Responses of Dominant Tree Species Phenology to Climate Change in the Ailao Mountains Mid-Subtropical Evergreen Broad-Leaved Forest (2008–2022)
Abstract
1. Introduction
2. Materials and Methods
2.1. Study Area
2.2. Data Monitoring
2.3. Classification of Hydrological Years
2.4. Statistical Analysis
3. Results
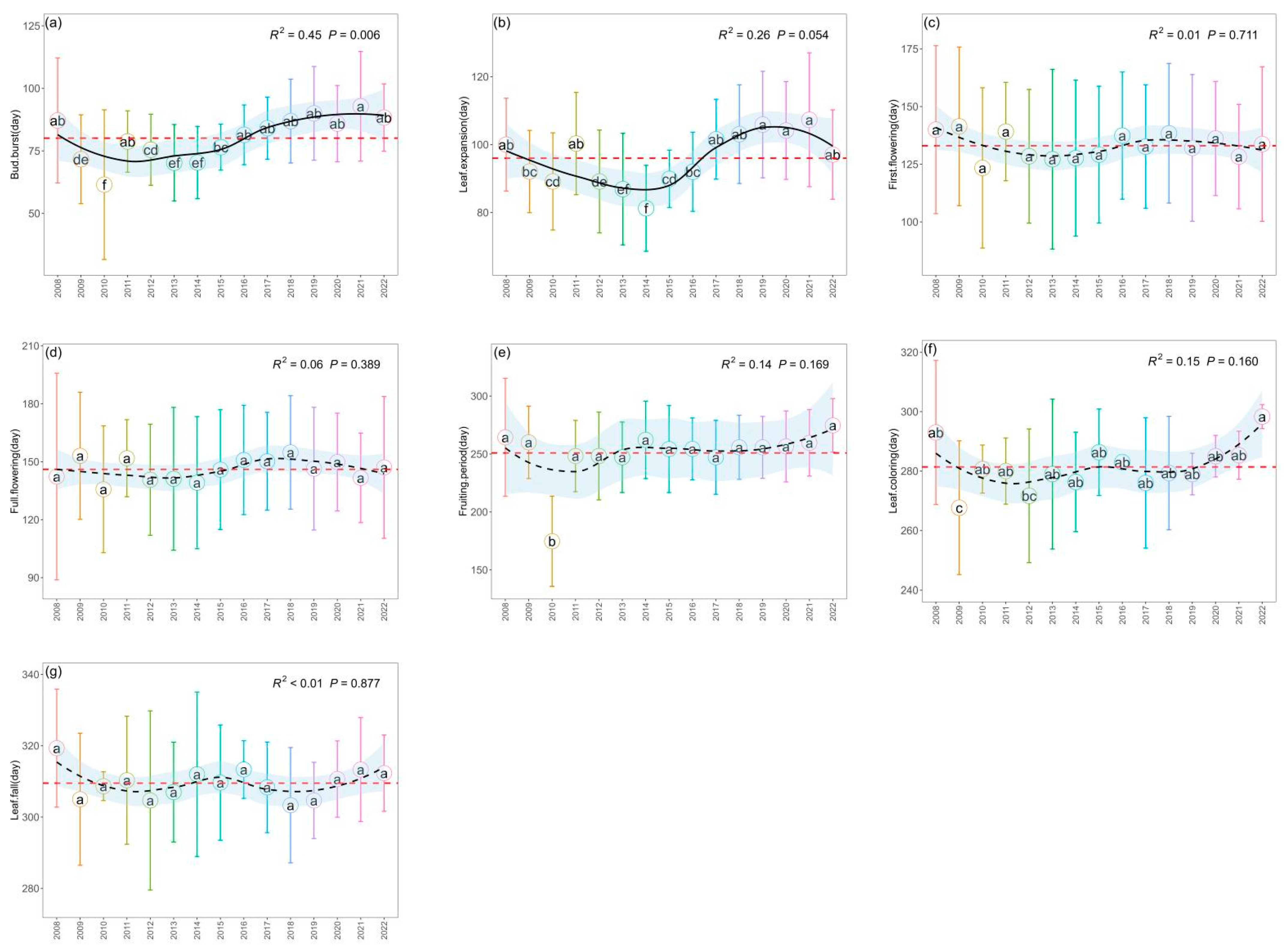
3.1. Interannual Variation in Phenophases of the Mid-Montane Wet Evergreen Broad-Leaved Forest in the Ailao Mountains
3.2. Phenological Differences in Mid-Montane Moist Evergreen Broad-Leaved Forests in the Ailao Mountains Among Different Hydrological Years
3.3. Interspecific Differences in Phenophases of the Mid-Montane Moist Evergreen Broad-Leaved Forest in the Ailao Mountains
3.4. Climate Fluctuations as a Driver of Phenological Shifts in the Evergreen Broad-Leaved Forests of the Ailao Mountains
3.4.1. Climate Fluctuations
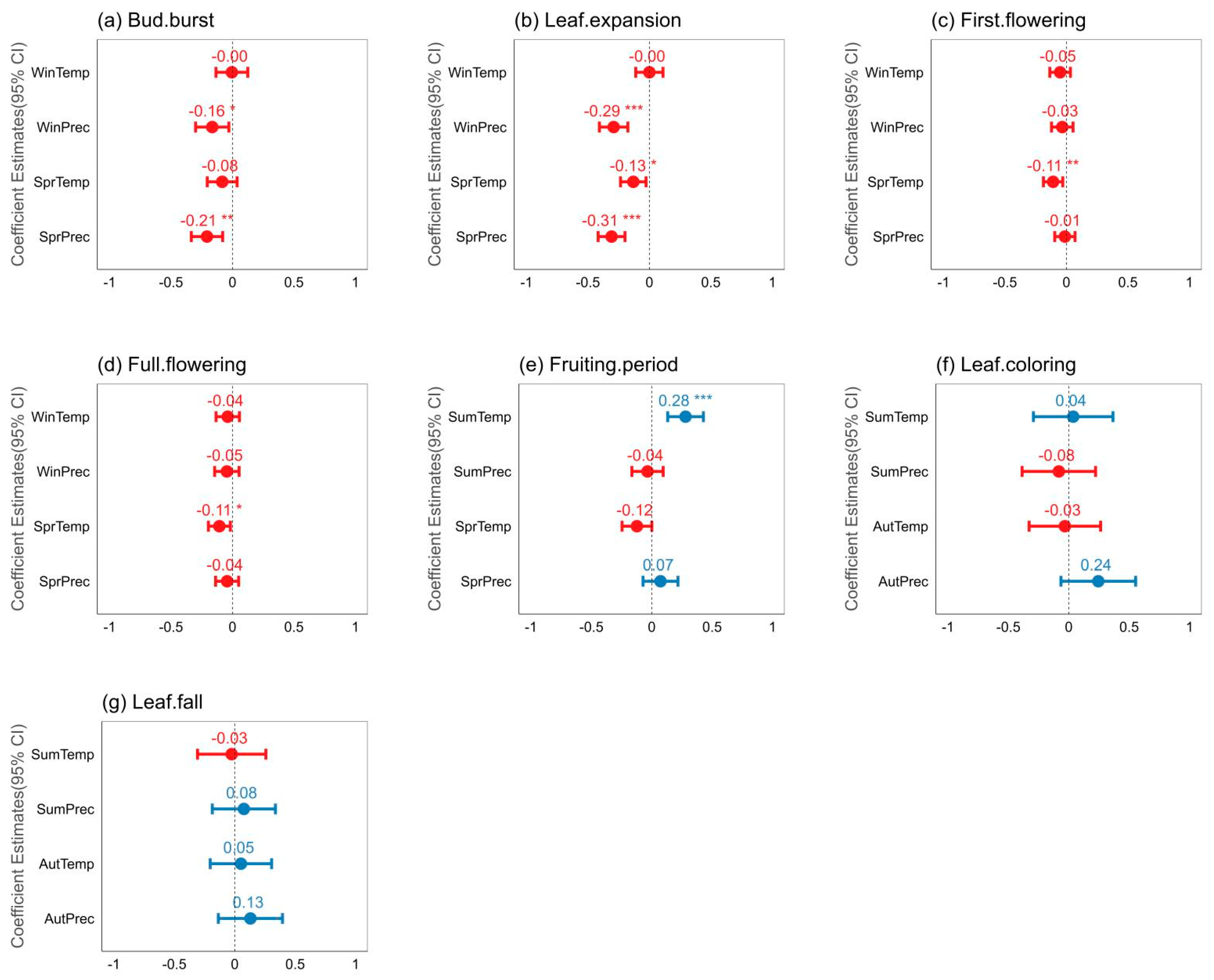
3.4.2. Correlation Analysis Between Phenology and Climatic Variation
4. Discussion
4.1. The Uniqueness of Phenological Responses in Subtropical Montane Forests
4.2. Moisture as a Pivotal Driver of Spring Phenology
4.3. Life-Form Variation Drives Phenological Strategies and Attenuates Their Sensitivity to Climatic Change
5. Conclusions and Future Research
Author Contributions
Funding
Data Availability Statement
Acknowledgments
Conflicts of Interest
References
- Gang, C.C.; Wang, Z.Q.; Yang, Y.; Chen, Y.Z.; Zhang, Y.Z.; Li, J.L.; Chen, J.M. Spatiotemporal dynamics of global grassland ecosystem net primary productivity in response to climate change over the past century. Acta Prataculturae Sin. 2016, 25, 1–14. [Google Scholar]
- Vrieling, A.; Meroni, M.; Darvishzadeh, R.; Skidmore, A.K.; Wang, T.; Zurita-Milla, R.; Oosterbeek, K.; O’Connor, B.; Paganini, M. Vegetation phenology from Sentinel-2 and field cameras for a Dutch barrier island. Remote Sens. Environ. 2018, 215, 517–529. [Google Scholar] [CrossRef]
- Parmesan, C.; Gary Yohe, G. A globally coherent fingerprint of climate change impacts across natural systems. Nature 2003, 421, 37–42. [Google Scholar] [CrossRef]
- Parmesan, C. Influences of species, latitudes and methodologies on estimates of phenological response to global warming. Glob. Change Biol. 2007, 13, 1860–1872. [Google Scholar] [CrossRef]
- Fu, Y.H.; Piao, S.; Op de Beeck, M.; Cong, N.; Zhao, H.; Zhang, Y.; Menzel, A.; Janssens, I. Recent spring phenology shifts in western Central Europe based on multiscale observations. Glob. Ecol. Biogeogr. 2014, 23, 1255–1263. [Google Scholar] [CrossRef]
- Xu, X.Y.; Riley, W.J.; Koven, C.D.; Jia, G.; Zhang, X. Earlier leaf-out warms air in the north. Nat. Clim. Change 2020, 10, 370–375. [Google Scholar] [CrossRef]
- Wang, S.Y.; Zhang, B.; Yang, Q.C.; Chen, G.; Yang, B.; Lu, L.; Shen, M.; Peng, Y. Responses of net primary productivity to phenological dynamics in the Tibetan Plateau, China. Agric. For. Meteorol. 2017, 232, 235–246. [Google Scholar] [CrossRef]
- Estrella, N.; Menzel, A. Responses of leaf colouring of four deciduous tree species to climate and weather in Germany. Clim. Res. 2006, 32, 253–267. [Google Scholar] [CrossRef]
- Menzel, A.; Yuan, Y.; Matiu, M.; Sparks, T.; Scheifinger, H.; Gehrig, R.; Estrella, N. Climate change fingerprints in recent European plant phenology. Glob. Change Biol. 2020, 26, 2599–2612. [Google Scholar] [CrossRef]
- Hudson, A.R.; Smith, W.K.; Moore, D.J.P.; Trouet, V. Length of growing season is modulated by Northern Hemisphere jet stream variability. Int. J. Climatol. 2022, 42, 5644–5660. [Google Scholar] [CrossRef]
- Gu, Y.; Meng, L.; Wang, Y.; Wu, Z.; Pan, Y.; Zhao, Y.; Detto, M.; Wu, J. Uncovering the role of solar radiation and water stress factors in constraining decadal intra-site spring phenology variability in diverse ecosystems across the Northern Hemisphere. New Phytol. 2025, 246, 1986–2003. [Google Scholar] [CrossRef]
- Gordo, O.; Sanz, J.J. Long-term temporal changes of plant phenology in the Western Mediterranean. Glob. Change Biol. 2009, 15, 1930–1948. [Google Scholar] [CrossRef]
- Guan, B.T. Ensemble empirical mode decomposition for analyzing phenological responses to warming. Agric. For. Meteorol. 2014, 194, 1–7. [Google Scholar] [CrossRef]
- Chen, L.; Huang, J.G.; Ma, Q.; Hänninen, H.; Tremblay, F.; Bergeron, Y. Long-term changes in the impacts of global warming on leaf phenology of four temperate tree species. Glob. Change Biol. 2019, 25, 997–1004. [Google Scholar] [CrossRef] [PubMed]
- Vitasse, Y.; Signarbieux, C.; Fu, Y.H. Global warming leads to more uniform spring phenology across elevations. Proc. Natl. Acad. Sci. USA 2018, 115, 1004–1008. [Google Scholar] [CrossRef]
- Suonan, J.; Classen, A.T.; Zhang, Z.; He, J.S. Asymmetric winter warming advanced plant phenology to a greater extent than symmetric warming in an alpine meadow. Funct. Ecol. 2017, 31, 2147–2156. [Google Scholar] [CrossRef]
- Lu, C.; van Groenigen, K.J.; Gillespie, M.A.K.; Hollister, R.D.; Post, E.; Cooper, E.J.; Welker, J.M.; Huang, Y.; Min, X.; Chen, J.; et al. Diminishing warming effects on plant phenology over time. New Phytol. 2025, 245, 523–533. [Google Scholar] [CrossRef]
- Primack, R.B.; Laube, J.; Gallinat, A.S.; Menzel, A. From observations to experiments in phenology research: Investigating climate change impacts on trees and shrubs using dormant twigs. Ann. Bot. 2015, 116, 889–897. [Google Scholar] [CrossRef] [PubMed]
- Gunderson, C.A.; Edwards, N.T.; Walker, A.V.; O’Hara, K.H.; Campion, C.M.; Hanson, P.J. Forest phenology and a warmer climate–growing season extension in relation to climatic provenance. Glob. Change Biol. 2012, 18, 2008–2025. [Google Scholar] [CrossRef]
- Vitasse, Y.; Lenz, A.; Hoch, G.; Körner, C. Earlier leaf-out rather than difference in freezing resistance puts juvenile trees at greater risk of damage than adult trees. J. Ecol. 2014, 102, 981–988. [Google Scholar] [CrossRef]
- Navas, M.L.; Ducout, B.; Roumet, C.; Richarte, J.; Garnier, J.; Garnier, E. Leaf life span, dynamics and construction cost of species from Mediterranean old-fields differing in successional status. New Phytol. 2003, 159, 213–228. [Google Scholar] [CrossRef] [PubMed]
- Morin, X.; Roy, J.; Sonié, L.; Chuine, I. Changes in leaf phenology of three European oak species in response to experimental climate change. New Phytol. 2010, 186, 900–910. [Google Scholar] [CrossRef]
- Lu, C.; Zhang, J.; Min, X.; Chen, J.; Huang, Y.; Zhao, H.; Yan, T.; Liu, X.; Wang, H.; Liu, H. Contrasting responses of early- and late-season plant phenophases to altered precipitation. Oikos 2023, 5, e09829. [Google Scholar] [CrossRef]
- Ernakovich, J.G.; Hopping, K.A.; Berdanier, A.B.; Simpson, R.T.; Kachergis, E.J.; Steltzer, H.; Wallenstein, M.D. Predicted responses of arctic and alpine ecosystems to altered seasonality under climate change. Glob. Change Biol. 2014, 20, 3256–3269. [Google Scholar] [CrossRef]
- Dai, S.; Wei, T.; Tang, J.; Xu, Z.; Gong, H. Temporal Changes in Litterfall and Nutrient Cycling from 2005–2015 in an Evergreen Broad-Leaved Forest in the Ailao Mountains, China. Plants 2023, 12, 1277. [Google Scholar] [CrossRef]
- Zhou, B.; Sterck, F.; Kruijt, B.; Fan, Z.X.; Zuidema, P.A. Diel and seasonal stem growth responses to climatic variation are consistent across species in a subtropical tree community. New Phytol. 2023, 240, 2253–2264. [Google Scholar] [CrossRef]
- Gong, H.; Yang, G.; Lu, Z.; Liu, Y. Species diversity and spatial distribution patterns of trees in an evergreen broad-leaved forest in Ailao Mountain, Yunnan, China. Biodivers. Sci. 2011, 19, 143–150. [Google Scholar]
- Zhi, S. Application of phenology in ecological monitoring. Arid. Environ. Monit. 1991, 5, 50–52+64. [Google Scholar]
- Ma, Y.; Zhao, L.; Wang, J.S.; Yu, T. Increasing difference of China summer precipitation statistics between percentage anomaly and probability distribution methods due to tropical warming. Earth Space Sci. 2021, 8, e2021EA001777. [Google Scholar] [CrossRef]
- QX/T 469-2018; Specifications for Climate Feasibility Demonstration General. China Meteorological Administration: Beijing, China, 2018.
- Lai, J.S.; Zhu, W.J.; Cui, D.F.; Mao, L.F. Extension of the glmm.hp package to zero-inflated generalized linear mixed models and multiple regression. J. Plant Ecol. 2023, 16, rtad038. [Google Scholar] [CrossRef]
- Campbell, J.; Berry, J.; Seibt, U.; Smith, S.; Montzka, S.A.; Launois, T.; Belviso, S.; Bopp, L.; Laine, M. Large historical growth in global terrestrial gross primary production. Nature 2017, 544, 84–87. [Google Scholar] [CrossRef]
- Huang, K.; Xia, J.Y.; Wang, Y.P.; Ahlström, A.; Chen, J.; Cook, R.B.; Cui, E.; Fang, Y.; Fisher, J.B.; Huntzinger, D.N.; et al. Enhanced peak growth of global vegetation and its key mechanisms. Nat. Ecol. Evol. 2018, 2, 1897–1905. [Google Scholar] [CrossRef]
- Lewis, S.; Lloyd, J.; Sitch, S.; Mitchard, E.; Laurance, W. Changing ecology of tropical forests: Evidence and drivers. Annu. Rev. Ecol. Evol. Syst. 2009, 40, 529–549. [Google Scholar] [CrossRef]
- Brienen, R.J.W.; Phillips, O.L.; Feldpausch, T.R.; Gloor, E.; Baker, T.R.; Lloyd, J.; Lopez-Gonzalez, G.; Monteagudo-Mendoza, A.; Malhi, Y.; Lewis, S.L.; et al. Long-term decline of the Amazon carbon sink. Nature 2015, 519, 344–348. [Google Scholar] [CrossRef]
- Lewis, S.; Brando, O.P.; Phillips, G.; van der Heijden Nepstad, D. The 2010 Amazon drought. Science 2011, 331, 554. [Google Scholar] [CrossRef]
- Menzel, A.; Sparks, T.H.; Estrella, N.; Koch, E.; Aasa, A.; Ahas, R.; Alm-Kübler, K.; Bissolli, P.; Braslavská, O.; Briede, A.; et al. European phenological response to climate change matches the warming pattern. Glob. Change Biol. 2006, 12, 1969–1976. [Google Scholar] [CrossRef]
- Root, T.L.; Price, J.T.; Hall, K.R.; Schneider, S.H.; Rosenzweig, C.; Pounds, J.A. Fingerprints of global warming on wild animals and plants. Nature 2003, 421, 57–60. [Google Scholar] [CrossRef] [PubMed]
- Susanne, J.; Annette, M. Does flower phenology mirror the slowdown of global warming? Ecol. Evol. 2015, 5, 2284–2295. [Google Scholar] [CrossRef] [PubMed]
- Huang, C.Y.; Durán, S.M.; Hu, K.T.; Li, H.J.; Swenson, N.G.; Enquist, B.J. Remotely sensed assessment of increasing chronic and episodic drought effects on a Costa Rican tropical dry forest. Ecosphere 2021, 12, e03824. [Google Scholar] [CrossRef]
- Fan, X.Y.; Liu, W.Y.; Song, L.; Liu, S.; Shi, X.-M.; Yuan, G.-D. A combination of morphological and photosynthetic functional traits maintains the vertical distribution of bryophytes in a subtropical cloud forest. Am. J. Bot. 2020, 107, 761–772. [Google Scholar] [CrossRef]
- Dunham, A.E.; Razafindratsima, O.H.; Rakotonirina, P.; Wright, P.C. Fruiting phenology is linked to rainfall variability in a tropical rain forest. Biotropica 2018, 50, 396–404. [Google Scholar] [CrossRef]
- Khosh, M.S.; McClelland, J.W.; Jacobson, A.D.; Douglas, T.A.; Barker, A.J.; Lehn, G.O. Seasonality of dissolved nitrogen from spring melt to fall freezeup in Alaskan Arctic tundra and mountain streams. J. Geophys. Res. Biogeosci. 2017, 122, 1718–1737. [Google Scholar] [CrossRef]
- Franklin, O.; Cambui, C.A.; Gruffman, L.; Palmroth, S.; Oren, R.; Näsholm, T. The carbon bonus of organic nitrogen enhances nitrogen use efficiency of plants. Plant Cell Environ. 2017, 40, 25–35. [Google Scholar] [CrossRef]
- Xu, X.; Zhang, Z.; Wan, N.F.; Nie, M.; Li, B. Reduced phenological differences under nitrogen enrichment facilitate invasion by a late-growing plant. New Phytol. 2025, 248, 2553–2563. [Google Scholar] [CrossRef]
- Suonan, J.; Classen, A.T.; Sanders, N.J.; He, J.S. Plant phenological sensitivity to climate change on the Tibetan Plateau and relative to other areas of the world. Ecosphere 2019, 10, e02543. [Google Scholar] [CrossRef]
- Iversen, M.; Bråthen, K.A.; Yoccoz, N.G.; Ims, R.A. Predictors of plant phenology in a diverse high-latitude alpine landscape: Growth forms and topography. J. Veg. Sci. 2009, 20, 903–915. [Google Scholar] [CrossRef]
- Miller-Rushing, A.J.; Primack, R.B. Global warming and flowering times in Thoreau’s concord: A community perspective. Ecology 2008, 89, 332–341. [Google Scholar] [CrossRef] [PubMed]
- Grime, J.P. Plant Strategies, Vegetation Processes and Ecosystem Properties, 2nd ed.; John Wiley & Sons Ltd.: Chichester, UK, 2001. [Google Scholar]
- Schuster, C.; Estrella, N.; Menzel, A. Shifting and extension of phenological periods with increasing temperature along elevational transects in southern Bavaria. Plant Biol. 2014, 16, 332–344. [Google Scholar] [CrossRef] [PubMed]
- Song, L.; Liu, W.Y.; Ma, W.Z.; Tan, Z.H. Bole epiphytic bryophytes on Lithocarpus xylocarpus (Kurz) Markgr. in the Ailao Mountains, SW China. Ecol. Res. 2011, 26, 351–363. [Google Scholar] [CrossRef]







| No. | Species (Full Name) | Species (Conservative) | Family/Genus | Life Form |
|---|---|---|---|---|
| 1 | Lithocarpus xylocarpus | L. xylocarpus | Fagaceae/Lithocarpus | Evergreen |
| 2 | Lithocarpus hancei | L. hancei | Fagaceae/Lithocarpus | Evergreen |
| 3 | Castanopsis rufescens | C. rufescens | Fagaceae/Castanopsis | Evergreen |
| 4 | Manglietia insignis | M. insignis | Magnoliaceae/Manglietia | Evergreen |
| 5 | Schima noronhae | S. noronhae | Theaceae/Schima | Evergreen |
| 6 | Hartia sinensis | H. sinensis | Theaceae/Hartia | Evergreen |
| 7 | Vaccinium duclouxii | V. duclouxii | Ericaceae/Vaccinium | Evergreen |
| 8 | Camellia forrestii | C. forrestii | Theaceae/Camellia | Evergreen |
| 9 | Illicium macranthum | I. macranthum | Schisandraceae/Illicium | Evergreen |
| 10 | Acer heptalobum | A. heptalobum | Sapindaceae/Acer | Deciduous |
| 11 | Acanthopanax evodiaefolius | A. evodiaefolius | Araliaceae/Acanthopanax | Deciduous |
| 12 | Styrax perkinsiae | S. perkinsiae | Styracaceae/Styrax | Deciduous |
| Exceptionally Dry Year | Pa ≤ −50% |
| Dry Year | −50% < Pa ≤ −20% |
| Normal Year | −20% < Pa < 20% |
| Wet Year | 20% ≤ Pa < 50% |
| Exceptionally Wet Year | Pa ≥ 50% |
Disclaimer/Publisher’s Note: The statements, opinions and data contained in all publications are solely those of the individual author(s) and contributor(s) and not of MDPI and/or the editor(s). MDPI and/or the editor(s) disclaim responsibility for any injury to people or property resulting from any ideas, methods, instructions or products referred to in the content. |
© 2026 by the authors. Licensee MDPI, Basel, Switzerland. This article is an open access article distributed under the terms and conditions of the Creative Commons Attribution (CC BY) license.
Share and Cite
Ma, R.; Peng, Y.; Dai, S.; Gong, H. Responses of Dominant Tree Species Phenology to Climate Change in the Ailao Mountains Mid-Subtropical Evergreen Broad-Leaved Forest (2008–2022). Forests 2026, 17, 92. https://doi.org/10.3390/f17010092
Ma R, Peng Y, Dai S, Gong H. Responses of Dominant Tree Species Phenology to Climate Change in the Ailao Mountains Mid-Subtropical Evergreen Broad-Leaved Forest (2008–2022). Forests. 2026; 17(1):92. https://doi.org/10.3390/f17010092
Chicago/Turabian StyleMa, Ruihua, Yanling Peng, Shiyu Dai, and Hede Gong. 2026. "Responses of Dominant Tree Species Phenology to Climate Change in the Ailao Mountains Mid-Subtropical Evergreen Broad-Leaved Forest (2008–2022)" Forests 17, no. 1: 92. https://doi.org/10.3390/f17010092
APA StyleMa, R., Peng, Y., Dai, S., & Gong, H. (2026). Responses of Dominant Tree Species Phenology to Climate Change in the Ailao Mountains Mid-Subtropical Evergreen Broad-Leaved Forest (2008–2022). Forests, 17(1), 92. https://doi.org/10.3390/f17010092

