forest inventory and remotely sensed imagery in a GIS. Sensors 2008, 8, 529–560. [Google Scholar] [CrossRef]
- Gallaun, H.; Zanchi, G.; Nabuurs, G.; Hengeveld, G.; Schardt, M.; Verkerk, P.J. EU-wide maps of growing stock and above-ground biomass in forests based on remote sensing and field measurements. Forest Ecol. Manag. 2010, 260, 252–261. [Google Scholar] [CrossRef]
- Blackard, J.A.; Finco, M.V.; Helmer, E.H.; Holden, G.R.; Hoppus, M.L.; Jacobs, D.M.; Lister, A.J.; Moisen, G.G.; Nelson, M.D.; Riemann, R.; et al. Mapping US forest biomass using nationwide forest inventory data and moderate resolution information. Remote Sens. Environ. 2008, 112, 1658–1677. [Google Scholar]
- Kindermann, G.E.; McCallum, I.; Fritz, S.; Obersteiner, M. A global forest growing stock, biomass and carbon map based on FAO statistics. Silva Fenn. 2008, 42, 387–396. [Google Scholar]
- Liu, S.N.; Zhou, T.; Shu, Y.; Dai, M.; Wei, L.Y.; Zhang, X. The estimating of the spatial distribution of forest biomass in china based on remote sensing and downscaling techniques. Acta. Ecologica. Sinica. 2012, 32, 2320–2330. (in Chinese). [Google Scholar] [CrossRef]
- Zheng, D.L.; Heath, L.S.; Ducey, M.J. Satellite detection of land-use change and effects on regional forest aboveground biomass estimates. Environ. Monit. Assess. 2008, 144, 67–79. [Google Scholar]
- Päivinen, R.; van Brusselen, J.; Schuck, A. The growing stock of European forests using remote sensing and forest inventory data. Forestry 2009, 82, 479–490. [Google Scholar] [CrossRef]
- Päivinen, R.; Lehikoinen, M.; Schuck, A.; Häme, T.; Väätäinen, S.; Kennedy, P.; Folving, S. Combining Earth Observation Data and Forest Statistics; EFI Research Report 14. European Forest Institute, Joint Research Centre-European Commission, EUR 19911 EN: Joensuu, Finland; Ispra, Italy, 2001; p. 101. Available online: http://fefr.org/files/attachments/publications/efi_rr14.pdf (accessed on 12 January 2014).
- Sexton, J.O.; Song, X.P.; Feng, M.; Noojipady, P.; Anand, A.; Huang, C.Q.; Kim, D.H.; Collins, K.M.; Channan, S.; DiMiceli, C.; et al. Global, 30-m resolution continuous fields of tree cover: Landsat-based rescaling of MODIS vegetation continuous fields with lidar-based estimates of error. Int. J. Digit. Earth 2013, 6, 427–448. [Google Scholar] [CrossRef]
- Hansen, M.C.; Potapov, P.V.; Moore, R.; Hancher, M.; Turubanova, S.A.; Tyukavina, A.; Thau, D.; Stehman, S.V.; Goetz, S.J.; Loveland, T.R.; et al. High-Resolution Global Maps of 21st-Century Forest Cover Change. Science 2013, 342, 850–853. [Google Scholar] [CrossRef]
- De Jong, R.; Schaepman, M.E.; Furrer, R.; de Bruin, S.; Verburg, P.H. Spatial relationship between climatologies and changes in global vegetation activity. Glob. Chang. Biol. 2013, 19, 1953–1964. [Google Scholar] [CrossRef]
- Fang, J.Y.; Chen, A.P.; Peng, C.H.; Zhao, S.Q.; Ci, L. Changes in forest biomass carbon storage in China between 1949 and 1998. Science 2001, 292, 2320–2322. [Google Scholar] [CrossRef]
- Xu, X.L.; Cao, M.K.; Li, K.R. Temporal- spatial dynamics of carbon storage of forest vegetation in China. Prog. Geogr. 2007, 26, 1–10. (in Chinese). [Google Scholar]
- Zhang, C.; Ju, W.; Chen, J.M.; Zan, M.; Li, D.; Zhou, Y.; Wang, X. China’s forest biomass carbon sink based on seven inventories from 1973 to 2008. Clim. Chang. 2013, 118, 933–948. [Google Scholar]
- Guo, Z.; Hu, H.; Li, P.; Li, N.; Fang, J. Spatio-temporal changes in biomass carbon sinks in China’s forests from 1977 to 2008. Sci. China Life Sci. 2013, 56, 661–671. [Google Scholar] [CrossRef]
- Xiao, X.W. Study on Forest Biomass and Productivity in China. PhD Thesis, Northeast Forest University, Harbin, China, 2005. [Google Scholar]
- Piao, S.; Fang, J.; Zhu, B.; Tan, K. Forest biomass carbon stocks in China over the past 2 decades: Estimation based on integrated inventory and satellite data. J. Geophys. Res. 2005, 110. [Google Scholar] [CrossRef]
- NASA Land Data Products and services. Available online: https://lpdaac.usgs.gov/products (accessed on 12 April 2013).
- Verburg, P.H.; Neumann, K.; Nol, L. Challenges in using land use and land cover data for global change studies. Glob. Chang. Biol. 2011, 17, 974–989. [Google Scholar] [CrossRef]
- Herold, M.; Mayaux, P.; Woodcock, C.E.; Baccini, A.; Schmullius, C. Some challenges in global land cover mapping: An assessment of agreement and accuracy in existing 1 km datasets. Remote Sens. Environ. 2008, 112, 2538–2556. [Google Scholar] [CrossRef]
- Jia, S.; Zhu, W.; Lu, A.; Yan, T. A statistical spatial downscaling algorithm of TRMM precipitation based on NDVI and DEM in the Qaidam Basin of China. Remote Sens. Environ. 2011, 115, 3069–3079. [Google Scholar] [CrossRef]
- Dai, M.; Zhou, T.; Yang, L.L.; Jia, G.S. Spatial pattern of forest ages in China retrieved from national-level inventory and remote sensing imageries. Geogr. Res. 2011, 30, 172–184. (in Chinese). [Google Scholar]
- Chen, Q.; Xu, W.; Li, S.; Fu, S.; Yan, J. Aboveground biomass and corresponding carbon sequestration ability of four major forest types in south China. Chin. Sci. Bull. 2013, 58, 1551–1557. [Google Scholar] [CrossRef]
- Zheng, G.; Chen, J.M.; Tian, Q.J.; Ju, W.M.; Xia, X.Q. Combining remote sensing imagery and forest age inventory for biomass mapping. J. Environ. Manag. 2007, 85, 616–623. [Google Scholar] [CrossRef]
- Huang, L.; Liu, J.Y.; Shao, Q.Q.; Xu, X.L. Carbon sequestration by forestation across China: Past, present, and future. Renew. Sust. Energ. Rev. 2012, 16, 1291–1299. [Google Scholar] [CrossRef]
- State Forestry Administration. Atlas of Forest Resources of China; (in Chinese). China Forestry Publishing House: Beijing, China, 2010. [Google Scholar]
- Li, H.K.; Lei, Y.C. Assessments of Forest Biomass and Carbon Storage in China; China Forestry Publishing House: Beijing, China, 2010. [Google Scholar]
© 2014 by the authors; licensee MDPI, Basel, Switzerland. This article is an open access article distributed under the terms and conditions of the Creative Commons Attribution license (http://creativecommons.org/licenses/by/3.0/).
Share and Cite
Du, L.; Zhou, T.; Zou, Z.; Zhao, X.; Huang, K.; Wu, H. Mapping Forest Biomass Using Remote Sensing and National Forest Inventory in China. Forests 2014, 5, 1267-1283. https://doi.org/10.3390/f5061267
Du L, Zhou T, Zou Z, Zhao X, Huang K, Wu H. Mapping Forest Biomass Using Remote Sensing and National Forest Inventory in China. Forests. 2014; 5(6):1267-1283. https://doi.org/10.3390/f5061267
Chicago/Turabian StyleDu, Ling, Tao Zhou, Zhenhua Zou, Xiang Zhao, Kaicheng Huang, and Hao Wu. 2014. "Mapping Forest Biomass Using Remote Sensing and National Forest Inventory in China" Forests 5, no. 6: 1267-1283. https://doi.org/10.3390/f5061267
APA StyleDu, L., Zhou, T., Zou, Z., Zhao, X., Huang, K., & Wu, H. (2014). Mapping Forest Biomass Using Remote Sensing and National Forest Inventory in China. Forests, 5(6), 1267-1283. https://doi.org/10.3390/f5061267

