Next Article in Journal / Special Issue
The Color of Wood Related to Its Structure in Silver Fir Trees from Old-Growth Carpathian Forests
Previous Article in Journal
Spatiotemporal Shifts in Habitat Suitability of Malus sieversii and Prunus cerasifera in the Ili Valley Under Climate Change
Previous Article in Special Issue
Influence of Fire Retardant Treatment, Humidity Changes and UV Exposure on the Color Changes of Scots Pine (Pinus sylvestris L.) Wood for Visible Building Applications
 
 
Font Type:
Arial Georgia Verdana
Font Size:
Aa Aa Aa
Line Spacing:
Column Width:
Background:
Article

Effects of Growing Sites on the Color Variations in Black Locust (Robinia pseudoacacia L.) Wood

1
Faculty of Wood Engineering and Creative Industries, University of Sopron, Bajcsy-Zsilinszky 4, 9400 Sopron, Hungary
2
CSIR—Forestry Research Institute of Ghana, Kumasi P.O. Box 63, Ghana
3
Faculty of Forest Sciences and Technology, University of Gezira, Wad Medani P.O. Box 20, Sudan
*
Author to whom correspondence should be addressed.
Forests 2026, 17(4), 471; https://doi.org/10.3390/f17040471 (registering DOI)
Submission received: 20 February 2026 / Revised: 27 March 2026 / Accepted: 8 April 2026 / Published: 11 April 2026
(This article belongs to the Special Issue Phenomenon of Wood Colour—2nd Edition)

Abstract

The influence of growing site conditions on the chromatic properties of heartwood in black locust (Robinia pseudoacacia L.) cultivar ‘Nyírségi’ sampled from five regions of Hungary was investigated in this study. A total of 23 boards (average age of trees: 34.5 years) representing four site types were analyzed by instrumental colorimetry using the CIE Lab system. The overall average color coordinates were L* = 69.9 ± 4.0, a* = 4.0 ± 0.8, and b* = 27.4 ± 2.3. Significant chromatic differences were observed among site types proven by statistical analysis; however, no single site type consistently increased within-site color variability. Average total color differences (ΔE*) ranged from 3.94 to 6.31 across site types, corresponding to “noticeable” to “large” visual differences. Regionally, 89.1% of 55 specimen pairs exhibited clearly perceptible color variation (ΔE* > 2), with 61.8% classified as “large” (ΔE* > 5). Within-tree comparisons revealed ΔE* values of 3.72–3.75 under poor site conditions but <2.0 on good growing sites. The a* and b* components appear with measurable variations across all sites, while the characteristic yellow hue remains distinct and stable independent of site origin due to the high b* value.

1. Introduction

Black locust (Robinia pseudoacacia L.) is native to North America but is now widely distributed in Europe, China and South Korea. Today, black locust and its cultivars occupy more than 3 million hectares worldwide outside their native range [1]. Of this, over 2.3 million hectares occur in Europe across 42 countries, making it the most widespread broadleaved tree species on the continent. The largest areas are found in Hungary, Ukraine, Poland, Romania, Italy, France, Serbia, Slovenia and Bulgaria [2]. In Hungary, numerous improved cultivars have been developed since the 1960s [1,3], and breeding activities still continue. Ecologically, black locust prefers productive sites with annual precipitation above 1000 mm and nutrient-rich soils [2], but it can also tolerate much drier conditions, with annual rainfall as low as 500 mm, and can establish on sandy substrates. Owing to this ecological plasticity, it has been used for afforestation of sandy lowland areas in Hungary since the 17th century [4]. Currently, black locust covers 462,504 hectares, representing 24.6% of the total Hungarian forest area and accounting for approximately one-sixth of the annual log harvest [5]. Its wide distribution across different site types provides a suitable basis for comparative ecological analyses.
The strength and elastic properties of this hardwood species are better than those of any other species (including native species) grown in Central Europe. Thanks to its durability, black locust is currently one of the most important raw materials for outdoor furniture and other usages. Thanks to its resistance to weather, biotic and abiotic wood-destroying agents, black locust is currently one of the most important raw materials for outdoor applications and is also used in other fields, for example as indoor flooring, furniture, and fence posts [2,6,7,8]. Its durability varies by region, but it is always classified as a durable wood species. According to the EN 350 [6] standard, black locust from the United States was classified as category DC 1, while wood from Calw, Germany, and Sibiu, Romania, was classified as categories DC 2 and 3. These differences can be attributed in part to the origin of the wood and to variations in the extractable substances [8]. The outstanding biological durability is generated mainly by its high extractive content as well as its tyloses [9,10,11,12,13]. In contrast, according to Brischke et al. [8], tyloses do not affect durability. The extractive content includes 5%–10% of its total mass. The main extractive component is dihydrorobinetin, making up 2%–5% of the total wood mass [14,15,16]. Robinetin-type extractives impart the yellow color for black locust. The color of black locust is highly inhomogeneous between trees and within an individual trunk. The color dots of different samples can occupy a large area on the a*–b* color plane. The redness values are between 1 and 7 units, and the yellowness values cover the 24–35 interval. It is interesting to mention that increasing redness values are associated with decreasing yellowness values. The high color inhomogeneity can be minimized by steaming in a wet condition [17,18,19,20], and by dry thermal treatment at high temperatures [16,21,22,23], among others.
Since the introduction of computer-assisted colorimetric instrumentation, wood coloration and the mechanisms underlying its alteration have been the subject of extensive scientific investigation [24,25,26,27]. Color represents the most visually dominant esthetic attribute of timber structures. The hue of wood and its natural variability constitute critical quality parameters in industrial applications, particularly within furniture production and interior architectural design. Accordingly, the present work emphasizes chromatic characteristics and grain patterns as key aesthetic determinants among the numerous physical and anatomical properties of wood.
Extractive substances have a significant influence on the color of wood. For ring-porous species including black locust, higher growth rate occurs thicker latewood and higher latewood proportion. Since latewood contains more extractives than earlywood, the influence of latewood will be more pronounced on the color of the wood for fast-growing trees [28]. The perceptible coloration of wood originates from chromophoric compounds containing conjugated double-bond systems. Phenolic extractive substances such as flavonoids and tannins, which significantly affect wood pigmentation, are influenced by site types and soil chemistry [29]. These chromophoric structures exhibit characteristic absorption bands within the visible spectrum. In contrast, wood polyoses (aka. celluloses and hemicelluloses) do not absorb radiation in the visible range and therefore do not participate in color generation. Lignin absorbs electromagnetic radiation primarily below 400 nm [30,31,32,33] and exhibits a pale-yellow appearance. The overall coloration of wood is predominantly governed by its extractive composition [29]. The yellowish tone, which is attributed to lignin, is generally characteristic of sapwood in most species. During heartwood formation, extractive substances accumulate within cell walls and deposit along vessel lumina [34,35,36], resulting in substantial chromatic modification. These extractives also contribute markedly to other functional attributes, including odor and natural durability against biological degradation [12,37,38,39].
Considerable chromatic diversity exists both among species and within individual trees [40]. Intraspecific color variation is affected by multiple factors, including tree age, soil characteristics, growth dynamics, and the positional origin of boards within the trunk [41,42]. Although both the genetic background (as an example, specific chromophoric compounds in black locust are robinetins like dihydrorobinetin) and environmental conditions influence wood color, site-related environmental factors are generally regarded as more decisive [43]. To evaluate site-related chromatic variability, eight black walnut trees were felled at each of three locations in North America by Phelps et al. [44]. The tristimulus coordinates X, Y, and Z were measured and comparatively analyzed. Relative luminance (lightness) was calculated directly from the Y value. The findings indicated that differences in luminance (i.e., relative lightness versus darkness) constituted the principal source of variability in heartwood coloration. Only limited investigations have addressed color differences within a single species harvested from distinct forest stands or geographic regions. Eighty-nine heartwood specimens representing seven oak species were subjected to instrumental color analysis [45]. The primary differences were detected in lightness (L*) and yellowness (b*). Moya and Calvo-Alvarado [46] examined associations between environmental site parameters and the color metrics of Tectona grandis cultivated across 22 forest plots in Costa Rica, categorized into five clusters. Their results demonstrated that heartwood formed under drier climatic conditions on deep, fertile soils exhibited the most pronounced yellow-brown coloration. The heartwood pigmentation of a walnut-species has also been evaluated, revealing that among various soil parameters, magnesium concentration—rather than nitrogen content—exerted a statistically significant effect on redness and yellowness [47]. Elevated soil magnesium levels were associated with reduced red chromatic components and increased yellow tonal intensity in the heartwood.
In Hungary, black locust is regarded as a highly significant species due to its role in soil protection (erosion and deflation control), apiculture, and wood-based industries. Beyond the borders of the country, it is also extensively utilized throughout Europe and in many other regions of the world. From a wood utilization perspective, esthetic attributes are of primary relevance; consequently, assessing the variability in coloration in black locust timber is of particular importance. Significant variations are possible based on an earlier study of Csordós et al. [28]. Chromatic characteristics and grain pattern represent key visual properties among the numerous attributes of wood. The quantity and quality of the extractive substances that block the growth of fungi vary depending on the origin of black locust wood [8]. These are key factors in its color, too. The hypotheses of the experiment were that site conditions significantly affect color parameters, and that good growing sites produce more uniform coloration. The aim of this study is to determine whether variation in site types induces measurable differences in the coloration of black locust wood. Furthermore, the investigation evaluates chromatic uniformity both among trees within the same stand and within individual trees. The results are expected to clarify which site types are most favorable for producing high-quality—or comparatively superior—black locust timber. Such knowledge may facilitate its broader industrial application and provide forest managers with guidance for establishing and cultivating stands of enhanced economic value. This allows foresters to find out what quality of timber they can expect in a given location compared to other, even distant locations or countrywide averages. They can then inform log buyers of this, which results in better service, and of course they can choose where it is more or less worthwhile to establish stands.

2. Materials and Methods

For the experimental analyses, exclusively a widely cultivated Hungarian black locust cultivar, Robinia pseudoacacia ‘Nyírségi’, was selected. This variety has held official state recognition since 1973 [48]. Logs were harvested from multiple sites representing diverse ecological regions across Hungary (Figure 1). The present-day climatic classifications corresponding to the origin of the sampled trees are illustrated in Figure 1A. In addition, Figure 1B presents projected future climate zones according to a current scenario model. These projections indicate that a substantial supply of raw material for the timber industry can be anticipated in the coming decades, as black locust is likely to assume an increasingly dominant role under changing climatic conditions. Compared with other principal species such as oak and beech, black locust is characterized by shorter rotation periods, which may further enhance its silvicultural and industrial relevance. Within the forest steppe climatic zone, plantation forestry predominates, and black locust establishment is particularly intensive. Owing to afforestation efforts, forest cover within this zone has already exceeded 40%, and this proportion is expected to increase further as climate change progresses. As a consequence of these afforestation activities, stands managed on relatively short rotation cycles have become prevalent. Nevertheless, assessments of the current importance and future role of black locust remain highly polarized. It is important to emphasize the territorial expansion of black locust, which presently occupies approximately one-third of the forest-steppe climatic region. The species also has a notable presence in the sessile oak–Turkey oak climatic zone and occurs on smaller, yet ecologically relevant, areas within hornbeam–oak forests [4]. These distribution patterns, also reflected in Figure 1A, demonstrate that black locust currently possesses considerable potential for further expansion.
Geographical areas characterized either by a substantial current proportion of black locust or by a high probability of further expansion in the near term were selected for investigation. Average solar radiation and precipitation were similar across sites with both good and poor soil within each region. The annual average temperature and annual precipitation data for the five regions included in the study (averages calculated for the period 1982–2023) based on the data of NASA [50] are as follows: 11.5 °C and 585 mm in Kiskunság; 11.0 °C and 635 mm in the Kemeneshát Hills; 10.6 °C and 594 mm on the Nyírség Floodplain; 10.7 °C and 642 mm on the Sopron–Vas Plain; 11.4 °C and 739 mm in the Zselic Hills. Climate has a significant impact on tree nutrition, which affects tree growth [51], but within regions, soil conditions were the decisive factor driving the differences between good and poor sites. At the good sites, rusty brown forest sandy soil was found with a depth of 60–100 cm, characterized by high fertility, good soil structure, balanced nutrient levels, adequate drainage, and pH between 6 and 7. At poor sites, the soil consists of rust-brown forest loam with a depth of 40–100 cm prone to waterlogging; they are characterized by low fertility, poorer soil structure, compacted, waterlogged soil, and higher salinity [52,53]. Within each identified region, four distinct site categories (forest stands or stand sections) were designated for sampling, as summarized in Table 1. Site quality classification was established by the evaluation of soil stratification, hydrological regime, annual precipitation, topographic inclination, solar exposure, and related ecological parameters. This assessment was supported by official regional datasets as well as the professional judgment of local forestry practitioners. Table 1 presents the sampled stands and key attributes considered in the present analysis. During sample selection, trees representative of the given stand conditions were intentionally chosen. Individual tree parameters—including vitality status, trunk diameter, total height, crown architecture, and branching characteristics—were systematically evaluated. Particular emphasis was placed on ensuring a well-developed heartwood section of the log; consequently, immature individuals were excluded from the sampling process. Log sections were extracted from the basal portion of the trunk. In trees with larger diameters, sampling at approximately 130 cm above stump height provided sufficient sawn material for the intended laboratory examinations. In contrast, trees of smaller diameter required longer log segments to yield a comparable volume of wood suitable for testing.
For the purposes of this investigation, wood samples were collected from five regions of Hungary representing characteristic black locust growing sites, as illustrated in Figure 1. Growth rate differed substantially among the trees, reflecting their origin from four distinctly different site types. The sampled trees had an average radial increment corresponding to 6.5 mm/year in diameter, with a variance of 16.4%. Each tree included in the study was considered representative of its respective site type. The most vigorous growth was observed in seed-origin stands established on good growing sites (7.3 ± 0.9 mm/year), whereas sprout-origin trees growing on poor sites showed the weakest performance (4.9 mm/year). The radial increment of sprout-origin trees improved markedly under good growing conditions (6.4 ± 0.2 mm/year), and similarly, seed-origin trees exhibited enhanced growth even on poorer sites (5.7 ± 0.8 mm/year). Following transport to the processing facility, the logs were sawn into boards and subsequently kiln-dried to a target moisture content of 12%, applying the drying schedule recommended by the manufacturer for this particular species [54]. A total of 23 pieces of board from the central heartwood (referred later as middle board; Figure 2) specimens for color measurement with a length of approximately 130 cm were prepared from the logs, with an average age of 34.5 years with a notably low variance of 8.2% (Table 1). This was achieved through several consultations with regional foresters responsible for national forest stocks, and forest sections of similar age were selected, from which sample trees were chosen. Color determinations were carried out at a consistent moisture level. The boards had been conditioned in a closed storage for a minimum of six months before testing, allowing equilibrium moisture content to stabilize at approximately 10% by the time the specimens were prepared and evaluated. Initially, wide boards were sawn parallel to the grain to accommodate the dimensions of the planing machine. Except for planing, no additional surface treatments were done. Surface machining was performed under standardized settings to ensure comparable surface quality across all samples. Measurements were completed within three days after planing in order to limit chromatic alterations attributable to oxidation. Each middle board—or, in the case of large-diameter logs, each half-board—contained the full radial profile from pith to bark.
Altogether, 975 individual colorimetric measurements were performed on the boards, corresponding to an average of 42 measurements per board. There were at least 25 measurement points on each board to ensure that the statistical evaluation was sufficiently robust. Measurements were restricted exclusively to defect-free radial heartwood areas. All selected specimens exhibited a well-developed heartwood zone; juvenile trees were deliberately excluded. Shifting the focus to the wood, the presence of extractives, tyloses, and other cell inclusions differentiates heartwood chromatically from sapwood, thereby enabling meaningful comparison among heartwood samples [55]. Because mature and juvenile wood cannot be reliably distinguished visually, both were collectively classified as heartwood for the purposes of color evaluation. The pith and the immediately adjacent tissue were omitted from measurement. The measurements were obtained using a Konica Minolta CM-2600d spectrophotometer (Konica Minolta Inc., Tokyo, Japan). According to the CIE system, the L* lightness component (0–100), the a* chromatic component (green (−) to red (+)), and the b* chromatic component (blue (−) to yellow (+)) denote the color axes [37]. In wood, values typically fall within the positive region of all three axes. Hereafter, the parameters CIE L* (lightness), a* (redness), and b* (yellowness) are collectively referred to as CIE color coordinates. Colorimetric data were calculated using the D65 standard illuminant and a 10° standard observer angle, with a measurement aperture diameter of 8 mm. Given the characteristic annual ring width of black locust, this aperture encompassed at least three and up to six growth rings per reading on the radial plane of the boards. Consequently, the measurements provided more robust and representative results than those obtained from a single annual ring or isolated earlywood or latewood using a smaller aperture.
Based on the L*, a*, and b* coordinates, total color difference (∆E*) was computed as a quantitative indicator of perceptible variation between two color points within the three-dimensional color space (Equation (1)) [56]. The ∆E* value expresses visually detectable differences in numerical form, as can be seen in Table 2. The average of the color components of all specimens used in this study served as the basis for the comparison and for calculating the ΔE* values, which amounted to 975 data points for each color component. The exception was the analysis of boards sawn from the same individual tree, where the average values of the two boards were compared.
E * = L 2 + a 2 + b 2
where ∆ represents the differences. The calculation of the differences is as follows: ∆L = (L*2 − L*1), ∆a = (a*2 − a*1), and ∆b = (b*2 − b*1). The values L*1, a*1, and b*1 refer to the average color coordinates for the entire sample set of the study, to which the other results are compared, while the values L*2, a*2, and b*2 represent the averages currently under examination, as follows:
  • Countrywide averages for the four types of growing sites;
  • Regional averages across different site types;
  • Among trees originating from the same site.
For statistical evaluation, all measurement points were included in the analysis, each comprising three independent color coordinates that were assessed separately. This means almost 3000 raw data. Differences among groups were examined using one-way ANOVA followed by Fisher’s LSD post hoc test at a 0.05 significance level. Statistical analyses were conducted with TIBCO Statistica version 14.0.1.25 (TIBCO Software Inc., Palo Alto, CA, USA).

3. Results and Discussion

The color of the black locust sapwood, like that of many other wood species, is much lighter than heartwood, and generally slightly yellowish rather than whitish in color. The sapwood of black locust is very narrow, only 3–5 annual rings wide, which means 9.7 mm on average. Thus, sapwood can hardly be used for research purposes due to its small size, nor is it of any significance for industrial purposes. For this reason, this study will focus solely on heartwood, which accounts for at least 90% of the cross-section [58,59,60].

3.1. Differences Between Growing Sites Countrywide

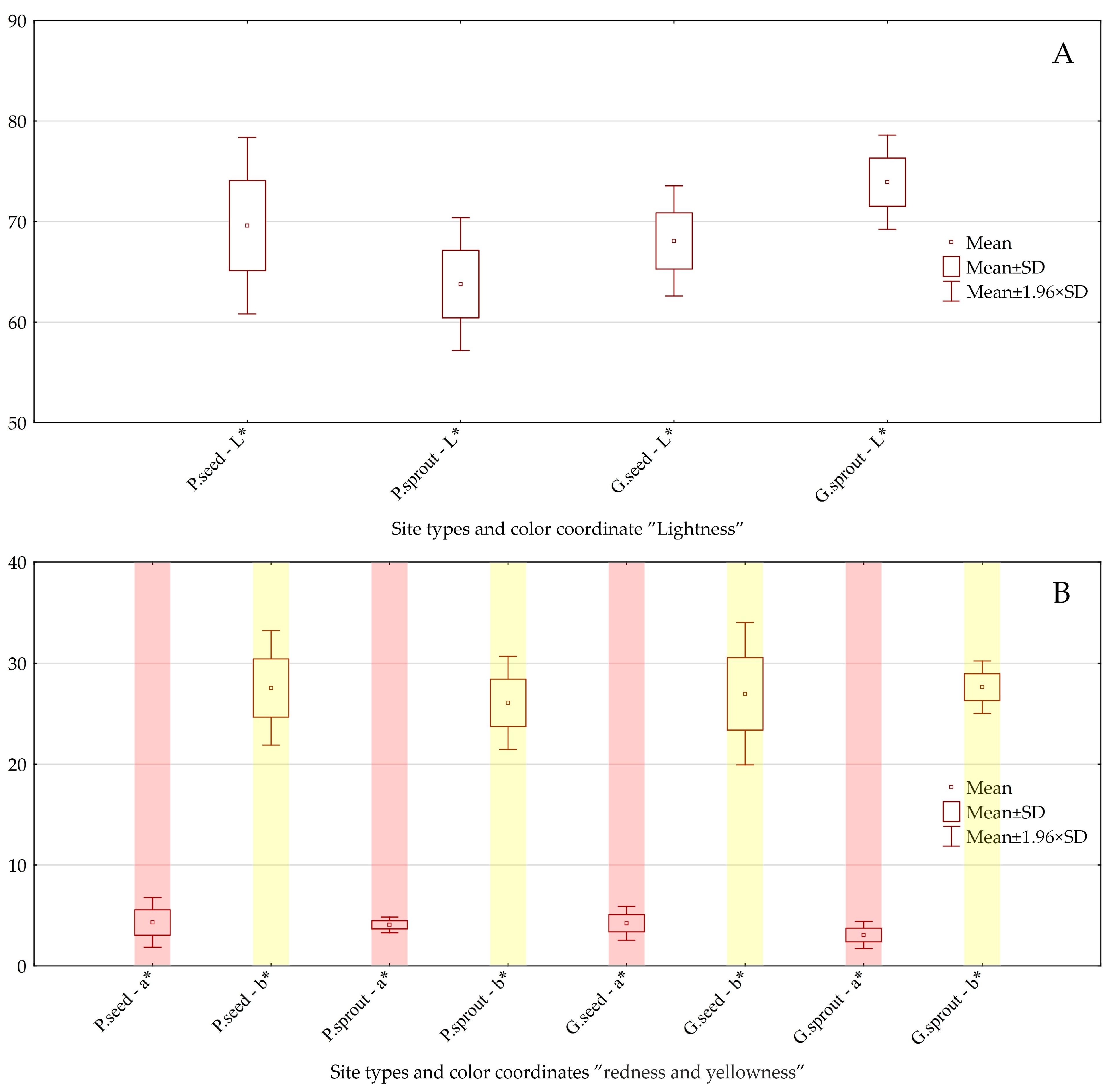
The average L* value of poor growing conditions, stands grown from seedlings (PSe), corresponds to the average L* value of the whole sample set used in this study, whereas poor growing conditions, stands grown from sprouts (PSp), and good growing conditions, stands grown from sprouts (GSp), deviated most markedly from this average. The latter exhibited distinctly higher lightness relative to the other categories, which may plausibly be attributed to the combined influence of fertile soil conditions and accelerated growth. Under such circumstances, both the density and the extractive content per unit volume may be lower, and nutrient uptake could be reduced due to the aging root system and due to the depleted soil. In addition, trees grown from sprouts are more susceptible to pathogenic attack (mostly heartrot) because of substantial wounds previously formed on the stump, potentially weakening the entire tree and diminishing extractive biosynthesis [61,62]. These factors may contribute to the generally reduced durability characteristic of wood grown from sprouts. Regarding the a* coordinate, the PSe–GSe and PSp–GSe pairs exhibited statistically significant similarity; however, the degree of overlap remained limited, as demonstrated by the box plot diagram (Figure 3). Considering the inherent chromatic heterogeneity of wood, such similarities may readily occur in species characterized by variegated coloration, a phenomenon further confirmed by within- board color variation discussed later in Section 3.5. In contrast, ANOVA analysis indicated that, at the 0.05 probability level, the similarity between PSe and GSp for b* reached 0.75. The b* parameter represents the yellow chromatic component, which remained comparatively high despite differences in site quality (poor versus good) and cultivation mode (seedling versus sprout) that may influence extractive composition. Verification of this phenomenon would require detailed chemical or durability analyses, which fall beyond the scope of the present study. Németh et al. [63] claimed that site conditions influence the visual appearance of Turkey oak wood through its extractives. The same is expected for black locust. An important result is that sprout-origin samples showed lower standard deviation values than seed-origin samples for all color coordinates. No additional statistically demonstrable relationships were identified among the four site types with respect to the individual color components. Overall, at the level of the whole sample set, substantial variation in color parameters exists among black locust trees grown under differing site types. The total color difference (ΔE*) is analyzed in the following section.
All specimens shown in Figure 4 were derived from similar growth conditions (GSe), and the influence of sprout-related pathological effects can therefore be excluded. Each tree represented a typical example of its respective site, and extreme cases were intentionally omitted. Although the specimens were of comparable age (32–36 years), the diameters of the logs ranged between 20 and 32 cm, indicating variability even within a single site-type. Differences in soil properties, topographic position (slope versus flat terrain), associated precipitation regimes, and light availability likely contributed to variation in growth rates. Additional influencing factors may include soil water balance, stand composition and density, wind exposure, and other environmental variables. Notably, the slowest-growing specimen exhibited the most visually homogeneous coloration (Zselic Hills), whereas samples from the Nyírség Floodplain and the Sopron–Vas Plain show more pronounced yellowish tones and greater chromatic variability. The chromatic stimuli described in the literature—from yellowish brown to greenish gray—are observable in Figure 4 [49].
Using the overall average color coordinates and their standard deviations for all specimens as a reference baseline (L* 69.9 ± 4.0; a* 4.0 ± 0.8; b* 27.4 ± 2.3), perceptible color differences (ΔE*) among black locust specimens were generally substantial to the naked eye. These averages are consistent with the data reported by Kacik et al. [16] (L* 69.5 ± 1.96; a* 3.7 ± 0.63; b* 28.0 ± 0.98) and by Dzurenda [20] (L* 69.2 ± 2.90; a* 4.7 ± 0.80; b* 28.7 ± 2.40). Relative to the reference average, no specimen fell into the “imperceptible” category, and only two specimens were classified as “barely noticeable”. According to the classification system of Mokrzycki and Tatol [57], seven specimens were categorized as “noticeable”, seven as “distinct” and seven as “large.” With respect to site type, PSe exhibited an average ΔE* of 3.99 with a notably high variance of 56.1%. For PSp, the average ΔE* was 6.31 with a variance of 23.1%, although it must be noted that this analysis was based on only two specimens, with altogether 100 measurement points. The average ΔE* values for GSe and GSp were 3.94 and 4.28, with variances of 37.9% and 39.0%, respectively. Considerable chromatic differences were thus observed even within individual site types, indicating that no single site type can be identified as distinctly increasing color variability. A partial exception may be PSp, which exhibited a “large” average ΔE* classification (Figure 5).
Considering the average color-coordinate values of all 23 specimens, the highest variance (20.8%) was associated with the a* parameter. The a* component is related to extractive content [64]; therefore, its elevated variance suggests compositional variability among different extractive fractions. The L* parameter is likewise associated with extractives responsible for biological durability [65]; however, its variance was low (5.7%) despite a high average value (69.9). This finding indicates that total extractive content remains relatively stable across wood originating from different site types. The characteristic yellowish brown to greenish gray coloration typical of black locust was evident in all samples. Consequently, although color differences are both visually perceptible and numerically significant, they are generally not considered disturbing from a user perspective. Whether employed as parquet flooring, furniture raw material, wall cladding, or exterior structural components, black locust can be successfully utilized as a visible surface material irrespective of the specific site of origin of the raw material—even when combined from multiple site types within a single end-product.
Although there was little variation in the age of the trees examined, the relationship between color and age was investigated. Each tree had a significant trunk diameter and thus the boards for color measurement had significant heartwood area containing extractive substances for the examination. The ΔE* values, calculated from the average color components of each board, were compared with the age of the trees. Based on the analysis, no clear trend can be identified between the 31- to 40-year-old trees included in the study and their color. Differences would likely emerge with larger age differences, but the variance was too small in this study (8.2%). The diameter at breast height of the trees was also not influenced by age, but rather by growing conditions. In good growing sites, the average ages were lower (GSe 33.5 and GSp 34.3 years), yet the average diameters were higher (24 and 22 cm, respectively) compared to the poor sites (PSe 21 and PSp 18 cm).

3.2. Differences Between Growing Sites Regionally Including the Comparison of Seedling Stands and Sprout Stands

No single region was identified in which all four site types occurred simultaneously. Likewise, none of the individual site types was present in every region, despite the fact that the investigated areas represent typical Hungarian black locust-growing regions.
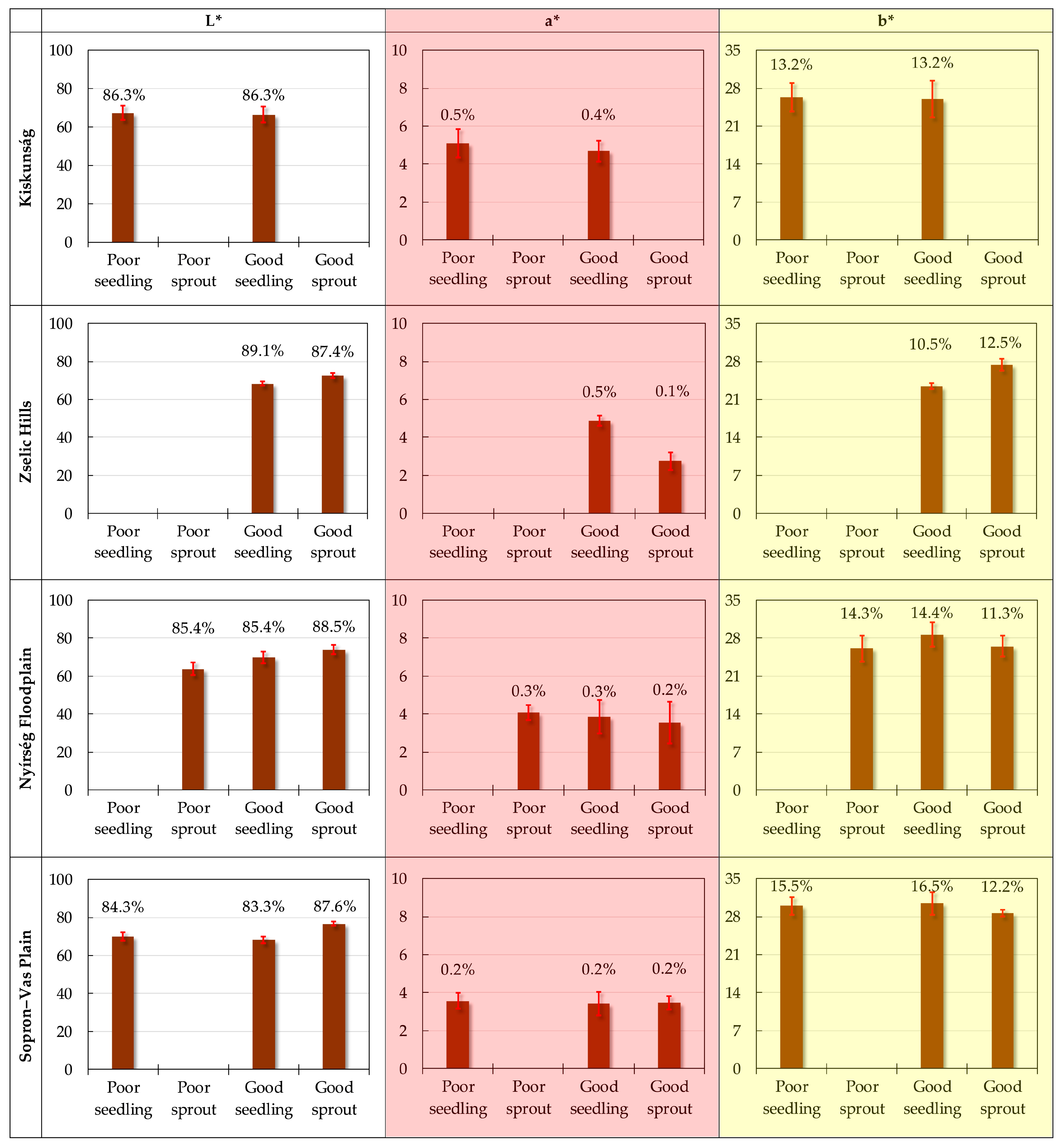
According to the statistical evaluation comparing site types within regions, 8 out of 24 possible pairs exhibited similarity in terms of individual color components; however, in five of these cases, the similarity, although statistically significant, was weak. The numerous differences are visually apparent in Figure 6. Given that only 33.3% of the comparisons indicated similarity—and a substantial proportion of these were weak—it can be concluded that the chromatic characteristics of the samples differ considerably. When examining the relative importance of the individual color components, as consistent with general observations for wood, lightness (L*) exerted the most pronounced influence among the studied black locust specimens. The a* parameter showed comparatively low values; consequently, its contribution to visually perceived color differences was minimal. In contrast, the b* (yellow) component exhibited consistently high values, explaining the characteristic yellowish appearance of black locust wood. The literature primarily attributes this coloration to the presence of the extractive compound group of robinetins [8], which also contributes—together with other constituents—to enhanced durability [13,66,67].
When comparing wood of seed-origin and sprout-origin trees across regions, not one pair demonstrated statistically confirmed similarity in all three color coordinates simultaneously. Nevertheless, ΔE* values may still be identical or very similar, rendering differences visually indistinguishable. The proportions of coordinate-level similarities are summarized in Table 3. Overall, statistically significant similarities for individual color coordinates were infrequent within regions, and even among them, several had only a weak correspondence. In other words, regarding chromatic attributes, seed-origin trees differed from other seed-origin trees, sprout-origin trees differed from other sprout-origin trees, and seed-origin and sprout-origin trees likewise differed from one another when site types were compared within the same region. The lowest level of similarity was observed for lightness, whereas the highest similarity—averaging 21.4%—was detected for the yellow (b*) component.
Based on the calculated results presented in Table 4, evaluation of ΔE* values revealed that 34 out of 55 sample pairs exhibited “large” color differences (ΔE* > 5) according to the classification of Mokrzycki and Tatol [57], while only six pairs showed “barely noticeable” or “imperceptible” differences (ΔE* < 2). Overall, 89.1% of the 55 sample pairs showed clearly visible chromatic differences. Thus, similarly to the countrywide assessment, the regional analysis by site type also revealed substantial visually perceptible color variation.

3.3. Comparison of Several Trees at the Same Growing Site

Among boards prepared from trees originating from the same site, agreement across all three color components was observed in 20.0% of cases. Notably, trees grown from seedlings on poor sandy flat soils in the Kiskunság region demonstrated statistical equivalence in all three color parameters according to ANOVA analysis; this phenomenon was not observed elsewhere. Nevertheless, the overall color difference (ΔE*) among trees grown from seedlings on poor sites was 3.27 with a standard deviation of 1.1, corresponding to the “noticeable” category according to Mokrzycki and Tatol [57], indicating a clearly perceptible difference.
For seedlings grown on good site types, the average ΔE* was 7.51 ± 3.03, corresponding to the “large” category. In this instance, however, only two specimens from the Nyírség and two from the Kiskunság could be compared, although each pair demonstrated substantial color differences. Black locust trees showed clear color differences even in the same growing sites, which indicates the specificity of the species. Different cultivars may of course behave differently [28], so this problem can be at least partially solved by selecting the right cultivars in line with the foresters’ objectives. The clear color differences found also mean that chromophore structures, namely many extractives, are found in different amounts, reflected in a change in their color [16].

3.4. Color Variegation Within a Tree

In certain cases, two logs (thus two middle boards) were prepared from the same tree trunk and subsequently compared. For the L* component, a 66.7% agreement was observed, indicating higher similarity in lightness within individual trunks. These boards originated from vertically adjacent trunk sections, one located within the lower 120 cm of the trunk and the other above 130 cm. The a* and b* components exhibited a 33.3% similarity; however, these ratios should be interpreted cautiously, as the results were derived from only 12 samples (i.e., six sample pairs). Particularly noteworthy are the high-quality sites in the Zselic region, where agreement was observed for all three color components.
As illustrated in Figure 7, boards from trees grown on poor sites exhibited “distinct” overall color differences (ΔE* between 3.72 and 3.75) even when comparisons were restricted to boards from the same tree. In contrast, such differences were “barely noticeable” or “imperceptible” in trees grown on good sites, displaying more uniform coloration. Trees developing under improved environmental conditions tend to form a more homogeneous chromatic structure, potentially associated with more uniform tissue organization and tyloses formation. This may also reflect reduced exposure to environmental stresses during growth, resulting in diminished need for defensive extractive production and also a generally better health status, thereby providing greater natural resistance. Higher color coordinate values and lower standard deviations are usually associated with higher biological durability [28,29]. This is consistent with the finding by Rédei et al. [68] that the highest-quality black locust wood can be grown in good growing conditions. Despite this, Fath et al. [69] found that the amount of extractables was statistically similar for wood from both good and poor growing sites. In this case, the tissue structure may explain the differences in color and the higher diversity in the color of wood from poor growing sites. For wood from good growing sites, the ΔE* results correspond closely with the previously presented coordinate-level similarities; both for GSe and GSp, the total color differences were low or negligible (Figure 7).

3.5. Color Variegation Within a Single Piece of Sawnwood

Continuing with a more detailed assessment, color differences among individual measurement points were evaluated for each specimen, using specimen-level averages, standard deviations, and variances. All specimens from the Kemeneshát Hills exhibited exceptionally high variances in the a* component (37.4%–62.4%). Across the entire dataset, the a* parameter showed high variance (>10%) in 47.9% of cases, indicating substantial variability in reddish tones. However, due to the low average values of a*, this variability does not substantially influence the overall visual appearance and does not independently generate pronounced heterogeneity. In all cases, a* values were low (averagely 4.0) relative to the average L* (69.9) and b* (27.4) values, consistent with the inherently yellowish coloration characteristic of black locust [60]. Out of 69 evaluated cases, 14 exhibited high variance over 10%; in 13 of these, the elevated variance occurred in the a* component between 10.3% and 62.4%, averaging 24.2%. Sensitivity to localized extractive concentration is much higher in this part of the test (within a single piece of sawnwood), making the variance in a* more prominent. The color of some yellowish components, such as certain compounds belonging to the robinetins, may also have intense red color component, but their proportions may vary locally in the wood. This may cause significant variance in the a* component. Furthermore, extractives with a distinctly reddish color may also occur in some parts of the wood tissue, even if this is not typical for black locust. The remaining case involved the b* parameter with a variance of 15.5%, which—considering 50 measurement points in this case and the intrinsic variability in wood—cannot be regarded as extreme. In summary, although black locust wood exhibits considerable visually perceptible chromatic variegation, this is generally not, or only slightly, disturbing to users due to the consistent yellowish-brown base coloration characteristic of the species.
The study deals with the color of a single tree species, Robinia pseudoacacia ‘Nyírségi’ cultivar, grown in different site types. Other tree species may react with different color changes to the same site conditions. Black locust is a tree species that occurs in large quantities. The differences between the most significant regions in Hungary have been compared. General conclusions can be drawn about the effects of many other similar regions around the world on the growth and color of black locust. Unfortunately, there is a serious shortcoming of this study: the PSp sample included only two specimens, so the number of measurement points was limited to 100. The color coordinates of 21 more specimens were measured from the other three growing site types, which, given the large number of measurement points, is an acceptable quantity for drawing general conclusions supplemented with the information available in the literature. Of course, to draw deeply detailed conclusions, it would have been necessary to examine specimens from many trees of all growing site types in each region, which was not the aim of this study. Prior to establishing definitive conclusions concerning chromatic variation, it must be emphasized that wood coloration is primarily governed by its extractive constituents [16,64,65,70]. In numerous wood species, their qualitative composition and specific chemical structure of extractives are more decisive than their absolute quantity. Wood color arises from conjugated double-bond systems (chromophores) within chemical structures. In native wood, such chromophoric groups occur in lignin as well as in selected extractive compounds. Marked disparities in extractive content are observed between heartwood and sapwood in several species, including black locust [21,70]. The well-established observation that heartwood typically exhibits a darker hue than sapwood was confirmed both visually and instrumentally. The robinetin-type extractives have been reported to enhance durability [8,12,16]. From a broader viewpoint, in most species exhibiting colored heartwood, the concentration of extractives is higher in heartwood than in sapwood [65,71,72], and correspondingly, heartwood generally has a darker coloration. These observations suggest that only specific fractions of the extractive pool participate in chromatic development, as demonstrated by Hofmann et al. [39] and Németh et al. [21]. These appear inconsistent with the statement by Lukmandaru [65], indicating a lack of correlation between total extractive content and biological durability. A significant research objective for wood chemists would be to quantify the relative contribution of individual extractive constituents to the development of wood color. At present, scientific understanding of these mechanisms remains fragmentary and requires further systematic investigation.

4. Conclusions

This study evaluated the extent to which growing site conditions influence the chromatic characteristics of heartwood in black locust (Robinia pseudoacacia cv. ‘Nyírségi’) across representative regions of Hungary. Based on a thousand measurements, CIE L*, a*, and b* coordinates were determined and total color difference (ΔE*) values were calculated.
Across all specimens, average color coordinates were L* = 69.9 ± 4.0, a* = 4.0 ± 0.8, and b* = 27.4 ± 2.3. The highest variance was observed for a* (20.8%), whereas L* showed limited variance (5.7%) despite its high mean value. Average ΔE* values ranged from 3.94 (good growing conditions, stands grown from seedlings) to 6.31 (poor growing conditions, stands grown from sprouts), corresponding to “noticeable” to “large” visual differences. At the regional scale, 34 of 55 sample pairs (61.8%) exhibited ΔE* > 5, while only 6 pairs (10.9%) fell below 2; overall, 89.1% of comparisons showed clearly perceptible color differences. Within-site comparisons revealed full coordinate-level agreement in only 20.0% of cases. Under poor site conditions, a comparison of color variations in specimens from a single tree yielded ΔE* = 3.72–3.75, but values were lower than 2.00 on good sites, indicating more their homogeneous coloration. Despite statistically significant differences, consistently high b* values confirmed the persistence of the characteristic yellowish coloration irrespective of site origin. These findings suggest that growing sites affect measurable chromatic variability; however, such variation is unlikely to compromise the esthetic or industrial applicability of black locust wood.

Author Contributions

Conceptualization, M.B., R.N. and L.T.; Methodology, M.B., R.N. and L.T.; Validation, M.B. and L.T.; Formal Analysis, M.B. and L.T.; Investigation, L.T.; Resources, R.N., M.B., H.S., J.K.G. and F.A.A.A.Y.; Writing—Original Draft Preparation, M.B. and L.T.; Writing—Review and Editing, M.B., L.T., R.N., H.S., J.K.G. and F.A.A.A.Y.; Visualization, M.B.; Supervision, M.B.; Project Administration, M.B. and R.N.; Funding Acquisition, R.N. All authors have read and agreed to the published version of the manuscript.

Funding

The publication was made in frame of the project TKP2021-NKTA-43, which has been implemented with the support provided by the Ministry of Culture and Innovation of Hungary from the National Research, Development and Innovation Fund, financed under the TKP2021-NKTA funding scheme.

Data Availability Statement

The original contributions presented in this study are included in the article. Further inquiries can be directed to the corresponding author.

Acknowledgments

We wish to express our sincere appreciation to our professional collaborators within the forestry sector, including both supervisory personnel and operational staff, whose expertise and logistical support were instrumental in the identification, selection, and acquisition of the raw materials applied in this study. In particular, we acknowledge the contributions of the following individuals and organizations: KEFAG Kiskunsági Erdészeti és Faipari Ltd. (Ferenc Sulyok, Dániel Andrési); Mecsekerdő Ltd. (István Ripszám, Endre Burián, Gábor Drávavölgyi, Tamás Lázár); Nyírerdő Nyírségi Erdészeti Ltd. (Tibor Hidas, Zoltán Bede, Imre Bíró, Tibor Koklács); Szombathelyi Erdészeti Ltd. (József Bugán, Csaba Gángó, András Németh, Bence Szalay); and TAEG Tanulmányi Erdőgazdaság Ltd. (Gyula Sándor, Ádám Folcz, Márk Preisinger). Although it is not feasible to enumerate every forestry professional who contributed to the successful implementation of this work, we gratefully recognize the collective efforts of all involved. Special acknowledgment is due to Imre Horváth for his outstanding technical support in log sawing, the systematic organization and storage of sawn timber, and the preparation of experimental specimens.

Conflicts of Interest

The authors declare no conflicts of interest.

References

  1. Keserű, Z.; Borovics, A.; Ábri, T.; Rédei, K.; Lee, I.H.; Lim, H. Growing of Black Locust (Robinia pseudoacacia L.) Candidate Cultivars on Arid Sandy Site. Acta Silv. Lignaria Hung. 2021, 17, 51–61. [Google Scholar] [CrossRef]
  2. Nicolescu, V.-N.; Rédei, K.; Mason, W.L.; Vor, T.; Pöetzelsberger, E.; Bastien, J.-C.; Brus, R.; Benčať, T.; Đodan, M.; Cvjetkovic, B.; et al. Ecology, Growth and Management of Black Locust (Robinia pseudoacacia L.), a Non-Native Species Integrated into European Forests. J. For. Res. 2020, 31, 1081–1101. [Google Scholar] [CrossRef]
  3. Keresztesi, B. Breeding and Cultivation of Black locust, Robinia pseudoacacia, in Hungary. For. Ecol. Manag. 1983, 6, 217–244. [Google Scholar] [CrossRef]
  4. Lett, B.; Horváth, S.; Fülöp, V. What the Numbers Reveal About Black locust. The Role of Black locust Management in Hungarian Forestry (Amit a Számok Mutatnak az Akácról. Az Akácgazdálkodás Szerepe a Magyar Erdőgazdálkodásban); Erdővagyon-gazdálkodási közlemények; Soproni Egyetem Kiadó: Sopron, Hungary, 2020. [Google Scholar]
  5. Ministry of Agriculture. Summary Data on Hungary’s Forests 2024 (Magyarország Erdeinek Összefoglaló Adatai 2024); Agrárminisztérium: Budapest, Hungary, 2025; p. 2.
  6. EN 350:2016; Durability of Wood and Wood-Based Products. Testing and Classification of the Durability to Biological Agents of Wood and Wood-Based Materials. European Committee for Standardization (CEN): Brussels, Belgium, 2016.
  7. Ciuvăț, A.L.; Abrudan, I.V.; Ciuvăț, C.G.; Marcu, C.; Lorenț, A.; Dincă, L.; Szilard, B. Black locust (Robinia pseudoacacia L.) in Romanian Forestry. Diversity 2022, 14, 780. [Google Scholar] [CrossRef]
  8. Brischke, C.; Stolze, H.; Koddenberg, T.; Vek, V.; Caesar, C.M.C.; Steffen, B.; Taylor, A.M.; Humar, M. Origin-Specific Differences in the Durability of Black locust (Robinia pseudoacacia) Wood against Wood-Destroying Basidiomycetes. Wood Sci. Technol. 2024, 58, 1427–1449. [Google Scholar] [CrossRef]
  9. Chang, T.-C.; Chang, H.-T.; Wu, C.-L.; Lin, H.-Y.; Chang, S.-T. Stabilizing Effect of Extractives on the Photo-Oxidation of Acacia Confusa Wood. Polym. Degrad. Stab. 2010, 95, 1518–1522. [Google Scholar] [CrossRef]
  10. Kirker, G.T.; Blodgett, A.B.; Arango, R.A.; Lebow, P.K.; Clausen, C.A. The Role of Extractives in Naturally Durable Wood Species. Int. Biodeterior. Biodegrad. 2013, 82, 53–58. [Google Scholar] [CrossRef]
  11. Sergent, T.; Kohnen, S.; Jourez, B.; Beauve, C.; Schneider, Y.-J.; Vincke, C. Characterization of Black locust (Robinia pseudoacacia L.) Heartwood Extractives: Identification of Resveratrol and Piceatannol. Wood Sci. Technol. 2014, 48, 1005–1017. [Google Scholar] [CrossRef]
  12. Vek, V.; Poljanšek, I.; Oven, P. Variability in Content of Hydrophilic Extractives and Individual Phenolic Compounds in Black locust Stem. Eur. J. Wood Prod. 2020, 78, 501–511. [Google Scholar] [CrossRef]
  13. Lesar, B.; Vek, V.; Malik, J.; Levanič, J.; Keržič, E.; Humar, M. The Durability, Chemical and Mechanical Properties of 40 Years Old Black locust Posts. Case Stud. Constr. Mater. 2025, 23, e05221. [Google Scholar] [CrossRef]
  14. Molnár, S.; Bariska, M. Magyarország Ipari Fái; Szaktudás Kiadó Ház Zrt: Budapest, Hungary, 2002. [Google Scholar]
  15. Sanz, M.; Fernández De Simón, B.; Esteruelas, E.; Muñoz, Á.M.; Cadahía, E.; Hernández, T.; Estrella, I.; Pinto, E. Effect of Toasting Intensity at Cooperage on Phenolic Compounds in Acacia (Robinia pseudoacacia) Heartwood. J. Agric. Food Chem. 2011, 59, 3135–3145. [Google Scholar] [CrossRef] [PubMed]
  16. Kačík, F.; Kubovský, I.; Bouček, J.; Hrčka, R.; Gaff, M.; Kačíková, D. Colour and Chemical Changes of Black locust Wood during Heat Treatment. Forests 2022, 14, 73. [Google Scholar] [CrossRef]
  17. Varga, D.; van der Zee, M. Influence of Steaming on Selected Wood Properties of Four Hardwood Species. Holz Roh Werkst. 2008, 66, 11–18. [Google Scholar] [CrossRef]
  18. Fan, Y.; Gao, J.; Chen, Y. Colour Responses of Black locust (Robinia pseudoacacia L.) to Solvent Extraction and Heat Treatment. Wood Sci. Technol. 2010, 44, 667–678. [Google Scholar] [CrossRef]
  19. Tolvaj, L.; Molnár, S.; Németh, R.; Varga, D. Color Modification of Black locust Depending on the Steaming Parameters. Wood Res. 2010, 55, 81–88. [Google Scholar]
  20. Dzurenda, L. Colour Modification of Robinia pseudoacacia L. during the Processes of Heat Treatment with Saturated Water Steam. Acta Fac. Xylologiae Zvolen. 2018, 60, 61–70. [Google Scholar] [CrossRef]
  21. Németh, R.; Tolvaj, L.; Bak, M.; Alpár, T. Colour Stability of Oil-Heat Treated Black locust and Poplar Wood during Short-Term UV Radiation. J. Photochem. Photobiol. A Chem. 2016, 329, 287–292. [Google Scholar] [CrossRef]
  22. Esteves, B.; Ayata, U.; Gurleyen, L. Effect of Heat Treatment on the Colour and Glossiness of Black locust, Wild Pear, Linden, Alder and Willow Wood. Drewno 2019, 62, 39–52. [Google Scholar] [CrossRef]
  23. Bak, M. Improving the Physical Characteristics and Durability of Wood through a Combined Modification Process Using Thermal Treatment and Wax Impregnation in One Step. Forests 2025, 16, 1317. [Google Scholar] [CrossRef]
  24. Chang, S.-T.; Wang, S.-Y.; Cheng, S.-S. Red Color Enhancement of Sugi (Cryptomeria japonica D. Don) Heartwood by Light Irradiation. J. Wood Sci. 1999, 45, 271–273. [Google Scholar] [CrossRef]
  25. Mitsui, K.; Takada, H.; Sugiyama, M.; Hasegawa, R. Changes in the Properties of Light-Irradiated Wood with Heat Treatment. Part 1. Effect of Treatment Conditions on the Change in Color. Holzforschung 2001, 55, 601–605. [Google Scholar] [CrossRef]
  26. Yazaki, Y. Wood Colors and Their Coloring Matters: A Review. Nat. Prod. Commun. 2015, 10, 1934578X1501000332. [Google Scholar] [CrossRef]
  27. Dzurenda, L. Natural Variability of the Color of Beech Wood in the Color Space CIE L*a*b*. Forests 2023, 14, 1103. [Google Scholar] [CrossRef]
  28. Csordós, D.; Németh, R.; Bak, M. Variation of Colour Properties between and within New Robinia Varieties with Enhanced Growing Rates from Different Sites. BioResources 2014, 9, 7099–7108. [Google Scholar] [CrossRef]
  29. Gierlinger, N.; Jacques, D.; Grabner, M.; Wimmer, R.; Schwanninger, M.; Rozenberg, P.; Pâques, L.E. Colour of Larch Heartwood and Relationships to Extractives and Brown-Rot Decay Resistance. Trees-Struct. Funct. 2004, 18, 102–108. [Google Scholar] [CrossRef]
  30. Belov, N.P.; Sherstobitova, A.S.; Yaskov, A.D. Diffuse Reflection of Light by Cellulose Pulp and Optical Absorption of Aqueous Residual Lignin Solutions. J. Appl. Spectrosc. 2011, 78, 138–140. [Google Scholar] [CrossRef]
  31. Afrin, T.; Tsuzuki, T.; Wang, X. UV Absorption Property of Bamboo. J. Text. Inst. 2012, 103, 394–399. [Google Scholar] [CrossRef]
  32. Liu, Y.; Shao, L.; Gao, J.; Guo, H.; Chen, Y.; Cheng, Q.; Via, B.K. Surface Photo-Discoloration and Degradation of Dyed Wood Veneer Exposed to Different Wavelengths of Artificial Light. Appl. Surf. Sci. 2015, 331, 353–361. [Google Scholar] [CrossRef]
  33. Lee, S.C.; Tran, T.M.T.; Choi, J.W.; Won, K. Lignin for White Natural Sunscreens. Int. J. Biol. Macromol. 2019, 122, 549–554. [Google Scholar] [CrossRef]
  34. Koch, G.; Kleist, G. Application of Scanning UV Microspectrophotometry to Localise Lignins and Phenolic Extractives in Plant Cell Walls. Holzforschung 2001, 55, 563–567. [Google Scholar] [CrossRef]
  35. Kleist, G.; Bauch, J. Cellular UV Microspectrophotometric Investigation of Sapelli Heartwood (Entandrophragma cylindricum Sprague) from Natural Provenances in Africa. Holzforschung 2001, 55, 117–122. [Google Scholar] [CrossRef]
  36. Koch, G.; Richter, H.-G.; Schmitt, U. Topochemical Investigation on Phenolic Deposits in the Vessels of Afzelia (Afzelia Spp.) and Merbau (Intsia Spp.) Heartwood. Holzforschung 2006, 60, 583–588. [Google Scholar] [CrossRef]
  37. Tolvaj, L. Measurement and Data Evaluation of Wood Colour and Gloss. In Optical Properties of Wood; Smart Sensors, Measurement and Instrumentation; Springer Nature: Cham, Switzerland, 2024; Volume 45, pp. 51–90. [Google Scholar]
  38. Hofmann, T.; Albert, L.; Rétfalvi, T.; Fehér, S. HPTLC Investigation of a Ring-like Discoloration of Pedunculate Oak (Quercus robur L.) Heartwood. J. Planar Chromatogr.-Mod. TLC 2010, 23, 315–319. [Google Scholar] [CrossRef]
  39. Hofmann, T.; Seidu, H.; Kipkoror, K. Polyphenol Content of Underutilized Wood Species from Hungary. In 11th Hardwood Conference Proceedings;Hardwood Conference Proceedings; Németh, R., Hansmann, C., Militz, H., Bak, M., Báder, M., Eds.; University of Sopron Press: Sopron, Hungary, 2024; pp. 136–140. [Google Scholar]
  40. Nishino, Y.; Janin, G.; Chanson, B.; Détienne, P.; Gril, J.; Thibaut, B. Colorimetry of Wood Specimens from French Guiana. J. Wood Sci. 1998, 44, 3–8. [Google Scholar] [CrossRef]
  41. Klumpers, J.; Janin, G.; Becker, M.; Lévy, G. The Influences of Age, Extractive Content and Soil Water on Wood Color in Oak: The Possible Genetic Determination of Wood Color. Ann. For. Sci. 1993, 50, 403s–409s. [Google Scholar] [CrossRef]
  42. Liu, S.; Loup, C.; Gril, J.; Dumonceaud, O.; Thibaut, A.; Thibaut, B. Studies on European Beech (Fagus sylvatica L.). Part 1: Variations of Wood Colour Parameters. Ann. For. Sci. 2005, 62, 625–632. [Google Scholar] [CrossRef][Green Version]
  43. Mosedale, J.; Charrier, B.; Janin, G. Genetic Control of Wood Colour, Density and Heartwood Ellagitannin Concentration in European Oak (Quercus petraea and Q. Robur). Forestry 1996, 69, 111–124. [Google Scholar] [CrossRef]
  44. Phelps, E.; Garrett, H.; Cox, G. Growth-Quality Evaluation of Black Walnut Wood. Part II-Color Analyses of Veneer Produced on Different Sites. Wood Fiber Sci. 1983, 15, 177–185. [Google Scholar]
  45. Hălălișan, A.-F.; Dinulică, F.; Gurean, D.M.; Codrean, C.; Neykov, N.; Antov, P.; Bardarov, N. Wood Colour Variations of Quercus Species in Romania. Forests 2023, 14, 230. [Google Scholar] [CrossRef]
  46. Moya, R.; Calvo-Alvarado, J. Variation of Wood Color Parameters of Tectona Grandis and Its Relationship with Physical Environmental Factors. Ann. For. Sci. 2012, 69, 947–959. [Google Scholar] [CrossRef]
  47. Makoto, K.; Susloparova, E.; Tsuyama, I.; Shimase, T.; Nakaba, S.; Takahashi, N.; Yoshida, T. Influence of Soil Properties on the Heartwood Colour of Juglans mandshurica Var. Sachalinensis in a Cool Temperate Forest. J. Wood Sci. 2021, 67, 49. [Google Scholar] [CrossRef]
  48. Ábri, T.; Keserű, Z.; Rédei, K. Growing Conditions for the Robinia Pseudoacacia “Nyírségi” (A “Nyírségi” Akác (Robinia Pseudoacacia ’Nyírségi’) Növekedési Viszonyai). Erd. Közlemények 2022, 12, 31–42. [Google Scholar] [CrossRef]
  49. Illés, G.; Fonyó, T.; Borovics, A. SiteViewer a Decision Support Tool for Forest Management. Hung. Agric. Res. Environ. Manag. Land Use Biodivers. 2024, 34, 11–14. [Google Scholar]
  50. National Aeronautics and Space Administration (NASA). Langley Research Center’s Prediction of Worldwide Energy Resources (POWER) Project Funded Through the NASA Earth Science Division. NASA POWER|Data Access Viewer (DAV). Available online: https://power.larc.nasa.gov/data-access-viewer/ (accessed on 15 October 2025).
  51. Gadermaier, J.; Vospernik, S.; Grabner, M.; Wächter, E.; Keßler, D.; Kessler, M.; Lehner, F.; Klebinder, K.; Katzensteiner, K. Soil Water Storage Capacity and Soil Nutrients Drive Tree Ring Growth of Six European Tree Species across a Steep Environmental Gradient. For. Ecol. Manag. 2024, 554, 121599. [Google Scholar] [CrossRef]
  52. Tóth, G.; Stolbovoy, V.; Montanarella, L. Soil Quality and Sustainability Evaluation. An Integrated Approach to Support Soil-Related Policies of the European Union; Office for Official Publications of the European Communities: Luxembourg, 2007; p. 40. [Google Scholar]
  53. Várallyay, G. Soils, as the Most Important Natural Resources in Hungary (Potentialities and Constraints)—A Review. Agrokémia És Talajt. 2015, 64, 321–338. [Google Scholar] [CrossRef]
  54. Németh, R.; Ott, Á.; Takáts, P.; Bak, M. The Effect of Moisture Content and Drying Temperature on the Colour of Two Poplars and Robinia Wood. BioResources 2013, 8, 2074–2083. [Google Scholar] [CrossRef]
  55. Butterfield, B.G.; Meylan, B.A.; Peszlen, I.M. A Fatest Háromdimenziós Szerkezete: Three-Dimensional Structure of Wood: Hungarian Edition; Faipari Tudományos Alapítvány: Budapest, Hungary, 1997; ISBN 978-963-04-8812-9. [Google Scholar]
  56. Brainard, D.H. Color Appearance and Color Difference Specification. In The Science of Color; Elsevier Ltd.: Amsterdam, The Netherlands, 2003; pp. 192–213. [Google Scholar]
  57. Mokrzycki, W.; Tatol, M. Color Difference ΔE: A Survey. Mach. Graph. Vis. 2011, 20, 383–411. [Google Scholar]
  58. Fehér, S.; Molnár, S.; Osztrogonácz, J. Wirkung der Verjügungsarten bei Robinienbestanden auf die Gewebestruktur und technischen Eigenschaften des Holzes. Acta Fac. Ligniensis 1989, 6, 17–36. [Google Scholar]
  59. Wąsik, R.; Michalec, K.; Gach, M.B. Differentiation of Selected Macrostructural Features and the Basic Wood Density on the Radius of the Stem-cross Section of Black locust Robinia pseudoacacia L. from Southern Poland. Sylwan 2023, 167, 477–489. [Google Scholar] [CrossRef]
  60. Molnár, S. Black locust (Robinia pseudoacacia L.). In Industrial Wood Species of the World 2nd ed. (Földünk Ipari Fái 2. Kiadás); Molnár, S., Farkas, P., Börcsök, Z., Zoltán, G., Eds.; Faipari Tudományos Egyesület: Sopron, Hungary, 2024; pp. 141–143. [Google Scholar]
  61. Campbell, W. Preliminary Report on Decay in Sprout Northern Hardwoods in Relation to Timber Stand Improvement; U.S. Department of Agriculture, Forest Service, Northeastern Forest Experiment Station: New Haven, CT, USA, 1938; p. 8.
  62. Ramdial, D.; Sewdien, A.; Rasdan, J.; Critchlow, S.; Tjong-A-Hung, N.; Ospina, A.; Wortel, V.; Putz, F.E. Stump Sprout Characteristics of Three Commercial Tree Species in Suriname. Forests 2020, 11, 1130. [Google Scholar] [CrossRef]
  63. Németh, R.; Tolvaj, L.; Báder, M. Color Variations of Turkey Oak (Quercus cerris L.) Wood from Different Types of Growing Sites. Forests 2025, 16, 1681. [Google Scholar] [CrossRef]
  64. Moya, R.; Fallas, R.S.; Bonilla, P.J.; Tenorio, C. Relationship between Wood Color Parameters Measured by the Cielab System and Extractive and Phenol Content in Acacia mangium and Vochysia guatemalensis from Fast-Growth Plantations. Molecules 2012, 17, 3639–3652. [Google Scholar] [CrossRef] [PubMed]
  65. Lukmandaru, G. Variability in the Natural Termite Resistance of Plantation Teak Wood and Its Relations with Wood Extractive Content and Color Properties. Ina. J. For. Res. 2011, 8, 17–31. [Google Scholar] [CrossRef][Green Version]
  66. Latorraca, J.; Dünisch, O.; Koch, G. Chemical Composition and Natural Durability of Juvenile and Mature Heartwood of Robinia pseudoacacia L. Acad. Bras. Cienc. 2011, 83, 1059–1068. [Google Scholar] [CrossRef]
  67. Bostyn, S.; Destandau, E.; Charpentier, J.-P.; Serrano, V.; Seigneuret, J.-M.; Breton, C. Optimization and Kinetic Modelling of Robinetin and Dihydrorobinetin Extraction from Robinia pseudoacacia Wood. Ind. Crops Prod. 2018, 126, 22–30. [Google Scholar] [CrossRef]
  68. Rédei, K.; Keserű, Z.; Csiha, I.; Rásó, J.; Honfy, V. Plantation Silviculture of Black locust (Robinia pseudoacacia L.) Cultivars in Hungary—A Review. SEEFOR 2017, 8, 151–156. [Google Scholar] [CrossRef]
  69. Younis, F.A.A.A.; Hofmann, T.; Németh, R. Site Variability in Chemical Compositions and Color Parameters of Black locust (Robinia pseudoacacia L.) Wood. Eur. J. Wood Prod. 2026, 84, 24. [Google Scholar] [CrossRef]
  70. Deaconu, I.; Porojan, M.; Timar, M.C.; Bedelean, B.; Campean, M. Comparative Research on the Structure, Chemistry, and Physical Properties of Turkey Oak and Sessile Oak Wood. BioRes 2023, 18, 5724–5749. [Google Scholar] [CrossRef]
  71. Sousa, V.; Cardoso, S.; Pereira, H. Characterization of the Chemical Composition of Quercus Faginea Wood. In Proceedings of the 6th National Forestry Congress—The Forest in a Globalized World; Portuguese Society of Forest Sciences: Ponta Delgada, Portugal, 2009; pp. 563–571. [Google Scholar]
  72. Miranda, I.; Sousa, V.; Ferreira, J.; Pereira, H. Chemical Characterization and Extractives Composition of Heartwood and Sapwood from Quercus Faginea. PLoS ONE 2017, 12, e0179268. [Google Scholar] [CrossRef]
Figure 1. The maps show the current (A) and future (B) climate conditions in Hungary, with the 69 main forest areas marked. The locations of the black locust (Robinia pseudoacacia ‘Nyírségi’) log samples collected for the study are marked with red dots. The exact coordinates can be found in Table 1. The images were created based on the work of Illés et al. [49].
Figure 1. The maps show the current (A) and future (B) climate conditions in Hungary, with the 69 main forest areas marked. The locations of the black locust (Robinia pseudoacacia ‘Nyírségi’) log samples collected for the study are marked with red dots. The exact coordinates can be found in Table 1. The images were created based on the work of Illés et al. [49].
Forests 17 00471 g001
Figure 2. The location of the board from the central heartwood (middle board) specimens used within the log.
Figure 2. The location of the board from the central heartwood (middle board) specimens used within the log.
Forests 17 00471 g002
Figure 3. The measured color coordinates of the specimens, arranged according to site type, are presented with coordinate values plotted along the vertical axis (dimensionless). The horizontal axis distinguishes the site types as follows: P.seed—Poor growing conditions, seedling stand; P.sprout—Poor growing conditions, sprout stand; G.seed—Good growing conditions, seedling stand; G.sprout—Good growing conditions, sprout stand. The color parameters indicated after the hyphens correspond to: (A) L*; (B) a* and b*. SD denotes standard deviation.
Figure 3. The measured color coordinates of the specimens, arranged according to site type, are presented with coordinate values plotted along the vertical axis (dimensionless). The horizontal axis distinguishes the site types as follows: P.seed—Poor growing conditions, seedling stand; P.sprout—Poor growing conditions, sprout stand; G.seed—Good growing conditions, seedling stand; G.sprout—Good growing conditions, sprout stand. The color parameters indicated after the hyphens correspond to: (A) L*; (B) a* and b*. SD denotes standard deviation.
Forests 17 00471 g003
Figure 4. Representative photographs of specimens obtained subsequent to colorimetric assessment (kiln dried, stored for a long time in closed storage and planed half middle boards) are shown. All specimens came from an identical site type characterized by good growing conditions, and a stand grown from seedlings. The Hungarian regions of origin, displayed from left to right, are Sopron–Vas Plain; Nyírség Floodplain; Zselic Hills; and Kiskunság.
Figure 4. Representative photographs of specimens obtained subsequent to colorimetric assessment (kiln dried, stored for a long time in closed storage and planed half middle boards) are shown. All specimens came from an identical site type characterized by good growing conditions, and a stand grown from seedlings. The Hungarian regions of origin, displayed from left to right, are Sopron–Vas Plain; Nyírség Floodplain; Zselic Hills; and Kiskunság.
Forests 17 00471 g004
Figure 5. Average total color differences (ΔE*) of the boards, grouped by growing site type. The difference between the average color components of each specimen and the entire sample set averages used in this study was calculated. The diagram shows the averages of the ΔE* values for the specimens belonging to each site type. The average ΔE* values shown in the diagram were obtained by averaging the calculated ΔE* values by growing site type. Standard deviation is shown by red bars, while the numbers above the bars denote the sample size included in the statistical evaluation.
Figure 5. Average total color differences (ΔE*) of the boards, grouped by growing site type. The difference between the average color components of each specimen and the entire sample set averages used in this study was calculated. The diagram shows the averages of the ΔE* values for the specimens belonging to each site type. The average ΔE* values shown in the diagram were obtained by averaging the calculated ΔE* values by growing site type. Standard deviation is shown by red bars, while the numbers above the bars denote the sample size included in the statistical evaluation.
Forests 17 00471 g005
Figure 6. Average values of the color coordinates for specimens from the distinct site types are illustrated for each investigated region (identified on the left). Standard deviations are represented by red bars. The percentages displayed above the columns indicate the average proportional contribution of the respective color coordinate to ΔE*, its relative influence on total color difference. The horizontal axes show the site types: Poor seedling—Poor growing conditions, seedling stand; Poor sprout—Poor growing conditions, sprout stand; Good seedling—Good growing conditions, seedling stand; Good sprout—Good growing conditions, sprout stand.
Figure 6. Average values of the color coordinates for specimens from the distinct site types are illustrated for each investigated region (identified on the left). Standard deviations are represented by red bars. The percentages displayed above the columns indicate the average proportional contribution of the respective color coordinate to ΔE*, its relative influence on total color difference. The horizontal axes show the site types: Poor seedling—Poor growing conditions, seedling stand; Poor sprout—Poor growing conditions, sprout stand; Good seedling—Good growing conditions, seedling stand; Good sprout—Good growing conditions, sprout stand.
Forests 17 00471 g006
Figure 7. Average total color differences (ΔE*) between boards cut from the same tree, grouped by growing site type. The ΔE* values were determined based on the average color components of boards from the same tree. The average ΔE* values shown in the diagram were obtained by averaging the ΔE* values by growing site type. Standard deviations are indicated by red bars, and the numbers above the bars represent the number of analyzed specimens.
Figure 7. Average total color differences (ΔE*) between boards cut from the same tree, grouped by growing site type. The ΔE* values were determined based on the average color components of boards from the same tree. The average ΔE* values shown in the diagram were obtained by averaging the ΔE* values by growing site type. Standard deviations are indicated by red bars, and the numbers above the bars represent the number of analyzed specimens.
Forests 17 00471 g007
Table 1. Key data related to the samples used in this study.
Table 1. Key data related to the samples used in this study.
Site No. & Short NameSite TypeRegion of HungaryEOV
Coordinates
Number of SpecimensNumber of MeasurementsAverage DiameterAverage Age
1—PSePoor growing conditions, seedling standKiskunság674622, 11434443751731
Kemeneshát Hills475547, 17963232740
Sopron–Vas Plain492268, 23607521837
2—PSpPoor growing
conditions,
sprout stand
Nyírség Floodplain878676, 29063621001837
3—GSeGood growing conditions, seedling standKiskunság686546, 10910523252535
Zselic Hills566078, 9242122032
Nyírség Floodplain881955, 32152912432
Nyírség Floodplain875568, 29603112030
Sopron–Vas Plain492268, 23607523236
4—GSpGood growing
conditions,
sprout stand
Zselic Hills566078, 9242121752233
Nyírség Floodplain877527, 29192212236
Sopron–Vas Plain492268, 23607512235
Table 2. The relationship between unaided human visual assessment and the color difference parameter ∆E* [57].
Table 2. The relationship between unaided human visual assessment and the color difference parameter ∆E* [57].
∆E* < 1Imperceptible
1 ≤ ∆E* < 2Barely noticeable
2 ≤ ∆E* < 3.5Noticeable
3.5 ≤ ∆E* < 5Distinct
5 ≤ ∆E*Large
Table 3. Color-coordinate-level similarities compared to the total sample size, based on comparisons between seed-origin and sprout-origin trees across all site types and regions.
Table 3. Color-coordinate-level similarities compared to the total sample size, based on comparisons between seed-origin and sprout-origin trees across all site types and regions.
L*a*b*
Seedling-Seedling9.5%14.3%9.5%
Sprout-Sprout0.0%16.7%33.3%
Seedling-Sprout0.0%21.4%21.4%
Table 4. Total color differences (ΔE*) among all growing site types and regions. The color components were averaged by site types in each region and ΔE* values were calculated between all site types and regions. Abbreviations distinguish the site types: PSe—Poor growing conditions, seedling stand; PSp—Poor growing conditions, sprout stand; GSe—Good growing conditions, seedling stand; GSp—Good growing conditions, sprout stand.
Table 4. Total color differences (ΔE*) among all growing site types and regions. The color components were averaged by site types in each region and ΔE* values were calculated between all site types and regions. Abbreviations distinguish the site types: PSe—Poor growing conditions, seedling stand; PSp—Poor growing conditions, sprout stand; GSe—Good growing conditions, seedling stand; GSp—Good growing conditions, sprout stand.
ΔE*Kiskunság
PSe
Kemeneshát PSeSopronVas
PSe
Nyírség
PSp
Kiskunság GSeZselic
GSe
Nyírség
GSe
Sopron–Vas
GSe
Zselic
GSp
Nyírség
GSp
Sopron–Vas GSp
Kiskunság PSe
Kemeneshát PSe8.5
Sopron–Vas PSe4.86.0
Nyírség PSp3.611.87.3
Kiskunság GSe1.09.35.42.7
Zselic GSe3.08.56.85.33.2
Nyírség GSe3.75.71.36.54.45.5
Sopron–Vas GSe4.57.61.76.35.07.12.4
Zselic GSp5.82.93.78.96.66.23.25.2
Nyírség GSp6.91.95.410.27.76.64.76.91.9
Sopron–Vas GSp9.91.67.013.210.710.06.98.64.43.4
Forests 17 00471 i001 Large (ΔE* > 5); Forests 17 00471 i002 Barely noticeable (ΔE* < 2).
Disclaimer/Publisher’s Note: The statements, opinions and data contained in all publications are solely those of the individual author(s) and contributor(s) and not of MDPI and/or the editor(s). MDPI and/or the editor(s) disclaim responsibility for any injury to people or property resulting from any ideas, methods, instructions or products referred to in the content.

Share and Cite

MDPI and ACS Style

Németh, R.; Tolvaj, L.; Govina, J.K.; Seidu, H.; Younis, F.A.A.A.; Báder, M. Effects of Growing Sites on the Color Variations in Black Locust (Robinia pseudoacacia L.) Wood. Forests 2026, 17, 471. https://doi.org/10.3390/f17040471

AMA Style

Németh R, Tolvaj L, Govina JK, Seidu H, Younis FAAA, Báder M. Effects of Growing Sites on the Color Variations in Black Locust (Robinia pseudoacacia L.) Wood. Forests. 2026; 17(4):471. https://doi.org/10.3390/f17040471

Chicago/Turabian Style

Németh, Róbert, László Tolvaj, James K. Govina, Haruna Seidu, Fath Alrhman A. A. Younis, and Mátyás Báder. 2026. "Effects of Growing Sites on the Color Variations in Black Locust (Robinia pseudoacacia L.) Wood" Forests 17, no. 4: 471. https://doi.org/10.3390/f17040471

APA Style

Németh, R., Tolvaj, L., Govina, J. K., Seidu, H., Younis, F. A. A. A., & Báder, M. (2026). Effects of Growing Sites on the Color Variations in Black Locust (Robinia pseudoacacia L.) Wood. Forests, 17(4), 471. https://doi.org/10.3390/f17040471

Note that from the first issue of 2016, this journal uses article numbers instead of page numbers. See further details here.

Article Metrics

Back to TopTop