Molecular Weight Distribution of Cellulose from Thermally Modified Spruce Wood
Abstract
1. Introduction
2. Materials and Methods
2.1. Material
2.2. Methods
2.2.1. Derivatization of Cellulose into Cellulose Tricarbanilates
2.2.2. Dissolution of Cellulose in Dimethylacetamide (DMAc) and Lithium Chloride (LiCl)
2.2.3. Size Exclusion Chromatography (SEC)
2.2.4. Measurements of Mechanical Properties
3. Results and Discussion
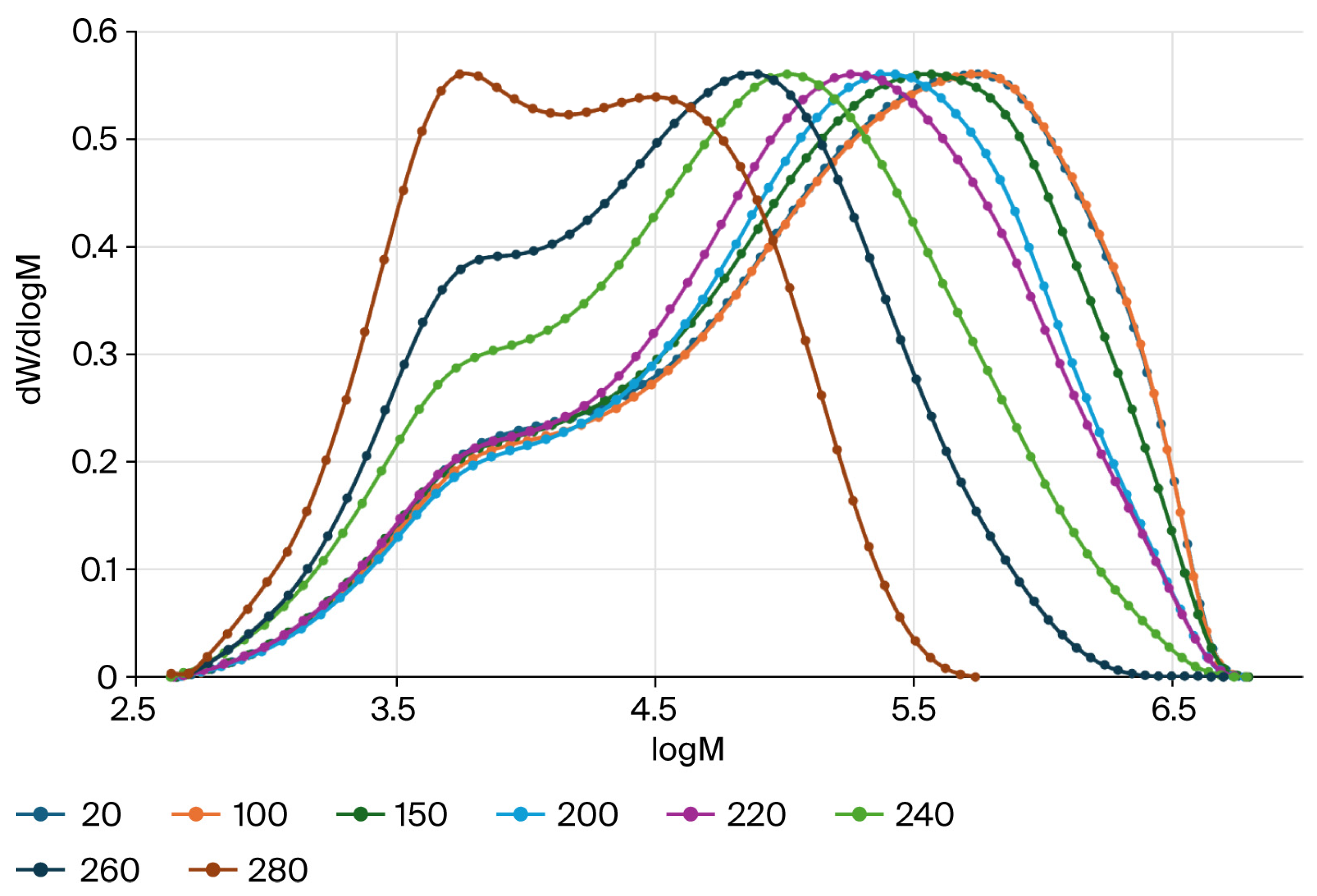
3.1. SEC of Cellulose Tricarbanilates
3.2. SEC of Non-Derivatized Cellulose in DMAc/LiCl
3.3. Comparison of SEC Results for Derivatized and Non-Derivatized Cellulose Specimens
3.4. The Impact of the Degree of Cellulose Polymerization on the Mechanical Properties of Wood
4. Conclusions
Author Contributions
Funding
Data Availability Statement
Conflicts of Interest
References
- Madhushree, M.; Vairavel, P.; Mahesha, G.; Bhat, K.S. A Comprehensive Review of Cellulose and Cellulose-Based Materials: Extraction, Modification, and Sustainable Applications. J. Nat. Fibers 2024, 21, 2418357. [Google Scholar] [CrossRef]
- Srivastava, R.K.; Shetti, N.P.; Reddy, K.R.; Nadagouda, M.N.; Badawi, M.; Bonilla-Petriciolet, A.; Aminabhavi, T.M. Valorization of Biowastes for Clean Energy Production, Environmental Depollution and Soil Fertility. J. Environ. Manag. 2023, 332, 117410. [Google Scholar] [CrossRef] [PubMed]
- Marinho, E. Cellulose: A Comprehensive Review of Its Properties and Applications. Sustain. Chem. Environ. 2025, 11, 100283. [Google Scholar] [CrossRef]
- Dupont, A.-L.; Mortha, G. Comparative Evaluation of Size-Exclusion Chromatography and Viscometry for the Characterisation of Cellulose. J. Chromatogr. A. 2004, 1026, 129–141. [Google Scholar] [CrossRef] [PubMed]
- Pitkänen, L.; Sixta, H. Size-Exclusion Chromatography of Cellulose: Observations on the Low-Molar-Mass Fraction. Cellulose 2020, 27, 9217–9225. [Google Scholar] [CrossRef]
- Hashizume, T.; Saito, K.; Watanabe, T. Facile Characterization of Molecular Weight Distribution of Cellulose by Gel Permeation Chromatography Using a Dimethyl Sulfoxide Solution Containing 1% EmimOAc. Cellulose 2025, 32, 1499–1511. [Google Scholar] [CrossRef]
- Oberlerchner, J.T.; Rosenau, T.; Potthast, A. Overview of Methods for the Direct Molar Mass Determination of Cellulose. Molecules 2015, 20, 10313–10341. [Google Scholar] [CrossRef]
- Hou, G.; Chitbanyong, K.; Takeuchi, M.; Shibata, I.; Isogai, A. Determination of Molar-Mass Parameters of TEMPO-Oxidized Pulps by SEC/MALLS/RI. Cellulose 2025, 32, 6449–6461. [Google Scholar] [CrossRef]
- Lee, L.Q.; Chan, H.L.; Zhou, H.; Zhao, H.; Ao, Q.; Huang, H.; Chong, C.C.; Zhou, Y.; Li, H. Green Catalyst-Based Cardboard Waste Conversion into Biogas. Green Chem. 2025, 27, 3964–3979. [Google Scholar] [CrossRef]
- Yanagisawa, M.; Shibata, I.; Isogai, A. SEC-MALLS Analysis of Softwood Kraft Pulp Using LiCl/1,3-Dimethyl-2-Imidazolidinone as an Eluent. Cellulose 2005, 12, 151–158. [Google Scholar] [CrossRef]
- Zhou, Y.; Zhang, X.; Zhang, J.; Cheng, Y.; Wu, J.; Yu, J.; Zhang, J. Molecular Weight Characterization of Cellulose Using Ionic Liquids. Polym. Test. 2021, 93, 106985. [Google Scholar] [CrossRef]
- McCormick, C.L. Novel Cellulose Solutions. U.S. Patent 4,278,790, 14 July 1981. [Google Scholar]
- Turbak, A.F.; El-Kafrawy, A.; Snyder, F.W.; Auerbach, A.B. Solvent System for Cellulose. U.S. Patent 4,302,252, 24 November 1981. [Google Scholar]
- Dupont, A.-L. Cellulose in Lithium Chloride/N,N-Dimethylacetamide, Optimisation of a Dissolution Method Using Paper Substrates and Stability of the Solutions. Polymer 2003, 44, 4117–4126. [Google Scholar] [CrossRef]
- Henniges, U.; Vejdovszky, P.; Siller, M.; Jeong, M.-J.; Rosenau, T.; Potthast, A. Finally Dissolved! Activation Procedures to Dissolve Cellulose in DMAc/LiCl Prior to Size Exclusion Chromatography Analysis—A Review. Curr. Chromatogr. 2014, 1, 52–68. [Google Scholar] [CrossRef]
- Westermark, U.; Gustafsson, K. Molecular Size Distribution of Wood Polymers in Birch Kraft Pulps. Holzforschung 1994, 48, 146–150. [Google Scholar] [CrossRef]
- Daňhelka, J.; Kössler, I.; Boháčková, V. Determination of Molecular Weight Distribution of Cellulose by Conversion into Tricarbanilate and Fractionation. J. Polym. Sci. Polym. Chem. Ed. 1976, 14, 287–298. [Google Scholar] [CrossRef]
- Wood, B.F.; Conner, A.H.; Hill, C.G., Jr. The Effect of Precipitation on the Molecular Weight Distribution of Cellulose Tricarbanilate. J. Appl. Polym. Sci. 1986, 32, 3703–3712. [Google Scholar] [CrossRef]
- Jurczyková, T.; Kačík, F.; Čabalová, I.; Hájková, K. Evaluation of Selected Cellulose Macromolecular Properties after Its Chemical Treatment Using Size Exclusion Chromatography. Polymers 2023, 15, 573. [Google Scholar] [CrossRef]
- Valtasaari, L.; Saarela, K. Determination of Chain Length Distribution of Cellulose by Gel Permeation Chromatography Using the Tricarbanilate Derivative. Paperi Puu 1975, 57, 5–10. [Google Scholar]
- Kačík, F.; Kačíková, D.; Jablonský, M.; Katuščák, S. Cellulose Degradation in Newsprint Paper Ageing. Polym. Degrad. Stabil. 2009, 94, 1509–1514. [Google Scholar] [CrossRef]
- Łojewski, T.; Zieba, K.; Lojewska, J. Size Exclusion Chromatography and Viscometry in Paper Degradation Studies. New Mark-Houwink Coefficients for Cellulose in Cupri-Ethylenediamine. J. Chromatogr. A 2010, 1217, 6462–6468. [Google Scholar] [CrossRef]
- Hubbell, C.A.; Ragauskas, A.J. Effect of Acid-Chlorite Delignification on Cellulose Degree of Polymerization. Bioresour. Technol. 2010, 101, 7410–7415. [Google Scholar] [CrossRef] [PubMed]
- Kačík, F.; Podzimek, Š.; Vizárová, K.; Kačíková, D.; Čabalová, I. Characterization of Cellulose Degradation during Accelerated Ageing by SEC-MALS, SEC-DAD, and A4F-MALS Methods. Cellulose 2016, 23, 357–366. [Google Scholar] [CrossRef]
- Henniges, U.; Kostic, M.; Borgards, A.; Thomas, R.; Potthast, A. Dissolution Behavior of Different Celluloses. Biomacromolecules 2011, 12, 871–879. [Google Scholar] [CrossRef] [PubMed]
- Potthast, A.; Radosta, S.; Saake, B.; Lebioda, S.; Heinze, T.; Henniges, U.; Isogai, A.; Koschella, A.; Kosma, P.; Rosenau, T.; et al. Comparison Testing of Methods for Gel Permeation Chromatography of Cellulose: Coming Closer to a Standard Protocol. Cellulose 2015, 22, 1591–1613. [Google Scholar] [CrossRef]
- ASTM D143-22; Standard Test Methods for Small Clear Specimens of Timber. ASTM: West Conshohocken, PA, USA, 2022.
- Kavda, S.; Micheluz, A.; Elsässer, C.; Pamplona, M. Development of a Gel Permeation Chromatography Method for Analysing Cellulose Nitrate in Museums. J. Sep. Sci. 2021, 44, 1795–1804. [Google Scholar] [CrossRef]
- Elashmawy, A.E.; Daňhelka, J.; Kössler, I. Determination of Molecular Weight Distribution of Cellulosic Pulps by Conversion into Tricarbanilate, Elution Fractionation and GPC. Sven. Papperstidn. 1974, 77, 603–608. [Google Scholar]
- Tang, J.; Zhan, T.; Li, Z.; Jiang, J.; Lyu, J. Optimization of Dimensional Stability and Mechanical Performance of Thermally Modified Wood Using Cyclic-Gradient Thermal Treatment. Constr. Build. Mater. 2025, 458, 139596. [Google Scholar] [CrossRef]
- Torniainen, P.; Popescu, C.-M.; Jones, D.; Scharf, A.; Sandberg, D. Correlation of Studies between Colour, Structure and Mechanical Properties of Commercially Produced ThermoWood® Treated Norway Spruce and Scots Pine. Forests 2021, 12, 1165. [Google Scholar] [CrossRef]
- Torniainen, P.; Jones, D.; Sandberg, D. Colour as a Quality Indicator for Industrially Manufactured ThermoWood®. Wood Mater. Sci. Eng. 2021, 16, 287–289. [Google Scholar] [CrossRef]
- Kačík, F.; Kubovský, I.; Bouček, J.; Hrčka, R.; Gaff, M.; Kačíková, D. Colour and Chemical Changes of Black Locust Wood during Heat Treatment. Forests 2023, 14, 73. [Google Scholar] [CrossRef]
- Winandy, J.E.; Rowell, R.M. 11 Chemistry of Wood Strength. In Handbook of Wood Chemistry and Wood Composites; CRC Press LLC: Boca Raton, FL, USA, 2005; pp. 303–347. ISBN 0-8493-1588-3. [Google Scholar]
- Kačíková, D.; Kačík, F.; Čabalová, I.; Ďurkovič, J. Effects of Thermal Treatment on Chemical, Mechanical and Colour Traits in Norway Spruce Wood. Bioresour. Technol. 2013, 144, 669–674. [Google Scholar] [CrossRef] [PubMed]
- Zawadski, J.; Gawron, J.; Antczak, A.; Kłosińska, T.; Radomski, A. The Influence of Heat Treatment on the Physico-Chemical Properties of Pinewood (Pinus Sylvestris L.). Drewno 2016, 58, 49–57. [Google Scholar] [CrossRef]
- Podzimek, S. Light Scattering, Size Exclusion Chromatography and Asymmetric Flow Field Flow Fractionation; John Wiley & Sons, Ltd.: Hoboken, NJ, USA, 2011; ISBN 978-0-470-87797-5. [Google Scholar]
- Pawcenis, D.; Thomas, J.L.; Łojewski, T.; Milczarek, J.M.; Łojewska, J. Towards Determination of Absolute Molar Mass of Cellulose Polymer by Size Exclusion Chromatography with Mulitple Angle Laser Light Scattering Detection. J. Chromatogr. A 2015, 1409, 53–59. [Google Scholar] [CrossRef] [PubMed]
- Ono, Y.; Funahashi, R.; Saito, T.; Isogai, A. Investigation of Stability of Branched Structures in Softwood Cellulose Using SEC/MALLS/RI/UV and Sugar Composition Analyses. Cellulose 2018, 25, 2667–2679. [Google Scholar] [CrossRef]
- Yildiz, S.; Gezer, E.D.; Yildiz, U.C. Mechanical and Chemical Behavior of Spruce Wood Modified by Heat. Build. Environ. 2006, 41, 1762–1766. [Google Scholar] [CrossRef]
- Ono, Y.; Isogai, A. Analysis of Celluloses, Plant Holocelluloses, and Wood Pulps by Size-Exclusion Chromatography/Multi-Angle Laser-Light Scattering. Carbohydr. Polym. 2021, 251, 117045. [Google Scholar] [CrossRef]
- Cabral, J.P.; Kafle, B.; Subhani, M.; Reiner, J.; Ashraf, M. Densification of Timber: A Review on the Process, Material Properties, and Application. J. Wood Sci. 2022, 68, 20. [Google Scholar] [CrossRef]
- Arriaga, F.; Wang, X.; Íñiguez-González, G.; Llana, D.F.; Esteban, M.; Niemz, P. Mechanical Properties of Wood: A Review. Forests 2023, 14, 1202. [Google Scholar] [CrossRef]
- Jelonek, T.; Klimek, K.; Kopaczyk, J.; Wieruszewski, M.; Arasimowicz-Jelonek, M.; Tomczak, A.; Grzywiński, W. Influence of the Tree Decay Duration on Mechanical Stability of Norway Spruce Wood (Picea abies (L.) Karst.). Forests 2020, 11, 980. [Google Scholar] [CrossRef]
- Zeidler, A.; Borůvka, V.; Brabec, P.; Tomczak, K.; Bedřich, J.; Vacek, Z.; Cukor, J.; Vacek, S. The Possibility of Using Non-Native Spruces for Norway Spruce Wood Replacement—A Case Study from the Czech Republic. Forests 2024, 15, 255. [Google Scholar] [CrossRef]
- Kučerová, V.; Lagaňa, R.; Výbohová, E.; Hýrošová, T. The Effect of Chemical Changes during Heat Treatment on the Color and Mechanical Properties of Fir Wood. BioResources 2016, 11, 9079–9094. [Google Scholar] [CrossRef]
- Jančíková, V.; Jablonský, M. Thermal Modification of Wood—A Review. Sustain. Chem. 2025, 6, 19. [Google Scholar] [CrossRef]







| T (°C) | Mn | Mw | Mz | PDI | DP |
|---|---|---|---|---|---|
| 20 | 46,988 | 592,096 | 1,739,178 | 12.60 | 3655 |
| SD | 769 | 6977 | 12,363 | 0.26 | 43 |
| 100 | 48,704 | 602,467 | 1,742,361 | 12.37 | 3719 |
| SD | 1053 | 9826 | 19,537 | 0.28 | 61 |
| 150 | 45,079 | 505,206 | 1,621,216 | 11.21 | 3119 |
| SD | 1029 | 4135 | 10,446 | 0.25 | 26 |
| 200 | 44,138 | 425,590 | 1,413,180 | 9.65 | 2627 |
| SD | 1077 | 4023 | 5128 | 0.23 | 25 |
| 220 | 41,378 | 389,894 | 1,421,564 | 9.43 | 2407 |
| SD | 931 | 3119 | 7423 | 0.18 | 19 |
| 240 | 31,053 | 300,142 | 1,108,297 | 9.66 | 1853 |
| SD | 856 | 10,426 | 18,435 | 0.11 | 64 |
| 260 | 25,893 | 158,165 | 468,086 | 6.12 | 976 |
| SD | 923 | 3243 | 46,024 | 0.34 | 20 |
| 280 | 14,701 | 45,704 | 112,073 | 3.12 | 282 |
| SD | 862 | 311 | 5877 | 0.16 | 2 |
| T (°C) | Mn | Mw | Mz | PDI | DP |
|---|---|---|---|---|---|
| 20 | 29,147 | 490,041 | 1,361,780 | 16.81 | 3025 |
| SD | 168 | 4223 | 16,071 | 0.17 | 26 |
| 100 | 29,328 | 513,983 | 1,489,088 | 17.53 | 3173 |
| SD | 158 | 7323 | 35,646 | 0.24 | 45 |
| 150 | 28,299 | 424,710 | 1,319,686 | 15.02 | 2622 |
| SD | 995 | 5557 | 26,738 | 0.36 | 34 |
| 200 | 27,398 | 370,099 | 1,214,783 | 13.51 | 2285 |
| SD | 215 | 4658 | 14,329 | 0.25 | 29 |
| 220 | 25,264 | 331,126 | 1,081,928 | 13.11 | 2044 |
| SD | 783 | 6484 | 17,087 | 0.23 | 40 |
| 240 | 21,433 | 238,849 | 1,019,289 | 11.14 | 1474 |
| SD | 139 | 3649 | 6213 | 0.14 | 23 |
| 260 | 16,627 | 144,905 | 389,532 | 8.71 | 894 |
| SD | 79 | 4268 | 16,246 | 0.22 | 26 |
| 280 | 8634 | 38,485 | 67,906 | 4.46 | 238 |
| SD | 49 | 844 | 1281 | 0.08 | 5 |
| T (°C) | 20 | 100 | 150 | 200 | 220 | 240 | 260 | 280 |
|---|---|---|---|---|---|---|---|---|
| Mass loss (%) | 0 | 5.48 | 6.91 | 8.04 | 11.32 | 20.05 | 35.25 | 40.51 |
| SD | 0 | 0.17 | 0.10 | 0.29 | 0.56 | 1.34 | 1.67 | 4.16 |
| Cellulose yield (%) | 46.03 | 45.36 | 45.41 | 45.7 | 46.67 | 55.16 | 74.46 | 79.05 |
| SD | 0.26 | 0.18 | 0.21 | 0.1 | 0.11 | 0.41 | 0.07 | 0.28 |
| Insoluble residue in DMAc/LiCl (%) | 15.3 | 15.1 | 15.4 | 18.2 | 20.1 | 23.3 | 32.8 | 49.6 |
| SD | 1.2 | 1.3 | 1.6 | 1.7 | 1.9 | 2 | 2.8 | 3.6 |
| Insoluble residue in THF (%) | 5.2 | 6.1 | 6.3 | 7.2 | 8.9 | 9.5 | 10.8 | 11.6 |
| SD | 0.3 | 0.5 | 0.7 | 0.7 | 0.6 | 0.8 | 0.8 | 0.9 |
| T (°C) | 20 | 100 | 150 | 200 | 220 | 240 | 260 | 280 |
|---|---|---|---|---|---|---|---|---|
| MOR (MPa) | 93.1 | 79.5 | 86.8 | 76.9 | 71.2 | 52.9 | 34.0 | 13.8 |
| SD (MPa) | 10.0 | 16.3 | 11.7 | 11.3 | 14.7 | 9.7 | 4.2 | 2.7 |
| CoV (%) | 10.7 | 20.5 | 13.5 | 14.7 | 20.6 | 18.3 | 12.2 | 19.3 |
| MOE (MPa) | 7539.6 | 7069.8 | 6935.3 | 5556.0 | 5000.5 | 4737.3 | 4016.4 | 2424.8 |
| SD (MPa) | 827.4 | 1316.8 | 705.9 | 1091.2 | 1001.9 | 499.9 | 892.4 | 613.5 |
| CoV (%) | 11.0 | 18.6 | 10.2 | 19.6 | 20.0 | 10.6 | 22.2 | 25.3 |
Disclaimer/Publisher’s Note: The statements, opinions and data contained in all publications are solely those of the individual author(s) and contributor(s) and not of MDPI and/or the editor(s). MDPI and/or the editor(s) disclaim responsibility for any injury to people or property resulting from any ideas, methods, instructions or products referred to in the content. |
© 2025 by the authors. Licensee MDPI, Basel, Switzerland. This article is an open access article distributed under the terms and conditions of the Creative Commons Attribution (CC BY) license.
Share and Cite
Kačík, F.; Kačíková, D. Molecular Weight Distribution of Cellulose from Thermally Modified Spruce Wood. Forests 2026, 17, 8. https://doi.org/10.3390/f17010008
Kačík F, Kačíková D. Molecular Weight Distribution of Cellulose from Thermally Modified Spruce Wood. Forests. 2026; 17(1):8. https://doi.org/10.3390/f17010008
Chicago/Turabian StyleKačík, František, and Danica Kačíková. 2026. "Molecular Weight Distribution of Cellulose from Thermally Modified Spruce Wood" Forests 17, no. 1: 8. https://doi.org/10.3390/f17010008
APA StyleKačík, F., & Kačíková, D. (2026). Molecular Weight Distribution of Cellulose from Thermally Modified Spruce Wood. Forests, 17(1), 8. https://doi.org/10.3390/f17010008

