Yield and Survival of Shrub Willow Clones over Two Rotations Reveal Important Patterns About Selection for an Evapotranspiration Cover on a Former Industrial Site
Abstract
1. Introduction
2. Materials and Methods
3. Results and Discussion
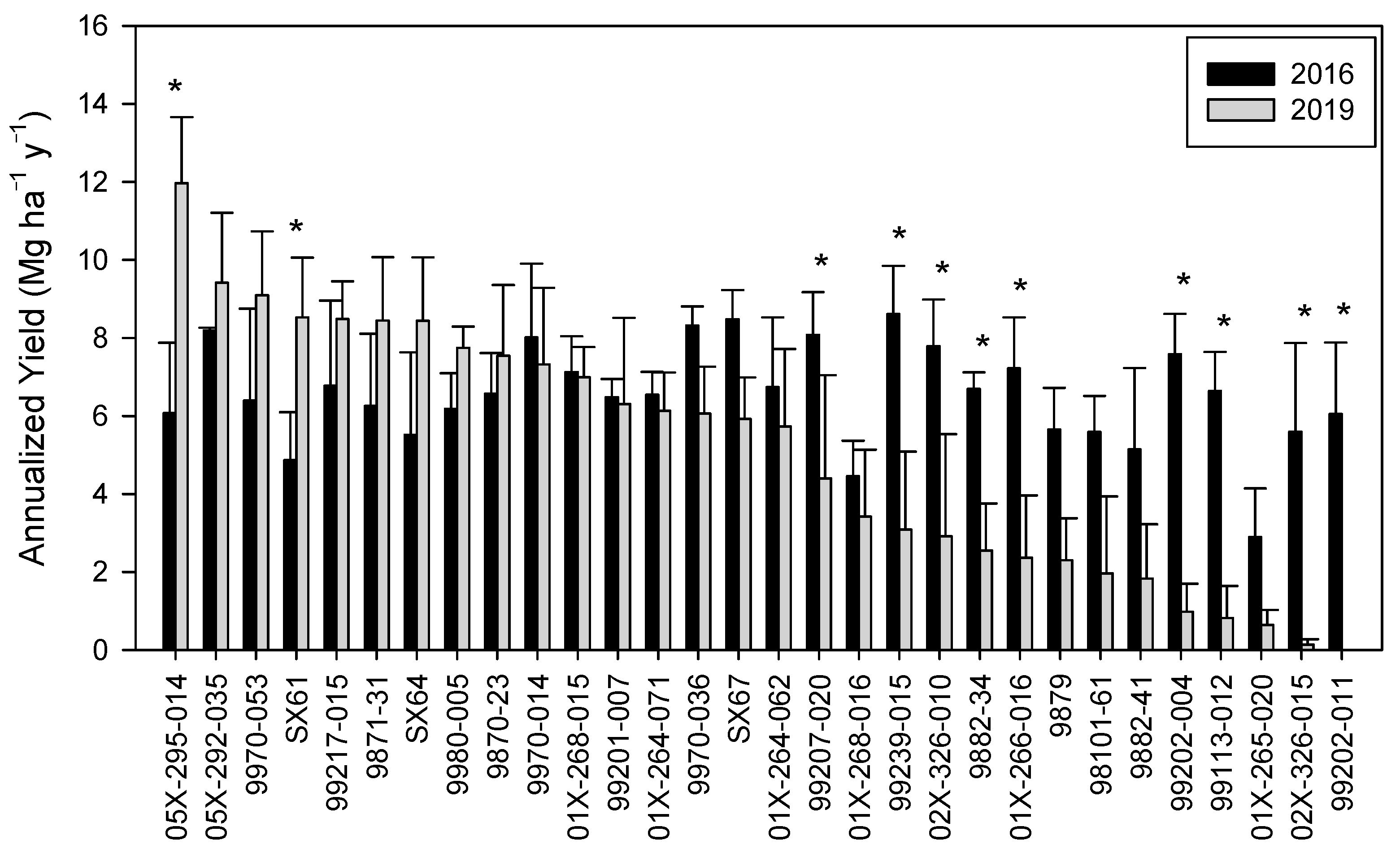
3.1. General Yield and Survival
3.2. Individual Clone Performance
3.3. Site Factors
3.4. Management Implications
4. Conclusions
Author Contributions
Funding
Data Availability Statement
Acknowledgments
Conflicts of Interest
Abbreviations
| AIC | Akaike information criterion |
| BIC | Bayesian information criterion |
| ET | evaportranspiration |
| GDD | growing degree days |
| GHG | greenhouse gas |
| NS | not significant |
| NY | New York |
| OLS | ordinary least squares |
| SE | standard error |
| spp | species |
| SUNY ESF | State University of New York College of Environmental Sciences and Forestry |
| USA | United States of America |
| VIF | variance inflation factor |
| WLS | weighted least squares |
References
- Effler, S.W.; Matthews, D.A. Impacts of a Soda Ash Facility on Onondaga Lake and the Seneca River, NY. Lake Reserv. Manag. 2003, 19, 285–306. [Google Scholar] [CrossRef]
- Mirck, J.; Volk, T.A. Mass Balances and Allocation of Salt Ions from Solvay Storm Water for Shrub Willow (Salix spp.). Biomass Bioenergy 2012, 39, 427–438. [Google Scholar] [CrossRef]
- Hewlett, J.D. The Development of Vegetation on the Solvay Waste Beds. Master’s Thesis, SUNY-ESF, Syracuse, NY, USA, 1956. [Google Scholar]
- Michalenko, E. Pedogenesis and Invertebrate Microcommunity Succession in Immature Soils Originating from Chlor-Alkali Wastes; SUNY-ESF: Syracuse, NY, USA, 1991. [Google Scholar]
- US EPA Record of Decision: Onondaga Lake Bottom Subsite of the Onondaga Lake Superfund Site, Syracuse, New York; EPA 533 Region 2: New York, NY, USA, 2005; p. 115. Available online: https://semspub.epa.gov/work/02/96856.pdf (accessed on 1 March 2025).
- Rock, S.; Myers, B.; Fiedler, L. Evapotranspiration (ET) Covers. Int. J. Phytoremediat. 2012, 14, 1–25. [Google Scholar] [CrossRef] [PubMed]
- Rockwood, D.L.; Naidu, C.V.; Carter, D.R.; Rahmani, M.; Spriggs, T.A.; Lin, C.; Alker, G.R.; Isebrands, J.G.; Segrest, S.A. Short-Rotation Woody Crops and Phytoremediation: Opportunities for Agroforestry? In New Vistas in Agroforestry; Springer: Berlin/Heidelberg, Germany, 2004; pp. 51–63. [Google Scholar]
- Stolarski, M.J.; Niksa, D.; Krzyżaniak, M.; Tworkowski, J.; Szczukowski, S. Willow Productivity from Small- and Large-Scale Experimental Plantations in Poland from 2000 to 2017. Renew. Sustain. Energy Rev. 2019, 101, 461–475. [Google Scholar] [CrossRef]
- Stolarski, M.J.; Szczukowski, S.; Tworkowski, J.; Krzyżaniak, M.; Załuski, D. Willow Production during 12 Consecutive Years—The Effects of Harvest Rotation, Planting Density and Cultivar on Biomass Yield. GCB Bioenergy 2019, 11, 635–656. [Google Scholar] [CrossRef]
- Fredette, C.; Labrecque, M.; Comeau, Y.; Brisson, J. Willows for Environmental Projects: A Literature Review of Results on Evapotranspiration Rate and Its Driving Factors across the Genus Salix. J. Environ. Manag. 2019, 246, 526–537. [Google Scholar] [CrossRef]
- Mirck, J.; Volk, T.A. Response of Three Shrub Willow Varieties (Salix spp.) to Storm Water Treatments with Different Concentrations of Salts. Bioresour. Technol. 2010, 101, 3484–3492. [Google Scholar] [CrossRef]
- Linderson, M.; Iritz, Z.; Lindroth, A. The Effect of Water Availability on Stand-Level Productivity, Transpiration, Water Use Efficiency and Radiation Use Efficiency of Field-Grown Willow Clones. Biomass Bioenergy 2007, 31, 460–468. [Google Scholar] [CrossRef]
- Lindroth, A.; Cienciala, E. Water Use Efficiency of Short-Rotation Salix Viminalis at Leaf, Tree and Stand Scales. Tree Physiol. 1996, 16, 257–262. [Google Scholar] [CrossRef]
- Lindroth, A.; Verwijst, T.; Halldin, S. Water-Use Efficiency of Willow: Variation with Season, Humidity and Biomass Allocation. J. Hydrol. 1994, 156, 1–19. [Google Scholar] [CrossRef]
- Tariq, Z.; Volk, T.A.; Therasme, O. Life Cycle Assessment of a Shrub Willow Evapotranspiration Cover Compared with Conventional Clay and Geosynthetic Covers in Upstate New York. Env. Sci. Pollut. Res. 2021, 28, 45029–45040. [Google Scholar] [CrossRef] [PubMed]
- Agostini, F.; Gregory, A.S.; Richter, G.M. Carbon Sequestration by Perennial Energy Crops: Is the Jury Still Out? Bioenerg. Res. 2015, 8, 1057–1080. [Google Scholar] [CrossRef]
- Vanbeveren, S.P.P.; Ceulemans, R. Biodiversity in Short-Rotation Coppice. Renew. Sustain. Energy Rev. 2019, 111, 34–43. [Google Scholar] [CrossRef]
- Zalesny, J.A.; Zalesny, R.S.; Wiese, A.H.; Hall, R.B. Choosing Tree Genotypes for Phytoremediation of Landfill Leachate Using Phyto-Recurrent Selection. Int. J. Phytoremediat. 2007, 9, 513–530. [Google Scholar] [CrossRef]
- Dale, V.H.; Kline, K.L.; Buford, M.A.; Volk, T.A.; Tattersall Smith, C.; Stupak, I. Incorporating Bioenergy into Sustainable Landscape Designs. Renew. Sustain. Energy Rev. 2016, 56, 1158–1171. [Google Scholar] [CrossRef]
- Harayama, H.; Uemura, A.; Utsugi, H.; Han, Q.; Kitao, M.; Maruyama, Y. The Effects of Weather, Harvest Frequency, and Rotation Number on Yield of Short Rotation Coppice Willow over 10 Years in Northern Japan. Biomass Bioenergy 2020, 142, 105797. [Google Scholar] [CrossRef]
- Climate Smart Farming. CSF Growing Degree Day Calculator. Available online: http://climatesmartfarming.org/tools/csf-growing-degree-day-calculator/ (accessed on 1 February 2025).
- NOAA Climate Data Online. Available online: https://www.ncei.noaa.gov/cdo-web/ (accessed on 1 February 2025).
- Mallows, C. Some Comments on Cp. Technometrics 1973, 15, 661–675. [Google Scholar] [CrossRef]
- Montogomery, D.C.; Peck, E.A.; Vining, G.G. Introduction to Linear Regression Analysis, 3rd ed.; Wiley Interscience: Hoboken, NJ, USA, 2001. [Google Scholar]
- Santucci, S.; Eisenbies, M.; Volk, T. Yield and Survival of 19 Cultivars of Willow (Salix spp.) Biomass Crops over Eight Rotations. Forests 2024, 15, 2041. [Google Scholar] [CrossRef]
- Zalesny, R.S.; Bauer, E.O. Genotypic Variability and Stability of Poplars and Willows Grown Onnitrate-Contaminated Soils. Int. J. Phytoremediat. 2019, 21, 969–979. [Google Scholar] [CrossRef]
- Sleight, N.J.; Volk, T.A. Recently Bred Willow (Salix spp.) Biomass Crops Show Stable Yield Trends Over Three Rotations at Two Sites. Bioenerg. Res. 2016, 9, 782–797. [Google Scholar] [CrossRef]
- Serapiglia, M.J.; Gouker, F.E.; Smart, L.B. Early Selection of Novel Triploid Hybrids of Shrub Willow with Improved Biomass Yield Relative to Diploids. BMC Plant Biol. 2014, 14, 74. [Google Scholar] [CrossRef]
- Johnson, G.; Volk, T.; Hallen, K.; Shi, S.; Bickell, M.; Heavey, J. Shrub Willow Biomass Production Ranking Across Three Harvests in New York and Minnesota. Bioenerg. Res. 2018, 11, 305–315. [Google Scholar] [CrossRef]
- Mosseler, A.; Major, J.E.; Labrecque, M. Growth and Survival of Seven Native Willow Species on Highly Disturbed Coal Mine Sites in Eastern Canada. Can. J. For. Res. 2014, 44, 340–349. [Google Scholar] [CrossRef]
- Sleight, N.J.; Volk, T.A.; Johnson, G.A.; Eisenbies, M.H.; Shi, S.; Fabio, E.S.; Pooler, P.S. Change in Yield Between First and Second Rotations in Willow (Salix spp.) Biomass Crops Is Strongly Related to the Level of First Rotation Yield. BioEnergy Res. 2016, 9, 270–287. [Google Scholar] [CrossRef]
- Billings, S. Soil Organic Matter Dynamics and Land Use Change at a Grassland/Forest Ecotone. Soil. Biol. Biochem. 2006, 38, 2934–2943. [Google Scholar] [CrossRef]
- Irin, I.J.; Hasanuzzaman, M. Organic Amendments: Enhancing Plant Tolerance to Salinity and Metal Stress for Improved Agricultural Productivity. Stresses 2024, 4, 185–209. [Google Scholar] [CrossRef]
- Qiu, Y. Nutrient Status of Willow Growing on a Former Industrial Site Amended with Organic Materials. Master’s Thesis, SUNY-ESF, Syracuse, NY, USA, 2017. Available online: https://www.proquest.com/docview/1925003423 (accessed on 15 June 2025).
- Tekeste, M.Z.; Raper, R.L.; Schwab, E.B.; Seymour, L. Soil Drying Effects on Spatial Variability of Soil Hardpan Attributes on Pacolet Sandy Loam Soil. Trans. ASABE 2009, 52, 697–705. [Google Scholar] [CrossRef]
- Souch, C.A.; Martin, P.J.; Stephens, W.; Spoor, G. Effects of Soil Compaction and Mechanical Damage at Harvest on Growth and Biomass Production of Short Rotation Coppice Willow. Plant Soil. 2004, 263, 173–182. [Google Scholar] [CrossRef]
- Pacaldo, R.S.; Volk, T.A.; Briggs, R.D. No Significant Differences in Soil Organic Carbon Contents along a Chronosequence of Shrub Willow Biomass Crop Fields. Biomass Bioenergy 2013, 58, 136–142. [Google Scholar] [CrossRef]
- Cambi, M.; Certini, G.; Neri, F.; Marchi, E. The Impact of Heavy Traffic on Forest Soils: A Review. For. Ecol. Manag. 2015, 338, 124–138. [Google Scholar] [CrossRef]
- McCracken, A.R.; Dawson, W.M. Rust Disease (Melampsora Epited) of Willow (Salix spp.) Grown as Short Rotation Coppice 588 (SRC) in Inter-and Intra-Species Mixtures. Ann. Appl. Biol. 2003, 143, 381–393. [Google Scholar] [CrossRef]
- Smart, L.; Volk, T.; Lin, J.; Kopp, R.; Phillips, I.; Cameron, K.; White, R.; Abrahamson, L. Genetic Improvement of Shrub Willow (Salix spp.) Crops for Bioenergy, Bioproducts, and Environmental Applications. Unasylva 2005, 56, 51–55. [Google Scholar]
- Fabio, E.S.; Volk, T.A.; Miller, R.O.; Serapiglia, M.J.; Kemanian, A.R.; Montes, F.; Kuzovkina, Y.A.; Kling, G.J.; Smart, L.B. Contributions of Environment and Genotype to Variation in Shrub Willow Biomass Composition. Ind. Crops Prod. 2017, 108, 149–161. [Google Scholar] [CrossRef]
- Berthod, N.; Brereton, N.J.B.; Pitre, F.E.; Labrecque, M. Five Willow Varieties Cultivated across Diverse Field Environments Reveal Stem Density Variation Associated with High Tension Wood Abundance. Front. Plant Sci. 2015, 6, 948. [Google Scholar] [CrossRef]
- Castaño-Díaz, M.; Barrio-Anta, M.; Afif-Khouri, E.; Cámara-Obregón, A. Willow Short Rotation Coppice Trial in a Former Mining Area in Northern Spain: Effects of Clone, Fertilization and Planting Density on Yield after Five Years. Forests 2018, 9, 154. [Google Scholar] [CrossRef]
- Toillon, J.; Rollin, B.; Dallé, E.; Feinard-Duranceau, M.; Bastien, J.-C.; Brignolas, F.; Marron, N. Variability and Plasticity of Productivity, Water-Use Efficiency, and Nitrogen Exportation Rate in Salix Short Rotation Coppice. Biomass Bioenergy 2013, 56, 392–404. [Google Scholar] [CrossRef]
- Paletto, A.; Ceotto, E.; Becagli, C.; Casagli, A.; Manici, M.L.; De Meo, I. C stocks in abandoned short rotation forestry (SRF) plantations in Central Italy. New For. 2023, 55, 801–824. [Google Scholar] [CrossRef]
- Kenney, K.L.; Smith, W.A.; Gresham, G.L.; Westover, T.L. Understanding Biomass Feedstock Variability. Biofuels 2013, 4, 111–127. [Google Scholar] [CrossRef]
- Grandstaff, G.; Kuzovkina, Y.A.; Legrand, A. Attraction of Bees to Native and Introduced Willows (Salix spp.). Forests 2023, 14, 959. [Google Scholar] [CrossRef]
- Carlson, C.H.; Choi, Y.; Chan, A.P.; Town, C.D.; Smart, L.B. Nonadditive Gene Expression Is Correlated with Nonadditive Phenotypic Expression in Interspecific Triploid Hybrids of Willow (Salix spp.). G3 Genes Genomes Genet. 2022, 12, jkab436. [Google Scholar] [CrossRef]





| Clone | Cultivar Name | Salix Pedigree | Group |
|---|---|---|---|
| 9970-014 | S. miyabeana | MIYA | |
| 9870-23 | Marcy | ||
| 9970-036 | Canastota | ||
| 9970-053 | |||
| 9871-31 | Sherburne | ||
| SX61 | |||
| SX64 | |||
| SX67 | |||
| 9882-34 | Fish Creek | S. purpurea | PUR |
| 9882-41 | Wolcott | ||
| 99239-015 | Allegany | S. koriyanagi S. purpurea | KP |
| 99113-012 | Onondaga | ||
| 01X-265-020 | |||
| 01X-264-062 | S. koriyanagi x (S. purpurea x S. miyabeana) | KPM | |
| 01X-264-071 | |||
| 99217-015 | Millbrook | S. purpurea x S. miyabeana | PM |
| 9879 | Oneonta | ||
| 9980-005 | Oneida | ||
| 05X-292-035 | |||
| 05X-295-014 | |||
| 99201-007 | Otisco | S. viminalis x S. miyabeana | VM |
| 99202-004 | Fabius | ||
| 99202-011 | Tully Champion | ||
| 99207-020 | Truxton | ||
| 01X-268-015 | Preble | ||
| 01X-268-016 | |||
| 01X-266-016 | S. viminalis x (S. viminalis x S. miyabeana) | ||
| 02X-326-010 | S. miyabeana x (S. viminalis x S. schwerinii x S. viminalis) | ||
| 02X-326-015 | |||
| 98101-61 | S. dasyclados x S. miyabeana | VCC-HYB |
| Phase | Early Growing Season (May–June) | Rest of Growing Season (July–October) | |||
|---|---|---|---|---|---|
| Year | GDD (Base 10 °C) | Precipitation (mm) | GDD (Base 10 °C) | Precipitation (mm) | |
| Establishment | 2013 | 457 | 129 | 992 | 455 |
| 1st Rotation | 2014 | 465 | 77 | 933 | 383 |
| 2015 | 491 | 285 | 1013 | 358 | |
| 2016 | 377 | 66 | 1061 | 460 | |
| 2nd Rotation | 2017 | 362 | 134 | 986 | 401 |
| 2018 | 445 | 116 | 1053 | 387 | |
| 2019 | 327 | 131 | 891 | 482 | |
| Mean | 418 | 134 | 1006 | 418 | |
| Clone | 2016 Code for Yield and Survival 1 | 2019 Code for Yield and Survival 1 | 2016 Yield Rank | 2019 Yield Rank | Combined Yield Rank |
|---|---|---|---|---|---|
| 05X-295-014 | 2A | 1A | 21 | 1 | 1 |
| 05X-292-035 | 1A | 1X | 4 | 2 | 2 |
| 9970-053 | 2A | 1C | 18 | 3 | 3 |
| SX61 | XA | 1B | 28 | 4 | 13 |
| 99217-015 | 2A | 1A | 11 | 5 | 5 |
| 9871-31 | 2A | 1A | 19 | 6 | 6 |
| SX64 | 2A | 1A | 26 | 7 | 11 |
| 9980-005 | 2A | 2A | 20 | 8 | 12 |
| 9870-23 | 2A | 2X | 15 | 9 | 10 |
| 9970-014 | 1A | 2B | 6 | 10 | 4 |
| 01X-268-015 | 2A | 2B | 10 | 11 | 9 |
| 99201-007 | 2A | 2X | 17 | 12 | 14 |
| 01X-264-071 | 2A | 2C | 16 | 13 | 15 |
| 9970-036 | 1A | 2X | 3 | 14 | 8 |
| SX67 | 1A | 2B | 2 | 15 | 7 |
| 01X-264-062 | 2A | 2B | 12 | 16 | 17 |
| 99207-020 | 1A | XX | 5 | 17 | 16 |
| 01X-268-016 | XA | XX | 29 | 18 | 24 |
| 99239-015 | 1A | XX | 1 | 19 | 18 |
| 02X-326-010 | 2A | XX | 7 | 20 | 19 |
| 9882-34 | 2A | XX | 13 | 21 | 21 |
| 01X-266-016 | 2A | XX | 9 | 22 | 20 |
| 9879 | 2A | XX | 23 | 23 | 23 |
| 98101-61 | 2A | XX | 25 | 24 | 25 |
| 9882-41 | 2A | XX | 27 | 25 | 27 |
| 99202-004 | 2A | XX | 8 | 26 | 22 |
| 99113-012 | 2A | XX | 14 | 27 | 26 |
| 01X-265-020 | XC | XX | 30 | 28 | 30 |
| 02X-326-015 | 2A | XX | 24 | 29 | 29 |
| 99202-011 | 2A | XX | 22 | 30 | 28 |
Disclaimer/Publisher’s Note: The statements, opinions and data contained in all publications are solely those of the individual author(s) and contributor(s) and not of MDPI and/or the editor(s). MDPI and/or the editor(s) disclaim responsibility for any injury to people or property resulting from any ideas, methods, instructions or products referred to in the content. |
© 2025 by the authors. Licensee MDPI, Basel, Switzerland. This article is an open access article distributed under the terms and conditions of the Creative Commons Attribution (CC BY) license (https://creativecommons.org/licenses/by/4.0/).
Share and Cite
Burt, H.; Eisenbies, M.H.; Hallen, K.; Volk, T.A. Yield and Survival of Shrub Willow Clones over Two Rotations Reveal Important Patterns About Selection for an Evapotranspiration Cover on a Former Industrial Site. Forests 2025, 16, 1314. https://doi.org/10.3390/f16081314
Burt H, Eisenbies MH, Hallen K, Volk TA. Yield and Survival of Shrub Willow Clones over Two Rotations Reveal Important Patterns About Selection for an Evapotranspiration Cover on a Former Industrial Site. Forests. 2025; 16(8):1314. https://doi.org/10.3390/f16081314
Chicago/Turabian StyleBurt, Hollis, Mark H. Eisenbies, Karl Hallen, and Timothy A. Volk. 2025. "Yield and Survival of Shrub Willow Clones over Two Rotations Reveal Important Patterns About Selection for an Evapotranspiration Cover on a Former Industrial Site" Forests 16, no. 8: 1314. https://doi.org/10.3390/f16081314
APA StyleBurt, H., Eisenbies, M. H., Hallen, K., & Volk, T. A. (2025). Yield and Survival of Shrub Willow Clones over Two Rotations Reveal Important Patterns About Selection for an Evapotranspiration Cover on a Former Industrial Site. Forests, 16(8), 1314. https://doi.org/10.3390/f16081314

