Pathogenicity of Diplodia fraxini and Other Botryosphaeriaceae Identified on Fraxinus excelsior with Dieback Symptoms in Poland
Abstract
1. Introduction
2. Materials and Methods
2.1. Sampling of Cultures
2.2. DNA Extraction, PCR, Sequencing, and Phylogenetic Analyses
2.3. Effect of Temperature on Mycelial Growth
2.4. Pathogenicity Test
2.5. Statistical Analyses
3. Results
3.1. Botryosphaeriaceae Species Identified on F. excelsior
3.2. Morphological and Phylogenetical Aspects
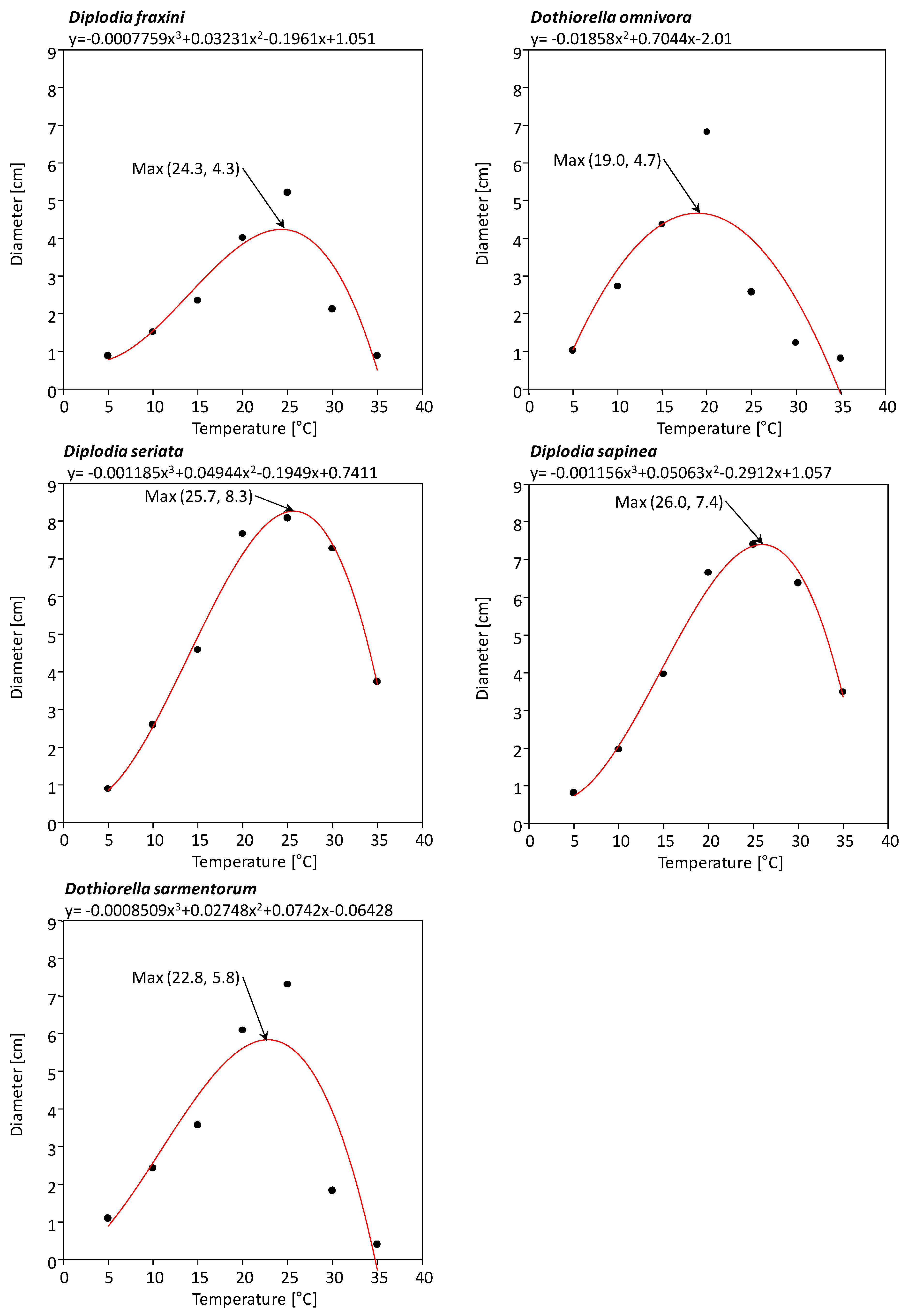
3.3. Influence of Temperature on the Growth of Fungal Colonies In Vitro
3.4. Pathogenicity Assay
4. Discussion
4.1. Diversity of Botryosphaeriaceae Species on F. excelsior
4.2. Temperature Assay
4.3. Pathogenicity of Botryosphaeriaceae Species Towards Fraxinus excelsior
5. Conclusions
Supplementary Materials
Author Contributions
Funding
Data Availability Statement
Acknowledgments
Conflicts of Interest
References
- Kowalski, T. Ozamieraniu jesionów [About the dying of ash trees]. Tryb. Leśnika 2001, 4, 6–7. [Google Scholar]
- Przybył, K. Fungi associated with necrotic apical parts of Fraxinus excelsior shoots. For. Pathol. 2002, 32, 387–394. [Google Scholar] [CrossRef]
- Gross, A.; Holdenrieder, O.; Pautasso, M.; Queloz, V.; Sieber, T.N. Hymenoscyphus pseudoalbidus, the causal agent of European ash dieback. Mol. Plant Pathol. 2014, 15, 5–21. [Google Scholar] [CrossRef]
- Coker, T.L.R.; Rozsypálek, J.; Edwards, A.; Harwood, T.P.; Butfoy, L.; Buggs, R.J.A. Estimating mortality rates of European ash (Fraxinus excelsior) under the ash dieback (Hymenoscyphus fraxineus) epidemic. Plants People Planet 2019, 1, 48–58. [Google Scholar] [CrossRef]
- Enderle, R.; Stenlid, J.; Vasaitis, R. An overview of ash (Fraxinus spp.) and the ash dieback disease in Europe. CABI Rev. 2019, 2019, 1–12. [Google Scholar] [CrossRef]
- Pastircáková, K.; Adamcíková, K.; Barta, M.; Pažitnỳ, J.; Hot’ka, P.; Sarvašová, I.; Horáková, M.K. Host range of Hymenoscyphus fraxineus in Slovak Arboreta. Forests 2020, 11, 596. [Google Scholar] [CrossRef]
- Agan, A.; Tedersoo, L.; Hanso, M.; Drenkhan, R. Traces of Hymenoscyphus fraxineus in Northeastern Europe extend further back in history than expected. Plant Dis. 2023, 107, 344–349. [Google Scholar] [CrossRef]
- Peters, S.; Fuchs, S.; Bien, S.; Bußkamp, J.; Langer, G.J.; Langer, E.J. Fungi associated with stem collar necroses of Fraxinus excelsior affected by ash dieback. Mycol. Prog. 2023, 22, 52. [Google Scholar] [CrossRef]
- Bakys, R.; Pliūra, A.; Bajerkevičienė, G.; Marčiulynas, A.; Marčiulynienė, D.; Lynikienė, J.; Menkis, A. Mycobiota associated with symptomatic and asymptomatic Fraxinus excelsior in post-dieback forest stands. Forests 2022, 13, 1609. [Google Scholar] [CrossRef]
- Migliorini, D.; Luchi, N.; Nigrone, E.; Pecori, F.; Pepori, A.L.; Santini, A. Expansion of Ash Dieback towards the scattered Fraxinus excelsior range of the Italian peninsula. Biol. Invasions 2022, 24, 1359–1373. [Google Scholar] [CrossRef]
- Soldi, E.; Tiley, A.; O’hanlon, R.; Murphy, B.R.; Hodkinson, T.R. Ash dieback and other pests and pathogens of Fraxinus on the island of Ireland. Biol. Environ. 2022, 122, 85–122. [Google Scholar] [CrossRef]
- Marçais, B.; Giraudel, A.; Husson, C. Ability of the ash dieback pathogen to reproduce and to induce damage on its host are controlled by different environmental parameters. PLoS Pathog. 2023, 19, e1010558. [Google Scholar] [CrossRef] [PubMed]
- Kirisits, T.; Matlakova, M.; Mottinger-Kroupa, S.; Halmschlager, E.; Lakatos, F. Chalara fraxinea associated with dieback of narrow-leafed ash (Fraxinus angustifolia). Plant Pathol. 2010, 59, 411. [Google Scholar] [CrossRef]
- Kranjec Orlović, J.; Moro, M.; Diminić, D. Role of root and stem base fungi in Fraxinus angustifolia (Vahl) dieback in Croatian floodplain forests. Forests 2020, 11, 607. [Google Scholar] [CrossRef]
- Kirisits, T. Further observations on the association of Hymenoscyphus fraxineus with Fraxinus ornus. Balt. For. 2017, 23, 60–67. [Google Scholar]
- Bakys, R.; Vasaitis, R.; Barklund, P.; Thomsen, I.M.; Stenlid, J. Occurrence and pathogenicity of fungi in necrotic and non-symptomatic shoots of declining common ash (Fraxinus excelsior) in Sweden. Eur. J. For. Res. 2009, 128, 51–60. [Google Scholar] [CrossRef]
- Kowalski, T.; Kraj, W.; Bednarz, B. Fungi on stems and twigs in initial and advanced stages of dieback of European ash (Fraxinus excelsior) in Poland. Eur. J. For. Res. 2016, 135, 565–579. [Google Scholar] [CrossRef]
- Pastirčáková, K.; Ivanová, H.; Pastirčák, M. Species diversity of fungi on damaged branches and leaves of ashes (Fraxinus spp.) in different types of stands in Slovakia. Cent. Eur. For. J. 2018, 64, 133–139. [Google Scholar] [CrossRef]
- Linaldeddu, B.T.; Bottecchia, F.; Bregant, C.; Maddau, L.; Montecchio, L. Diplodia fraxini and Diplodia subglobosa: The Main Species Associated with Cankers and Dieback of Fraxinus excelsior in North-Eastern Italy. Forests 2020, 11, 883. [Google Scholar] [CrossRef]
- Linaldeddu, B.T.; Bregant, C.; Montecchio, L.; Brglez, A.; Piškur, B.; Ogris, N. First report of Diplodia fraxini and Diplodia subglobosa causing canker and dieback of Fraxinus excelsior in Slovenia. Plant Dis. 2022, 106, 26–29. [Google Scholar] [CrossRef]
- Lyubenova, A.; Dimitrova-Mateva, P. Severe Dieback of European Ash Shelterbelts in Northeastern Bulgaria Associated with Diplodia fraxini. Forests 2025, 16, 1701. [Google Scholar] [CrossRef]
- Carlucci, A.; Cibelli, F.; Lops, F.; Raimondo, M.L. Characterization of Botryosphaeriaceae species as causal agents of trunk diseases on grapevines. Plant Dis. 2015, 99, 1678–1688. [Google Scholar] [CrossRef] [PubMed]
- Kazemzadeh Chakusary, M.; Mohammadi, H.; Khodaparast, S.A. Diversity and pathogenicity of Botryosphaeriaceae species on forest trees in the north of Iran. Eur. J. For. Res. 2019, 138, 685–704. [Google Scholar] [CrossRef]
- Wiman, N.G.; Webber, J.B.; Wiseman, M.; Merlet, L. Identity and pathogenicity of some fungi associated with hazelnut (Corylus avellana L.) trunk cankers in Oregon. PLoS ONE 2019, 14, e0223500. [Google Scholar] [CrossRef] [PubMed]
- Phillips, A.J.L.; Lopes, J.; Abdollahzadeh, J.; Bobev, S.; Alves, A. Resolving the Diplodia complex on apple and other Rosaceae hosts. Persoonia Mol. Phylogeny Evol. Fungi 2012, 29, 29–38. [Google Scholar] [CrossRef]
- Dissanayake, A.J.; Phillips, A.J.L.; Li, X.H.; Hyde, K.D. Botryosphaeriaceae: Current status of genera and species. Mycosphere 2016, 7, 1001–1073. [Google Scholar] [CrossRef]
- Zhang, W.; Groenewald, J.Z.; Lombard, L.; Schumacher, R.K.; Phillips, A.J.L.; Crous, P.W. Evaluating species in Botryosphaeriales. Persoonia Mol. Phylogeny Evol. Fungi 2021, 46, 63–115. [Google Scholar] [CrossRef]
- Phillips, A.J.L.; Alves, A.; Abdollahzadeh, J.; Slippers, B.; Wingfield, M.J.; Groenewald, J.Z.; Crous, P.W. The Botryosphaeriaceae: Genera and species known from culture. Stud. Mycol. 2013, 76, 51–167. [Google Scholar] [CrossRef]
- Nagel, J.H.; Wingfield, M.J.; Slippers, B. Next-generation sequencing provides important insights into the biology and evolution of the Botryosphaeriaceae. Fungal Biol. Rev. 2021, 38, 25–43. [Google Scholar] [CrossRef]
- Alves, A.; Linaldeddu, B.T.; Deidda, A.; Scanu, B.; Phillips, A.J.L. The complex of Diplodia species associated with Fraxinus and some other woody hosts in Italy and Portugal. Fungal Divers. 2014, 67, 143–156. [Google Scholar] [CrossRef]
- Zhou, S.; Stanosz, G.R. Relationships among Botryosphaeria species and associated anamorphic fungi inferred from the analyses of ITS and 5.8S rDNA sequences. Mycologia 2001, 93, 516–527. [Google Scholar] [CrossRef]
- Kraj, W.; Kowalski, T.; Zarek, M. Structure and genetic variation of Diplodia mutila on declining ashes (Fraxinus excelsior) in Poland. J. Plant Pathol. 2013, 95, 499–507. [Google Scholar] [CrossRef]
- Elena, G.; León, M.; Abad-Campos, P.; Armengol, J.; Mateu-Andrés, I.; Güemes-Heras, J. First Report of Diplodia fraxini Causing Dieback of Fraxinus angustifolia in Spain. Plant Dis. 2018, 102, 2645. [Google Scholar] [CrossRef]
- Benigno, A.; Bregant, C.; Aglietti, C.; Rossetto, G.; Tolio, B.; Moricca, S.; Linaldeddu, B.T. Pathogenic fungi and oomycetes causing dieback on Fraxinus species in the Mediterranean climate change hotspot region. Front. For. Glob. Change 2023, 6, 1253022. [Google Scholar] [CrossRef]
- Orlović, J.K.; Bregant, C.; Linaldeddu, B.T.; Montecchio, L.; Volenec, I.; Uidl, K.; Diminić, D. Diplodia fraxini: The Main Pathogen Involved in the Ash Dieback of Fraxinus angustifolia in Croatia. Microorganisms 2025, 13, 1238. [Google Scholar] [CrossRef]
- Kowalski, T.; Kraj, W.; Szeszycki, T. Badania nad zamieraniem jesionu w drzewostanach nadleśnictwa Rokita. The studies on ash decline in Rokita Forest District stands. Acta Agrar. Silvestria Ser. Silvestris 2012, 50, 3–22. [Google Scholar]
- Ivanová, H. Identification and characterization of the fungus Dothiorella sarmentorum on necrotic shoots of declining ash in Slovakia. Folia Oecologica 2018, 45, 53–57. [Google Scholar] [CrossRef]
- Kowalski, T.; Łukomska, A. Badania nad zamieraniem jesionu (Fraxinus excelsior L.) w drzewostanach Nadleśnictwa Włoszczowa. Studies on Fraxinus excelsior L. dieback in Włoszczowa Forest Unit stands. Acta Agrobot. 2005, 58, 429–440. [Google Scholar] [CrossRef]
- Kowalski, T.; Czekaj, A. Symptomy chorobowe i grzyby na zamierających jesionach (Fraxinus excelsior L.) w drzewostanach Nadleśnictwa Staszów. Disease symptoms and fungi on dying ash trees (Fraxinus excelsior L.) in Staszów Forest District stands. Leśne Pr. Badaw. 2010, 71, 357–368. [Google Scholar]
- Schlegel, M.; Queloz, V.; Sieber, T.N. The endophytic mycobiome of European ash and sycamore maple leaves—Geographic patterns, host specificity and influence of ash dieback. Front. Microbiol. 2018, 9, 2345. [Google Scholar] [CrossRef]
- Slippers, B.; Wingfield, M.J. Botryosphaeriaceae as endophytes and latent pathogens of woody plants: Diversity, ecology and impact. Fungal Biol. Rev. 2007, 21, 90–106. [Google Scholar] [CrossRef]
- Blumenstein, K.; Bußkamp, J.; Langer, G.J.; Terhonen, E. Diplodia tip blight pathogen’s virulence empowered through host switch. Front. Fungal Biol. 2022, 3, 939007. [Google Scholar] [CrossRef]
- Rafiqi, M.; Kosawang, C.; Peers, J.A.; Jelonek, L.; Yvanne, H.; McMullan, M.; Nielsen, L.R. Endophytic fungi related to the ash dieback causal agent encode signatures of pathogenicity on European ash. IMA Fungus 2023, 14, 10. [Google Scholar] [CrossRef]
- Lazzizera, C.; Frisullo, S.; Alves, A.; Lopes, J.; Phillips, A.J.L. Phylogeny and morphology of Diplodia species on olives in Southern Italy and description of Diplodia olivarum sp. nov. Fungal Divers. 2008, 31, 63–71. [Google Scholar]
- Phillips, A.J.L.; Alves, A.; Pennycook, S.R.; Johnston, P.R.; Ramaley, A.; Akulov, A.; Crous, P.W. Resolving the phylogenetic and taxonomic status of dark-spored teleomorph genera in the Botryosphaeriaceae. Persoonia Mol. Phylogeny Evol. Fungi 2008, 21, 29–55. [Google Scholar] [CrossRef]
- Linaldeddu, B.T.; Deidda, A.; Scanu, B.; Franceschini, A.; Alves, A.; Abdollahzadeh, J.; Phillips, A.J.L. Phylogeny, morphology and pathogenicity of Botryosphaeriaceae, Diatrypaceae and Gnomoniaceae associated with branch diseases of hazelnut in Sardinia (Italy). Eur. J. Plant Pathol. 2016, 146, 259–279. [Google Scholar] [CrossRef]
- Bilański, P.; Grad, B.; Kowalski, T. Pyrenochaeta fraxinina as colonizer of ash and sycamore petioles, its morphology, ecology, and phylogenetic connections. Mycol. Prog. 2022, 21, 74. [Google Scholar] [CrossRef]
- White, T.J.; Bruns, T.; Lee, S.; Taylor, J.W. Amplification and direct sequencing of fungal ribosomal RNA genes for phylogenetics. In PCR Protocols: A Guide to Methods and Applications; Innis, M.A., Gelfand, D.H., Sninsky, J.J., White, T.J., Eds.; Academic Press Inc.: New York, NY, USA, 1990; pp. 315–322. [Google Scholar]
- Gardes, M.; Bruns, T.D. ITS primers with enhanced specificity for Basidiomycetes—Application to the identification of mycorrhizae and rusts. Mol. Ecol. 1993, 2, 113–118. [Google Scholar] [CrossRef]
- Glass, N.L.; Donaldson, G.C. Development of primer sets designed for use with the PCR to amplify conserved genes from filamentous ascomycetes. Appl. Environ. Microbiol. 1995, 61, 1323–1330. [Google Scholar] [CrossRef] [PubMed]
- Alves, A.; Crous, P.W.; Correia, A.; Phillips, A.J.L. Morphological and molecular data reveal cryptic speciation in Lasiodiplodia theobromae. Fungal Divers. 2008, 28, 1–13. [Google Scholar]
- Zhang, Z.; Schwartz, S.; Wagner, L.; Miller, W. A Greedy Algorithm for Aligning DNA Sequences. J. Comput. Biol. 2000, 7, 203–214. [Google Scholar] [CrossRef]
- Morgulis, A.; Coulouris, G.; Raytselis, Y.; Madden, T.L.; Agarwala, R.; Schäffer, A.A. Database indexing for production MegaBLAST searches. Bioinformatics 2008, 24, 1757–1764. [Google Scholar] [CrossRef] [PubMed]
- Olmo, D.; Armengol, J.; León, M.; Gramaje, D. Characterization and Pathogenicity of Botryosphaeriaceae Species Isolated from Almond Trees on the Island of Mallorca (Spain). Plant Dis. 2016, 100, 2483–2491. [Google Scholar] [CrossRef]
- Dissanayake, A. Saprobic Botryosphaeriaceae, including Dothiorella italica sp. nov., associated with urban and forest trees in Italy. Mycosphere 2017, 8, 1157–1176. [Google Scholar] [CrossRef]
- González-Domínguez, E.; Alves, A.; León, M.; Armengol, J. Characterization of Botryosphaeriaceae species associated with diseased loquat (Eriobotrya japonica) in Spain. Plant Pathol. 2017, 66, 77–89. [Google Scholar] [CrossRef]
- Váczy, K.Z.; Németh, M.Z.; Csikós, A.; Kovács, G.M.; Kiss, L. Dothiorella omnivora isolated from grapevine with trunk disease symptoms in Hungary. Eur. J. Plant Pathol. 2018, 150, 817–824. [Google Scholar] [CrossRef]
- Lódolo, X.V.; Lutz, M.C.; Mondino, P.; Ousset, J.; Sosa, M.C. First report of Diplodia seriata, Diplodia mutila, and Dothiorella omnivora associated with apple cankers and dieback in Rio Negro, Argentina. Plant Dis. 2022, 106, 325–327. [Google Scholar] [CrossRef]
- Hall, T.A. BioEdit: A user-friendly biological sequence alignment editor and analysis program for Windows 95/98/NT. Nucleic Acids Symp. Ser. 1999, 41, 95–98. [Google Scholar]
- Katoh, K.; Standley, D.M. MAFFT Multiple Sequence Alignment Software Version 7: Improvements in Performance and Usability. Mol. Biol. Evol. 2013, 30, 772–780. [Google Scholar] [CrossRef]
- Guindon, S.; Gascuel, O. A simple, fast and accurate method to estimate large phylogenies by maximum-likelihood. Syst. Biol. 2003, 52, 696–704. [Google Scholar] [CrossRef]
- Darriba, D.; Taboada, G.L.; Doallo, R.; Posada, D. jModelTest 2: More models, new heuristics and parallel computing. Nat. Methods 2012, 9, 772. [Google Scholar] [CrossRef] [PubMed]
- Guindon, S.; Dufayard, J.-F.; Lefort, V.; Anisimova, M.; Hordijk, W.; Gascuel, O. New algorithms and methods to estimate maximum-likelihood phylogenies: Assessing the performance of PhyML 3.0. Syst. Biol. 2010, 59, 307–321. [Google Scholar] [CrossRef] [PubMed]
- Ronquist, F.; Huelsenbeck, J.P. MrBayes 3: Bayesian phylogenetic inference under mixed models. Bioinformatics 2003, 19, 1572–1574. [Google Scholar] [CrossRef]
- Swofford, D.L. PAUP* 4.0. In Phylogenetic Analysis Using Parsimony (*and Other Methods); Sinauer Associates: Sunderland, MA, USA, 2003. [Google Scholar]
- Stöver, B.C.; Müller, K.F. TreeGraph 2: Combining and visualizing evidence from different phylogenetic analyses. BMC Bioinform. 2010, 11, 7. [Google Scholar] [CrossRef] [PubMed]
- Rambaut, A. FigTree, Tree Figure Drawing Tool, Version 1.4.0; University of Edinburgh: Edinburgh, UK, 2006.
- Kowalski, T.; Bilański, P.; Kraj, W. Pathogenicity of fungi associated with ash dieback towards Fraxinus excelsior. Plant Pathol. 2017, 66, 1228–1238. [Google Scholar] [CrossRef]
- Hammer, Ø.; Harper, D.A.T.; Ryan, P.D. Past: Paleontological statistics software package for education and data analysis. Palaeontol. Electron. 2001, 4, 9. [Google Scholar]
- R Core Team. R: A Language and Environment for Statistical Computing; R Foundation: Vienna, Austria, 2024. [Google Scholar]
- TIBCO Software Inc. Data Science Workbench, Statistica Version 14.0; TIBCO Software Inc.: Palo Alto, CA, USA, 2020.
- Baskarathevan, J.; Jaspers, M.V.; Jones, E.E.; Ridgway, H.J. Incidence and distribution of botryosphaeriaceous species in New Zealand vineyards. Eur. J. Plant Pathol. 2012, 132, 549–560. [Google Scholar] [CrossRef]
- Pitt, W.M.; Úrbez-Torres, J.R.; Trouillas, F.P. Dothiorella vidmadera, a novel species from grapevines in Australia and notes on Spencermartinsia. Fungal Divers. 2013, 61, 209–219. [Google Scholar] [CrossRef]
- Chen, S.F.; Morgan, D.P.; Michailides, T.J. Botryosphaeriaceae and Diaporthaceae associated with panicle and shoot blight of pistachio in California, USA. Fungal Divers. 2014, 67, 157–179. [Google Scholar] [CrossRef]
- Zlatković, M.; Wingfield, M.J.; Jami, F.; Slippers, B. Host specificity of co-infecting Botryosphaeriaceae on ornamental and forest trees in the Western Balkans. For. Pathol. 2018, 48, e12410. [Google Scholar] [CrossRef]
- Rathnayaka, A.R.; Thilini Chethana, K.W.; Phillips, A.J.L.; Jones, E.B.G. Two new species of Botryosphaeriaceae (Botryosphaeriales) and new host/geographical records. Phytotaxa 2022, 564, 8–38. [Google Scholar] [CrossRef]
- Tropf, J.; Bien, S.; Bußkamp, J.; Langer, G.J.; Langer, E.J. Fungi associated with Vitality loss of European beech in central Germany. Mycol. Prog. 2025, 24, 53. [Google Scholar] [CrossRef]
- Dissanayake, A.J.; Camporesi, E.; Hyde, K.D.; Phillips, A.J.L.; Fu, C.Y.; Yan, J.Y.; Li, X. Dothiorella species associated with woody hosts in Italy. Mycosphere 2016, 7, 51–63. [Google Scholar] [CrossRef]
- Bußkamp, J.; Blumenstein, K.; Terhonen, E.; Langer, G.J. Differences in the virulence of Sphaeropsis sapinea strains originating from Scots pine and non-pine hosts. For. Pathol. 2021, 51, e12712. [Google Scholar] [CrossRef]
- Jactel, H.; Nicoll, B.C.; Branco, M.; Gonzalez-Olabarria, J.R.; Grodzki, W.; Långström, B.; Moreira, F.; Netherer, S.; Orazio, C.; Piou, D.; et al. The influences of forest stand management on biotic and abiotic risks of damage. Ann. For. Sci. 2009, 66, 701. [Google Scholar] [CrossRef]
- Lopes, A.; Linaldeddu, B.T.; Phillips, A.J.L.; Alves, A. Mating type gene analyses in the genus Diplodia: From cryptic sex to cryptic species. Fungal Biol. 2018, 122, 629–638. [Google Scholar] [CrossRef]
- Olmo, D.; Gramaje, D.; Armengol, J. Evaluation of fungicides to protect pruning wounds from Botryosphaeriaceae species infections on almond trees. Phytopathol. Mediterr. 2017, 56, 77–86. [Google Scholar] [CrossRef]
- Moral, J.; Muñoz-Díez, C.; González, N.; Trapero, A.; Michailides, T.J. Characterization and pathogenicity of Botryosphaeriaceae species collected from olive and other hosts in Spain and California. Phytopathology 2010, 100, 1340–1351. [Google Scholar] [CrossRef]
- Sánchez, M.E.; Venegas, J.; Romero, M.A.; Phillips, A.J.L.; Trapero, A. Botryosphaeria and Related Taxa Causing Oak Canker in Southwestern Spain. Plant Dis. 2003, 87, 1515–1521. [Google Scholar] [CrossRef] [PubMed]
- Kraj, W.; Kowalski, T. Genetic variation in Polish strains of Gremmeniella abietina. For. Pathol. 2008, 38, 203–217. [Google Scholar] [CrossRef]
- Thompson, S.; Alvarez-Loayza, P.; Terborgh, J.; Katul, G. The effects of plant pathogens on tree recruitment in the Western Amazon under a projected future climate: A dynamical systems analysis. J. Ecol. 2010, 98, 1434–1446. [Google Scholar] [CrossRef]
- Langer, G.J.; Bußkamp, J. Vitality loss of beech: A serious threat to Fagus sylvatica in Germany in the context of global warming. J. Plant Dis. Prot. 2023, 130, 1101–1115. [Google Scholar] [CrossRef]
- Grosdidier, M.; Ioos, R.; Marçais, B. Do higher summer temperatures restrict the dissemination of Hymenoscyphus fraxineus in France? For. Pathol. 2018, 48, e12426. [Google Scholar] [CrossRef]
- López-Moral, A.; Lovera, M.; Antón-Domínguez, B.I.; Gámiz, A.M.; Michailides, T.J.; Arquero, O.; Trapero, A.; Agustí-Brisach, C. Effects of Cultivar Susceptibility, Branch Age, and Temperature on Infection by Botryosphaeriaceae and Diaporthe Fungi on English Walnut (Juglans regia). Plant Dis. 2022, 106, 2920–2926. [Google Scholar] [CrossRef]
- Kowalski, T.; Holdenrieder, O. Pathogenicity of Chalara fraxinea. For. Pathol. 2009, 39, 1–7. [Google Scholar] [CrossRef]
- Cimmino, A.; Maddau, L.; Masi, M.; Linaldeddu, B.T.; Pescitelli, G.; Evidente, A. Fraxitoxin, a new isochromanone isolated from Diplodia fraxini. Chem. Biodivers. 2017, 14, e1700325. [Google Scholar] [CrossRef]
- Salvatore, M.M.; Nicoletti, R.; Russo, M.T.; Mahamedi, A.E.; Berraf-Tebbal, A.; DellaGreca, M.; Anna, A. First report of 6-methylpyridione analogues from Dothiorella sarmentorum, a botryosphaeriaceous fungus associated with grapevine trunk diseases. Nat. Prod. Res. 2023, 12, 2748–2755. [Google Scholar] [CrossRef]
- Inderbitzin, P.; Bostock, R.M.; Trouillas, F.P.; Michailides, T.J. A six locus phylogeny reveals high species diversity in Botryosphaeriaceae from California almond. Mycologia 2010, 102, 1350–1368. [Google Scholar] [CrossRef]
- Reveglia, P.; Billones-Baaijens, R.; Savocchia, S. Phytotoxic Metabolites Produced by Fungi Involved in Grapevine Trunk Diseases: Progress, Challenges, and Opportunities. Plants 2022, 11, 3382. [Google Scholar] [CrossRef] [PubMed]
- Fabre, B.; Piou, D.; Desprez-Loustau, M.; Marçais, B. Can the emergence of pine Diplodia shoot blight in France be explained by changes in pathogen pressure linked to climate change? Glob. Change Biol. 2011, 17, 3218–3227. [Google Scholar] [CrossRef]
- Piškur, B.; Pavlic, D.; Slippers, B.; Ogris, N.; Maresi, G.; Wingfield, M.J.; Jurc, D. Diversity and pathogenicity of Botryosphaeriaceae on declining Ostrya carpinifolia in Slovenia and Italy following extreme weather conditions. Eur. J. For. Res. 2011, 130, 235–249. [Google Scholar] [CrossRef]









| Fungal Species | Isolate 1 | Location (Forest District) 2 | Sampling Date | S. T. 3 | ITS | TEF1 | BT |
|---|---|---|---|---|---|---|---|
| Diplodia fraxini | 48E | Miechów | 08.10.2016 | f | PX658893 | ||
| 51E | Rokita | 10.10.2012 | c | PX658894 | |||
| 74E | Ojców | 23.11.2013 | c | PX658895 | |||
| 247K | Pińczów | 24.08.2007 | c | PX658896 | PX663858 | ||
| 249K | Gryfice | 18.08.2009 | b | PX658897 | PX663859 | ||
| 250K | Staszów | 20.10.2009 | a | PX658898 | PX663860 | ||
| 251K | Włoszczowa | 02.06.2010 | c | PX658899 | PX663861 | ||
| 252K | Włoszczowa | 02.06.2010 | c | PX658900 | PX663862 | ||
| 253K | Rokita | 16.08.2010 | c | PX658901 | PX663863 | ||
| 254K | Rokita | 16.08.2010 | c | PX658902 | PX663864 | ||
| 255K | Resko | 12.08.2010 | c | PX658903 | PX663865 | ||
| 256K | Resko | 12.08.2010 | d | PX658904 | PX663866 | ||
| 257K | Resko | 12.08.2010 | b | PX658905 | PX663867 | ||
| 258K | Gryfice | 21.08.2009 | a | PX658906 | PX663868 | ||
| 259K | Staszów | 05.08.2009 | a | PX658907 | PX663869 | ||
| 260K | Miechów | 23.05.2010 | a | PX658908 | PX663870 | ||
| 266K | Ojców | 29.05.2010 | a | PX658909 | PX663871 | ||
| 267K | Stary Sącz | 12.12.2013 | c | PX658910 | PX663872 | ||
| 268K | Stary Sącz | 12.12.2013 | d | PX658911 | PX663873 | ||
| 269K | Stary Sącz | 12.12.2013 | c | PX658912 | PX663874 | ||
| 270K | Stary Sącz | 12.12.2013 | c | PX658913 | PX663875 | ||
| 307E | Puławy | 18.08.2015 | e | PX658914 | |||
| 347K | Gryfice | 08.08.2007 | c | PX658915 | PX663876 | ||
| 348K | Ojców | 22.09.2009 | a | PX658916 | PX663877 | ||
| 349K | Ojców | 22.09.2009 | a | PX658917 | PX663878 | ||
| 350K | Miechów | 25.05.2010 | a | PX658918 | PX663879 | ||
| 351K | Miechów | 25.05.2010 | a | PX658919 | PX663880 | ||
| 354K | Przedbórz | 12.06.2010 | b | PX658920 | PX663881 | ||
| 357K | Ojców | 27.03.2017 | a | PX658921 | PX663882 | ||
| 358K | Ojców | 27.03.2017 | a | PX658922 | PX663883 | ||
| 974F 1 | Przedbórz | 12.06.2010 | b | PX658923 | PX663884 | ||
| 975F | Włoszczowa | 02.06.2010 | c | PX658924 | PX663885 | ||
| 976F | Rokita | 16.08.2010 | c | PX658925 | |||
| 977F | Resko | 12.08.2010 | b | PX658926 | |||
| 978F 1 | Gryfice | 18.08.2010 | b | PX658927 | PX663886 | ||
| 979F 1 | Staszów | 23.09.2009 | a | PX658928 | PX663887 | PX663920 | |
| 980F | Miechów | 29.10.2010 | a | PX658929 | |||
| 981F | Miechów | 25.05.2010 | a | PX658930 | PX663888 | ||
| 983F 1 | Limanowa | 12.06.2010 | b | PX658931 | PX663889 | ||
| 985F | Ojców | 23.11.2013 | d | PX658932 | PX663890 | ||
| 986F 1 | Stary Sącz | 12.12.2013 | c | PX658933 | PX663891 | PX663921 | |
| 987F 1 | Rokita | 30.08.2009 | b | PX658934 | PX663892 | ||
| 994F | Ojców | 22.09.2009 | a | PX658935 | PX663893 | ||
| 998F | Miechów | 01.06.2010 | b | PX658936 | |||
| Diplodia seriata | 59K | Limanowa | 12.06.2010 | a | PX658937 | PX663894 | |
| 71K | Rokita | 18.06.2008 | c | PX658938 | PX663895 | ||
| 248K | Pińczów | 24.08.2007 | c | PX658939 | PX663896 | ||
| 265K | Miechów | 01.06.2016 | a | PX658940 | PX663897 | ||
| 982F1 | Stary Sącz | 10.08.2009 | c | PX658941 | PX663898 | ||
| 996F1 | Staszów | 30.06.2009 | c | PX658942 | PX663899 | PX663922 | |
| 997F | Rokita | 16.11.2009 | c | PX658943 | PX663900 | ||
| 1000F 1 | Stary Sącz | 26.08.2010 | b | PX658944 | PX663901 | PX663923 | |
| 1001F 1 | Miechów | 02.12.2009 | a | PX658945 | PX663902 | ||
| 1002F 1 | Miechów | 29.05.2010 | a | PX658946 | PX663903 | ||
| 1003F 1 | Miechów | 29.05.2010 | a | PX658947 | PX663904 | PX663924 | |
| 1004F | Resko | 12.08.2010 | a | PX658948 | PX663905 | PX663925 | |
| Diplodia sapinea | 262K 1 | Miechów | 01.06.2010 | b | PX658949 | PX663906 | PX663926 |
| Dothiorella omnivora | 352K 1 | Stary Sącz | 10.08.2009 | c | PX658950 | PX663907 | PX663927 |
| 353K 1 | Stary Sącz | 10.08.2009 | c | PX658951 | PX663908 | PX663928 | |
| 355K 1 | Przedbórz | 12.06.2010 | b | PX658952 | PX663909 | PX663929 | |
| Dothiorella sarmentorum | 261K 1 | Przedbórz | 12.06.2010 | b | PX658953 | PX663910 | |
| 263K | Resko | 12.08.2010 | a | PX658954 | PX663911 | ||
| 264K 1 | Miechów | 25.05.2010 | c | PX658955 | PX663912 | PX663930 | |
| 984F | Ojców | 23.08.2015 | c | PX658956 | PX663913 | ||
| 988F1 | Przedbórz | 12.06.2010 | c | PX658957 | PX663914 | PX663931 | |
| 989F | Gryfice | 06.08.2010 | c | PX658958 | PX663915 | ||
| 990F 1 | Przedbórz | 12.06.2010 | b | PX658959 | PX663916 | ||
| 991F 1 | Włoszczowa | 02.06.2010 | b | PX658960 | PX663917 | ||
| 992F | Włoszczowa | 02.06.2010 | b | PX658961 | PX663918 | ||
| 993F 1 | Resko | 12.08.2010 | c | PX658962 | PX663919 |
| Strains 1 | Inoculated Shoots [n] | Occurrence of Longitudinal Necrosis [n] | Mean Length of Necrosis [mm] 2,3 | Standard Deviation | Standard Error of Mean |
|---|---|---|---|---|---|
| Diplodia fraxini | |||||
| 974F a | 8 | 8 | 38.38 a | 7.39 | 2.61 |
| 978F a | 8 | 8 | 39.00 a | 7.73 | 2.73 |
| 979F a | 8 | 8 | 42.00 a | 22.97 | 8.12 |
| 983F a | 8 | 8 | 36.63 a | 3.50 | 1.24 |
| 986F a | 8 | 8 | 34.25 ab | 14.19 | 5.02 |
| 987F a | 8 | 8 | 50.50 a | 29.19 | 10.32 |
| Total | 48 | 48 | 40.13 A | 16.79 | 2.42 |
| Diplodia seriata | |||||
| 982F a | 8 | 6 | 7.00 ab | 4.41 | 1.56 |
| 996F a | 8 | 6 | 7.00 ab | 4.34 | 1.54 |
| 1000F a | 8 | 7 | 10.00 a | 5.13 | 1.81 |
| 1001F a | 8 | 6 | 8.88 a | 6.29 | 2.22 |
| 1002F b | 8 | 5 | 6.50 ab | 5.66 | 2.00 |
| 1003F a | 8 | 6 | 10.38 a | 8.91 | 3.15 |
| Total | 48 | 36 | 8.29 C | 5.87 | 0.85 |
| Dothiorella sarmentorum | |||||
| 261K a | 8 | 8 | 23.13 a | 12.04 | 4.26 |
| 264K a | 8 | 8 | 22.00 a | 5.45 | 1.93 |
| 988F a | 8 | 8 | 15.63 a | 4.63 | 1.64 |
| 990F a | 8 | 8 | 16.75 a | 6.58 | 2.33 |
| 991F a | 8 | 7 | 12.25 ab | 5.34 | 1.89 |
| 993F a | 8 | 8 | 18.88 a | 6.62 | 2.34 |
| Total | 48 | 47 | 18.10 B | 7.78 | 1.12 |
| Dothiorella omnivora | |||||
| 352K b | 8 | 0 | 0.00 b | 0.00 | 0.00 |
| 353K b | 8 | 0 | 0.00 b | 0.00 | 0.00 |
| 355K b | 8 | 0 | 0.00 b | 0.00 | 0.00 |
| Total | 24 | 0 | 0.00 D | 0.00 | 0.00 |
| Diplodia sapinea | |||||
| 262K b | 8 | 0 | 0.00 b | 0.00 | 0.00 |
| Total | 8 | 0 | 0.00 CD | 0.00 | 0.00 |
| Control | |||||
| Control b | 8 | 0 | 0.00 b | 0.00 | 0.00 |
| Total | 8 | 0 | 0.00 CD | 0.00 | 0.00 |
Disclaimer/Publisher’s Note: The statements, opinions and data contained in all publications are solely those of the individual author(s) and contributor(s) and not of MDPI and/or the editor(s). MDPI and/or the editor(s) disclaim responsibility for any injury to people or property resulting from any ideas, methods, instructions or products referred to in the content. |
© 2026 by the authors. Licensee MDPI, Basel, Switzerland. This article is an open access article distributed under the terms and conditions of the Creative Commons Attribution (CC BY) license.
Share and Cite
Bilański, P.; Grad, B.; Kowalski, T. Pathogenicity of Diplodia fraxini and Other Botryosphaeriaceae Identified on Fraxinus excelsior with Dieback Symptoms in Poland. Forests 2026, 17, 150. https://doi.org/10.3390/f17020150
Bilański P, Grad B, Kowalski T. Pathogenicity of Diplodia fraxini and Other Botryosphaeriaceae Identified on Fraxinus excelsior with Dieback Symptoms in Poland. Forests. 2026; 17(2):150. https://doi.org/10.3390/f17020150
Chicago/Turabian StyleBilański, Piotr, Bartłomiej Grad, and Tadeusz Kowalski. 2026. "Pathogenicity of Diplodia fraxini and Other Botryosphaeriaceae Identified on Fraxinus excelsior with Dieback Symptoms in Poland" Forests 17, no. 2: 150. https://doi.org/10.3390/f17020150
APA StyleBilański, P., Grad, B., & Kowalski, T. (2026). Pathogenicity of Diplodia fraxini and Other Botryosphaeriaceae Identified on Fraxinus excelsior with Dieback Symptoms in Poland. Forests, 17(2), 150. https://doi.org/10.3390/f17020150

