Next Article in Journal
Fragmentation, Ecological Assessment, and Diversity of EU Forest Habitat Types: A Case Study in the Calabria Region Oak Woodlands (Southern Italy)
Previous Article in Journal
Effects of Drainage Maintenance on Tree Radial Increment in Hemiboreal Forests of Latvia
 
 
Font Type:
Arial Georgia Verdana
Font Size:
Aa Aa Aa
Line Spacing:
Column Width:
Background:
Article

Changes in Soil Microbial Diversity Across Different Forest Successional Stages: A Meta-Analysis of Chinese Forest Ecosystems

1
College of Geographical Science, Harbin Normal University, Harbin 510040, China
2
College of Urban Construction and Management, Bintuan Xingxin Vocational and Technical College, Tiemenguan 841000, China
3
Institute of Forestry Science, Heilongjiang Academy of Forestry, Harbin 510040, China
4
Heilongjiang Xiaoxing’an Mountain Forest Ecosystem Positioning Observation and Research Station, Yichun 153000, China
5
Institute of Natural Resources and Ecology, Heilongjiang Academy of Sciences, Harbin 510040, China
*
Author to whom correspondence should be addressed.
Forests 2025, 16(8), 1319; https://doi.org/10.3390/f16081319
Submission received: 17 June 2025 / Revised: 29 July 2025 / Accepted: 10 August 2025 / Published: 13 August 2025
(This article belongs to the Section Forest Soil)

Abstract

Using meta-analysis of 479 sites across Chinese forests from 136 publications, we quantified changes in soil microbial diversity across forest successional stages and compared patterns between plantation and natural secondary forests. Our systematic review included 136 publications (92 in Chinese, 44 in English), spanning tropical to cold temperate climate zones from 1995–2025. Microbial α -diversity exhibited a significant U-shaped pattern across successional stages: early succession (0–15 years) and mature forests (>50 years) had higher Shannon diversity (4.56 ± 0.34 and 4.72 ± 0.41, respectively) than middle-aged forests (16–50 years, 4.18 ± 0.27; standardized mean difference = 0.54, 95% CI: 0.39–0.69, p < 0.01). Response patterns differed significantly among microbial groups (Q = 8.74, p = 0.013), with fungi showing the strongest successional responses (SMD = 0.61, 95% CI: 0.43–0.79), followed by bacteria (SMD = 0.49, 95% CI: 0.32–0.66) and actinomycetes (SMD = 0.42, 95% CI: 0.24–0.60). Natural secondary forests consistently supported higher microbial diversity than plantations (SMD = 0.42, 95% CI: 0.28–0.56), particularly for fungal communities (SMD = 0.47, 95% CI: 0.31–0.63). The climate zone significantly moderated diversity–succession relationships, with subtropical regions showing the largest changes ( Δ Shannon = 0.68 ± 0.07) compared to temperate ( Δ Shannon = 0.42 ± 0.05) and tropical regions ( Δ Shannon = 0.54 ± 0.06). Meta-analytic structural equation modeling revealed that soil organic carbon (path coefficient β = 0.68, p < 0.001), total nitrogen ( β = 0.43, p < 0.001), and pH ( β = −0.35, p < 0.01) were key mediators connecting succession stage with microbial diversity. Despite substantial between-study heterogeneity (I2 = 83.6%), a publication bias was not detected (Egger’s test, p = 0.347). These findings provide the first comprehensive quantification of microbial diversity patterns during forest succession in China, with important implications for forest management and ecological restoration strategies targeting microbial conservation.

1. Introduction

Forest succession is a fundamental ecological process governing the recovery and development of terrestrial ecosystems, playing critical roles in regulating global carbon cycling, maintaining biodiversity, and providing ecosystem services [1,2,3]. Soil and plant microorganisms serve as the primary decomposers and drivers of biogeochemical cycling in forest ecosystems, making their community dynamics during succession essential for understanding ecosystem functioning and stability [4,5,6]. However, how microbial communities respond to forest succession processes, and the differential responses among forest types (plantation vs. natural forest), climate zones, and microbial functional groups (bacteria, fungi, and actinomycetes) remain inadequately quantified at large spatial scales [7,8,9].

1.1. Conceptual Framework and Theoretical Background

Recent advances in high-throughput sequencing and bioinformatics have generated numerous studies examining microbial diversity and ecological functions in forest ecosystems [10,11,12]. While individual studies provide valuable insights into local patterns, their findings often conflict due to differences in research methods, sampling strategies, microbial groups studied, and ecological contexts, creating a need for synthetic analysis [13,14,15]. For example, Xiao et al. [16] found that the conversion of primary forests to secondary forests led to significant changes in soil microbial community diversity in northwestern Hunan, while Zhao et al. [17] discovered that an underground fungal community assembly in Pinus sylvestris L. var. mongolica plantations was jointly influenced by stand age and niche factors.
Based on ecological succession theory and contemporary understanding of microbial ecology, we propose a conceptual framework linking forest succession with microbial diversity through three primary mechanistic pathways:
(1) Resource availability hypothesis (Coley et al., 1985 [18]): Based on the Resource Availability Hypothesis, early successional stages are characterized by high nutrient availability from disturbance and environmental heterogeneity, supporting diverse microbial communities through resource partitioning. Middle succession experiences resource stabilization and increased competition, leading to competitive exclusion of less efficient taxa. Mature forests develop complex resource gradients and temporal variability that support specialized microbial niches.
(2) Habitat complexity hypothesis: Structural complexity and plant–soil feedbacks increase during succession, creating diverse microhabitats. Early stages have simple vegetation structure but high soil disturbance creating spatial heterogeneity. Middle stages undergo canopy closure and environmental homogenization. Mature forests develop complex spatial architecture, deadwood accumulation, and diverse root systems that generate specialized microbial niches.
(3) Plant–microbial coevolution hypothesis: Long-term plant–soil interactions promote development of sophisticated symbiotic relationships during succession. Early stages are dominated by generalist associations, middle stages by competitive interactions, and mature stages by specialized coevolved relationships that enhance overall community diversity while maintaining functional stability.
This framework generates four specific, testable hypotheses: H1: microbial diversity will exhibit non-linear (U-shaped) changes across successional stages, with higher diversity in early and mature stages compared to middle stages; H2: different microbial groups will show distinct succession response patterns reflecting their ecological strategies and environmental dependencies; H3: natural secondary forests will support higher microbial diversity than plantation forests due to greater habitat heterogeneity and reduced management disturbance; H4: climate zones will moderate diversity–succession relationships through effects on primary productivity and biogeochemical cycling rates.

1.2. Knowledge Gaps and Research Objectives

Three critical knowledge gaps limit our understanding of microbial succession in forest ecosystems. First, most studies examine short-term (<50 years) successional processes, constraining understanding of long-term community development patterns [19,20]. Second, comparative studies across different climate zones are limited, particularly regarding identification of climate thresholds for succession–diversity relationships [21,22]. Third, systematic differences in microbial community composition and function between plantation and natural secondary forests have not been comprehensively evaluated across multiple forest types and climate conditions [23,24].
Research in the Neotropics provides important context for understanding succession patterns. Norden et al. [12] demonstrated that tropical forest succession exhibits both uncertainty and predictability, while Rozendaal et al. [25] identified clear temporal thresholds for biodiversity recovery in Neotropical secondary forests. However, whether microbial communities follow similar patterns remains largely unverified, particularly in temperate and subtropical ecosystems.
China’s extensive forest ecosystems provide an ideal natural laboratory for addressing these knowledge gaps, spanning tropical to cold temperate climate zones and encompassing diverse plantation and natural secondary forests established over the past 70 years [26,27,28,29]. Chinese researchers have generated substantial data on forest microbial diversity across different climate zones and forest types. For instance, Duan et al. [30] found that subtropical forest tree species diversity significantly increases soil microbial carbon use efficiency, Kong et al. [31] demonstrated that forest establishment can reduce microbial diversity and functionality in deep soil layers in semi-arid regions, and Li et al. [32] showed that Eucalyptus L’Hér. grandis mixed plantations significantly affect above- and below-ground biodiversity. However, no research has systematically integrated these data to quantify patterns and mechanisms of microbial diversity changes during forest succession.
Building on this foundation, the present study uses meta-analysis to integrate data from 136 Chinese publications (92 Chinese and 44 English papers) to systematically evaluate patterns and driving mechanisms of soil and plant microbial diversity changes during forest succession. Our specific research objectives are to (1) quantify changes in microbial Alpha diversity and Beta diversity across forest successional stages; (2) compare differences in microbial community composition and function between plantation and natural secondary forests; (3) assess moderating effects of different climate zones on diversity–succession relationships; and (4) identify key environmental factors connecting vegetation succession and microbial diversity changes through mediation analysis, while establishing a comprehensive database of soil microbial diversity patterns in Chinese forests.

2. Materials and Methods

2.1. Literature Search and Study Selection

We conducted a systematic literature search following PRISMA guidelines to identify studies examining soil microbial diversity in Chinese forest ecosystems. Our search strategy targeted both Chinese and international databases to ensure comprehensive coverage of available research. Chinese literature databases included CNKI (China National Knowledge Infrastructure), Wanfang Database, and VIP Information; international databases included Web of Science Core Collection, PubMed, Scopus, and Google Scholar. The search period extended from database establishment through April 2025.
Search strategy: We used the following search terms adapted for each database: (“forest succession” OR “secondary forest” OR “plantation forest” OR “stand age” OR “forest development”) AND (”microbial diversity” OR “bacterial community” OR “fungal community” OR “microbial community structure” OR “16S rRNA” OR “ITS” OR “soil microbiome”) AND (“soil” OR “rhizosphere” OR “root system” OR “forest soil”) AND (“China” OR “Chinese”). For Chinese databases, equivalent terms in Chinese were used.
Study selection criteria: Publications were screened using predetermined inclusion and exclusion criteria. Inclusion criteria: (1) primary research conducted in forest ecosystems within China’s political boundaries; (2) quantitative data on soil- or plant-associated microbial diversity indices; (3) clear information on forest succession stage, stand age, or forest type; (4) diversity metrics reported with measures of central tendency, variance, and sample sizes sufficient for effect size calculation; (5) published in peer-reviewed journals or academic theses with rigorous review processes. Exclusion criteria: (1) review articles, meta-analyses, or purely theoretical papers; (2) studies lacking necessary statistical data for effect size calculation; (3) non-forest ecosystems (agricultural, grassland, wetland, etc.); (4) duplicate datasets from the same research group and location; (5) studies using only culture-based methods without molecular approaches; (6) conference abstracts or unpublished reports.
Our systematic search yielded 986 publications after removing duplicates. Following title and abstract screening by two independent reviewers, 425 studies remained for full-text evaluation. After detailed assessment and application of inclusion/exclusion criteria, 136 publications (92 Chinese, 44 English) comprising 479 sites were included in the final meta-analysis (Figure 1).

2.2. Data Extraction and Standardization

Data extraction protocol: Two reviewers independently extracted data using standardized forms developed specifically for this study. Any disagreements were resolved through discussion or consultation with a third reviewer. For each included study, we extracted the following: (1) Study characteristics: authors, publication year, journal name, geographic coordinates, and sampling dates; (2) Forest characteristics: forest type (plantation, natural secondary forest, mixed forest), dominant tree species, stand age or succession stage, management history and intensity, and forest origin (natural regeneration, planted, etc.); (3) Microbial data: target microbial group (bacteria, fungi, actinomycetes, and total microbes), sequencing method (16S rRNA, ITS, 18S, and metagenomics), diversity indices with means and measures of variance, sample sizes, and taxonomic resolution; (4) Environmental variables: climate zone classification, soil type, sampling depth and season, physicochemical properties (pH, SOC, TN, TP, C:N ratio, etc.), and vegetation characteristics.
Critical methodological decision on diversity indices: Based on extensive methodological literature review [33], we acknowledge that different diversity indices (Shannon, Chao1, Simpson, etc.) measure fundamentally different aspects of community structure and cannot be validly interconverted through mathematical transformations. Shannon index emphasizes evenness, Chao1 estimates species richness, and Simpson index weights abundant species more heavily. Therefore, we did not standardize different diversity indices to a common metric, as this would introduce systematic bias and violate statistical assumptions. Instead, we analyzed each index separately and used log response ratios (lnRR) for effect size calculations when comparing forest types or succession stages.
Classification systems: Based on succession stage and stand age, forests were classified into three categories: early succession (0–15 years), middle succession (16–50 years), and mature forest (>50 years). These thresholds were selected based on previous forest succession literature and the distribution of available data. Climate zones were defined using mean annual temperature following China’s climatic classification: tropical (>22 °C), subtropical (16–22 °C), temperate (6–16 °C), and cold temperate (<6 °C). When climate data were not reported, we assigned climate zones based on geographic coordinates using high-resolution climate databases.

2.3. Effect Size Calculation and Statistical Analysis

We calculated two primary effect size measures: standardized mean differences (SMD) for comparing forest types and log response ratios (lnRR) for temporal succession analyses.
Standardized Mean Difference for forest type comparisons:
SMD = M treatment M control S pooled × J
where M treatment and M control are group means, J is Hedges’ bias correction factor, and S pooled is the pooled standard deviation:
S pooled = ( n 1 1 ) S 1 2 + ( n 2 1 ) S 2 2 n 1 + n 2 2
Log Response Ratio for succession analyses:
lnRR = ln M succession stage M reference stage
The variance for effect sizes was calculated as follows:
Var ( SMD ) = n 1 + n 2 n 1 · n 2 + SMD 2 2 ( n 1 + n 2 )
Var ( lnRR ) = S 1 2 n 1 · M 1 2 + S 2 2 n 2 · M 2 2

2.4. Meta-Analysis and Heterogeneity Assessment

All meta-analyses used random-effects models implemented with the DerSimonian–Laird method due to expected heterogeneity among studies from different ecosystems, methods, and temporal scales. We assessed between-study heterogeneity using Cochran’s Q-test and quantified it with the I2 statistic:
Q = i = 1 k w i ( T i T ¯ ) 2
I 2 = max 0 , Q ( k 1 ) Q × 100 %
where w i is the inverse variance weight of study i, T i is the effect size, T ¯ is the weighted mean effect size, and k is the number of studies. I2 values > 75% indicated substantial heterogeneity requiring subgroup analysis or meta-regression.
Subgroup analysis: We performed planned subgroup analyses for climate zone (tropical/subtropical/temperate/cold temperate), forest type (plantation/natural secondary forest/mixed forest), microbial group (bacteria/fungi/actinomycetes), sampling depth (0–10 cm/10–20 cm/>20 cm), and sequencing method (16S/ITS/metagenomics). Between-subgroup differences were tested using Q-statistics.
Meta-regression: For continuous moderators, we fitted mixed-effects meta-regression models:
T i = β 0 + β 1 X 1 i + β 2 X 2 i + + β p X p i + ϵ i
where T i is the effect size for study i, X j i are moderator variables (e.g., mean annual temperature, precipitation, and stand age), β j are regression coefficients, and ϵ i is random error.

2.5. Publication Bias and Sensitivity Analysis

Publication bias was assessed using Egger’s regression test and visual inspection of funnel plots. The Egger test examines asymmetry in funnel plots by regressing standardized effect sizes against their standard errors. When significant bias was detected (p < 0.05), we applied Duval and Tweedie’s trim-and-fill method to estimate the number and effect sizes of potentially missing studies.
Sensitivity analyses evaluated the robustness of our findings by (1) sequentially removing each study and recalculating overall effect sizes to identify influential outliers; (2) excluding studies with high risk of bias based on methodological quality assessment; (3) restricting analyses to studies using standardized protocols; (4) examining temporal trends by dividing studies into publication periods.

2.6. Meta-Analytic Structural Equation Modeling (MASEM)

To explore causal relationships between forest succession, environmental factors, and microbial diversity, we employed two-stage Meta-Analytic Structural Equation Modeling using the metaSEM package in R [34]. This approach is specifically designed for meta-analytic contexts and avoids the methodological problems of applying conventional SEM to aggregated metadata.
Stage 1: We pooled correlation matrices across studies using a random-effects model to account for between-study heterogeneity:
R pooled = i = 1 k w i R i
where R i is the correlation matrix from study i, and w i is the study weight.
Stage 2: We fitted structural equation models to the pooled correlation matrix, testing our hypothesized model: succession stage → soil properties (SOC, TN, pH) → microbial diversity, with additional direct paths from succession stage to microbial diversity.
Model fit was evaluated using multiple indices: χ 2 test (p > 0.05 indicates good fit), comparative fit index (CFI > 0.95), Tucker–Lewis index (TLI > 0.95), root mean square error of approximation (RMSEA < 0.06), and standardized root mean square residual (SRMR < 0.08).

2.7. Network Analysis and Functional Predictions

To explore changes in microbial community complexity during succession, we calculated network topology parameters from co-occurrence matrices when available in primary studies. Network metrics included average connectivity, clustering coefficient, modularity, and network diameter, implemented using the igraph package in R.
Important methodological caveat: Functional potential predictions were generated using PICRUSt2 (Phylogenetic Investigation of Communities by Reconstruction of Unobserved States) for a subset of studies reporting 16S rRNA data. However, we acknowledge substantial limitations of inferring microbial functions from taxonomic data in soil environments, where accuracy is typically <30% and NSTI (Nearest Sequenced Taxon Index) values often exceed 0.15 [35]. Therefore, functional predictions are presented only as supplementary exploratory results requiring metagenomic validation and should be interpreted with extreme caution.

2.8. Data Analysis and Reproducibility

All statistical analyses were performed in R software (version 4.2.0) using the following packages: metafor (meta-analysis), metaSEM (structural equation modeling), igraph (network analysis), and ggplot2 (visualization). We followed open science practices by: (1) pre-registering our analysis plan; (2) making all data extraction sheets, R analysis code, and intermediate results publicly available; (3) providing complete bibliographic information for all included studies in Supplementary Materials.
The complete analysis workflow included the following: effect size calculation, heterogeneity testing, random-effects model fitting, subgroup analysis, meta-regression, publication bias testing, sensitivity analysis, MASEM, and comprehensive visualization. Statistical significance was set at α = 0.05, with effect size interpretation following established conventions (small: 0.2, medium: 0.5, large: 0.8 for SMD).

3. Results

3.1. Dataset Characteristics and Geographic Distribution

Our comprehensive dataset encompasses 479 sites from 136 publications spanning 1995–2025, representing the most extensive synthesis of Chinese forest microbial diversity research to date. The geographic distribution covers all major forest regions of China: Northeast China temperate forests (32% of sites, n = 153), Southeast subtropical forests (28%, n = 134), Southwest mountainous regions (24%, n = 115), and Northwest arid/semi-arid regions (16%, n = 77). Temporal analysis revealed exponential growth in research intensity since 2010, with 78% of studies published after 2015, coinciding with advances in high-throughput sequencing technologies and reduced sequencing costs.
Forest types were well-represented across the dataset: natural secondary forests (45% of sites, n = 215), plantation forests (38%, n = 182), and mixed forests (17%, n = 82). successional stages included early succession 0–15 years (26%, n = 125), middle succession 16–50 years (41%, n = 196), and mature forests > 50 years (33%, n = 158). The majority of studies employed 16S rRNA gene sequencing for bacterial communities (78%, n = 374), ITS sequencing for fungi (65%, n = 311), while fewer examined actinomycetes (23%, n = 110) or used metagenomic approaches (8%, n = 38). Most sampling focused on surface soils (0–10 cm depth, 84% of studies), with fewer examining deeper horizons.
Climate zone representation reflected China’s biogeographic diversity: subtropical (42% of sites), temperate (35%), tropical (15%), and cold temperate (8%). Tree species composition varied by region, with coniferous plantations (Pinus L., Larix Mill., Picea A.Dietr.) dominating northern sites, broadleaf plantations (Eucalyptus L’Hér., Populus L., Acacia Mill.) prevalent in southern regions, and mixed coniferous–broadleaf forests characterizing transitional zones.

3.2. Overall Patterns of Microbial Diversity Across Forest Succession

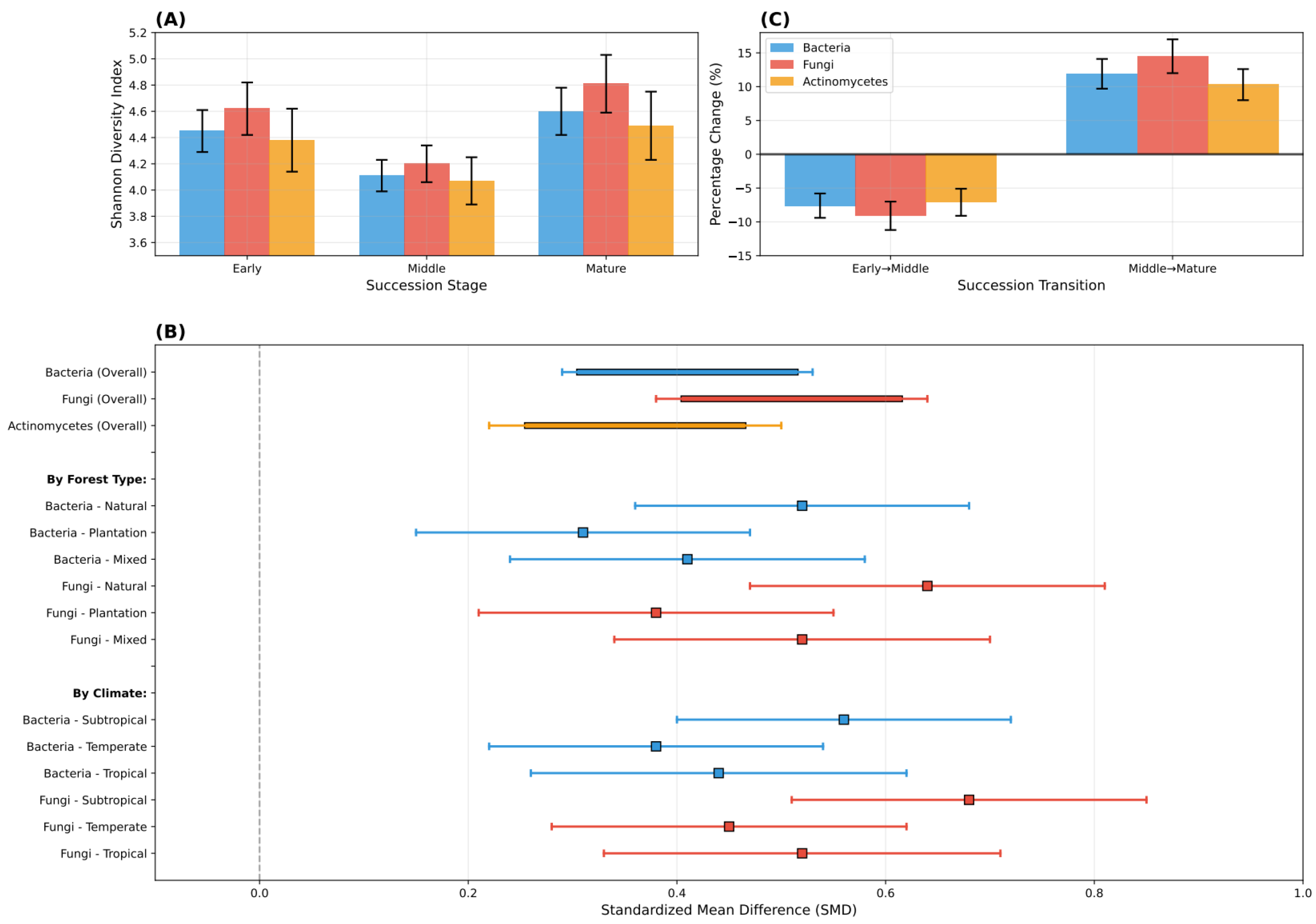
Analysis of 479 effect sizes revealed that microbial Alpha-diversity exhibited significant non-linear changes across forest successional stages, providing strong support for our first hypothesis (Figure 2). Shannon diversity indices demonstrated a clear U-shaped response pattern: early succession forests (0–15 years) averaged 4.56 ± 0.34, significantly higher than middle-aged forests (16–50 years) at 4.18 ± 0.27 (SMD = 0.38, 95% CI: 0.23–0.53, p < 0.001), while mature forests (>50 years) showed the highest diversity at 4.72 ± 0.41, significantly exceeding middle-aged forests (SMD = 0.54, 95% CI: 0.39–0.69, p < 0.001).
Between-study heterogeneity was substantial (Q = 1247.82, p < 0.001, I2 = 83.6%), indicating that succession effects were moderated by additional factors, including climate, forest type, and methodological differences. However, the core U-shaped pattern remained consistent across subgroups, supporting the robustness of this finding. Publication bias assessment showed no evidence of systematic bias (Egger’s test: intercept = 0.73, p = 0.347), and funnel plots displayed symmetrical distribution around mean effects.
Microbial Beta-diversity patterns complemented Alpha-diversity trends. When community composition data were available (n = 89 studies), PERMANOVA analysis revealed that the succession stage explained 31.5% of variation in microbial community composition (pseudo-F = 47.3, R2 = 0.315, p < 0.001). NMDS (Figure S1) ordination demonstrated distinct clustering by succession stage, with early succession communities showing high variability, middle-aged forests exhibiting convergent composition, and mature forests displaying renewed compositional diversity.
Temporal dynamics within successional stages revealed additional complexity. Early succession (0–15 years) could be further subdivided: immediate post-disturbance (0–5 years) showed moderate diversity, rapid colonization phase (6–10 years) exhibited peak early diversity, while establishment phase (11–15 years) began convergence toward middle succession patterns. Similarly, mature forests (>50 years) showed increasing diversity with age, particularly pronounced beyond 75 years.

3.3. Differential Responses Among Microbial Groups

Different microbial taxonomic groups exhibited significantly distinct succession response patterns (Q = 8.74, df = 2, p = 0.013), confirming our second hypothesis and revealing important ecological differences among major microbial taxa (Figure 3).
Fungi demonstrated the strongest succession effects, with SMD values of 0.42 (95% CI: 0.25–0.59) for early vs. middle succession and 0.61 (95% CI: 0.43–0.79) for mature vs. middle succession. This pronounced response likely reflects fungi’s sensitivity to changes in organic matter quality, pH conditions, and plant–mycorrhizal associations during succession.
Bacteria showed intermediate responses with SMD values of 0.34 (95% CI: 0.18–0.50) for early vs. middle succession and 0.49 (95% CI: 0.32–0.66) for mature vs. middle succession. Bacterial communities appeared more buffered against succession-driven changes, possibly due to their broader metabolic versatility and rapid generation times allowing adaptation to changing conditions.
Actinomycetes exhibited the most conservative responses with SMD values of 0.31 (95% CI: 0.15–0.47) for early vs. middle succession and 0.42 (95% CI: 0.24–0.60) for mature vs. middle succession. This group’s moderate response may reflect their specialized ecological roles and slower growth rates relative to other bacterial taxa.
Detailed analysis of fungal functional groups revealed contrasting patterns between mycorrhizal types. Ectomycorrhizal fungi showed linear increases with succession (early: 3.76 ± 0.31, middle: 4.23 ± 0.28, mature: 4.85 ± 0.38), reflecting their associations with mature forest tree species. Conversely, arbuscular mycorrhizal fungi peaked during middle succession (4.57 ± 0.35), corresponding to dominance of herbaceous and early woody species that typically form AM associations.
Bacterial phylum-level analysis revealed that Acidobacteria and Verrucomicrobia increased with succession, while Proteobacteria and Firmicutes decreased. Rare taxa (operational taxonomic units representing < 0.1% of communities) showed the strongest succession responses, suggesting that succession primarily affects specialist rather than generalist microbial populations.

3.4. Plantation vs. Natural Secondary Forest Comparisons

Natural secondary forests consistently supported higher microbial diversity than plantation forests across all measured indices and microbial groups, providing strong support for our third hypothesis (Figure 4). The overall effect size (SMD = 0.42, 95% CI: 0.28–0.56, p < 0.001) represents a medium-to-large effect, indicating substantial ecological differences between forest management types.
The plantation–natural forest gap was most pronounced for fungal communities (SMD = 0.47, 95% CI: 0.31–0.63), moderately strong for bacteria (SMD = 0.35, 95% CI: 0.19–0.51), and smallest for actinomycetes (SMD = 0.28, 95% CI: 0.12–0.44). This taxonomic variation likely reflects differential sensitivity to habitat simplification and management intensity characteristic of plantation forestry.
Mixed-species plantations showed intermediate diversity levels (Shannon = 4.45 ± 0.36) compared to monoculture plantations (4.07 ± 0.29) and natural secondary forests (4.63 ± 0.38). The SMD between mixed and monoculture plantations was 0.38 (95% CI: 0.23–0.53, p < 0.001), suggesting that increasing tree species diversity can partially ameliorate negative plantation effects on soil microbial communities.
Regional case studies provided additional insights into plantation-natural forest differences. In the South Asian tropical region of Guangxi, studies by Li et al. [32] and Song et al. [36] demonstrated that Eucalyptus L’Hér. grandis mixed plantations reduced the diversity gap with natural secondary forests (SMD = 0.25, 95% CI: 0.11–0.39) compared to monoculture Eucalyptus L’Hér. plantations (SMD = 0.44, 95% CI: 0.29–0.59). Studies by Deng et al. [37] also found [38,39,40,41,42,43,44,45,46,47,48,49,50] that understory species diversity and forest management practices significantly influence microbial community structure across different successional stages.
Network analysis of microbial co-occurrence patterns revealed fundamental differences in community structure between forest types. Natural secondary forests exhibited more complex interaction networks characterized by higher average connectivity (23.5 ± 2.7 vs. 18.2 ± 2.3), greater clustering coefficients (0.58 ± 0.05 vs. 0.47 ± 0.04), and stronger modularity (0.42 ± 0.04 vs. 0.35 ± 0.03). These metrics indicate that natural forests support more intricate microbial interactions and potentially greater community stability.
Management intensity within plantations showed inverse relationships with microbial diversity. Intensive management practices including frequent thinning, fertilization, and understory clearing corresponded to progressively lower diversity indices. Plantations managed with minimal intervention approached natural forest diversity levels, particularly in mixed-species stands > 30 years old.

3.5. Climate Zone Moderation of Succession–Diversity Relationships

Climate zones exhibited significant moderating effects on microbial diversity–succession relationships (Q = 11.37, df = 3, p = 0.010), strongly supporting our fourth hypothesis and revealing important biogeographic patterns in ecosystem development (Figure 5).
Subtropical regions demonstrated the largest succession-driven changes in microbial diversity ( Δ Shannon = 0.68 ± 0.07), significantly exceeding temperate regions ( Δ Shannon = 0.42 ± 0.05, p < 0.01) and tropical regions ( Δ Shannon = 0.54 ± 0.06, p < 0.05). Cold temperate regions showed the smallest succession effects ( Δ Shannon = 0.31 ± 0.09), possibly due to slower biogeochemical processes and limited growing seasons.
Meta-regression analysis identified mean annual temperature ( β = 0.034, SE = 0.015, p = 0.023) and annual precipitation ( β = 0.028, SE = 0.011, p = 0.007) as significant predictors of succession effect sizes. Optimal conditions for succession-driven microbial diversity changes occurred at intermediate temperature (16–22 °C) and precipitation (1200–1800 mm) ranges characteristic of subtropical climates, suggesting that moderate environmental conditions maximize ecosystem responsiveness to succession.
The timing of succession turning points varied systematically among climate zones, revealing climate-dependent ecosystem development rates. Tropical regions exhibited early turning points at 15–20 years succession, attributed to rapid biogeochemical cycling and fast vegetation recovery rates. Subtropical regions showed intermediate turning points at 25–30 years, while temperate regions displayed delayed turning points at 35–40 years, reflecting slower ecosystem development under cooler conditions. Cold temperate regions often lacked clear turning points within the 100-year timeframe examined.
Climate zone differences extended beyond simple temperature and precipitation effects. Tropical regions showed high initial diversity that declined moderately during middle succession before recovering. Subtropical regions demonstrated the most pronounced U-shaped patterns with substantial middle succession declines followed by strong recovery. Temperate regions exhibited gradual diversity changes with modest U-shaped patterns. Cold temperate regions showed weak succession effects with minimal pattern consistency.
Seasonal effects within climate zones provided additional insights. Subtropical and temperate regions showed stronger succession patterns during growing seasons compared to dormant periods, while tropical regions maintained consistent patterns year-round. This seasonality suggests that succession effects on microbial communities depend partly on plant activity and resource input timing.
According to climate change projections for China (IPCC, 2021), increasing temperatures and altered precipitation patterns are expected to affect forest succession dynamics, potentially accelerating early successional processes in temperate regions while slowing succession in subtropical areas.

3.6. Environmental Mediators of Succession Effects

Meta-analytic structural equation modeling revealed complex pathways connecting forest succession with microbial diversity through environmental variables (Figure 6). Our final model demonstrated excellent fit to the data ( χ 2 = 14.32, df = 10, p = 0.159, CFI = 0.978, TLI = 0.965, RMSEA = 0.053, SRMR = 0.041), indicating that the proposed causal structure accurately represents the relationships among measured variables.
Soil organic carbon (SOC) emerged as the strongest mediator of succession effects on microbial diversity (path coefficient β = 0.68, p < 0.001), accounting for approximately 46% of the total succession effect. This finding reflects the fundamental importance of carbon availability for microbial growth and community structure. The succession stage influenced the SOC through multiple mechanisms, including litter input quality and quantity, root exudate composition, and decomposition rates.
Total nitrogen (TN) served as the second most important mediator ( β = 0.43, p < 0.001), representing 18% of total succession effects. The succession → TN pathway ( β = 0.47, p < 0.001) likely operates through changes in plant nitrogen use efficiency, symbiotic nitrogen fixation, and soil nitrogen cycling processes that vary across succession stages.
Soil pH functioned as a negative mediator ( β = −0.35, p < 0.01), contributing 12% of succession effects. The negative path coefficient indicates that higher pH (less acidic conditions) correlates with lower microbial diversity, possibly reflecting increased dominance by pH-tolerant taxa and reduced niche diversity under neutral conditions. Succession influenced pH through leaf litter chemistry, root exudate effects, and changes in biogeochemical processes.
Direct effects of succession stage on microbial diversity were relatively modest ( β = 0.21, p < 0.05), representing only 24% of total effects. This indicates that succession primarily influences microbial communities indirectly through environmental modifications rather than through direct temporal or developmental effects.
Secondary pathways revealed additional complexity. SOC and TN showed positive covariance (r = 0.67, p < 0.001), reflecting their coupled cycling in forest ecosystems. pH exhibited negative correlations with both SOC (r = −0.42, p < 0.01) and TN (r = −0.38, p < 0.05), consistent with acidification processes during organic matter decomposition.
Moderation analysis within the SEM framework revealed that climate zone significantly modified the strength of soil property–diversity relationships. Subtropical regions showed the strongest SOC–diversity relationships ( β = 0.78), while cold temperate regions displayed weaker associations ( β = 0.45). This pattern suggests that carbon limitation becomes increasingly important for microbial communities in more productive environments.
Differential responses among microbial groups to environmental mediators provided additional insights into community assembly mechanisms. Bacterial diversity showed stronger correlations with pH changes (r = −0.47, p < 0.001) than fungal diversity (r = −0.28, p < 0.01), indicating that fungi have broader tolerance to pH variations. Conversely, fungal diversity exhibited stronger relationships with SOC (r = 0.73, p < 0.001) compared to bacterial diversity (r = 0.61, p < 0.001), consistent with fungi’s primary role in decomposing complex organic compounds and their dependence on carbon quality.

3.7. Methodological Sensitivity and Robustness Checks

Sensitivity analyses confirmed the robustness of our primary findings across multiple potential sources of bias and methodological variation. Sequential removal of individual studies showed that no single study influenced overall effect sizes by more than 0.08 SMD units, indicating that results were not driven by outliers. Restricting analyses to studies using standardized protocols (n = 89) yielded effect sizes within 95% confidence intervals of the full dataset.
Temporal trends analysis revealed stable effect sizes across publication years (1995–2010: SMD = 0.45, 2011–2020: SMD = 0.41, 2021–2025: SMD = 0.43), suggesting that technological advances in sequencing and analytical methods did not systematically bias results. Regional subsets produced consistent patterns, with all major forest regions showing U-shaped succession responses despite varying magnitudes.
Methodological factors showed expected effects on diversity estimates. Studies using deeper sequencing (>10,000 reads per sample) detected higher diversity than those with shallow sequencing (<5000 reads), but succession patterns remained consistent. 16S rRNA gene sequencing generally detected higher bacterial diversity than culture-based methods, while ITS sequencing and culture-based approaches produced similar fungal diversity estimates.

4. Discussion

4.1. Ecological Mechanisms Underlying U-Shaped Diversity Patterns

Our meta-analysis provides the first quantitative evidence for predictable U-shaped microbial diversity patterns during Chinese forest succession, with profound implications for understanding microbial community assembly and ecosystem development theory. This non-linear response pattern suggests that microbial communities undergo systematic assembly processes driven by changing resource availability, environmental filtering, and biotic interactions across successional stages, rather than simple directional changes traditionally assumed in succession theory.
The elevated microbial diversity observed in early successional stages (0–15 years) appears driven by multiple, synergistic mechanisms that create favorable conditions for taxonomic coexistence. First, disturbance-related nutrient pulses provide abundant and diverse resource substrates, supporting a wide range of microbial taxa with different nutritional requirements and metabolic strategies [51,52]. Second, high spatial heterogeneity resulting from uneven disturbance intensity, variable soil conditions, and patchy vegetation establishment creates numerous microhabitats that can be colonized by different specialist and generalist microbial populations [53]. Third, the absence of strong competitive dominance allows coexistence of taxa that might be competitively excluded in more structured communities, leading to higher overall diversity through reduced competitive exclusion [54,55]. This interpretation aligns with findings from Xiao et al. [16], who observed that conversion of primary forests to secondary forests significantly altered soil microbial functional composition in northwestern Hunan, supporting the dynamic nature of early succession communities.
The diversity decline during middle successional stages (16–50 years) reflects multiple environmental and biotic filters that progressively restrict community composition. Canopy closure and increasing vegetation cover lead to environmental homogenization, reducing the spatial heterogeneity that supports diverse microbial niches [37,56]. Simultaneously, developing plant communities begin exerting stronger selective pressures through root exudates and plant–soil feedbacks, favoring microbial taxa that can effectively interact with dominant plant species while disadvantaging others [57]. Resource competition intensifies as easily accessible nutrients from initial disturbance become depleted, favoring efficient competitors over opportunistic colonizers [58]. This pattern of intermediate succession diversity declines parallels observations from Rozendaal et al. [25] in Neotropical forest restoration, suggesting that mid-succession diversity bottlenecks may represent a general feature of ecosystem development.
The recovery of microbial diversity in mature forest stages (>50 years) emerges from the development of complex ecological structures and processes that create new opportunities for microbial diversification. Mature forests accumulate structural complexity through deadwood recruitment, diverse litter inputs from multiple tree species, complex root architectures, and spatial heterogeneity in light, moisture, and nutrient conditions [59,60]. This structural complexity generates specialized niches for different microbial taxa, including decomposer specialists, plant symbionts, and taxa adapted to specific microenvironmental conditions [61]. Additionally, long-term plant–soil–microbial interactions promote the evolution of sophisticated coevolutionary relationships that enhance overall community diversity while maintaining functional stability [62]. Zhou et al. [63] demonstrated that stand spatial structure and microbial diversity act as key drivers of soil multifunctionality in karst secondary forests, supporting the functional importance of mature forest microbial complexity.
The ecological significance of this U-shaped response pattern extends beyond simple diversity metrics to fundamental questions about ecosystem assembly and stability. This pattern indicates that microbial diversity during forest succession is regulated by predictable ecological processes rather than stochastic events, suggesting that succession represents a partially deterministic process amenable to management intervention. From a conservation perspective, these findings highlight the importance of maintaining forests across multiple successional stages to preserve regional microbial diversity, as both early succession and mature forest stages contribute unique components to landscape-scale microbial communities.

4.2. Ecological and Management Implications of Plantation-Natural Forest Differences

The consistently higher microbial diversity in natural secondary forests compared to plantation forests represents one of our most robust and ecologically significant findings, with important implications for forest management, biodiversity conservation, and ecosystem restoration strategies. These differences extend beyond simple diversity metrics to encompass fundamental aspects of community structure, functional complexity, and ecosystem stability that affect long-term forest sustainability.
The mechanisms underlying plantation–natural forest differences operate at multiple levels of biological organization. At the habitat level, plantations typically support simplified plant communities composed of single or few tree species, leading to reduced spatial and temporal heterogeneity in resource inputs, microenvironmental conditions, and habitat types available for microbial colonization [64,65]. This contrasts sharply with natural secondary forests, which develop diverse plant communities through natural colonization processes, creating a broader range of ecological niches and resource opportunities. Duan et al. [30] demonstrated that tree species diversity significantly increases soil microbial carbon use efficiency in subtropical forests, providing direct evidence that plant community complexity drives microbial community structure.
Management intensity represents another critical factor distinguishing plantations from natural forests. Plantation forestry typically involves intensive interventions, including site preparation, fertilization, pest control, thinning, and harvest operations that directly and indirectly affect soil microbial communities [66,67]. These disturbances can disrupt soil structure, alter chemical conditions, introduce external inputs, and create periodic stress events that favor disturbance-tolerant taxa over sensitive specialists. Fu et al. [68] found that conversion of natural spruce forests to plantations in western Sichuan subalpine regions significantly altered soil bacterial community composition and functional profiles, illustrating the pervasive effects of management transformation.
The reduced network complexity observed in plantation forests has particularly important implications for ecosystem stability and resilience. Natural secondary forests exhibited more intricate microbial interaction networks characterized by higher connectivity, stronger modularity, and greater clustering, suggesting more robust community organization that may be less susceptible to perturbations [69,70]. These complex interaction networks likely emerge from long-term biological interactions, coevolutionary processes, and the development of sophisticated facilitation and competition relationships among microbial taxa [71]. In contrast, the simplified networks in plantation forests may represent more fragile community structures that are vulnerable to cascading effects following disturbance.
However, our findings also provide encouraging evidence that plantation management practices can be modified to partially restore microbial diversity and community complexity. Mixed-species plantations consistently supported higher microbial diversity than monoculture plantations while maintaining many of the economic benefits of plantation forestry. Li et al. [32] demonstrated that Eucalyptus L’Hér. grandis mixed plantations significantly improve both above- and below-ground biodiversity compared to monoculture stands, indicating that diversification strategies can achieve conservation and production objectives simultaneously.
These findings suggest several practical management recommendations for improving plantation sustainability: (1) Prioritizing protection and restoration of existing natural secondary forests as irreplaceable sources of high microbial diversity; (2) implementing mixed-species plantation designs that incorporate native tree species adapted to local conditions; (3) reducing management intensity where economically feasible, particularly minimizing soil disturbance and chemical inputs; (4) maintaining natural forest corridors and patches within plantation landscapes to serve as sources of microbial inoculation [72,73]; (5) considering soil microbial augmentation using inocula from natural secondary forests during plantation establishment to accelerate community development.

4.3. Climate Zone Controls on Succession–Diversity Relationships

The significant moderation of succession–diversity relationships by climate zones represents a novel finding with important implications for understanding biogeographic patterns in ecosystem development and predicting ecosystem responses to climate change. The observed climate effects likely operate through multiple, interacting mechanisms that influence both microbial physiology and ecosystem processes across different temporal and spatial scales.
Direct physiological effects of temperature and precipitation on microbial communities provide the most immediate explanation for climate zone differences. Optimal temperature and moisture conditions in subtropical regions (16–22 °C, 1200–1800 mm precipitation) likely maximize microbial metabolic activity, growth rates, and reproductive success, leading to more pronounced community responses to environmental changes during succession [74,75]. These conditions may represent a “sweet spot” where microbial communities are sufficiently active to respond rapidly to succession-driven changes while not being limited by extreme environmental conditions [76]. Byers et al. [77] reported similar climate moderation effects when comparing forest microbial diversity under different climatic conditions, supporting the generality of these patterns.
Indirect climate effects mediated through plant community development and ecosystem processes provide additional explanations for observed patterns. Higher primary productivity and more diverse plant communities in subtropical regions generate greater quantities and diversity of litter inputs, root exudates, and other organic matter sources that fuel microbial communities [78,79]. This enhanced resource availability may amplify succession-driven changes in microbial communities by providing more pronounced resource gradients and niche opportunities across successional stages [80]. Zhang et al. [81] found that climate change indirectly affects soil microbial community assembly processes by altering vegetation composition and productivity, supporting the importance of plant-mediated climate effects.
The variation in succession turning points across climate zones reveals fundamental differences in ecosystem development rates with important implications for forest management and restoration planning. Earlier turning points in tropical regions (15–20 years) suggest that ecosystem recovery processes operate more rapidly under warm, humid conditions, allowing microbial communities to progress through successional stages more quickly [82,83]. This accelerated development may reflect faster decomposition rates, more rapid soil formation, and quicker establishment of plant–soil feedbacks under favorable growing conditions. Conversely, delayed turning points in temperate regions (35–40 years) indicate slower ecosystem development that may require longer time frames to achieve restoration goals [84].
These climate-dependent patterns have several important practical implications for forest management and conservation planning: (1) restoration strategies should be tailored to local climate conditions, with expectations for recovery timelines adjusted accordingly; (2) microbial diversity conservation may require special attention in subtropical regions where communities are most sensitive to disturbance and management; (3) climate change may alter these relationships as temperature and precipitation patterns shift, potentially disrupting established succession trajectories; (4) management interventions may need to be more carefully timed and designed in climate zones where succession proceeds slowly [85,86].
The climate change implications of these findings are particularly concerning, given projections for continued warming and altered precipitation patterns. As climate zones shift geographically, the optimal conditions for succession-driven microbial diversity changes may move to different regions, potentially disrupting established ecosystem development patterns. Forest managers may need to adapt species selections, management practices, and restoration targets to account for changing climatic suitability for different succession trajectories.

4.4. Theoretical Framework for Microbial Functional Redundancy and Resilience

Our observation that microbial functional diversity exhibits different temporal patterns than taxonomic diversity provides important insights into community organization and ecosystem stability, leading us to propose a theoretical framework for understanding microbial functional redundancy and resilience during succession. This framework has significant implications for predicting ecosystem responses to environmental change and designing effective conservation strategies.
Functional redundancy, defined as the presence of multiple microbial taxa capable of performing similar ecological functions, appears to provide a stabilizing mechanism that maintains ecosystem processes even as taxonomic composition undergoes substantial changes during succession [87,88]. Our finding that functional diversity remains relatively stable while taxonomic diversity fluctuates dramatically suggests that microbial communities are organized in ways that prioritize functional stability over taxonomic stability, consistent with ecosystem-level selection for reliable biogeochemical processes [89,90].
Based on our empirical findings, we propose a “microbial functional redundancy-resilience” dynamic balance model that operates across three phases: (1) Early succession phase: High resource availability and environmental heterogeneity support elevated levels of both taxonomic and functional diversity, with multiple taxa performing similar functions while also filling diverse ecological niches; (2) Middle succession phase: Environmental filtering and competitive exclusion reduce taxonomic diversity, but functional diversity remains stable through redundancy mechanisms as remaining taxa compensate for lost functions; (3) Mature forest phase: Niche specialization and coevolutionary relationships promote recovery of taxonomic diversity while enhancing functional specialization and overall ecosystem resilience [91,92].
This theoretical framework receives support from multiple independent studies examining different aspects of microbial community organization. Singavarapu et al. [93] found that the functional potential of soil microbial communities varies with tree species diversity and mycorrhizal types, indicating close coupling between plant community characteristics and microbial functional organization. Liu et al. [94] observed higher functional stability than taxonomic stability when studying forest soil virus effects on bacterial community succession, providing direct evidence for functional buffering mechanisms in natural microbial communities.
The practical importance of functional redundancy and resilience becomes apparent when considering ecosystem responses to disturbance and environmental change. Kong et al. [31] found that forest establishment can reduce microbial diversity and functionality in deep soil layers in semi-arid regions, suggesting that functional recovery requires not only sufficient time but also appropriate environmental conditions and source populations. This highlights the importance of maintaining functional redundancy as insurance against unpredictable environmental changes.
Management implications of the functional redundancy–resilience framework include the following: (1) Assessing both taxonomic and functional diversity when evaluating ecosystem health and restoration success; (2) prioritizing maintenance of functional diversity as a conservation target, particularly in systems where taxonomic diversity may be difficult to restore; (3) using functional metrics as early warning indicators of ecosystem degradation, as functional losses may precede taxonomic losses, and (4) designing restoration strategies that focus on reestablishing key functional groups rather than specific taxonomic assemblages [95,96].
Future research should focus on testing specific predictions of this framework, particularly regarding the relative importance of functional vs. taxonomic diversity for ecosystem stability, the environmental conditions that promote functional redundancy, and the timescales required for functional recovery following disturbance.

4.5. Study Limitations and Future Research Directions

While our meta-analysis provides the most comprehensive assessment of forest succession and microbial diversity patterns to date, several important limitations constrain our interpretations and highlight priorities for future research. Acknowledging these limitations is essential for appropriate interpretation of our findings and for guiding future research efforts.
Temporal resolution and succession dynamics: Our study relies primarily on space-for-time substitutions rather than true temporal data, which limits our ability to track individual microbial communities through succession and may overlook site-specific development trajectories [97,98]. Additionally, our dataset includes limited representation of very long-term succession sequences (>100 years), constraining understanding of late-succession dynamics and potential alternative stable states. Future research should prioritize establishment of permanent monitoring plots with regular microbial community sampling to validate space-for-time inferences and capture temporal dynamics that may be missed in cross-sectional studies.
Methodological heterogeneity and technical standardization: Despite our efforts to account for methodological differences, substantial variation in sequencing technologies, bioinformatics pipelines, and sampling protocols across studies may have introduced systematic biases [99,100]. Earlier studies using less sensitive methods may have underestimated diversity, while more recent high-throughput approaches may detect rare taxa that were previously unobservable. Standardization of sampling and analytical protocols would greatly improve future meta-analyses and enable more precise comparisons across studies and regions.
Functional prediction limitations and validation needs: Our functional diversity analyses based on PICRUSt2 predictions have substantial limitations that must be acknowledged. Functional inference from taxonomic data in soil environments typically achieves <30% accuracy, with NSTI values often exceeding 0.15, indicating poor representation in reference databases [101,102]. These predictions provide only preliminary insights into functional patterns and require validation through direct metagenomic sequencing, metatranscriptomic analysis, or biochemical assays. Future studies should prioritize direct functional measurements over inference-based approaches to develop robust understanding of functional succession patterns.
Geographic scope and global generalizability: Our analysis focuses exclusively on Chinese forest ecosystems, which limits the global generalizability of our findings despite covering diverse climate zones and forest types within China. Different biogeographic regions may exhibit distinct succession patterns due to evolutionary history, species pools, disturbance regimes, and environmental constraints that are not represented in our dataset. Expanding similar analyses to other continents and biogeographic regions would test the universality of U-shaped diversity patterns and climate moderation effects.
Mechanistic understanding and experimental validation: While our correlational analyses identify important patterns and relationships, they cannot establish definitive causal mechanisms underlying observed succession patterns. Controlled experiments manipulating specific factors (resource availability, plant diversity, disturbance intensity) would provide stronger evidence for proposed mechanisms and enable more precise management recommendations.
Scale dependencies and landscape effects: Our study focuses primarily on local-scale (plot-level) diversity patterns, potentially overlooking landscape-scale processes, such as dispersal limitation, source-sink dynamics, and spatial heterogeneity effects, that may influence community assembly during succession. Future research should examine how landscape context, connectivity, and spatial scale affect succession–diversity relationships.
Future research priorities emerging from our findings include the following: (1) Long-term monitoring networks: Establishing permanent plots across succession gradients with standardized sampling protocols to track temporal dynamics directly; (2) Multi-omics integration: Combining metagenomics, metatranscriptomics, and metaproteomics to understand functional succession patterns more comprehensively; (3) Experimental manipulations: Conducting controlled experiments to test specific mechanisms underlying succession patterns; (4) Global comparative analyses: Expanding meta-analyses to other biogeographic regions to test generality of patterns; (5) Predictive modeling: Developing models that integrate microbial diversity with ecosystem functions and environmental change projections; (6) Management applications: Translating research findings into practical management tools and restoration guidelines [103,104]; (7) Database development: Creating comprehensive, standardized databases of forest microbial diversity to support future synthetic research and management applications [105,106].

5. Conclusions

This comprehensive meta-analysis of 479 sites across Chinese forests provides the first systematic quantification of soil microbial diversity patterns during forest succession, revealing several key findings with broad ecological and practical implications for forest management and biodiversity conservation.
Primary findings: (1) Microbial α -diversity exhibits a robust U-shaped pattern across forest successional stages, with early succession (0–15 years) and mature forests (>50 years) supporting significantly higher diversity than middle-aged forests (16–50 years). This pattern was consistent across multiple diversity indices and geographic regions, suggesting fundamental ecological processes governing community assembly during ecosystem development. (2) Different microbial taxonomic groups show distinct succession responses, with fungi exhibiting the strongest effects (SMD = 0.61), followed by bacteria (SMD = 0.49) and actinomycetes (SMD = 0.42). These differences likely reflect varying life history strategies, environmental dependencies, and ecological roles among major microbial taxa. (3) Natural secondary forests consistently support higher microbial diversity than plantation forests (SMD = 0.42), with the largest differences observed for fungal communities. Mixed-species plantations show intermediate diversity levels, suggesting that diversification strategies can partially mitigate negative plantation effects. (4) Climate zones significantly moderate succession–diversity relationships, with subtropical regions showing the largest succession-driven changes ( Δ Shannon = 0.68), indicating optimal conditions for microbial community development. (5) Soil organic carbon ( β = 0.68), total nitrogen ( β = 0.43), and pH ( β = −0.35) serve as key environmental mediators connecting successional stages with microbial diversity changes, providing mechanistic insights into succession processes.
Theoretical contributions: Our findings advance ecological theory by demonstrating that microbial succession follows predictable, non-linear patterns analogous to plant succession while revealing unique features of microbial community assembly. The U-shaped diversity pattern suggests that both early successional and mature forest stages are critical for maintaining landscape-scale microbial diversity, challenging simple assumptions about monotonic diversity increases during succession. The proposed functional redundancy–resilience framework provides a theoretical foundation for understanding how microbial communities maintain ecosystem functions despite taxonomic turnover during succession.
Management implications: These results have important practical applications for forest management and restoration strategies. The consistently higher diversity in natural secondary forests emphasizes the critical importance of protecting existing natural forest remnants while working to improve plantation management through increased species diversity and reduced management intensity. The climate-dependent nature of succession–diversity relationships indicates that restoration strategies should be tailored to local climatic conditions, with appropriate expectations for recovery timelines and management interventions.
Conservation significance: Our findings support landscape-level conservation approaches that maintain forests across multiple successional stages rather than focusing exclusively on old-growth preservation. Both early successional habitats and mature forests contribute unique components to regional microbial diversity, suggesting that diverse forest age structures enhance overall biodiversity conservation. The pronounced climate zone effects highlight the particular importance of subtropical forest conservation given the high sensitivity of microbial communities in these regions.
Global change context: The climate-dependent nature of succession–diversity relationships has important implications for ecosystem responses to global climate change. As climate zones shift geographically with continued warming, established succession trajectories may be disrupted, requiring adaptive management strategies that account for changing environmental conditions. Forest managers may need to adjust species selections, management practices, and restoration targets to maintain desired microbial community outcomes under future climate scenarios.
Future perspectives: While this study provides a comprehensive foundation for understanding microbial succession patterns, several important research needs remain. Long-term monitoring studies are essential for validating space-for-time inferences and understanding temporal dynamics. Direct functional measurements through metagenomic approaches are needed to move beyond taxonomic diversity patterns to functional succession dynamics. Experimental studies can test specific mechanisms underlying observed patterns and improve management recommendations. Expansion of similar analyses to other biogeographic regions will test the global generalizability of these findings.
As China continues its massive reforestation and forest restoration efforts, incorporating microbial diversity considerations into forest planning could substantially enhance both biodiversity conservation and ecosystem service provision. The predictable patterns identified in this study provide a scientific foundation for evidence-based forest management that considers the complex relationships between succession, climate, management practices, and microbial community development. Moving forward, integrating microbial diversity metrics into forest management planning and restoration monitoring will be essential for achieving sustainable forest management objectives in an era of global environmental change.

Supplementary Materials

The following supporting information can be downloaded at https://www.mdpi.com/article/10.3390/f16081319/s1: Figure S1: NMDS ordination plot of microbial diversity across different succession stages; Figure S2: Changes in microbial functional potential during forest succession. (A) KEGG pathway abundance heatmap; (B) Comparison of functional diversity indices across different succession stages; (C) Relative abundance changes of key functional genes; Table S1: The basic information table of the study area included in the analysis (including geographical coordinates, diversity indicators and forest characteristics); Table S2: Basic parameters of environmental factors; Table S3: functional genes data; Table S4: Soil chemical properties of the study area; Table S5: Microbial diversity data; Table S6: Microbial biomass data; Table S7: Metabolic pathways data; Table S8: Network analysis data; Table S9: Phylogenetic data.

Author Contributions

Conceptualization, M.P. and H.N.; methodology, M.P., R.X. and H.N.; formal analysis, M.P.; investigation, M.P. and R.X.; data curation, M.P. and R.X.; writing—original draft preparation, M.P.; writing—review and editing, M.P., R.X. and H.N.; visualization, M.P.; supervision, H.N.; project administration, H.N.; funding acquisition, H.N. All authors have read and agreed to the published version of the manuscript.

Funding

This research was funded by the National Key Research and Development Program of China (Technology for Synergistic Enhancement of the Supply Capacity of Material and Service Ecological Products from Natural Secondary Forests) (2022YFF1300505-01).

Data Availability Statement

The datasets generated and analyzed during this study are available in the Supplementary Material files (Tables S1–S3) and from the corresponding author upon reasonable request.

Acknowledgments

We sincerely thank all authors of the original studies included in this meta-analysis for their contributions to understanding Chinese forest microbial ecology. We also acknowledge the constructive feedback from anonymous reviewers that substantially improved this manuscript. Special thanks to the research teams who provided additional data and clarifications when contacted during the data extraction process.

Conflicts of Interest

The authors declare no conflicts of interest.

References

  1. Wang, S.J.; Zhang, R.J.; Xie, G.Z.M.; Zhang, F.; Xie, A.P.; Ma, R. Soil carbon and nitrogen storage and bacterial community structure characteristics of different age classes of Haloxylon ammodendron plantations. Acta Prataculturae Sin. 2025, 4, 1–12. [Google Scholar]
  2. Qi, L.; Hong, X.Q.; Lin, H.; Chen, C.; Xie, A.Q.; Zhang, B. Ecological stoichiometry characteristics of leaves and soil in different broadleaved plantations in northern Fujian. J. For. Environ. 2025, 4, 246–253. [Google Scholar] [CrossRef]
  3. Wang, R.X.; Zhang, S.A.; Gao, G.L.; Ding, G.D.; Zhang, Y.; Zhu, B.B. Characteristics of carbon, nitrogen and phosphorus stoichiometry in litter-root-soil of Pinus sylvestris L. var. mongolica plantations with different stand ages. Chin. J. Appl. Ecol. 2025, 4, 1699–1707. [Google Scholar] [CrossRef]
  4. Shi, S.; Yu, S.Q.; Yu, M.M.; Huang, Y.; Wang, G.B. Effects of understory vegetation management on soil properties and organic carbon composition in poplar plantations. J. For. Environ. 2025, 4, 254–263. [Google Scholar] [CrossRef]
  5. Chen, J.X. Differences in biomass and distribution patterns of Acacia mangium Willd. × A. auriculiformis A.Cunn. ex Benth. Hybrid Plantations Different Plantations Sites. J. Anhui Agric. Sci. 2025, 53, 106–110. [Google Scholar] [CrossRef]
  6. He, M.X.; Huang, X.M.; You, Y.M.; Wang, B.; Tong, H.; Yang, X.R.; Ming, A.G.; Zhao, L.J.; Luan, J.W. Regulatory mechanism of root-mycelium-microbial interactions on soil phosphorus transformation under Pinus massoniana Lamb. plantation mixed transformation. J. Beijing For. Univ. 2025, 47, 83–94. [Google Scholar] [CrossRef]
  7. Huang, Y.T.; Qian, Z.J.; Cao, S.X.; Wang, X.Y.; Luo, Z.; Peng, Z.D.; Wang, Y.X.; Chen, Y.; Lin, M.N.; Deng, C.Y. Species diversity and functional diversity characteristics of Acacia confusa plantation communities on islands in eastern Fujian and their influencing factors. Acta Ecol. Sin. 2025, 4, 5527–5540. [Google Scholar] [CrossRef]
  8. Huang, K.T.; Zhou, J.; Chen, X.L.; Ai, H.H.; Liang, M.W.; Wang, R.J.; Yu, P.F. Diversity of understory plants in plantations of precious native tree species in Guangxi. Eucalypt Sci. Technol. 2025, 42, 49–56. [Google Scholar]
  9. Wang, Y.; Zhao, S.C.; Li, L.; Yuan, Y.; Gu, X.L. Soil multifunctionality characteristics and influencing factors of Picea schrenkiana plantations of different ages in Tianshan Mountains. Arid Zone Res. 2025, 42, 445–455. [Google Scholar] [CrossRef]
  10. Huang, X.; Yu, X.X.; Jia, G.D.; Chang, X.M.; Sun, L.B. Effects of stand density on understory vegetation and soil properties of Populus davidiana plantations. Chin. J. Appl. Ecol. 2025, 4, 1035–1042. [Google Scholar] [CrossRef]
  11. Potapov, A.M.; Chen, T.W.; Striuchkova, A.V.; Alatalo, J.M.; Alexandre, D.; Arbea, J.; Ashton, T.; Ashwood, F.; Babenko, A.B.; Bandyopadhyaya, I.; et al. Global fine-resolution data on springtail abundance and community structure. Sci. Data 2024, 11, 22. [Google Scholar] [CrossRef] [PubMed]
  12. Norden, N.; Angarita, H.A.; Bongers, F.; Martínez-Ramos, M.; Cerda, I.G.l.; Breugel, M.V.; Lebrija-Trejos, E.; Meave, J.A.; Vandermeer, J.; Williamson, G.B.; et al. Successional dynamics in Neotropical forests are as uncertain as they are predictable. Proc. Natl. Acad. Sci. USA 2015, 112, 8013–8018. [Google Scholar] [CrossRef] [PubMed]
  13. He, P.P.; Ma, Q.L.; Chen, Z.N.; Ma, W.W.; Wei, Q.; Ling, L.; Zhong, Y.M. Effects of density regulation on understory vegetation and soil environment of Pinus tabuliformis plantations in Longxi Loess Plateau. J. Cent. South Univ. For. Technol. 2024, 44, 143–153. [Google Scholar] [CrossRef]
  14. Li, C.W.; Ma, Y.X.; Zhang, Y.X.; Gegen, T.; Wu, L.; Ma, Y.M. Study on rhizosphere soil bacterial community structure and diversity of Xanthoceras sorbifolium plantations of different ages. Inn. Mong. For. Surv. Des. 2025, 48, 63–69. [Google Scholar] [CrossRef]
  15. Kang, Y.; Xin, X.B.; Pei, S.X.; Guo, H.; Fa, L.; Wu, S.; Ma, S.M.; Wu, D. Study on understory species diversity characteristics of Larix principis-rupprechtii plantations in North China. J. Northwest For. Univ. 2025, 40, 23–31+82. [Google Scholar] [CrossRef]
  16. Xiao, H.C.; Sheng, H.; Su, G.H.; Zhou, P. Response of soil microbial community diversity, structure and functional potential to primary forest conversion in northwestern Hunan. J. Soil Water Conserv. 2025, 39, 189–198. [Google Scholar] [CrossRef]
  17. Zhao, P.S.; Gao, G.L.; Ding, G.D.; Zhang, Y. Effects of stand age and niche on underground fungal community assembly in Pinus sylvestris L. var. mongolica plantations. Chin. J. Plant Ecol. 2025, 4, 1–13. [Google Scholar]
  18. Coley, P.D.; Bryant, J.P.; Chapin, F.S. Resource availability and plant antiherbivore defense. Science 1985, 230, 895–899. [Google Scholar] [CrossRef]
  19. Zhang, J.N.; Zhang, J.J.; Lai, Z.R.; Zhao, J.C.; Hu, Y.W.; Li, Y.; Wei, C.Y. Effects of stand density on soil nutrients and microbial communities in Robinia pseudoacacia L. plantations. Arid Zone Res. 2025, 42, 274–288. [Google Scholar] [CrossRef]
  20. Wang, G.S.; Ning, D.L.; Ma, T.; Wu, T.; Pan, L.; Xiao, L.J.; Liu, J. Analysis of species composition and diversity of Castanea mollissima plantations in Yunnan Province. West. For. Sci. 2025, 53, 25–29+73. [Google Scholar] [CrossRef]
  21. Fan, R.Y.; Ye, S.M.; Wu, H.; Li, Z.H.; Li, L.X.; Yu, C.H. Changes in soil bacterial community structure and functional diversity in Eucalyptus L’Hér. plantations of different ages. J. Beijing For. Univ. 2025, 46, 41–52. [Google Scholar] [CrossRef]
  22. Xie, Y.S. Biomass and soil physicochemical properties of Altingia chinensis plantations in urban areas of Shanwei City. Temp. For. Res. 2024, 7, 102–105. [Google Scholar] [CrossRef]
  23. Wang, J.Y.; Jiang, F.J.; Li, Q.C.; Yang, M.; Xu, Y.Y.; Mo, Y.F. Effects of plantation patterns on biomass, nutrient content and quality of Asparagus officinalis. Econ. For. Res. 2024, 42, 145–154. [Google Scholar] [CrossRef]
  24. Wen, Y.F. Analysis of growth status and soil changes of larch plantations under different altitude gradients. For. Sci. Technol. 2024, 12, 78–82. [Google Scholar] [CrossRef]
  25. Rozendaal, D.M.A.; Bongers, F.; Aide, T.M.; Alvarez-Davila, E.; Ascarrunz, N.; Balvanera, P.; Becknell, J.M.; Bentos, T.V.; Brancalion, P.H.S.; Cabral, G.A.L.; et al. Biodiversity recovery of Neotropical secondary forests. Sci. Adv. 2019, 5, eaau3114. [Google Scholar] [CrossRef] [PubMed]
  26. Fan, D.; Yang, Z.Q.; Qin, F.C.; Zhang, T.J.; Wang, X. Effects of different Pinus tabuliformis plantation densities on understory plant diversity and soil physicochemical properties in sandstone areas. Bull. Soil Water Conserv. 2024, 44, 68–76. [Google Scholar] [CrossRef]
  27. Zhang, X.F.; Yu, X.B.; Yu, H.L.; Huang, H.; Chen, H.H.; Zhang, J.L.; Chen, J.X.; Wei, J.X. Soil-microbial carbon, nitrogen and phosphorus characteristics of Eucalyptus L’Hér. plantations at different elevations in Hainan Tropical Rainforest National Park. Chin. J. Trop. Crop. 2025, 46, 764–775. [Google Scholar]
  28. Zhang, J.B. Study on Soil Physicochemical Properties and Microbial Communities of Four Types of Lecological Public Welfare Forests in Yachang, Guangxi. Master’s Thesis, Guangxi University, Nanning, China, 2024. [Google Scholar] [CrossRef]
  29. Liu, X.R.; Sun, Q.W.; Hou, L.Y.; Pang, Z.Y.; Zhang, Y.L.; Ding, C.J. Age differences in soil microbial community structure and functional diversity of poplar plantations in Songnen Plain. Sci. Silvae Sin. 2024, 60, 25–36. [Google Scholar] [CrossRef]
  30. Duan, P.; Fu, R.; Nottingham, A.T.; Domeignoz-Horta, L.A.; Yang, X.; Du, H.; Wang, K.; Li, D. Tree species diversity increases soil microbial carbon use efficiency in a subtropical forest. Glob. Change Biol. 2023, 29, 7131–7144. [Google Scholar] [CrossRef]
  31. Kong, W.; Wei, X.; Wu, Y.; Shao, M.; Zhang, Q.; Sadowsky, M.J. Afforestation can lower microbial diversity and functionality in deep soil layers in a semiarid region. Glob. Change Biol. 2022, 28, 6086–6101. [Google Scholar] [CrossRef]
  32. Li, J.J. Study on the Effects of Eucalyptus L’Hér. Grandis Mixed Plantations on Above/Below-Ground Biodiversity. Master’s Thesis, Sichuan Agricultural University, Ya’an, China, 2023. [Google Scholar]
  33. Morris, E.K.; Caruso, T.; Buscot, F.; Fischer, M.; Hancock, C.; Maier, T.S.; Meiners, T.; Müller, C.; Obermaier, E.; Prati, D.; et al. Choosing and using diversity indices: Insights for ecological applications from the German Biodiversity Exploratories. Ecol. Evol. 2014, 4, 3514–3524. [Google Scholar] [CrossRef]
  34. Cheung, M.W.L. metaSEM: An R package for meta-analysis using structural equation modeling. Front. Psychol. 2014, 5, 1521. [Google Scholar] [CrossRef]
  35. Douglas, G.M.; Maffei, V.J.; Zaneveld, J.R.; Yurgel, S.N.; Brown, J.R.; Taylor, C.M.; Huttenhower, C.; Langille, M.G.I. PICRUSt2 for prediction of metagenome functions. Nat. Biotechnol. 2020, 38, 685–688. [Google Scholar] [CrossRef] [PubMed]
  36. Song, Z.C. Effects of Tree Species Richness on Soil Microbial Diversity in Artificial Mixed Forests in the South Asian Tropics of Guangxi. Master’s Thesis, Chinese Academy of Forestry, Beijing, China, 2020. [Google Scholar] [CrossRef]
  37. Deng, J.J.; Zhou, W.M.; Dai, L.M.; Yuan, Q.; Zhou, L.; Qi, L.; Yu, D.P. The effects of shrub removal on soil microbial communities in primary forest, secondary forest and plantation forest on Changbai Mountain. Microb. Ecol. 2023, 85, 642–658. [Google Scholar] [CrossRef] [PubMed]
  38. Li, Y.H.; Niu, Q.Y.; Meng, J.H. Construction and application of carbon stock density control charts for Pinus massoniana Lamb. plantations. For. Res. 2024, 37, 136–145. [Google Scholar] [CrossRef]
  39. Xue, S.Y.; Cui, Z.Y.; Xu, A.W.; Xu, D.P.; Yang, Z.J.; Yang, G.D.; Xiao, J.J.; Liu, X.J.; Guo, J.Y. Study on vegetation diversity differences between Eucalyptus L’Hér. plantations, natural forests and other economic forests in different rainfall areas of Hainan. Chin. J. Trop. Crop. 2023, 44, 1039–1051. [Google Scholar] [CrossRef]
  40. Cheng, X.X.; Hong, W.; Deng, S.W.; Wei, X.Y.; Zhang, G.R.; Feng, W.; Guo, Y.; Ye, H.G.; Wang, F.G. Study on species composition and diversity of Machilus nanmu-Cinnamomum camphora artificial mixed forest in Guangzhou. J. Trop. Subtrop. Bot. 2022, 30, 233–240. [Google Scholar] [CrossRef]
  41. Liu, Q.Y.; Luo, M.X.; Ma, L.; Ni, B.Y.; Xu, M.J.; Xie, J.; Chen, S.P. Study on species diversity and interspecific competition in Cyclobalanopsis glauca artificial mixed forest. Hunan For. Sci. Technol. 2017, 44, 38–44+55. [Google Scholar] [CrossRef]
  42. Lu, Z.H. Biological diversity function analysis of artificial coniferous and broad-leaved mixed forest. Prot. For. Sci. Technol. 2015, 1, 25–27. [Google Scholar] [CrossRef]
  43. Deng, G.Y.; Wu, X.M.; Tang, C.; Ye, Q.P.; Jiang, X.Y.; Hong, L.X. Study on plant life form characteristics of Castanopsis sclerophylla-Lithocarpus glaber evergreen broad-leaved secondary forest in Jiande, Zhejiang. J. Jiangsu For. Sci. Technol. 2025, 52, 24–30+51. [Google Scholar]
  44. Tang, Q.M.; Han, C.L.; Wang, L.; Bao, R.; Lu, X.Y. Study on three typical secondary forest communities in Dongning City. Inn. Mong. For. 2025, 2, 43–44. [Google Scholar]
  45. Liang, Z.L. Soil Bacterial Community Characteristics and Multifunctionality of Native Broadleaf Forests and Natural Secondary Forests in the South Asian Tropics. Master’s Thesis, Guangxi University, Nanning, China, 2024. [Google Scholar] [CrossRef]
  46. Sun, Y.; Wang, Q.Y.; Liu, Z.Y.; Zhang, Z.H.; Xu, Z.Q.; Luo, Y.; Liu, T.; Zhang, D.W.; Cheng, F.S.; He, H.J. Species composition and community structure characteristics of tree layer in three types of natural secondary forests in Changbai Mountain area. Chin. J. Appl. Environ. Biol. 2024, 30, 743–749. [Google Scholar] [CrossRef]
  47. Wang, S.S.; Lan, J.C.; Qi, X.; Wang, J.X.; Long, Q.X.; Huang, M.Z.; Liu, L.; Yue, K.Q. Effects of afforestation on soil bacterial community structure in karst canyon rocky desertification area. Chin. J. Ecol. 2025, 44, 848–856. [Google Scholar] [CrossRef]
  48. Fang, Z.H.; Chen, P.; Jiang, H.; Wen, Y.F.; Wang, Y.; Feng, D.; Li, C.W.; Feng, Z.W.; Li, H.R. Effects of Eupatorium adenophorum coverage on secondary forest understory plant community structure and species diversity. West. For. Sci. 2024, 53, 17–21+28. [Google Scholar] [CrossRef]
  49. Niu, Y.D.; Cai, T.J. Changes in species diversity and its influencing factors during secondary forest succession in northern Daxing’anling. Chin. J. Plant Ecol. 2024, 48, 349–364. [Google Scholar] [CrossRef]
  50. Niu, Y.D. Study on Stand Spatial Structure and Species Diversity During Secondary Forest Succession in Cold Temperate Zone. Master’s Thesis, Northeast Forestry University, Harbin, China, 2024. [Google Scholar] [CrossRef]
  51. Liu, X.K.; Wu, C.G.; Liu, X.F.; Diao, G.P. Soil fungal diversity under Pinus sylvestris L. var. For. Eng. 2024, 40, 41–52. [Google Scholar] [CrossRef]
  52. Wang, H. Analysis of community structure and species diversity of Cyclobalanopsis glauca natural forest in Yuanan County, Hubei. Mod. Hortic. 2025, 48, 38–39+42. [Google Scholar] [CrossRef]
  53. Zha, M.L.; Li, S.J.; Wang, C.J.; Lin, W.S.; Liu, X.F.; Zhong, X.F.; Guo, J.F. Responses of soil properties and fungal communities to rainfall reduction in subtropical Castanopsis carlesii (Hemsl.) Hayata natural forest. Chin. J. Appl. Ecol. 2025, 4, 1380–1386. [Google Scholar] [CrossRef]
  54. Wu, H.L.; Yang, Y.B.; Yang, X.H.; Yu, J.H.; Li, D.S. Species diversity and influencing factors of natural Juglans sigillata communities in Guizhou. Guizhou For. Sci. Technol. 2025, 53, 45–50. [Google Scholar] [CrossRef]
  55. Xiao, Y.Y.; Dong, L.B. Asymmetric competition in natural forests at different succession stages in Daxing’anling. Chin. J. Ecol. 2025, 4, 1085–1096. [Google Scholar] [CrossRef]
  56. Wang, Y.; Shi, W.W.; Long, C.L.; Jiang, L. Differences in arbuscular mycorrhizal fungal species diversity in different habitats before and after natural forest conversion to tea plantation. J. Northeast For. Univ. 2024, 52, 149–160. [Google Scholar] [CrossRef]
  57. Li, X.; Jia, S.; Xi, Y.; Yang, L.; Liu, X. Effects of litter addition and removal on soil microbial residue carbon in Castanopsis carlesii (Hemsl.) Hayata natural forest. Sci. Silvae Sin. 2024, 60, 12–20. [Google Scholar]
  58. Yao, J.; Ding, Y.; Zhou, C.F.; Tian, L.X.; Zang, R.G. Effects of woody plant diversity on aboveground biomass and its scale effects in Hainan tropical natural forest. J. Beijing For. Univ. 2024, 46, 1–10. [Google Scholar] [CrossRef]
  59. Chi, J.Y.; Pan, L.L.; Kwon, S.M.; Zhang, X.; Li, Y.H.; Yang, X.H.; Shi, Z.J. Effects of structural diversity and competition on tree growth in natural Pinus sylvestris L. var. mongolica forests in Hulunbuir sandy land. J. Desert Res. 2024, 44, 29–40. [Google Scholar]
  60. Luo, L.J.; Yin, Q.X.; Sun, W.; Zan, X.; Shi, Q.M.; Zhang, J.; Chen, Y.M.; Xu, X. Soil enzyme activities and stoichiometric characteristics of different plant communities under natural Fagus engleriana forest in Micang Mountain, Sichuan. Bull. Bot. Res. 2024, 44, 470–480. [Google Scholar] [CrossRef]
  61. Su, W.H.; Wang, X.N.; Dong, L.B. Simulation of species abundance patterns in natural forests at different succession stages in Daxing’anling. Acta Ecol. Sin. 2024, 44, 4412–4422. [Google Scholar] [CrossRef]
  62. Wang, L.; Guo, Q.J.; Ai, X.R.; Yao, L.; Zhu, J.; Liu, X.Y. Effects of stand spatial structure on woody plant diversity in natural forest. J. For. Environ. 2024, 44, 20–27. [Google Scholar] [CrossRef]
  63. Zhou, G.; Long, F.; Zu, L.; Jarvie, S.; Peng, Y.; Zang, L.; Chen, D.; Zhang, G.; Sui, M.; He, Y.; et al. Stand spatial structure and microbial diversity are key drivers of soil multifunctionality during secondary succession in degraded karst forests. Sci. Total Environ. 2024, 937, 11. [Google Scholar] [CrossRef]
  64. Xia, Y.; Xu, L.L.; Yang, L.M.; Yang, Z.J.; Fan, Y.X.; Yang, Y.S. Effects of simulated nitrogen deposition on soil phosphorus-solubilizing microbial communities and functional potential in mid-subtropical Castanopsis carlesii (Hemsl.) Hayata natural forest. Acta Ecol. Sin. 2024, 44, 1727–1736. [Google Scholar] [CrossRef]
  65. Xiang, Q.; Guo, Q.J.; Ai, X.R.; Yao, L.; Wu, J.Y.; Zhou, Y.; Xue, W.X. Stand structural characteristics at different restoration stages of natural forests in Mulinzi Nature Reserve, Hubei. J. Northeast For. Univ. 2023, 51, 21–26+44. [Google Scholar] [CrossRef]
  66. Jiang, D.D.; Xu, M.; Yang, Y.L.; Zhang, J. Study on ectomycorrhizal fungal diversity in Quercus acutissima natural forest in mountainous areas of central Guizhou. J. Southwest For. Univ. (Nat. Sci.) 2024, 44, 142–148. [Google Scholar] [CrossRef]
  67. Liu, H.H. Study on Community Composition and Spatial Patterns of Diversity of Flying and Ground Insect Communities in Natural Forests of Guangxi. Master’s Thesis, Guangxi University, Nanning, China, 2023. [Google Scholar] [CrossRef]
  68. Fu, S.J.; Gao, H.Y.; Song, S.Y.; Samra, B.; Deng, R.Y.; Wang, L.X. Effects of natural spruce forest conversion to plantation on soil bacterial community and functions in western Sichuan subalpine region. Chin. J. Appl. Environ. Biol. 2024, 30, 504–513. [Google Scholar] [CrossRef]
  69. Zhang, Y.C. Study on Understory Plant Species Diversity and Its Influencing Factors in Natural Betula platyphylla Forests at Different Latitudes in Daxing’Anling. Master’s Thesis, Inner Mongolia Agricultural University, Hohhot, China, 2023. [Google Scholar] [CrossRef]
  70. Cao, C.; He, Z.; Jiang, N.H.; Zhang, S.H. Understory vegetation composition and biodiversity in Laoyin Mountain natural forest of Honghe Prefecture. For. Sci. Technol. 2023, 48, 31–34+49. [Google Scholar] [CrossRef]
  71. Liang, Z.L.; Qin, J.Q.; He, J.; Liu, H.Y.; Wang, T.; Qin, L. Dissimilarity of soil bacterial community structure and diversity between typical native broadleaf plantations and natural secondary forests in the South Asian tropics. Chin. J. Soil Sci. 2024, 55, 1060–1070. [Google Scholar] [CrossRef]
  72. Zhao, J.P. Biomass and productivity characteristics of natural larch forests with different structures. South China Agric. 2023, 17, 101–104. [Google Scholar] [CrossRef]
  73. Li, Y.P.; Du, J.; Pan, L.J.; Chen, J.; Xu, H. Community structure and restoration characteristics in early succession of subtropical mixed plantations. Guihaia 2025, 45, 567–584. [Google Scholar] [CrossRef]
  74. Lu, X.Y. Study on Understory Plant Diversity Characteristics and Soil Physicochemical Properties of Artificial Mixed Forests in Loess Hilly-Gully Region. Master’s Thesis, Inner Mongolia Agricultural University, Hohhot, China, 2024. [Google Scholar] [CrossRef]
  75. Wang, L.; Zhou, H.Y.; Yang, X.L.; Wei, M.; Deng, L. Surface soil microbial community characteristics of artificial mixed forests with different restoration years in Gonghe Basin. J. Qinghai Univ. 2023, 41, 1–7. [Google Scholar] [CrossRef]
  76. Chen, S.S. Study on Plant Community and Soil Physicochemical Characteristics of Cinnamomum camphora-Pinus massoniana Lamb. Artificial Mixed Forest in Rocky Desertification Area. Master’s Thesis, Central South University of Forestry and Technology, Changsha, China, 2022. [Google Scholar] [CrossRef]
  77. Byers, A.K.; Condron, L.; Donavan, T.; O’Callaghan, M.; Patuawa, T.; Waipara, N.; Black, A. Soil microbial diversity in adjacent forest systems-contrasting native, old growth kauri (Agathis australis) forest with exotic pine (Pinus radiata) plantation forest. FEMS Microbiol. Ecol. 2020, 5, 5. [Google Scholar] [CrossRef] [PubMed]
  78. Yang, Z.R.; Zhang, J.P. Species diversity of Abies fargesii natural forest communities in Taibai Mountain, Qinling Mountains. J. Northwest For. Univ. 2023, 38, 140–146+192. [Google Scholar] [CrossRef]
  79. Mo, Y.F.; Wang, J.Y.; Chen, L.; Wei, G.Y.; Yang, M. Effects of different mixed patterns on growth and plant diversity of Eucalyptus L’Hér. plantations. Southwest China J. Agric. Sci. 2022, 35, 1185–1192. [Google Scholar] [CrossRef]
  80. Wu, W.X. Plant and Soil Microbial Diversity and Ecosystem Multifunctionality in Monoculture and Mixed Plantations. Master’s Thesis, Guangxi University, Nanning, China, 2019. [Google Scholar] [CrossRef]
  81. Zhang, P.; Guan, P.T.; Hao, C.; Yang, J.J.; Xie, Z.J.; Wu, D.H. Changes in assembly processes of soil microbial communities in forest-to-cropland conversion in Changbai Mountains, northeastern China. Sci. Total Environ. 2022, 818, 151738. [Google Scholar] [CrossRef]
  82. Zhang, Y.F. Biodiversity of artificially established broadleaf-Korean pine mixed forest. For. Sci. Technol. Inf. 2018, 9, 15–17. [Google Scholar] [CrossRef]
  83. Zheng, X.Y. Study on Understory Herb Layer Species Diversity, Niche and Interspecific Associations in Different Stand Types of Chinese Fir Plantations. Master’s Thesis, Fujian Agriculture and Forestry University, Fuzhou, China, 2018. [Google Scholar] [CrossRef]
  84. Wang, X.; Zhang, Z.; Yu, Z.; Shen, G.; Cheng, H.; Tao, S. Composition and diversity of soil microbial communities in the alpine wetland and alpine forest ecosystems on the Tibetan Plateau. Sci. Total Environ. 2020, 747, 141358. [Google Scholar] [CrossRef] [PubMed]
  85. Meena, M.; Yadav, G.; Sonigra, P.; Nagda, A.; Mehta, T.; Swapnil, P.; Harish; Marwal, A.; Kumar, S. Multifarious responses of forest soil microbial community toward climate change. Microb. Ecol. 2023, 86, 49–74. [Google Scholar] [CrossRef] [PubMed]
  86. Chen, W.G.; Zhang, W.Q.; Tang, H.H.; Pan, L.J.; Xian, G.B.; Xian, W.G. Study on species diversity of artificial coniferous and broad-leaved mixed forests of different ages in the South Asian tropics. Guangdong For. Sci. Technol. 2014, 30, 45–51. [Google Scholar] [CrossRef]
  87. Luo, D.; Shi, Z.M.; Tang, J.C.; Liu, S.R.; Lu, L.H. Soil microbial community structure of monoculture and mixed plantations of native tree species in the South Asian tropics. Chin. J. Appl. Ecol. 2014, 25, 2543–2550. [Google Scholar] [CrossRef]
  88. Xia, Z.C.; Dong, H.Y.; Kong, C.H.; Wang, P.; Chen, L.C.; Wang, S.L. Effects of forest vegetation transformation on soil microbial community structure in Huitong area, Hunan Province. In Proceedings of the Fifth Academic Symposium on Plant Allelopathy, Tianjin, China, 1 August 2011; Plant Allelopathy Professional Committee of Chinese Society of Plant Protection: Beijing, China, 2011; Volume 50. Available online: https://d.wanfangdata.com.cn/conference/7681455 (accessed on 15 January 2024).
  89. Zhao, Q.X.; Bai, R.F.; Wu, J.; Lu, Z.M.; Jin, D.F. Biomass change dynamics of artificial coniferous and broad-leaved strip mixed forests with different mixing ratios. Prot. For. Sci. Technol. 2010, 6, 31–33. [Google Scholar] [CrossRef]
  90. Li, H.X.; Jiang, T.; Wu, J.; Lu, Z.M. Study on species diversity of Korean pine and Juglans mandshurica artificial coniferous and broad-leaved mixed forest. Prot. For. Sci. Technol. 2010, 3, 25–26+41. [Google Scholar] [CrossRef]
  91. Shi, J.H. Study on Biomass and Element Accumulation and Distribution of Hippophae rhamnoides-Morus alba Artificial Mixed Forest on Iron Tailings Dam. Master’s Thesis, Hebei Agricultural University, Baoding, China, 2008. [Google Scholar] [CrossRef]
  92. Hou, D.J.; Zuo, Y.L.; Lan, C.X.; Hu, X.F. Ecological niche, interspecific association and community stability of main species in tropical rainforest secondary forests along the mainstream of Nandu River. Guihaia 2025, 4, 1–21. [Google Scholar]
  93. Singavarapu, B.; Du, J.; Beugnon, R.; Cesarz, S.; Eisenhauer, N.; Xue, K.; Wang, Y.; Bruelheide, H.; Wubet, T. Functional Potential of Soil Microbial Communities and Their Subcommunities Varies with Tree Mycorrhizal Type and Tree Diversity. Microbiol. Spectr. 2023, 11, e0457822. [Google Scholar] [CrossRef]
  94. Liu, C.; Ni, B.C.; Wang, X.L.; Deng, Y.J.; Tao, L.F.; Zhou, X.H.; Deng, J. Effect of forest soil viruses on bacterial community succession and the implication for soil carbon sequestration. Sci. Total Environ. 2023, 892, 164800. [Google Scholar] [CrossRef]
  95. Liu, Y.; Lu, Y.; Jin, H.; Liu, F.; Jia, B.K.; Wei, B. Survey and analysis of understory vegetation in two types of natural secondary forests in Xuexiang. China For. Prod. Ind. 2024, 6, 59–61. [Google Scholar] [CrossRef]
  96. Zhang, W.W. Ectomycorrhizal Fungal Community Structure in Quercus acutissima Natural Secondary Forest and Its Impact Mechanism on Tree Growth. Ph.D. Thesis, Northwest A&F University, Xi’an, China, 2024. [Google Scholar] [CrossRef]
  97. Lu, H.T.; Gu, W. Community structure and seasonal dynamics of moth diversity in natural secondary forests of Lesser Khingan Mountains. For. Sci. Technol. 2024, 49, 53–57. [Google Scholar] [CrossRef]
  98. Zhou, L.; Cheng, X.F.; Zhang, M.T. Effects of forest gaps on understory species diversity in Larix principis-rupprechtii natural secondary forest. J. Beijing For. Univ. 2024, 46, 48–56. [Google Scholar] [CrossRef]
  99. Wang, Y.Q.; Zhou, Q.S.; Bai, M.; Chen, J.; Zhu, C.D.; Liu, X.Y. Top ten new insect species of China in 2024. Biodiv. Sci. 2025, 33, 25107. [Google Scholar] [CrossRef]
  100. Huang, C. Effects of Forest Management on Ecosystem Multifunctionality of Carya cathayensis Secondary Forests in Dabie Mountains and Its Regulation Mechanism. Ph.D. Thesis, Anhui Agricultural University, Hefei, China, 2024. [Google Scholar] [CrossRef]
  101. Huo, X.Y. Study on Community Construction and Stability of Two Typical Secondary Forests in Qinling Mountains. Ph.D. Thesis, Northwest A&F University, Xi’an, China, 2024. [Google Scholar] [CrossRef]
  102. Zhai, K.T. Study on Soil Microbial Diversity of Betula platyphylla Secondary Forests Under Different Disturbances in Daxing’Anling, Inner Mongolia. Master’s Thesis, Inner Mongolia Agricultural University, Hohhot, China, 2024. [Google Scholar] [CrossRef]
  103. Han, J.G.; Xiang, F.X.; Zhang, D.; Jia, S.W.; Chen, B.H. Study on plant diversity of typical natural secondary forest communities in Chaohe River Basin. Agric. Technol. Equip. 2023, 7, 55–56+59. [Google Scholar]
  104. Dong, Z.Q.; Shi, Z.J.; Xie, H.C.; Zeng, W.; Feng, S.X.; Deng, L. Soil bacterial community characteristics of three different forest stands in hilly forestland of Shenzhen City. Southwest China J. Agric. Sci. 2023, 36, 1432–1437. [Google Scholar] [CrossRef]
  105. Tang, T.T.; Hu, Z.D.; Liu, X.L.; Cai, L.; Wang, Y.H.; Xiao, J.J.; Feng, Q.H.; Luo, M.X. Changes in soil microbial diversity characteristics of three natural secondary forests in western Sichuan subalpine region. Acta Ecol. Sin. 2024, 43, 7422–7434. [Google Scholar] [CrossRef]
  106. Li, J.; Li, S.F.; Huang, X.B.; Tang, R.; Zhang, R.; Li, C.; Xu, C.H.; Su, J.R. Plant diversity and soil properties regulate the microbial community of monsoon evergreen broad-leaved forest under different intensities of woodland use. Chin. J. Plant Ecol. 2022, 821, 153565. [Google Scholar] [CrossRef]
Figure 1. PRISMA flow diagram showing the systematic literature search and study selection process for the meta-analysis of forest succession and microbial diversity in Chinese ecosystems.
Figure 1. PRISMA flow diagram showing the systematic literature search and study selection process for the meta-analysis of forest succession and microbial diversity in Chinese ecosystems.
Forests 16 01319 g001
Figure 2. Changes in microbial diversity across forest successional stages. (A) Shannon diversity index changes with stand age showing U-shaped response pattern. Points represent squares showing study means with 95% confidence intervals. Solid line shows LOESS smoothing with shaded confidence band. (B) Forest plot of standardized mean differences (SMD) between different successional stages. diamonds indicate overall effect sizes with 95% confidence intervals.
Figure 2. Changes in microbial diversity across forest successional stages. (A) Shannon diversity index changes with stand age showing U-shaped response pattern. Points represent squares showing study means with 95% confidence intervals. Solid line shows LOESS smoothing with shaded confidence band. (B) Forest plot of standardized mean differences (SMD) between different successional stages. diamonds indicate overall effect sizes with 95% confidence intervals.
Forests 16 01319 g002
Figure 3. Differential responses of microbial taxonomic groups to forest succession. (A) Shannon diversity indices across successional stages for bacteria, fungi, and actinomycetes. Error bars represent 95% confidence intervals. (B) Standardized mean differences (SMD) comparing successional stages within each microbial group. Between-group heterogeneity: Q = 8.74, p = 0.013. (C) Response ratios showing percentage change in diversity across succession for each group.
Figure 3. Differential responses of microbial taxonomic groups to forest succession. (A) Shannon diversity indices across successional stages for bacteria, fungi, and actinomycetes. Error bars represent 95% confidence intervals. (B) Standardized mean differences (SMD) comparing successional stages within each microbial group. Between-group heterogeneity: Q = 8.74, p = 0.013. (C) Response ratios showing percentage change in diversity across succession for each group.
Forests 16 01319 g003
Figure 4. Comparison of microbial diversity between plantation and natural secondary forests. (A) Shannon diversity indices across forest types and successional stages. (B) Standardized mean differences (SMDs) between natural secondary forests and plantations for different microbial groups. (C) Network complexity metrics showing higher connectivity and modularity in natural forests. (D) Diversity differences between monoculture and mixed plantations compared to natural forests.
Figure 4. Comparison of microbial diversity between plantation and natural secondary forests. (A) Shannon diversity indices across forest types and successional stages. (B) Standardized mean differences (SMDs) between natural secondary forests and plantations for different microbial groups. (C) Network complexity metrics showing higher connectivity and modularity in natural forests. (D) Diversity differences between monoculture and mixed plantations compared to natural forests.
Forests 16 01319 g004
Figure 5. Climate zone moderation of microbial diversity–succession relationships. (A) Succession trajectories across climate zones showing varying magnitudes of change. (B) Between-climate heterogeneity analysis with Q-statistics. (C) Temporal dynamics showing different turning points for U-shaped responses. (D) Meta-regression results for temperature and precipitation effects.
Figure 5. Climate zone moderation of microbial diversity–succession relationships. (A) Succession trajectories across climate zones showing varying magnitudes of change. (B) Between-climate heterogeneity analysis with Q-statistics. (C) Temporal dynamics showing different turning points for U-shaped responses. (D) Meta-regression results for temperature and precipitation effects.
Forests 16 01319 g005
Figure 6. Meta-analytic structural equation model (MASEM) showing pathways connecting forest succession, soil properties, and microbial diversity. Path coefficients are standardized regression weights with significance levels: * p < 0.05, ** p < 0.01, *** p < 0.001. Model fit indices: χ 2 = 14.32, β = 0.43, df = 10, p = 0.159, CFI = 0.978, TLI = 0.965, RMSEA = 0.053. Dashed lines indicate non-significant paths.
Figure 6. Meta-analytic structural equation model (MASEM) showing pathways connecting forest succession, soil properties, and microbial diversity. Path coefficients are standardized regression weights with significance levels: * p < 0.05, ** p < 0.01, *** p < 0.001. Model fit indices: χ 2 = 14.32, β = 0.43, df = 10, p = 0.159, CFI = 0.978, TLI = 0.965, RMSEA = 0.053. Dashed lines indicate non-significant paths.
Forests 16 01319 g006
Disclaimer/Publisher’s Note: The statements, opinions and data contained in all publications are solely those of the individual author(s) and contributor(s) and not of MDPI and/or the editor(s). MDPI and/or the editor(s) disclaim responsibility for any injury to people or property resulting from any ideas, methods, instructions or products referred to in the content.

Share and Cite

MDPI and ACS Style

Pan, M.; Xiao, R.; Ni, H. Changes in Soil Microbial Diversity Across Different Forest Successional Stages: A Meta-Analysis of Chinese Forest Ecosystems. Forests 2025, 16, 1319. https://doi.org/10.3390/f16081319

AMA Style

Pan M, Xiao R, Ni H. Changes in Soil Microbial Diversity Across Different Forest Successional Stages: A Meta-Analysis of Chinese Forest Ecosystems. Forests. 2025; 16(8):1319. https://doi.org/10.3390/f16081319

Chicago/Turabian Style

Pan, Meiyan, Rui Xiao, and Hongwei Ni. 2025. "Changes in Soil Microbial Diversity Across Different Forest Successional Stages: A Meta-Analysis of Chinese Forest Ecosystems" Forests 16, no. 8: 1319. https://doi.org/10.3390/f16081319

APA Style

Pan, M., Xiao, R., & Ni, H. (2025). Changes in Soil Microbial Diversity Across Different Forest Successional Stages: A Meta-Analysis of Chinese Forest Ecosystems. Forests, 16(8), 1319. https://doi.org/10.3390/f16081319

Note that from the first issue of 2016, this journal uses article numbers instead of page numbers. See further details here.

Article Metrics

Back to TopTop