Transient Root Plasticity and Persistent Functional Divergence in Pine and Oak Forests in Response to Thinning
Abstract
1. Introduction
2. Materials and Methods
2.1. Study Area and Experimental Setting
2.2. Sampling and Laboratory Testing
2.3. Conceptual Framework and Statistical Assessment of Root Responses
3. Results
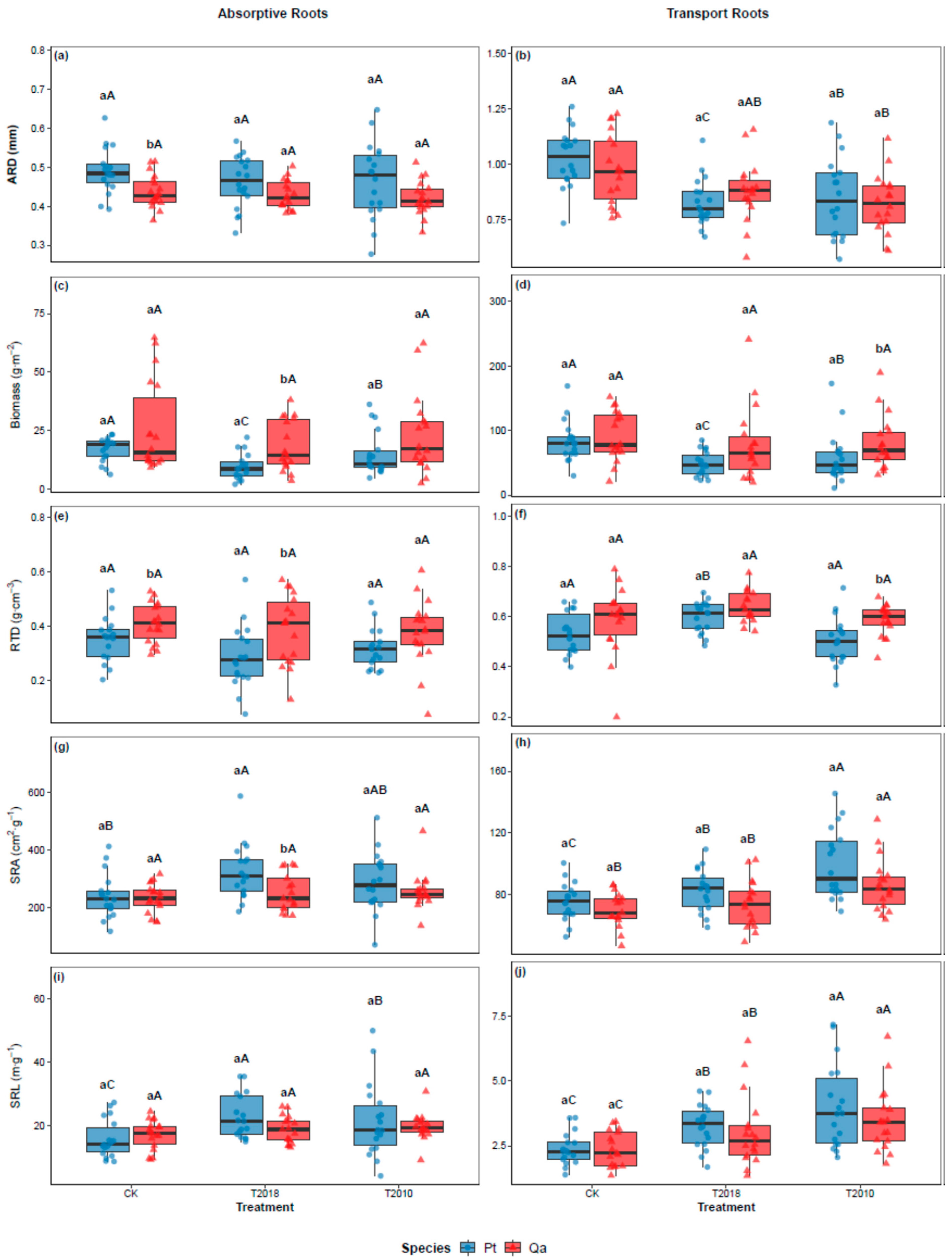
3.1. Biomass and Morphological Trait Responses to Thinning
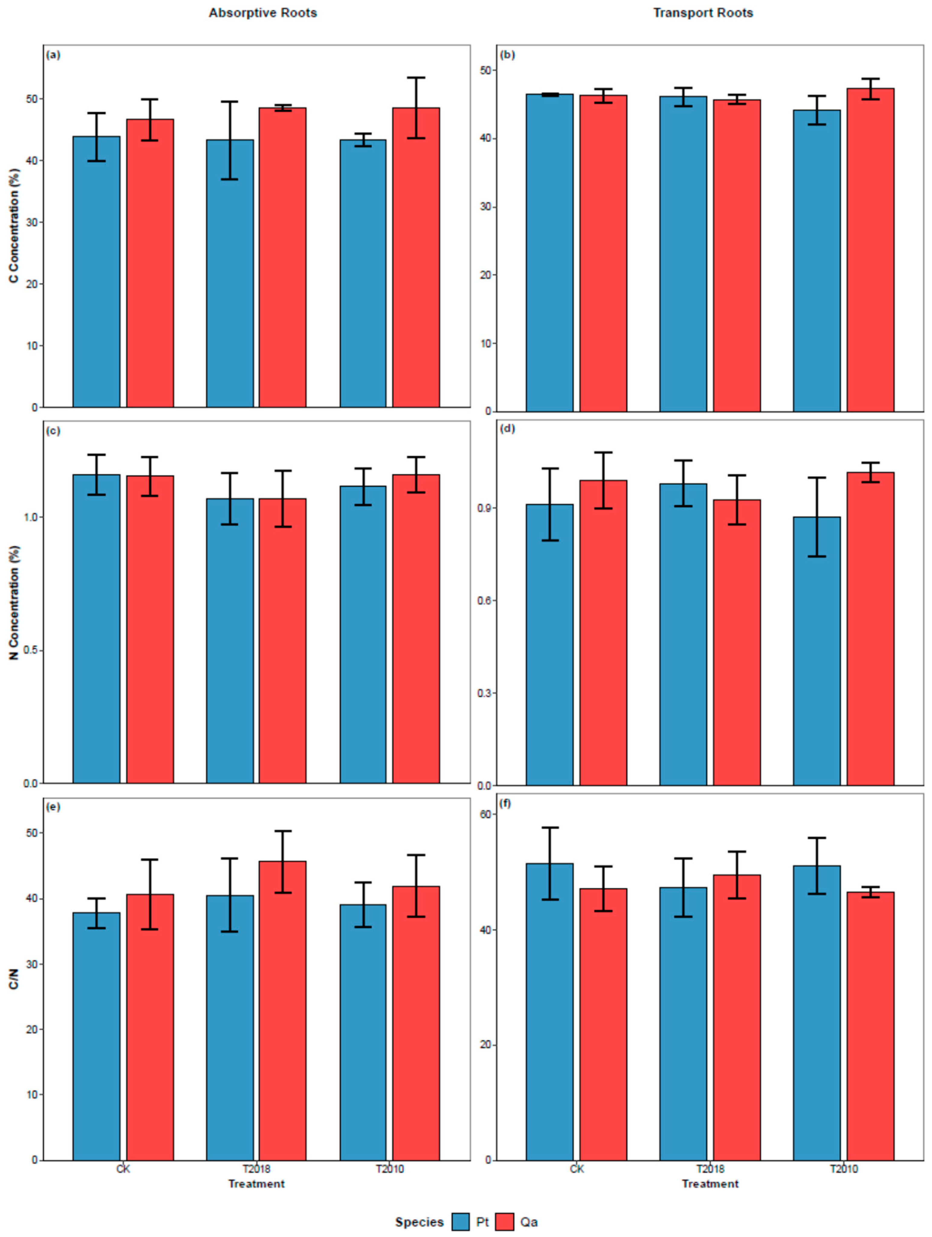
3.2. Response of Chemical Traits to Thinning
3.3. Joint Effects of Environmental Drivers and Species Identity on Root Traits
4. Discussion
4.1. Temporal Responses of Fine Root Trait Plasticity to Thinning
4.2. A Hierarchical Model of Tree Species-Specific Foraging Strategy Responses to Thinning
4.3. Root Trait Plasticity Trade-Off Governed by Multiple Drivers
4.4. Limitations, Future Work, and Implications for Management
5. Conclusions
Supplementary Materials
Author Contributions
Funding
Data Availability Statement
Acknowledgments
Conflicts of Interest
Abbreviations
| Pt | Pinus tabuliformis |
| Qa | Quercus aliena var. acuteserrata |
| ARD | Average Root Diameter |
| RTD | Root Tissue Density |
| SRA | Specific Root Area |
| SRL | Specific Root Length |
| SOC | Soil Organic Carbon |
| MBC | Microbial Biomass Carbon |
| IN | Inorganic Nitrogen |
| AP | Available Phosphorous |
References
- del Río, M.; Löf, M.; Bravo-Oviedo, A.; Jactel, H. Understanding the complexity of mixed forest functioning and management: Advances and perspectives. For. Ecol. Manag. 2021, 489, 119138. [Google Scholar] [CrossRef]
- Zhang, H.; Liu, S.; Yu, J.; Li, J.; Shangguan, Z.; Deng, L. Thinning increases forest ecosystem carbon stocks. For. Ecol. Manag. 2024, 555, 121702. [Google Scholar] [CrossRef]
- Gong, C.; Tan, Q.; Liu, G.; Xu, M. Forest thinning increases soil carbon stocks in China. For. Ecol. Manag. 2021, 482, 118812. [Google Scholar] [CrossRef]
- del Campo, A.D.; Otsuki, K.; Serengil, Y.; Blanco, J.A.; Yousefpour, R. A global synthesis on the effects of thinning on hydrological processes: Implications for forest management. For. Ecol. Manag. 2022, 519, 120324. [Google Scholar] [CrossRef]
- Davis, K.T.; Peeler, J.; Fargione, J.; Haugo, R.D.; Metlen, K.L.; Robles, M.D.; Woolley, T. Tamm review: A meta-analysis of thinning, prescribed fire, and wildfire effects on subsequent wildfire severity in conifer dominated forests of the Western US. For. Ecol. Manag. 2024, 561, 121885. [Google Scholar] [CrossRef]
- Egnell, G.; Ulvcrona, K.A. Stand productivity following whole-tree harvesting in early thinning of Scots pine stands in Sweden. For. Ecol. Manag. 2015, 340, 40–45. [Google Scholar] [CrossRef]
- Wang, Z.; Liu, M.; Chen, F.; Li, H. Variation in fine root traits with thinning intensity in a Chinese fir plantation insights from branching order and functional groups. Sci. Rep. 2021, 11, 22710. [Google Scholar] [CrossRef] [PubMed]
- Zhao, J.; Sun, X.; Wang, D.; Wang, M.; Li, J.; Wang, J.; Guan, Q. Responses of fine root morphological and chemical traits among branch orders to forest thinning in Pinus massoniana plantations. Forests 2024, 15, 495. [Google Scholar] [CrossRef]
- Qin, J.; Lu, J.; Peng, Y.; Guo, X.; Yang, L.; Martin, A.R. Thinning-induced decrease in fine root biomass, but not other fine root traits in global forests. J. Environ. Manag. 2024, 370, 122938. [Google Scholar] [CrossRef]
- Reich, P.B. The world-wide ‘fast–slow’ plant economics spectrum: A traits manifesto. J. Ecol. 2014, 102, 275–301. [Google Scholar] [CrossRef]
- Ostonen, I.; Truu, M.; Helmisaari, H.-S.; Lukac, M.; Borken, W.; Vanguelova, E.; Godbold, D.L.; Lõhmus, K.; Zang, U.; Tedersoo, L.; et al. Adaptive root foraging strategies along a boreal–temperate forest gradient. New Phytol. 2017, 215, 977–991. [Google Scholar] [CrossRef] [PubMed]
- Stiblíková, P.; Klimes, A.; Cahill, J.F.; Koubek, T.; Weiser, M. Interspecific differences in root foraging precision cannot be directly inferred from species’ mycorrhizal status or fine root economics. Oikos 2023, 2022, e08995. [Google Scholar] [CrossRef]
- Morikawa, Y.; Hayashi, S.; Negishi, Y.; Masuda, C.; Watanabe, M.; Watanabe, K.; Masaka, K.; Matsuo, A.; Suzuki, M.; Tada, C.; et al. Relationship between the vertical distribution of fine roots and residual soil nitrogen along a gradient of hardwood mixture in a conifer plantation. New Phytol. 2022, 235, 993–1004. [Google Scholar] [CrossRef]
- Eissenstat, D.M.; Kucharski, J.M.; Zadworny, M.; Adams, T.S.; Koide, R.T. Linking root traits to nutrient foraging in arbuscular mycorrhizal trees in a temperate forest. New Phytol. 2015, 208, 114–124. [Google Scholar] [CrossRef]
- Weemstra, M.; Mommer, L.; Visser, E.J.W.; van Ruijven, J.; Kuyper, T.W.; Mohren, G.M.J.; Sterck, F.J. Towards a multidimensional root trait framework: A tree root review. New Phytol. 2016, 211, 1159–1169. [Google Scholar] [CrossRef] [PubMed]
- McCormack, M.L.; Dickie, I.A.; Eissenstat, D.M.; Fahey, T.J.; Fernandez, C.W.; Guo, D.; Helmisaari, H.-S.; Hobbie, E.A.; Iversen, C.M.; Jackson, R.B.; et al. Redefining fine roots improves understanding of below-ground contributions to terrestrial biosphere processes. New Phytol. 2015, 207, 505–518. [Google Scholar] [CrossRef]
- Sanaei, A.; van der Plas, F.; Chen, H.; Davids, S.; Eckhardt, S.; Hennecke, J.; Kahl, A.; Möller, Y.; Richter, R.; Schütze, J.; et al. Tree growth is better explained by absorptive fine root traits than by transport fine root traits. Commun. Biol. 2025, 8, 313. [Google Scholar] [CrossRef]
- Walkley, A.; Black, I.A. An examination of the degtjareff method for determining soil organic matter, and a proposed modification of the chromic acid titration method. Soil Sci. 1934, 37, 29–38. [Google Scholar] [CrossRef]
- Vance, E.D.; Brookes, P.C.; Jenkinson, D.S. An extraction method for measuring soil microbial biomass C. Soil Biol. Biochem. 1987, 19, 703–707. [Google Scholar] [CrossRef]
- Mulvaney, R.L. Nitrogen—Inorganic forms. In Methods of Soil Analysis: Part 3 Chemical Methods; Wiley: Hoboken, NJ, USA, 1996; pp. 1123–1184. [Google Scholar]
- Cooper, D.L.M.; Lewis, S.L.; Sullivan, M.J.P.; Prado, P.I.; ter Steege, H.; Barbier, N.; Slik, F.; Sonké, B.; Ewango, C.E.N.; Adu-Bredu, S.; et al. Consistent patterns of common species across tropical tree communities. Nature 2024, 625, 728–734. [Google Scholar] [CrossRef]
- Oksanen, J.; Simpson, G.; Blanchet, F.; Kindt, R.; Legendre, P.; Minchin, P.; O’Hara, R.; Solymos, P.; Stevens, M.; Szoecs, E.; et al. Vegan: Community Ecology Package, version 2.7-2. 2025. Available online: https://cran.r-project.org/web/packages/vegan/index.html (accessed on 22 December 2025). [CrossRef]
- Boursiac, Y.; Pradal, C.; Bauget, F.; Lucas, M.; Delivorias, S.; Godin, C.; Maurel, C. Phenotyping and modeling of root hydraulic architecture reveal critical determinants of axial water transport. Plant Physiol. 2022, 190, 1289–1306. [Google Scholar] [CrossRef]
- Yang, L.H.; Bastow, J.L.; Spence, K.O.; Wright, A.N. What can we learn from resource pules. Ecology 2008, 89, 621–634. [Google Scholar] [CrossRef] [PubMed]
- Zhao, J.; Ye, Y.; Sun, X.; Shi, L.; Chen, X.; Guan, Q. Root exudation patterns of Chinese fir after thinning relating to root characteristics and soil conditions. For. Ecol. Manag. 2023, 541, 121068. [Google Scholar] [CrossRef]
- Noguchi, K.; Han, Q.; Araki, M.G.; Kawasaki, T.; Kaneko, S.; Takahashi, M.; Chiba, Y. Fine-root dynamics in a young hinoki cypress (Chamaecyparis obtusa) stand for 3 years following thinning. J. For. Res. 2011, 16, 284–291. [Google Scholar] [CrossRef]
- Ma, Z.; Guo, D.; Xu, X.; Lu, M.; Bardgett, R.D.; Eissenstat, D.M.; McCormack, M.L.; Hedin, L.O. Evolutionary history resolves global organization of root functional traits. Nature 2018, 555, 94–97. [Google Scholar] [CrossRef] [PubMed]
- Lucas, W.J.; Groover, A.; Lichtenberger, R.; Furuta, K.; Yadav, S.-R.; Helariutta, Y.; He, X.-Q.; Fukuda, H.; Kang, J.; Brady, S.M.; et al. The plant vascular system: Evolution, development and functions. J. Integr. Plant Biol. 2013, 55, 294–388. [Google Scholar] [CrossRef]
- Guo, D.; Li, H.; Mitchell, R.J.; Han, W.; Hendricks, J.J.; Fahey, T.J.; Hendrick, R.L. Fine root heterogeneity by branch order: Exploring the discrepancy in root turnover estimates between minirhizotron and carbon isotopic methods. New Phytol. 2008, 177, 443–456. [Google Scholar] [CrossRef]
- King, W.L.; Yates, C.F.; Cao, L.; O’Rourke-Ibach, S.; Fleishman, S.M.; Richards, S.C.; Centinari, M.; Hafner, B.D.; Goebel, M.; Bauerle, T.; et al. Functionally discrete fine roots differ in microbial assembly, microbial functional potential, and produced metabolites. Plant Cell Environ. 2023, 46, 3919–3932. [Google Scholar] [CrossRef]
- Wang, Q.; Zhang, Z.; Zhu, X.; Liu, Z.; Li, N.; Xiao, J.; Liu, Q.; Yin, H. Absorptive roots drive a larger microbial carbon pump efficacy than transport roots in alpine coniferous forests. J. Ecol. 2022, 110, 1646–1655. [Google Scholar] [CrossRef]
- Medeiros, J.S.; Tomeo, N.J.; Hewins, C.R.; Rosenthal, D.M. Fast-growing Acer rubrum differs from slow-growing Quercus alba in leaf, xylem and hydraulic trait coordination responses to simulated acid rain. Tree Physiol. 2016, 36, 1032–1044. [Google Scholar] [CrossRef]
- Tarkka, M.T.; Grams, T.E.E.; Angay, O.; Kurth, F.; Maboreke, H.R.; Mailänder, S.; Bönn, M.; Feldhahn, L.; Fleischmann, F.; Ruess, L.; et al. Ectomycorrhizal fungus supports endogenous rhythmic growth and corresponding resource allocation in oak during various below- and aboveground biotic interactions. Sci. Rep. 2021, 11, 23680. [Google Scholar] [CrossRef] [PubMed]
- Carmona, C.P.; Bueno, C.G.; Toussaint, A.; Traeger, S.; Diaz, S.; Moora, M.; Munson, A.D.; Paertel, M.; Zobel, M.; Tamme, R. Fine-root traits in the global spectrum of plant form and function. Nature 2021, 597, 683–687. [Google Scholar] [CrossRef] [PubMed]
- Weemstra, M.; Sterck, F.J.; Visser, E.J.W.; Kuyper, T.W.; Goudzwaard, L.; Mommer, L. Fine-root trait plasticity of beech (Fagus sylvatica) and spruce (Picea abies) forests on two contrasting soils. Plant Soil 2017, 415, 175–188. [Google Scholar] [CrossRef]
- Simpson, A.H.; Richardson, S.J.; Laughlin, D.C. Soil–climate interactions explain variation in foliar, stem, root and reproductive traits across temperate forests. Glob. Ecol. Biogeogr. 2016, 25, 964–978. [Google Scholar] [CrossRef]
- Zhou, Z.; Wang, C.; Jin, Y.; Sun, Z. Impacts of thinning on soil carbon and nutrients and related extracellular enzymes in a larch plantation. For. Ecol. Manag. 2019, 450, 117523. [Google Scholar] [CrossRef]
- Xiao, X.; Ali, I.; Du, X.; Xu, Y.; Ye, S.; Yang, M. Thinning promotes soil phosphorus bioavailability in short-rotation and high-density Eucalyptus grandis × E. urophylla coppice plantation in Guangxi, southern China. Forests 2023, 14, 2067. [Google Scholar] [CrossRef]
- Li, Y.; Ajloon, F.H.; Wang, X.; Malghani, S.; Yu, S.; Ma, X.; Li, Y.; Wang, W. Temporal effects of thinning on soil organic carbon and carbon cycling-related enzyme activities in oak-pine mixed forests. For. Ecol. Manag. 2023, 545, 121293. [Google Scholar] [CrossRef]
- Asaye, Z.; Zewdie, S. Fine root dynamics and soil carbon accretion under thinned and un-thinned Cupressus lusitanica stands in, Southern Ethiopia. Plant Soil 2013, 366, 261–271. [Google Scholar] [CrossRef]
- Pang, Y.; Tian, J.; Yang, H.; Zhang, K.; Wang, D. Responses of fine roots at different soil depths to different thinning intensities in a secondary forest in the Qinling mountains, China. Biology 2022, 11, 351. [Google Scholar] [CrossRef] [PubMed]
- Hogan, J.A.; Jusino, M.A.; Smith, M.E.; Corrales, A.; Song, X.; Hu, Y.-H.; Yang, J.; Cao, M.; Valverde-Barrantes, O.J.; Baraloto, C. Root-associated fungal communities are influenced more by soils than by plant-host root traits in a Chinese tropical forest. New Phytol. 2023, 238, 1849–1864. [Google Scholar] [CrossRef]
- Yan, X.; Levine, J.M.; Kandlikar, G.S. A quantitative synthesis of soil microbial effects on plant species coexistence. Proc. Natl. Acad. Sci. USA 2022, 119, e2122088119. [Google Scholar] [CrossRef] [PubMed]
- Chen, W.; Koide, R.T.; Adams, T.S.; DeForest, J.L.; Cheng, L.; Eissenstat, D.M. Root morphology and mycorrhizal symbioses together shape nutrient foraging strategies of temperate trees. Proc. Natl. Acad. Sci. USA 2016, 113, 8741–8746. [Google Scholar] [CrossRef] [PubMed]
- Jiang, Q.; Jia, L.; Chen, W.; Zheng, Z.; Lin, C.; Zhu, L.; Wang, X.; Yao, X.; Tissue, D.; Robinson, D.; et al. Complementary foraging of roots and mycorrhizal fungi among nutrient patch types in four subtropical monospecific broadleaved tree plantations. New Phytol. 2025, 247, 1401–1414. [Google Scholar] [CrossRef] [PubMed]





| Characteristics | CK a | T2018 a | T2010 a |
|---|---|---|---|
| Elevation (m) | 1585 ± 107 | 1450 ± 22 | 1758 ± 35 |
| Slope (°) | 18 ± 5 | 25 ± 5 | 9 ± 2 |
| Mean stand density (stems ha−1) | 1420 ± 88 | 1208 ± 355 | 1254 ± 207 |
| Mean DBH b (cm) | 14.6 ± 0.47 | 13.8 ± 1.19 | 13.8 ± 0.84 |
| Canopy density | 0.7 | 0.5 | 0.6 |
| Dominant species | Pinus armandi; Pinus tabuliformis; Quercus aliena var. acuteserrata | Pinus tabuliformis; Quercus aliena var. acuteserrata | Pinus tabuliformis; Quercus aliena var. acuteserrata |
| pH (H2O) | 5.0 ± 0.1 | 5.8 ± 0.1 | 5.7 ± 0.1 |
| Bulk density (g cm−3) | 1.1 ± 0.1 | 1.3 ± 0.2 | 1.2 ± 0.1 |
| Soil water content (%) | 35.9 ± 3.6 | 25.6 ± 3.0 | 37.2 ± 1.5 |
| SOC (g kg−1) | 9.4 ± 6.6 | 7.6 ± 0.8 | 7.7 ± 3.5 |
| Total N (g kg−1) | 3.4 ± 0.5 | 2.3 ± 0.3 | 2.7 ± 0.1 |
| NO3−-N (mg kg−1) | 3.2 ± 1.7 | 3.7 ± 0.7 | 3.6 ± 0.1 |
| NH4+-N (mg kg−1) | 14.2 ± 2.0 | 14.0 ± 1.1 | 14.2 ± 3.4 |
| Total P (g kg−1) | 0.5 ± 0.3 | 0.5 ± 0.1 | 0.6 ± 0.1 |
| Available P (mg kg−1) | 3.0 ± 0.1 | 4.6 ± 0.9 | 5.6 ± 2.0 |
| Soil C/N ratio | 10.1 ± 1.8 | 11.5 ± 1.7 | 12.3 ± 1.4 |
| Root Type | Root Trait | Species | Treatment | Species × Treatment |
|---|---|---|---|---|
| Absorptive | Biomass | H (1) = 8.500, p < 0.01 | H (2) = 7.851, p < 0.05 | H (2) = 2.367, p = 0.306 |
| root | ARD | H (1) = 13.232, p < 0.001 | H (2) = 2.944, p = 0.229 | H (2) = 0.140, p = 0.932 |
| RTD | F (1, 100) = 13.595, p < 0.001 | F (2, 100) = 1.975, p = 0.144 | F (2, 100) = 0.490, p = 0.614 | |
| SRA | H (1) = 3.623, p < 0.01 | H (2) = 8.037, p < 0.05 | H (2) = 3.419, p = 0.181 | |
| SRL | H (1) = 0.006, p = 0.939 | H (2) = 8.396, p < 0.05 | H (2) = 3.225, p = 0.199 | |
| Root C | F (1, 12) = 5.665, p = 0.035 | F (2, 12) = 0.070, p = 0.933 | F (2, 12) = 0.19, p = 0.829 | |
| Root N | H (1) = 0.031, p = 0.860 | H (2) = 2.406, p = 0.300 | H (2) = 0.217, p = 0.897 | |
| C:N ratio | F (1, 12) = 2.910, p = 0.174 | F (2, 12) = 1.168, p = 0.344 | F (2, 12) = 0.123, p = 0.855 | |
| Transport | Biomass | F (1, 102) = 7.077, p < 0.01 | F (2, 102) = 5.219, p < 0.01 | F (2, 102) = 0.855, p = 0.428 |
| root | ARD | F (1, 102) = 0.123, p = 0.727 | F (2, 102) = 15.042, p < 0.001 | F (2, 102) = 1.162, p = 0.317 |
| RTD | F (1, 101) = 8.333, p < 0.001 | F (2, 101) = 6.327, p < 0.01 | F (2, 100) = 0.813, p = 0.446 | |
| SRA | F (1, 100) = 9.034 p < 0.01 | F (2, 100) = 14.531, p < 0.001 | F (2, 100) = 0.264, p = 0.768 | |
| SRL | F (1, 100) = 1.816, p = 0.181 | F (2, 100) = 14.314, p < 0.001 | F (2, 100) = 0.293, p = 0.746 | |
| Root C | F (1, 12) = 2.062 p = 0.177 | F (2, 12) = 0.43, p = 0.660 | F (2, 12) = 13.559, p = 0.061 | |
| Root N | F (1, 12) = 1.718, p = 0.214 | F (2, 12) = 0.023, p = 0.977 | F (2, 12) = 1.761, p = 0.214 | |
| C:N ratio | F (1, 12) = 1.172, p = 0.300 | F (2, 12) = 0.063, p = 0.940 | F (2, 12) = 1.096, p = 0.366 |
Disclaimer/Publisher’s Note: The statements, opinions and data contained in all publications are solely those of the individual author(s) and contributor(s) and not of MDPI and/or the editor(s). MDPI and/or the editor(s) disclaim responsibility for any injury to people or property resulting from any ideas, methods, instructions or products referred to in the content. |
© 2025 by the authors. Licensee MDPI, Basel, Switzerland. This article is an open access article distributed under the terms and conditions of the Creative Commons Attribution (CC BY) license.
Share and Cite
Ma, X.; Xie, X.; Yu, S.; Xue, J.; Weng, S.; Wang, Q.; Zhou, J.; Wang, W. Transient Root Plasticity and Persistent Functional Divergence in Pine and Oak Forests in Response to Thinning. Forests 2026, 17, 23. https://doi.org/10.3390/f17010023
Ma X, Xie X, Yu S, Xue J, Weng S, Wang Q, Zhou J, Wang W. Transient Root Plasticity and Persistent Functional Divergence in Pine and Oak Forests in Response to Thinning. Forests. 2026; 17(1):23. https://doi.org/10.3390/f17010023
Chicago/Turabian StyleMa, Xuehong, Xinyi Xie, Shuiqiang Yu, Jianhui Xue, Shuxia Weng, Qian Wang, Jian Zhou, and Weifeng Wang. 2026. "Transient Root Plasticity and Persistent Functional Divergence in Pine and Oak Forests in Response to Thinning" Forests 17, no. 1: 23. https://doi.org/10.3390/f17010023
APA StyleMa, X., Xie, X., Yu, S., Xue, J., Weng, S., Wang, Q., Zhou, J., & Wang, W. (2026). Transient Root Plasticity and Persistent Functional Divergence in Pine and Oak Forests in Response to Thinning. Forests, 17(1), 23. https://doi.org/10.3390/f17010023

