Next Article in Journal
Yield and Survival of Shrub Willow Clones over Two Rotations Reveal Important Patterns About Selection for an Evapotranspiration Cover on a Former Industrial Site
Previous Article in Journal
Effects of Prescribed Burning on Species Diversity of Understory in Pinus yunnanensis Forests of Southwestern China
 
 
Font Type:
Arial Georgia Verdana
Font Size:
Aa Aa Aa
Line Spacing:
Column Width:
Background:
Article

The Response Mechanism of Plants Under Rock Stress in Karst Ecosystem: A Study Based on the Effects of Aboveground Rocks on Root Phenotypes and Leaf Water Potential

1
School of Geography and Resources, Guizhou Education University, Guiyang 550018, China
2
School of Mathematical Sciences, University of the Chinese Academy of Sciences, Beijing 100049, China
*
Author to whom correspondence should be addressed.
Forests 2025, 16(8), 1313; https://doi.org/10.3390/f16081313
Submission received: 21 June 2025 / Revised: 7 August 2025 / Accepted: 8 August 2025 / Published: 12 August 2025
(This article belongs to the Section Forest Ecophysiology and Biology)

Abstract

This study focused on the response mechanism of plants in karst ecosystems under rock stress, and explored the influence of aboveground rocks on the root phenotype and leaf water potential of plants. By quantifying the root characteristics of a total of 9 plant species in 3 types of vegetation areas, this study found: (1) The root biomass of grassland plants (Heteropogon contortus, Bidens pilosa, and Imperata cylindrical) in the near-rock area was on average 17.2% higher than that in the far-rock area. The lateral extension of roots was 27.8% lower, the vertical extension was on average 16.9% higher, and the total root bifurcation ratio (Rb) was on average 11.5% higher, respectively, compared to the far-rock area. (2) The root biomass of shrubland plants (Rubus mesogaeus, Spiraea martini, and Pyracantha fortuneana) in the near-rock area was on average 14.5% higher than the far-rock area. The average lateral extension of the root system was on average 17.5% lower, while there was no significant difference in the vertical extension. The Rb was on average 10.5% higher. (3) The root characteristics of forestland trees (Pistacia weinmanniifolia, Pinus yunnensis, and Carpinus turczaninowii) were significantly different from those of grassland and shrubland (p < 0.001), but the differences between the near-rock area and the far-rock area were not significant. The predawn and midday leaf water potential data showed that the plants in near-rock area of the grassland were 0.07 ± 0.03 (mean ± SD) MPa and 0.16 ± 0.07 MPa higher than those in the far-rock area, respectively, and the shrubland area was 0.12 ± 0.06 MPa and 0.20 ± 0.08 MPa higher, while there was no significant difference in the forestland. This study confirmed that aboveground rocks significantly enhanced the leaf water status of plants in arid environments by influencing root biomass, extension, and bifurcation ratio. This discovery provides a new perspective for understanding the survival mechanism of plants in karst areas.

1. Introduction

Root is a crucial organ for plants to adapt to and survive in various habitats, which ensures that in different habitats, the root morphology shows significant plasticity to adapt to soil drought and nutrient stress [1,2,3]. Therefore, the study of root system configuration is of great significance for understanding the survival patterns of plants in extreme habitats. In particular, karst landforms, with their unique geological structure and ecological characteristics, provide highly challenging natural sites for the study of plant root morphology. The study of plant root morphology in karst areas helps reveal how plants optimize resource acquisition and adapt to habitat heterogeneity by adjusting root morphology and distribution in such special habitats [4,5,6]. This has significant guiding value for ecological restoration practices, especially in areas where rocks are widely distributed on karst landform.
Karst landform are formed by the long-term erosion of soluble rocks such as limestone by water flow, characterized by exposed rocks, shallow soil, seasonal drought and nutrient deficiency [7,8,9]. These are bound to pose significant challenges to plant growth, especially during the dry season when the lack of soil moisture often becomes a key factor restricting plant growth. In the karst arid environment, high calcium content affects soil structure and water distribution, posing challenges to plant water absorption. In addition, influenced by the geological background, the soil moisture condition in karst habitats exhibits unique spatial heterogeneity and temporal dynamics [10,11,12,13,14]. Specifically, on the one hand, soil moisture is mainly replenished by atmospheric precipitation. The shallowness and loose structure of the soil layer result in poor water retention capacity, and water is prone to loss. On the other hand, the presence of aboveground rocks provides additional sources of water and nutrients for some plants, especially during the rainy season [14,15,16]. Therefore, growing in such an environment, plants must evolve strong root systems to make full use of the limited water resources. In fact, the influence of these characteristics of karst habitats on plant growth is multi-faceted. Plants that survive in karst areas show diverse adaptation strategies, which not only promote the survival of plants themselves, but also play an important role in maintaining the stability and function of forest ecosystems in turn [17,18,19]. The extensive adjustments in the physiology, morphology and ecological strategies of plants reflect the complexity and multi-dimensionality of the impact of karst habitat characteristics on plant growth.
Plants in karst areas have evolved adaptive root morphology and life strategies in order to survive and reproduce in this unique habitat. To adapt to these extreme conditions, the morphology and structure of plant roots exhibit significant plasticity to optimize resource acquisition [20,21,22]. The plasticity of root system configuration is manifested in multiple aspects. Some plants have developed root systems that can penetrate deep into the soil and directly absorb water and nutrients from rock fissures. These root systems can utilize the resources in the deep soil, thus maintaining growth during the dry season [20,23,24]. Meanwhile, other plants such as grasses and some shrubs may develop broad and shallow root systems. By increasing the distribution area of the root system in the soil surface layer, they can improve the absorption of the limited surface soil moisture [22]. This strategy enables plants to effectively utilize the short-term water brought by surface runoff. Root morphology research can further reveal how plants adapt to the heterogeneity of soil moisture and nutrients by regulating the spatial distribution and morphological structure of their roots [25,26,27]. For instance, in order to optimize their resource acquisition in the limited soil space, karst plants can achieve this by altering the branching angles, increasing connection lengths and bifurcation ratios of their root systems [28,29,30,31,32]. In addition, under drought conditions, plants may form fish-tail-like branch structures to reduce competition within the root system and increase the range of root expansion. However, in a resource--rich environment, the bifurcation pattern of the root system tends to be more beneficial to plants, as this root structure can significantly increase the contact area with the soil, thereby enhancing nutrient absorption [30,31,32].
Due to the unique geological and ecological conditions of karst, its influence on the morphology of plant roots and water use is a complex ecological issue. The karst landform has a high proportion of exposed rocks and shallow soil layers, providing an extremely special environment for the growth of plant roots. In such an environment, root systems are often forced to grow deep in the soil or in rock fissures [24,33,34,35]. This undoubtedly greatly increases the difficulty of root sampling and observation measurement. Moreover, even within a relatively small area, the soil moisture and nutrient conditions in this region have enhanced significantly, which also strongly proves the extremely high environmental heterogeneity in karst areas [36,37,38]. This spatial heterogeneity requires researchers to adopt more refined and localized methods when conducting root configuration studies to ensure the accuracy and representativeness of the research results. In addition, the soil moisture conditions in karst areas have a direct impact on the root structure. The root system must adapt to the unevenness of various resources in the soil by adjusting its spatial distribution, morphological structure and physiological functions [39,40]. Despite the above challenges, the study of karst plant roots is crucial for understanding the adaptation mechanisms of plants in extreme habitats.
This study took the karst ecosystem in Shilin County, Kunming City, Yunnan Province as the research object, focusing on vegetation at different succession stages, such as forestlands, shrublands and grasslands. Centering on the core of the influence of aboveground rocks on root phenotypes and leaf water potential, a research hypothesis was proposed: rocks affect plant water uptake by altering root morphological traits, leading to changes in leaf water status, and this impact varies among different functional plant types. The research objective was to compare the differences in root biomass, extension, bifurcation rate, and leaf water potential between the near- and far-rock areas, and to assess the influence of aboveground rocks on the water adaptation strategies of different functional types of plants. These research results are expected to deepen our understanding of the plant adaptation mechanisms in the unique ecohydrological context of karst ecosystems, and provide solid scientific support for vegetation management and ecological protection in similar rock stress extreme habitats in this region and even globally.

2. Materials and Methods

2.1. Site Description

This study was located in Shilin County, Kunming City, Yunnan Province, China (24°38′–24°51′ N, 103°19′–103°20′ E, a.s.l. 1500–1900 m). The typical geomorphic feature of this area is the special microhabitat derived from the karst landform. The local area belongs to the subtropical monsoon climate zone. The average annual temperature is maintained at about 16.7 °C, and the annual rainfall reaches 836.3 mm. The seasonal distribution of precipitation shows typical monsoon characteristics, and about 80% of rainfall is concentrated in the period from May to October. The topsoil is dominated by calcareous clay loam; the physical and chemical properties of the soil showed significant calcium accumulation characteristics and texture heterogeneity.
The research focuses on typical ecosystems at different succession stages in karst mountains (Figure 1), including:
(i) The degraded grassland with annual herbaceous plants as the dominant species mainly consists of Imperata cylindrical, Bidens pilosa, Heteropogon contortus, and Oplismenus compositus. Its formation is closely related to overgrazing and agricultural reclamation in history. The plant roots are mostly distributed in shallow layers, with dense fibrous roots and a high bifurcation ratio, forming a dense root network on the surface.
(ii) The shrub communities at the Mesozoic succession stage had dominant species including Spiraea martini, Pyracantha fortuneana, Rubus mesogaeus, Rhamnus leptophylla, and Viburnum chinshanense. The root system mainly spreads laterally, with some vertical roots penetrating the shallow soil and embedding into rock fissures. It has the ability to compete for surface resources and utilize deep water in the fissures, and the number of bifurcated nodes increases.
(iii) The semi-evergreen broad-leaved forest at the climax community stage is composed of tree species such as Pinus yunnensis, Cyclobalanopsis glaucoides, Pistacia weinmanniifolia, Olea tsoongii, and Carpinus turczaninowii. The root systems of trees are shallow and extensive. The main roots often extend along the rock surface or are embedded in fissures to form root pads. The lateral roots are densely forked to fix the plants and absorb surface water. There are fewer deep roots, but they can utilize the retained water in the rock pores.
All the study plots were located within the same climate zone (subtropical monsoon climate zone), but showed obvious vertical differentiation characteristics of vegetation. To ensure the comparability of the data, a plot was set up within each target ecosystem and the investigation was conducted strictly in accordance with the standardized sampling process. 3 dominant species were selected for each plot (Heteropogon contortus, Bidens pilosa, and Imperata cylindrical for grassland, Rubus mesogaeus, Spiraea martini, and Pyracantha fortuneana for shrubland, and Pistacia weinmanniifolia, Pinus yunnensis, and Carpinus turczaninowii for forestland), and for each dominant species, 9 individuals were randomly selected in near-rock area and far-rock area respectively for repetition. The near-rock area, where the distance from the rock is less than 0.5 m, and the far-rock area, where the distance from the rock is greater than 2 m. The sampling locations were located to the south of rock, ensuring that the rock does not provide any obstruction to the light and rain from the sampled plants. The sampled individuals were of similar size and age within plant functional types (grasses, shrubs and trees). The plants selected for the study, except for the Heteropogon contortus and Imperata cylindrical, all have taproot systems.

2.2. Measurement of Root Biomass

Sampling and measurement were conducted within a rectangular horizontal area of 30 cm × 30 cm close to the selected plant stems. A flat, sharp shovel was used to dig layer by layer downward from the surface until the depth without the root system was reached. In the laboratory, we carried out cleaning work on the collected root system samples to remove the soil and impurities adhering to the surface of the root systems. Subsequently, the processed root samples were placed in a drying oven and dried at a constant temperature of 80 °C until their weight reached a constant weight. The dried root samples were weighed, and the root weights of each plant were recorded.

2.3. Measurement of Root Extension

By measuring the distribution, orientation and length of the root system, we plotted the specific values of the root system in both horizontal and vertical dimensions. The full excavation method was employed to measure the distribution range of plant roots. In this study, the horizontal and vertical extensions of each plant’s root system were respectively divided into two groups (the side closest to the rock and the side farthest from the rock) for comparison. In grassland and shrubland, we took the plant stem as the center and digged layer by layer downward and outward to the end of the root system. In the forestland, we ingeniously utilized the existing cross-sections of the slopes (>2 m) to directly observe and measure the distribution of underground root systems, significantly enhancing work efficiency and measurement accuracy. For those complex root parts that pass through rock fissures, are embedded in trenches or grow close to bedrock, we used fine manual methods such as prying and digging for sampling, striving to obtain the most comprehensive root information.

2.4. Measurement Root of Bifurcation Ratio

The root grades were determined step by step from the outside to the inside. The smallest root at the very end is the first-level root. When two first-level roots converge, they form the second-level root. When two second-level roots converge, they form the third-level root, and so on. If different root levels converge, the higher root level of the two is taken as the root level of the merged root. Calculated the number of root systems (Ni) of each grade (i), plot with grade (i) as the abscissa and lg Ni as the ordinate, and take the inverse logarithm of the absolute value of the slope of the regression line as the total bifurcation ratio (Rb) of the root system. The stepwise bifurcation ratio (Ri:Ri+1) is the ratio of the number of root branches in two adjacent levels, and the calculation formula is Ri:Ri+1 = Ni:Ni+1 [25,26,27].

2.5. Measurement of Leaf Water Potential

In order to understand the water use status of plants at different vegetation succession stages in karst areas, we conducted leaf water potential measurements on dominant plant species in grassland, shrubland, and forestland. Randomly collected 3 healthy leaves from each selected plant as a sample and immediately sealed them in a self-sealing bag containing wet wipes to maintain the freshness of the samples. Subsequently, within one hour of sample collection, 1 circular chip with a diameter of 1 cm were prepared near the middle of the veins of each leaf using a punch, and then, the 3 chips from 3 leaves per plant were mixed into one sample. The leaf water potential of each species was measured using a dew point hygrometer (ECA-LD01, Yikangnong Inc., Beijing, China). During the rainy season (May to October), we randomly selected one rainfall event each month to measure the leaf water potential. In each measurement process, we respectively selected two representative time points, namely predawn (4:00–6:30) and midday (12:00–14:30), to measure the leaf water potential.

2.6. Statistical Analysis

All the data were checked for normal distribution and homogeneity of variances via the Shapiro-Wilk test and Bartlett’s test. A log-transformation or square-root transformation was applied to the data if these assumptions were not satisfied. One-way analysis of variance (ANOVA) followed by the least significant difference test (LSD, p < 0.05) was used to compare the root characteristics and leaf water potential between the near-rock area and far-rock area. Univariate analysis of variance of general linear model was used to test the effects of treatment type and species on root bifurcation ratio. ANOVA was also used to ecosystems comparisons. The characteristics of each measurement indicator in every ecosystem were calculated based on the average of their respective three dominant species of under different treatments. All statistical analyses and data plotting were conducted using IBM SPSS Statistics 25 (IBM Corp., Armonk, NY, USA) and OriginPro 2025b (OriginLab Corp., Northampton, MA, USA).

3. Results

3.1. Root Biomass

When comparing the variation patterns of root biomass in grassland, shrubland and forestland between the near-rock and far-rack areas, we found that the root biomass in grassland and shrubland was significantly higher in the near-rock area than in the far-rock area (p < 0.05), while in forestland, although there was a similar trend, it was not statistically significant (Figure 2). The root biomass of Heteropogon contortus, Bidens pilosa, and Imperata cylindrical in the near-rock area of the grassland were 28.6% 16.0%, and 10.7% higher than that of the far-rock area, respectively, and that of Rubus mesogaeus, Spiraea martini, and Pyracantha fortuneana in the near-rock areas of the shrubland were 11.9%, 6.6%, and 26.4% higher, respectively. However, there was no significant differences between near- and far-rock area. This phenomenon indicates that the proximity of rocks had a significant impact on the root biomass of grassland and shrubland, but not on forestland. The root biomass of plants in forestland was significantly higher than that in the grassland and the shrubland (p < 0.001).

3.2. Root Distribution

On the grassland, the proximity of rocks had a significant influence on the lateral and vertical extension of the root systems of three species of plants. Among them, the lateral extension of the root system in the near-rock area was smaller than that in the far-rock area. However, the vertical depth was greater than that in the far-rock group (Figure 3a). The root’s lateral extension of grassland plants in the near-rock area was an average of 27.8% lower than the far-rock area, while an average of 16.9% higher in vertical extension. This study further found that under the near-rock area, the lateral extension of the root system was smaller on the side closest to the rock than on the side farthest from the rock. However, the vertical depth was greater than on the side farthest from the rock. In contrast, in the far-rock area, the root system changes between the two directions were not significant.
Shrubland plants also showed a similar trend. The lateral extension of the root system in the near-rock area was on average 17.5% lower compared to the far-rock area, but there was no significant change in the vertical extension. For shrubland, the proximity of rocks mainly affected the lateral extension of the root systems, while the influence on the vertical depth was relatively small (Figure 3b). Furthermore, in the near-rock area, no significant differences were found between the side closest to and farthest from the rock, whether in the lateral extension and vertical depth of the root system. Similarly, in far-rock area, no significant difference was observed in the root distribution between the two directions. For forestland, there was no significant difference in the lateral and vertical extension of plant roots between the near-rock and far-rock areas, as well as between the two directions (Figure 3c). The root extension of plants in the forestland was significantly higher than that in the grassland and the shrubland (p < 0.001).

3.3. Root Bifurcation Ratio

After analyzing the total root bifurcation ratio (Rb) of grassland, shrubland and forestland and the variation of their bifurcation ratio between the near-rock and far-rock areas, we found that the Rb and its stepwise bifurcation ratio of grassland (R1:R2 and R2:R3) and shrubland (R1:R2, R2:R3, and R3:R4) were significantly higher in the near-rock area than in the far-rock area (p < 0.05). For example, the Rb of the grassland plant Heteropogon contortus in the near-rock area was 2.31 ± 0.22, while in the far-rock area it was 2.13 ± 0.41 (Table 1). Similarly, the Rb of the shrubland plant Rubus mesogaeus was 3.03 ± 0.23 in the near-rock area, while 2.72 ± 0.17 in the far-rock area, and there were also significant differences in values among different species (Table 2). In contrast, there was no significant difference in the Rb of the forestland trees and its stepwise bifurcation ratio (R1:R2, R2:R3, R3:R4, and R4:R5) between the near-rock and far-rock area, but significant difference exited among different species (Table 3). The root bifurcation ratio of plants in the grassland and the forestland was significantly lower than that in the shrubland (p < 0.001). The root bifurcation ratio of grassland and shrubland was significantly affected by treatment (i.e., far- and near-rock area), while that of forestland was significantly affected by species.

3.4. Leaf Water Potential

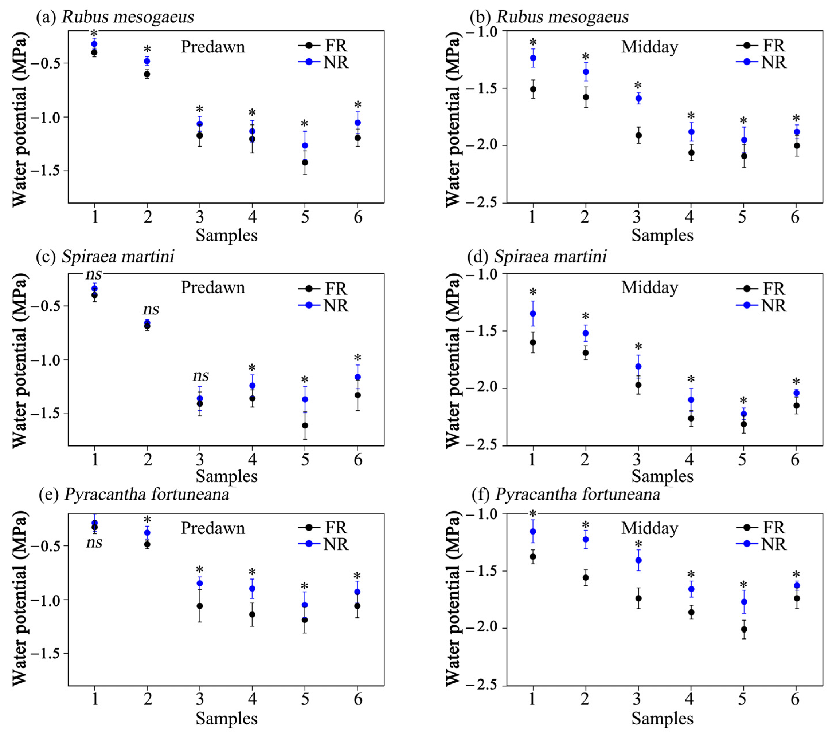
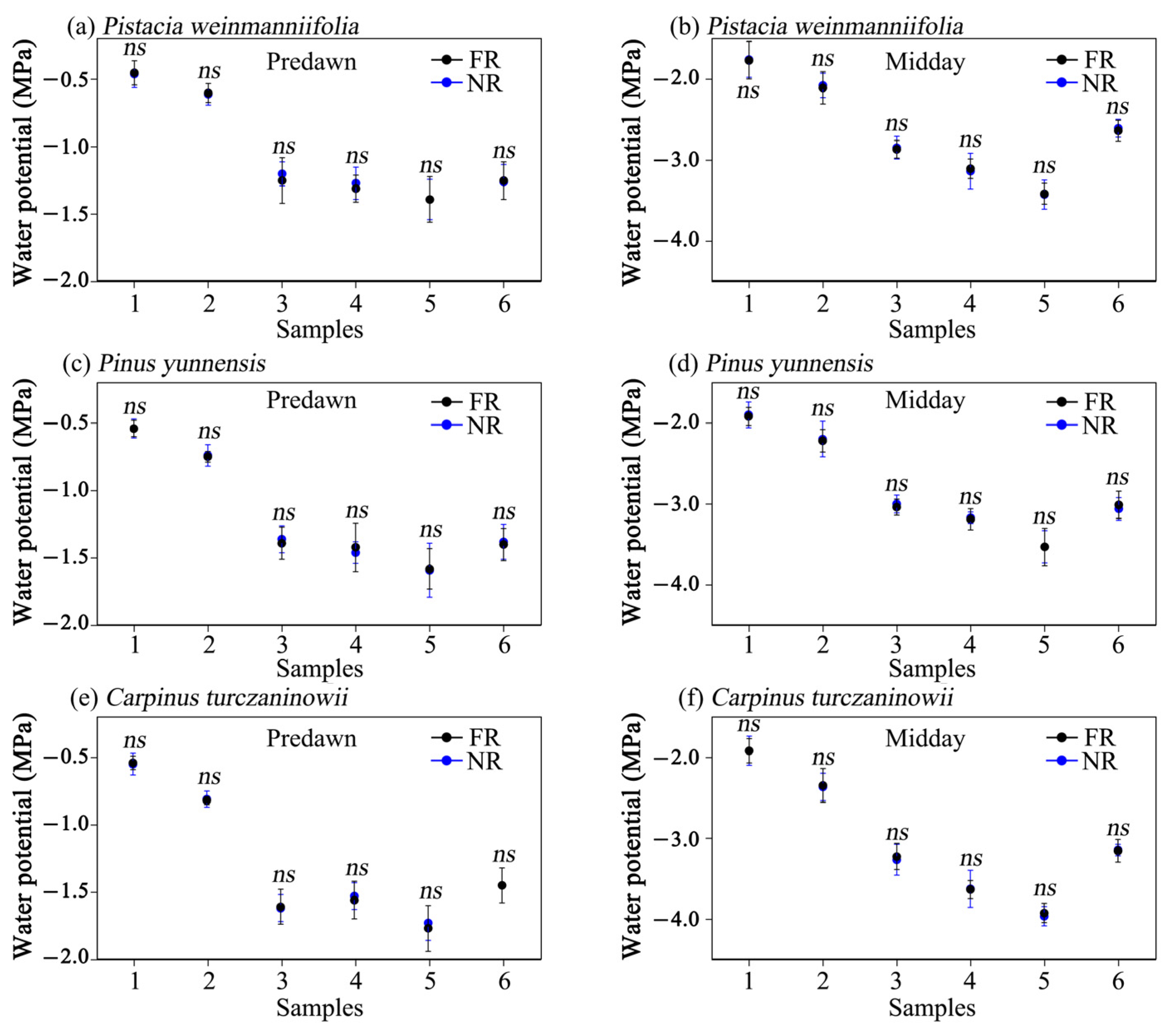
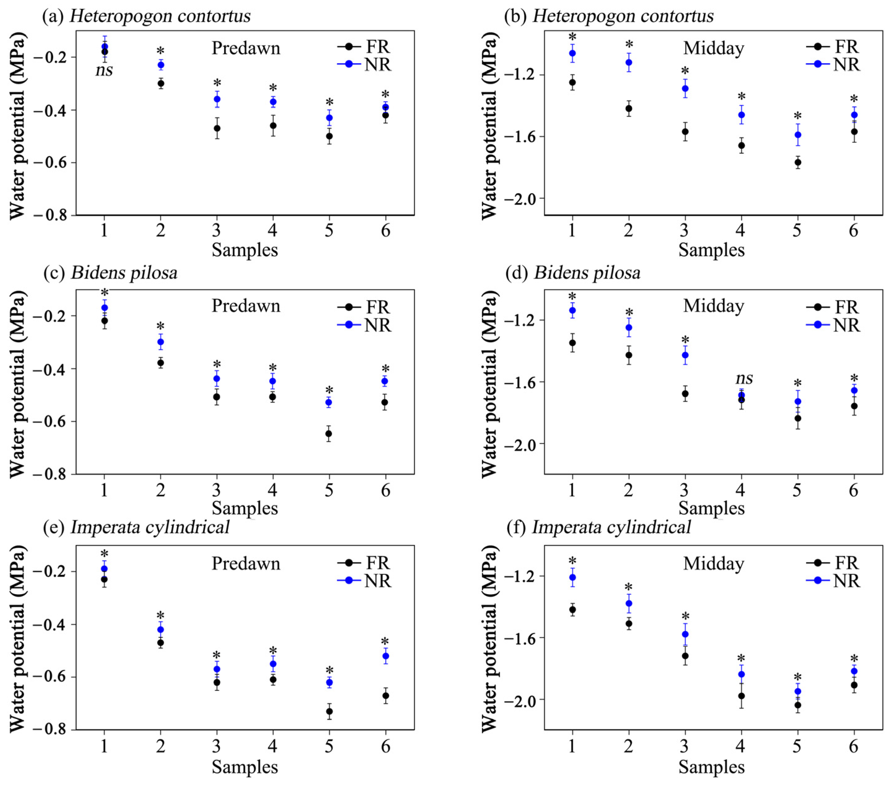
After conducting an analysis of the leaf water potential variation patterns of plants in grasslands, shrubland and forestland in the near-rock and far-rock areas from May to October, we found that, on the whole, except for forestland, the average leaf water potential of plants in near-rock area in grasslands and shrubland during the predawn and midday periods was significantly higher than that of plants in far-rock area (p < 0.05) (Figure 4, Figure 5 and Figure 6). Specifically, the leaf water potential of grassland plants in the near-rock area in the predawn and midday was on average 0.07 MPa and 0.16 MPa higher respectively than that in the far-rock area. The shrubland plants were on average 0.12 MPa and 0.20 MPa higher respectively. The leaf water potential of forestland trees showed no significant difference between the near-rock and far-rock areas. The leaf water potential of plants in the forestland was significantly lower than that in the grassland and the shrubland (p < 0.001).

4. Discussion

4.1. The Influence of Aboveground Rocks on Plant Roots

Except for two fibrous root systems of grassland plants (such as Heteropogon contortus and Imperata cylindrical), this study mainly focused on the adaptive characteristics of the root systems of taproot plants in the shallow karst soil. This study revealed that aboveground rocks have a significant impact on the biomass, distribution range and bifurcation ratio of plant roots. The results showed that in grassland and shrubland, the root biomass in near-rock areas was significantly higher than that in far-rock areas (grassland plants on average 17.2% higher, and shrubland plants on average 14.5% higher). This phenomenon strongly proved the substantial influence of rock proximity on root biomass. This might be closely related to the improvement effect of rocks on soil moisture, creating a more favorable micro-environment for plant growth [41,42]. Meanwhile, the root systems of plants in near-rock area were more restrictedly distributed in the horizontal radial direction (grassland plants on average 27.8% lower, and shrubland plants on average 17.5% lower) and more developed in the vertical depth. It can be inferred that these changes are clearly adaptive adjustments to the life strategies of plants in order to make use of the water and nutrients provided by rocks. This discovery provides a new argument for explaining how karst plants adapt to the complex and changeable karst geological environment.
This study also found that the plasticity of root configuration was particularly prominent in plants in karst areas, manifested as optimizing their own resource acquisition strategies in soil space by adjusting the bifurcation ratio of the root system. For instance, the Rb of Imperata cylindrical in the near-rock area can be on average 16.2% higher than that in the far-rock area. Under conditions of drought and water shortage (that is, far-rock area), plants reduce the bifurcation ratio to decrease the competition for resources within the root system, and at the same time expand the extension range of the root system to search for deeper or farther water sources. In an environment with relatively abundant moisture (i.e., near-rock area), an increase in bifurcation ratio is more common, as this change can significantly increase the contact area between the root system and the soil, enhance nutrient absorption, and thereby provide strong support for plant growth. The results of this study were similar to those found by other researchers who have conducted similar studies in karst areas [30,31,32,41,43].
The study of plant root configuration in karst areas revealed the effect of aboveground rocks on the morphology and structure of plant roots. This influence is reflected through the optimization mechanism of resource acquisition, the adaptation strategy of environmental heterogeneity, and the synergy of the ecosystem [44,45,46,47]. The aboveground rock system of karst landform constitutes a unique surface resource network. Take the Stone Forest in Yunnan as an example. The aboveground rocks form hotspots for water distribution through the interception of rainfall. These surface structures continuously release and replenish additional rainwater to the surface soil during the rainy season, forming a vertical replenishment channel of water on the rock surface-soil-root system [14,38,48]. Studies have shown that the root systems of dominant shrubs such as spines (Pyracantha fortuneana) can penetrate rock fissures and directly obtain deep water [22]. The water absorption of their root systems is higher than that of plants in non-karst areas. The minerals such as calcium and magnesium released during the weathering process of rocks also constitute important sources of nutrients [48,49]. Therefore, the existence of aboveground rocks provides plants with additional sources of water and nutrients, prompting plant roots to exhibit significant plasticity to optimize resource acquisition.
In karst environments where the soil layer thickness is always less than 50 cm, it was found that plant roots often exhibit significant surface-level characteristics, that is, a dense network structure is formed in the surface soil, which can effectively expand the area of resource capture [46,50]. This is consistent with the results we observed on the study sites. By increasing the number of lateral roots to capture surface resource and extending the tap roots to obtain deep water to form a complementary plant water utilization strategy, research shows that the plastic adjustment ability of plant roots makes them more adaptable in ecosystems [24,25,26,27]. In karst landform, the morphological and structural changes of plant roots are the result of plants adapting to heterogeneous environmental resources, guiding plants on how to find the best path for survival and development in soils with uneven resource distribution. The plasticity of the root system configuration of karst plants is not only a morphological response, but also the result of the systematic evolution of the coupling of multiple elements such as plants, rocks, microorganisms and soil.

4.2. The Influence of Aboveground Rocks on the Leaf Water Potential

The study of leaf water potential in karst areas has further revealed the important regulatory role of surface rocks in plant water dynamics. During the two important periods of predawn and midday, the predawn leaf water potential and midday leaf water potential of plant communities in near-rock area were both generally higher than that of plants in far-rock area (Figure 4, Figure 5 and Figure 6). The leaf water potential of plant can reflect the water status within the plant. Generally, the higher the leaf water potential, the less drought stress plants suffer [3,24,51]. The phenomenon that near-rock plants show a higher leaf water potential might be due to the collection and retention of soil moisture by rocks, which enables plants growing close to rocks to absorb more water. The leaf water potential decreased with the succession stage. This rule also holds true in other ecosystems, but in karst areas, the influence of special geological background environments needs to be considered.
Leaf water potential exhibited distinct monthly and daily variations, indicating the impact of temporal changes on plant water status. The results of this study are similar to those of similar studies conducted by other researchers in non-karst areas [52,53]. In this study, it was observed that the water potential seemed to show a decreasing trend with monthly changes. This phenomenon may be closely related to the difference in surface soil moisture caused by a single short-term rainfall events before each monthly measurement, and should not be regarded as a cyclical monthly trend or pattern. In addition, it should be noted with caution that this conclusion only reflects the water response characteristics of this specific study site and should not be directly generalized as a universal law of karst ecosystems.
This study explored the water utilization strategies of plants in karst areas during the rainy season under rocky environment, and also confirmed the importance of aboveground rocks for plant survival. A large number of previous experiments have proved that aboveground rocks can not only effectively intercept precipitation and reduce surface runoff, but also slowly release water into the soil, creating a relatively moist micro-environment for plant roots [14,38,41,48]. The life support role of rocks is not only reflected in providing water resources for plants, but also in indirectly promoting the growth and development of plants by improving the soil environment, such as enhancing soil structure, increasing soil water retention and air permeability, etc. [16,33,54]. Therefore, aboveground rocks are not only an important part of the natural landscape in karst areas, but also an important support for plants to survive and grow under stress conditions.
It should be noted that in this study, sampling was carried out during the rainy season, mainly based on the fact that the eco-hydrological functions of above-ground rocks have significant seasonal characteristics: their role in enhancing soil moisture and improving the micro-environment for plant growth through the collection and secondary distribution of rainfall is particularly prominent during the rainy season when precipitation is abundant [14,41,48]. During the dry season, precipitation is scarce, and the water regulation function of rocks is significantly weakened. At this time, the differences in plant root characteristics (such as root biomass, root extension) and leaf water potential indicators under the two groups of treatment close to and far from rocks are no longer significant. Therefore, the conclusions of this study are more applicable to the rainy season context. The applicability of plant water utilization strategies and rock eco-hydrological functions in the dry season needs to be interpreted with caution.
As the ecosystem transitions from grassland to shrubland and forestland, the hydrological regulatory function of aboveground rocks gradually weakens due to the enhanced interception effect of plant canopies on rainfall and the differentiation of root configurations and water use strategies of different functional plants (such as herbs, shrubs, and trees). This eco-hydrological function of rocks undoubtedly provides a new perspective for us to deeply understand the operation mechanism of the ecosystem in arid regions, and also reminds us that it is necessary to continuously deepen the exploration and research in this field, in order to more comprehensively reveal the complex and subtle ecological relationship between rocks and plants. Subsequent studies can further combine dry season sampling to verify the universality of rock eco-hydrological functions on a seasonal scale, providing a more complete theoretical support for cross-seasonal research on plant survival strategies in karst areas.

4.3. Implication

In karst areas where underground bedrock is widely exposed, plants optimize resource acquisition by adjusting the morphology and structure of their root systems, which demonstrates adaptability. The influence of aboveground rocks on plant roots enables us to observe the response strategies of organisms when the distribution of natural resources is uneven: changes in the root biomass, distribution range and bifurcation ratio of plant roots are adjustments to their survival strategies in the battle for resources. The research on leaf water potential further reveals the effect of aboveground rocks on plant water status. This research result makes us realize the important ecological role of rocks in the ecosystem of karst regions.
Although this study has achieved meaningful results, there are still some limitations. For instance, the research failed to distinguish the differences between the tap roots, lateral roots and fibrous roots, which might affect a comprehensive understanding of the structure and function of the root system. Future research should integrate root anatomical characteristics and mycorrhizal symbiotic relationships to comprehensively analyze the water use strategies of karst plants. In addition, long-term monitoring and multi-point comparative studies will contribute to a deeper understanding of the dynamic changes in karst ecosystems and the mechanisms of plant adaptability. These research findings on the analysis of root phenotypes can support the governance of karst environmental degradation and the optimization of suitable species allocation, and enhance the effectiveness of ecological restoration. Exploring the strategies of different plants in utilizing limited water resources can help us screen out plant species that are more suitable for growth in karst areas. With the continuous advancement of research methods and techniques, such as high-resolution root imaging technology and multi-dimensional isotope tracer technology, it is expected to accurately analyze the three-dimensional morphology and environmental response mechanism of roots in the future.

5. Conclusions

Study showed that, when compared to the far-rock area, the root biomass of grassland plants in the near-rock area was on average 17.2% higher, the lateral extension of root was on average 27.8% lower, the vertical extension was on average 16.9% higher, and the root bifurcation ratio was on average 11.5% higher. The root biomass of shrubland plants in the near-rock area was on average 14.5% higher, the lateral extension was on average 17.5% lower, there was no significant difference in vertical extension, and the root bifurcation ratio was on average 10.5% higher. For forestland trees, the root characteristics were significantly different from those in grassland and shrubland (p < 0.001), while there was no significant difference between the near- and far-rock area, despite of the fact that difference existed among species. Leaf water potential data showed that the water potential of grassland and shrubland plants in the near-rock area is higher than that in the far-rock area, while the difference in forestland is not significant.
Studies have confirmed that in grasslands and shrublands, surface rocks in karst areas have an impact on plant roots and leaf water potential. The aboveground rocks in the two types of ecosystems can increase the leaf water potential of plants by influencing the root biomass, distribution and bifurcation ratio of plant roots, thereby helping to enhance the water uptake of plants under rocky environment. However, in forestland, the above conclusion does not apply. This discovery has significant research and application value for understanding the survival strategies of plants in karst habitats and guiding ecological restoration and vegetation reconstruction.

Author Contributions

Conceptualization, Z.Z.; methodology, Z.Z. and J.Z.; software, Z.Z. and J.Z.; validation, Z.Z.; formal analysis, Z.Z.; investigation, Z.Z.; resources, Z.Z.; data curation, Z.Z. and J.Z.; writing—original draft preparation, Z.Z.; writing—review and editing, Z.Z.; project administration, Z.Z.; funding acquisition, Z.Z. All authors have read and agreed to the published version of the manuscript.

Funding

This research was funded by the Guizhou Provincial Basic Research Program (Natural Science) (grant number QKHJC-ZK[2023]YB281) and Natural Science Research Project of Guizhou Education University (grant number 2025GCC008).

Data Availability Statement

The raw data supporting the conclusions of this article will be made available by the authors on request.

Acknowledgments

All of the authors especially appreciate the experimental equipment provided by the Guizhou Provincial Key Laboratory of Geographic State Monitoring of Watershed, School of Geography and Resources, Guizhou Education University. We thank the editors and anonymous reviewers for their valuable comments.

Conflicts of Interest

The authors declare no conflicts of interest.

References

  1. Peng, M.W.; He, H.; Jiang, M.; Wang, Z.K.; Li, G.F.; Zhuang, L. Morphological, physiological and metabolomic analysis to unravel the adaptive relationship between root growth of ephemeral plants and different soil habitats. Plant Physiol. Biochem. 2023, 202, 107986. [Google Scholar] [CrossRef] [PubMed]
  2. Li, L.; Lin, E.; Liu, H.G.; Li, Y.J.; Li, Z.J.; Cai, R. Water-nitrogen coupling promotes efficient resource utilization by optimizing cotton root morphology under salt stress. Field Crop. Res. 2025, 325, 109830. [Google Scholar] [CrossRef]
  3. Liu, W.N.; Chen, H.S.; Zou, Q.Y.; Nie, Y.P. Divergent root water uptake depth and coordinated hydraulic traits among typical karst plantations of subtropical China: Implication for plant water adaptation under precipitation changes. Agric. Water Manag. 2021, 249, 106798. [Google Scholar] [CrossRef]
  4. Peng, L.; Xu, X.J.; Liao, X.F.; Liu, J.M.; Chen, J.Z. Ampelocalamus luodianensis (Poaceae), a plant endemic to karst, adapts to resource heterogeneity in differing microhabitats by adjusting its biomass allocation. Glob. Ecol. Conserv. 2023, 41, e02374. [Google Scholar] [CrossRef]
  5. Luo, Z.D.; Nie, Y.P.; Ding, Y.L.; Chen, H.S. Replenishment and mean residence time of root-zone water for woody plants growing on rocky outcrops in a subtropical karst critical zone. J. Hydrol. 2021, 603, 127136. [Google Scholar] [CrossRef]
  6. Nie, Y.P.; Chen, H.S.; Wang, K.L.; Ding, Y.L. Rooting characteristics of two widely distributed woody plant species growing in different karst habitats of southwest China. Plant Ecol. 2014, 215, 1099–1109. [Google Scholar] [CrossRef]
  7. Jiang, Z.C.; Lian, Y.Q.; Qin, X.Q. Rocky desertification in Southwest China: Impacts, causes, and restoration. Earth Sci. Rev. 2014, 132, 1–12. [Google Scholar] [CrossRef]
  8. Zeng, F.M.; Jiang, Z.C.; Shen, L.N.; Chen, W.; Yang, Q.Y.; Zhang, C. Assessment of multiple and interacting modes of soil loss in the karst critical zone, Southwest China (SWC). Geomorphology 2018, 322, 97–106. [Google Scholar] [CrossRef]
  9. Yan, Y.J.; Dai, Q.H.; Hu, G.; Jiao, Q.; Mei, L.N.; Fu, W.B. Effects of vegetation type on the microbial characteristics of the fissure soil-plant systems in karst rocky desertification regions of SW China. Sci. Total Environ. 2020, 712, 136543. [Google Scholar] [CrossRef]
  10. Li, Y.; Li, K.P.; Zhou, Q.W.; Zhao, Y.L.; Cai, L.L.; Yang, Z.Y. Spatiotemporal dynamics and similarity in soil moisture in shallow soils on karst slopes. J. Hydrol. 2024, 639, 131655. [Google Scholar] [CrossRef]
  11. Zhang, J.; Wang, S.; Fu, Z.Y.; Wang, F.; Wang, K.L.; Chen, H.S. Soil thickness influences the control effect of micro-topography on subsurface runoff generation in the karst hillslope critical zone. Catena 2024, 239, 107957. [Google Scholar] [CrossRef]
  12. Li, C.; Zhang, S.Q.; Ding, Y.J.; Ma, S.Y.; Gong, H.Y. Nonlinear influences of climatic, vegetative, geographic and soil factors on soil water use efficiency of global karst landscapes: Insights from explainable machine learning. Sci. Total Environ. 2025, 965, 178672. [Google Scholar] [CrossRef]
  13. Chen, L.; Zhang, K.L.; Wang, G.P. Dynamic response of soil water to rainfall for different runoff plots on a karst hillslope. Geoderma 2025, 460, 117394. [Google Scholar] [CrossRef]
  14. Zhao, Z.M.; Shen, Y.X.; Wang, Q.H.; Jiang, R.H. The temporal stability of soil moisture spatial pattern and its influencing factors in rocky environments. Catena 2020, 187, 104418. [Google Scholar] [CrossRef]
  15. Xiao, L.L.; Li, R.; Cai, F.Y.; Wu, P.P.; Pan, L.H. Effects of vegetation cover and rock embedding landscape types and configurations on regulating runoff generation and sediment yields in karst slope under simulated experiment. J. Hydrol. 2025, 661, 133681. [Google Scholar] [CrossRef]
  16. Li, Y.Q.; Wang, S.J.; Peng, T.; Zhao, G.Z.; Dai, B. Hydrological characteristics and available water storage of typical karst soil in SW China under different soil–rock structures. Geoderma 2023, 438, 116633. [Google Scholar] [CrossRef]
  17. Zhou, G.H.; Long, F.Y.; Zu, L.; Jarvie, S.; Peng, Y.; Zang, L.P.; Chen, D.M.; Zhang, G.Q.; Sui, M.Z.; He, Y.J.; et al. Stand spatial structure and microbial diversity are key drivers of soil multifunctionality during secondary succession in degraded karst forests. Sci. Total Environ. 2024, 937, 173504. [Google Scholar] [CrossRef] [PubMed]
  18. Lu, Z.X.; Wang, P.; Ou, H.B.; Wei, S.X.; Wu, L.C.; Jiang, Y.; Wang, R.J.; Liu, X.S.; Wang, Z.H.; Chen, L.J.; et al. Effects of different vegetation restoration on soil nutrients, enzyme activities, and microbial communities in degraded karst landscapes in southwest China. For. Ecol. Manag. 2022, 508, 120002. [Google Scholar] [CrossRef]
  19. Kumilamba, G.; Liu, S.J.; Wang, Z.J.; Li, J.H.; Zhan, Y.J.; Lu, X.Q. Understory biodiversity in Karst forests: A comparison of pure (Pinus massoniana) and mixed forests in Guiyang, China. For. Ecol. Manag. 2025, 588, 122753. [Google Scholar] [CrossRef]
  20. Liu, W.N.; Behzad, H.M.; Luo, Z.D.; Huang, L.; Nie, Y.P.; Chen, H.S. Species-Specific Root Distribution and Leaf Iso/Anisohydric Tendencies Shape Transpiration Patterns Across Heterogeneous Karst Habitats. Plant Cell Environ. 2025, 48, 199–212. [Google Scholar] [CrossRef] [PubMed]
  21. Zhou, L.; Liu, J.C.; Zhao, Y.J.; Song, H.Y.; Liang, Q.H.; Tao, J.P. Adaption of two grasses to soil thickness variation under different water treatments in a karst region. Acta Ecol. Sin. 2017, 37, 298–306. [Google Scholar]
  22. Yan, Y.J.; Dai, Q.H.; Yang, Y.Q.; Yan, L.B.; Yi, X.S. Epikarst shallow fissure soil systems are key to eliminating karst drought limitations in the karst rocky desertification area of SW China. Ecohydrology 2022, 15, e2372. [Google Scholar] [CrossRef]
  23. Huang, Y.Q.; Zhao, P.; Zhang, Z.F.; Li, X.K.; He, C.X.; Zhang, R.Q. Transpiration of Cyclobalanopsis glauca (syn. Quercus glauca) stand measured by sap-flow method in a karst rocky terrain during dry season. Ecol. Res. 2009, 24, 791–801. [Google Scholar] [CrossRef]
  24. Ding, Y.L.; Nie, Y.P.; Chen, H.S.; Wang, K.L.; Querejeta, J.I. Water uptake depth is coordinated with leaf water potential, water-use efficiency and drought vulnerability in karst vegetation. New Phytol. 2021, 229, 1339–1353. [Google Scholar] [CrossRef] [PubMed]
  25. Fitter, A.H.; Stickland, T.R.; Harvey, M.L.; Wilson, G.W. Architectural analysis of plant root systems 1. Architectural correlates of exploitation efficiency. New Phytol. 1991, 118, 375–382. [Google Scholar] [CrossRef]
  26. Fitter, A.H.; Stickland, T.R. Architectural analysis of plant root systems 2. Influence of nutrient supply on architecture in contrasting plant species. New Phytol. 1991, 118, 383–389. [Google Scholar] [CrossRef]
  27. Fitter, A.H.; Stickland, T.R. Architectural analysis of plant root systems III. Studies on plants under field conditions. New Phytol. 1992, 121, 243–248. [Google Scholar] [CrossRef]
  28. Gwenzi, W.; Veneklaas, E.J.; Holmes, K.W.; Bleby, T.M.; Phillips, I.R.; Hinz, C. Spatial analysis of fine root distribution on a recently constructed ecosystem in a water-limited environment. Plant Soil 2011, 348, 471–489. [Google Scholar] [CrossRef]
  29. Hodge, A. The plastic plant: Root responses to heterogeneous supplies of nutrients. New Phytol. 2004, 162, 9–24. [Google Scholar] [CrossRef]
  30. Huang, T.L.; Tang, L.X.; Chen, L.; Zhang, Q.Y. Root architecture and ecological adaptation strategy of three shrubs in karst area. Sci. Soil Water Conserv. 2019, 17, 89–94. (In Chinese) [Google Scholar]
  31. Fu, Y.H.; Zhang, D.J.; Xiang, J.; Zhou, Y.; Huang, Z.S.; Yu, L.F. Topological structure of plant roots of different underground habitat profiles in karst areas. Ecol. Environ. Sci. 2022, 31, 865–874. (In Chinese) [Google Scholar]
  32. Su, L.; Du, H.; Wang, H.; Zeng, F.P.; Song, T.Q.; Peng, W.X.; Chen, L.; Zhang, F. Root architecture of the dominant species in various vegetation restoration processes in karst peak-cluster depression. Acta Bot. Boreali Occident. Sin. 2018, 38, 150–157. (In Chinese) [Google Scholar]
  33. Peng, X.D.; Wang, X.D.; Dai, Q.H.; Ding, G.J.; Li, C.L. Soil structure and nutrient contents in underground fissures in a rock-mantled slope in the karst rocky desertification area. Environ. Earth Sci. 2020, 79, 3. [Google Scholar] [CrossRef]
  34. Peng, X.D.; Dai, Q.H.; Ding, G.J.; Shi, D.M.; Li, C.L. The role of soil water retention functions of near-surface fissures with different vegetation types in a rocky desertification area. Plant Soil 2019, 441, 587–599. [Google Scholar] [CrossRef]
  35. Luo, J.; Luo, W.X.; Liu, J.T.; Wang, Y.J.; Li, Z.F.; Tao, J.P.; Liu, J.C. Karst fissures mitigate the negative effects of drought on plant growth and photosynthetic physiology. Oecologia 2024, 205, 69–80. [Google Scholar] [CrossRef]
  36. Liu, T.T.; Peng, X.D.; Dai, Q.H.; Xu, S.B. Role of the preferential flow at rock–soil interface in the water leaking process in near-surface fissures filled with soils in the karst rock desertification area. Appl. Water Sci. 2022, 12, 208. [Google Scholar] [CrossRef]
  37. Zhang, W.; Chen, H.S.; Wang, K.L.; Su, Y.R.; Zhang, J.G.; Yi, A.J. The heterogeneity and its influencing factors of soil nutrients in peak-cluster depression areas of karst region. Agr. Sci. China 2007, 6, 322–329. [Google Scholar] [CrossRef]
  38. Shen, Y.X.; Wang, D.J.; Chen, Q.Q.; Tang, Y.Y.; Chen, F.J. Large heterogeneity of water and nutrient supply derived from runoff of nearby rock outcrops in karst ecosystems in SW China. Catena 2019, 172, 125–131. [Google Scholar] [CrossRef]
  39. Li, Q.; Umer, M.; Guo, Y.; Shen, K.P.; Xia, T.T.; Xu, X.Y.; Han, X.; Ren, W.D.; Sun, Y.; Wu, B.L.; et al. Karst soil patch heterogeneity with gravels promotes plant root development and nutrient utilization associated with arbuscular mycorrhizal fungi. Agronomy 2022, 12, 1063. [Google Scholar] [CrossRef]
  40. Liang, Y.M.; Pan, F.J.; Jiang, Z.C.; Li, Q.; Pu, J.B.; Liu, K.P. Accumulation in nutrient acquisition strategies of arbuscular mycorrhizal fungi and plant roots in poor and heterogeneous soils of karst shrub ecosystems. BMC Plant Biol. 2022, 22, 188. [Google Scholar] [CrossRef]
  41. Zhao, Z.M.; Zhang, J.; Liu, R. Application of overground rock film mulching (ORFM) technology in karst rocky desertification farmland: Improving soil moisture environment and crop root growth. Agronomy 2024, 14, 1265. [Google Scholar] [CrossRef]
  42. Fan, C.H.; Zhao, L.S.; Hou, R.; Fang, Q.; Zhang, J.X. Quantitative analysis of rainwater redistribution and soil loss at the surface and belowground on karst slopes at the microplot scale. Catena 2023, 227, 107113. [Google Scholar] [CrossRef]
  43. Hou, F.; Cheng, J.H.; Zhang, H.; Wang, X.L.; Shi, D.W.; Guan, N. Response of preferential flow to soil–root–rock fragment system in karst rocky desertification areas. Ecol. Indic. 2024, 165, 112234. [Google Scholar] [CrossRef]
  44. Zhao, Y.J.; Li, Z.; Zhang, J.; Song, H.Y.; Liang, Q.H.; Tao, J.P.; Cornelissen, J.H.C.; Liu, J.C. Do shallow soil, low water availability, or their combination increase the competition between grasses with different root systems in karst soil? Environ. Sci. Pollut. Res. 2017, 24, 10640–10651. [Google Scholar] [CrossRef] [PubMed]
  45. Liu, Y.; Wei, X.; Zhou, Z.; Shao, C.; Su, S. Influence of heterogeneous karst microhabitats on the root foraging ability of Chinese Windmill Palm (Trachycarpus fortunei) seedlings. Int. J. Env. Res. Public Health 2020, 17, 434. [Google Scholar] [CrossRef]
  46. Ni, J.; Luo, D.H.; Xia, J.; Zhang, Z.H.; Hu, G. Vegetation in karst terrain of southwestern China allocates more biomass to roots. Solid Earth 2015, 6, 799–810. [Google Scholar] [CrossRef]
  47. Pan, F.J.; Qian, Q.; Liang, Y.M.; Wang, K.L.; Zhang, W. Spatial variations in fine root turnover, biomass, and necromass of two vegetation types in a karst ecosystem, Southwestern China. Forests 2022, 13, 611. [Google Scholar] [CrossRef]
  48. Shen, Y.X.; Wang, Q.H.; Zhao, Z.M.; Yuan, C. Fine-scale effect of karst rock outcrops on adjacent soil and plant communities in Southwest China. Catena 2022, 219, 106592. [Google Scholar] [CrossRef]
  49. Moore, O.W.; Buss, H.L.; Green, S.M.; Liu, M.; Song, Z.L. The importance of non-carbonate mineral weathering as a soil formation mechanism within a karst weathering profile in the SPECTRA Critical Zone Observatory, Guizhou Province, China. Acta Geochim. 2017, 36, 566–571. [Google Scholar] [CrossRef]
  50. Zhang, J.; Wang, J.M.; Chen, J.Y.; Song, H.Y.; Li, S.H.; Zhao, Y.J.; Tao, J.P.; Liu, J.C. Soil moisture determines horizontal and vertical root extension in the perennial grass Lolium perenne L. growing in karst soil. Front. Plant Sci. 2019, 10, 629. [Google Scholar] [CrossRef] [PubMed]
  51. Liu, C.C.; Liu, Y.G.; Guo, K. Ecophysiological adaptations to drought stress of seedlings of four plant species with different growth forms in karst habitats. Chin. J. Plant Ecol. 2011, 35, 1070. (In Chinese) [Google Scholar]
  52. Bucci, S.J.; Goldstein, G.; Meinzer, F.C.; Franco, A.C.; Campanello, P.; Scholz, F.G. Mechanisms contributing to seasonal homeostasis of minimum leaf water potential and predawn disequilibrium between soil and plant water potential in Neotropical savanna tree. Trees 2005, 19, 296–304. [Google Scholar] [CrossRef]
  53. Prior, L.D.; Eamus, D.; Duff, G.A. Seasonal and diurnal patterns of carbon assimilation, stomatal conductance and leaf water potential in Eucalyptus tetrodonta saplings in a wet–dry savanna in northern Australia. Aust. J. Bot. 1997, 45, 241–258. [Google Scholar] [CrossRef]
  54. Zhao, Z.M.; Shen, Y.X.; Jiang, R.H.; Wang, Q.H. Rock outcrops change infiltrability and water flow behavior in a karst soil. Vadose Zone J. 2020, 19, e20002. [Google Scholar] [CrossRef]
Figure 1. The geographical location of the study area (a,b), the actual scene of the sample plots (c), and schematic diagram of the micro-habitat shaped by aboveground rocks (d).
Figure 1. The geographical location of the study area (a,b), the actual scene of the sample plots (c), and schematic diagram of the micro-habitat shaped by aboveground rocks (d).
Forests 16 01313 g001
Figure 2. The differences in plant root biomass under different treatments in the three sample plots. NR: near-rock, FR: far-rocks. *: significant at p < 0.05, ns: no significance. In the box plot, the hollow squares represent the mean values, the dots represent measured values, and the curves represent normal distribution curve.
Figure 2. The differences in plant root biomass under different treatments in the three sample plots. NR: near-rock, FR: far-rocks. *: significant at p < 0.05, ns: no significance. In the box plot, the hollow squares represent the mean values, the dots represent measured values, and the curves represent normal distribution curve.
Forests 16 01313 g002
Figure 3. The lateral and vertical extension of the root system in (a) grassland, (b) shrubland, and (c) forestland; NR: near-rock, FR: far-rock; C: the side closest to the rock, F: the side farthest from the rock. *: significant at p < 0.05, ns: no significance. In the box plot, the hollow squares represent the mean values, and the black dots represent outliers.
Figure 3. The lateral and vertical extension of the root system in (a) grassland, (b) shrubland, and (c) forestland; NR: near-rock, FR: far-rock; C: the side closest to the rock, F: the side farthest from the rock. *: significant at p < 0.05, ns: no significance. In the box plot, the hollow squares represent the mean values, and the black dots represent outliers.
Forests 16 01313 g003
Figure 4. Changes in predawn (a,c,e) and midday (b,d,f) leaf water potential (mean ± SD) of plants in grassland. FR: far-rock, NR: near-rock. *: significant at p < 0.05, ns: no significance.
Figure 4. Changes in predawn (a,c,e) and midday (b,d,f) leaf water potential (mean ± SD) of plants in grassland. FR: far-rock, NR: near-rock. *: significant at p < 0.05, ns: no significance.
Forests 16 01313 g004
Figure 5. Changes in predawn (a,c,e) and midday (b,d,f) leaf water potential (mean ± SD) of plants in shrubland. FR: far-rock, NR: near-rock.*: significant at p < 0.05, ns: no significance.
Figure 5. Changes in predawn (a,c,e) and midday (b,d,f) leaf water potential (mean ± SD) of plants in shrubland. FR: far-rock, NR: near-rock.*: significant at p < 0.05, ns: no significance.
Forests 16 01313 g005
Figure 6. Changes in predawn (a,c,e) and midday (b,d,f) leaf water potential (mean ± SD) of plants in forestland. FR: far-rock, NR: near-rock. ns: no significance.
Figure 6. Changes in predawn (a,c,e) and midday (b,d,f) leaf water potential (mean ± SD) of plants in forestland. FR: far-rock, NR: near-rock. ns: no significance.
Forests 16 01313 g006
Table 1. Root bifurcation ratios of plants in the grassland.
Table 1. Root bifurcation ratios of plants in the grassland.
SpeciesTreatmentRbRi:Ri+1
R1:R2R2:R3
Heteropogon contortusNR2.31 ± 0.22 a1.67 ± 0.28 a3.22 ± 0.15 a
FR2.13 ± 0.41 b1.52 ± 0.33 b3.01 ± 0.55 b
Bidens pilosaNR2.24 ± 0.39 a1.60 ± 0.30 a3.14 ± 0.54 a
FR2.04 ± 0.33 b1.50 ± 0.36 b2.81 ± 0.30 b
Imperata cylindricalNR2.51 ± 0.39 a1.92 ± 0.32 a3.31 ± 0.52 a
FR2.16 ± 0.34 b1.50 ± 0.32 b3.13 ± 0.37 b
ANOVATreatment0.0160.0150.046
Species0.2640.3240.249
Treatment × Species0.7270.2820.864
NR: near-rock, FR: far-rock; Rb: root bifurcation ratio, Ri:Ri+1: stepwise bifurcation ratio. Different lowercase letters indicate significant differences (p < 0.05) between NR and FR treatments.
Table 2. Root bifurcation ratios of plants in the shrubland.
Table 2. Root bifurcation ratios of plants in the shrubland.
SpeciesTreatmentRbRi:Ri+1
R1:R2R2:R3R3:R4
Rubus mesogaeusNR3.03 ± 0.23 a1.52 ± 0.15 a3.04 ± 0.26 a6.04 ± 0.66 a
FR2.72 ± 0.17 b1.40 ± 0.14 b2.83 ± 0.34 b5.09 ± 0.50 b
Spiraea martiniNR2.86 ± 0.33 a1.39 ± 0.18 a2.93 ± 0.42 a5.75 ± 0.82 a
FR2.61 ± 0.20 b1.26 ± 0.11 b2.61 ± 0.31 b5.44 ± 0.64 b
Pyracantha fortuneanaNR3.08 ± 0.25 a1.54 ± 0.21 a3.17 ± 0.20 a6.00 ± 0.78 a
FR2.79 ± 0.23 b1.37 ± 0.16 b2.93 ± 0.31 b5.43 ± 0.82 b
ANOVATreatment<0.0010.0020.0040.003
Species0.0420.0240.0320.796
Treatment × Species0.9470.8330.8730.407
NR: near-rock, FR: far-rock; Rb: root bifurcation ratio, Ri:Ri+1: stepwise bifurcation ratio. Different lowercase letters indicate significant differences (p < 0.05) between NR and FR treatments.
Table 3. Root bifurcation ratios of plants in the forestland.
Table 3. Root bifurcation ratios of plants in the forestland.
SpeciesTreatmentRbRi:Ri+1
R1:R2R2:R3R3:R4R4:R5
Pistacia weinmanniifoliaNR2.17 ± 0.13 a1.23 ± 0.09 a1.96 ± 0.14 a2.68 ± 0.17 a3.27 ± 0.22 a
FR2.17 ± 0.09 a1.22 ± 0.06 a1.92 ± 0.12 a2.70 ± 0.15 a3.33 ± 0.19 a
Pinus yunnensisNR2.36 ± 0.19 a1.43 ± 0.12 a2.13 ± 0.18 a2.82 ± 0.26 a3.49 ± 0.30 a
FR2.38 ± 0.15 a1.43 ± 0.12 a2.15 ± 0.22 a2.88 ± 0.14 a3.47 ± 0.21 a
Carpinus turczaninowiiNR2.56 ± 0.15 a1.67 ± 0.09 a2.33 ± 0.15 a2.97 ± 0.19 a3.61 ± 0.31 a
FR2.47 ± 0.18 a1.55 ± 0.11 a2.28 ± 0.21 a2.85 ± 0.21 a3.60 ± 0.35 a
ANOVATreatment0.5600.1550.5350.7900.868
Species<0.001<0.001<0.0010.0030.006
Treatment × Species0.5420.1350.7850.3330.876
NR: near-rock, FR: far-rock; Rb: root bifurcation ratio, Ri:Ri+1: stepwise bifurcation ratio. Different lowercase letters indicate significant differences (p < 0.05) between NR and FR treatments.
Disclaimer/Publisher’s Note: The statements, opinions and data contained in all publications are solely those of the individual author(s) and contributor(s) and not of MDPI and/or the editor(s). MDPI and/or the editor(s) disclaim responsibility for any injury to people or property resulting from any ideas, methods, instructions or products referred to in the content.

Share and Cite

MDPI and ACS Style

Zhao, Z.; Zhang, J. The Response Mechanism of Plants Under Rock Stress in Karst Ecosystem: A Study Based on the Effects of Aboveground Rocks on Root Phenotypes and Leaf Water Potential. Forests 2025, 16, 1313. https://doi.org/10.3390/f16081313

AMA Style

Zhao Z, Zhang J. The Response Mechanism of Plants Under Rock Stress in Karst Ecosystem: A Study Based on the Effects of Aboveground Rocks on Root Phenotypes and Leaf Water Potential. Forests. 2025; 16(8):1313. https://doi.org/10.3390/f16081313

Chicago/Turabian Style

Zhao, Zhimeng, and Jin Zhang. 2025. "The Response Mechanism of Plants Under Rock Stress in Karst Ecosystem: A Study Based on the Effects of Aboveground Rocks on Root Phenotypes and Leaf Water Potential" Forests 16, no. 8: 1313. https://doi.org/10.3390/f16081313

APA Style

Zhao, Z., & Zhang, J. (2025). The Response Mechanism of Plants Under Rock Stress in Karst Ecosystem: A Study Based on the Effects of Aboveground Rocks on Root Phenotypes and Leaf Water Potential. Forests, 16(8), 1313. https://doi.org/10.3390/f16081313

Note that from the first issue of 2016, this journal uses article numbers instead of page numbers. See further details here.

Article Metrics

Back to TopTop