Comparing Pre- and Post-Fire Strategies to Mitigate Wildfire-Induced Soil Erosion in Two Mediterranean Watersheds
Abstract
1. Introduction
2. Materials and Methods
2.1. Overview
- Fire behavior simulation: Thousands of hypothetical wildfires were simulated to capture variability in fire spread and intensity across different conditions (fire ensemble; Section 2.3);
- Fire-level soil loss estimation: Wildfire-induced soil loss was estimated for each simulated fire (soil loss ensemble; Section 2.4);
- Pre-fire fuel treatments: Optimal locations for fuel treatments were identified based on their potential to reduce wildfire-induced soil loss. Fire spread simulations and associated soil loss were estimated assuming fuel treatments were implemented (complementing the fire and soil loss ensemble; Section 2.5.1).
- Annual soil loss estimation: Expected annual wildfire-induced soil erosion was derived by integrating soil loss estimates across the full ensemble of simulated fires (Section 2.5.2);
- Post-fire treatments: Optimal post-fire intervention areas were determined to maximize wildfire-induced soil loss reduction (Section 2.5.2);
- Treatment evaluation: The effect and effectiveness of both pre- and post-fire treatments were quantified using performance metrics such as soil loss reduction, leverage, and cost-effectiveness (Section 2.5.3).
2.2. Study Areas
2.3. Wildfire Modeling
2.4. Soil Loss Modeling
2.5. Modelling Soil Loss Mitigation Strategies
2.5.1. Preventive Fuel Treatments (Pre-Fire)
2.5.2. Reactive Soil Loss Treatments (Post-Fire)
2.5.3. Quantifying the Impact of Pre- and Post-Fire Treatments
3. Results
3.1. Effects of Wildfires on Soil Loss Without Treatments
3.2. Effects of Treatments on Soil Loss Mitigation
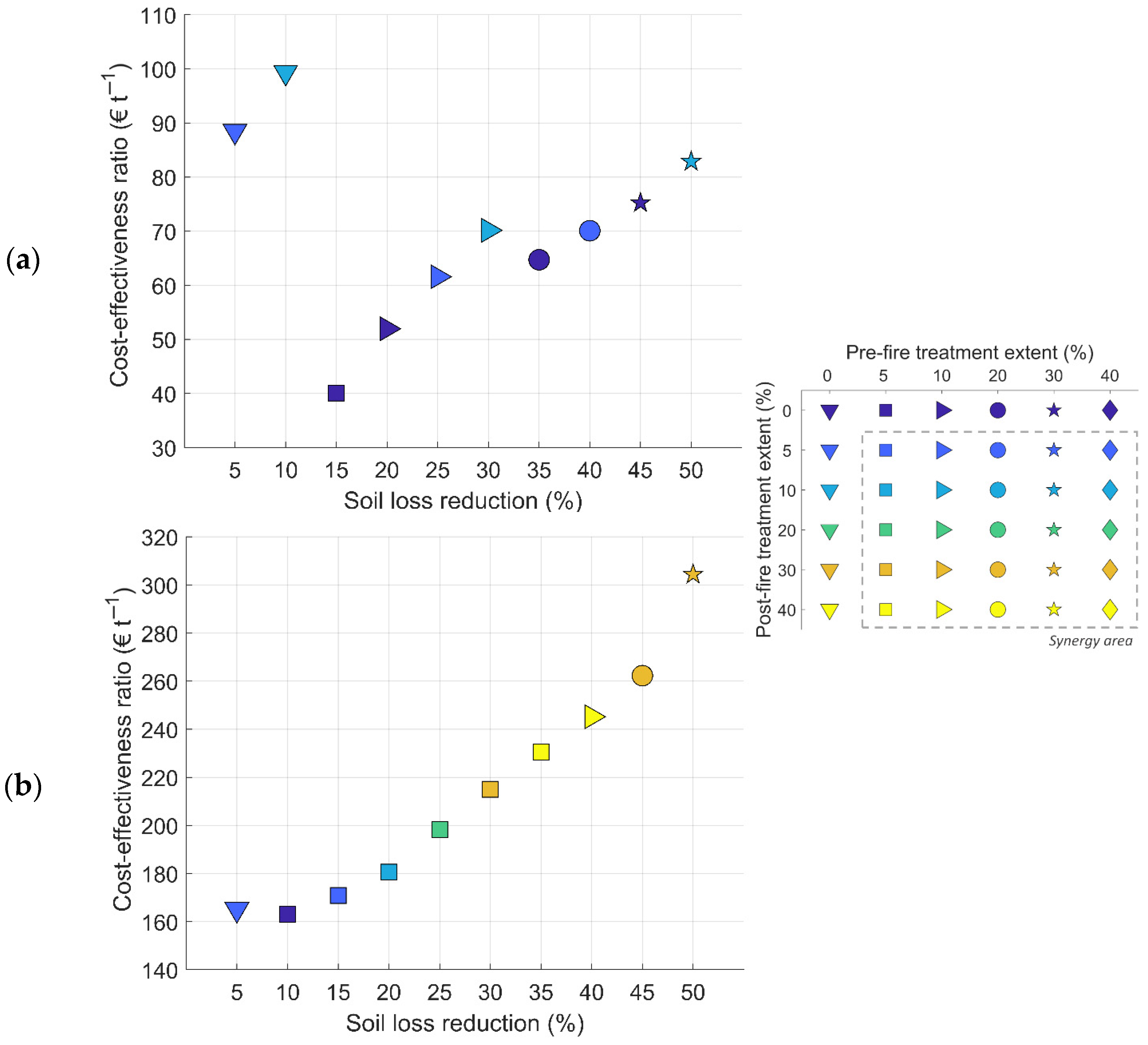
3.3. Effectiveness of Soil Loss Mitigation Treatments
3.4. Potential Synergies Among Different Treatment Strategies
4. Discussion
4.1. Effects of Wildfires on Soil Loss
4.2. Impact of Soil Loss Mitigation Strategies
4.3. Limitations
5. Conclusions
Author Contributions
Funding
Institutional Review Board Statement
Informed Consent Statement
Data Availability Statement
Acknowledgments
Conflicts of Interest
Abbreviations
| AGIF | Agency for the Integrated Management of Rural Fires |
| ICNF | Forest and Conservation Institute |
| RUSLE | Revised Universal Soil Loss Equation |
| USA | United States of America |
| SRTM | Space Shuttle Radar Topography Mission |
| MTT | Minimum Travel Time |
| JRC | Joint Research Center |
Appendix A
| Land Cover | Burn Severity | C-Factor |
|---|---|---|
| Agroforestry, agriculture and forests | Unburned | 0.002 |
| Low | 0.066 | |
| Medium | 0.135 | |
| High | 0.224 | |
| Shrubs and humid areas | Unburned | 0.001 |
| Low | 0.066 | |
| Medium | 0.135 | |
| High | 0.224 | |
| Sparse vegetation | Unburned | 0.286 |
| Low | 0.314 | |
| Medium | 0.707 | |
| High | 2.653 | |
| Pastures and grasslands | Unburned | 0.103 |
| Low | 0.232 | |
| Medium | 0.521 | |
| High | 1.953 | |
| Urban | Unburned | 0.000 |
| Water | Unburned | 0.001 |
| Land Cover | P-Factor |
|---|---|
| Agriculture, agroforestry and pastures | 0.5 |
| Forest, humid areas and shrubs | 1 |
| Sparse vegetation | 0.8 |
| Bare soil and urban areas | 0 |
| Extent (ha) | ||
|---|---|---|
| % of the Watershed Treated | Castelo de Bode | Odelouca |
| 5 | 5750 (1150) | 1900 (380) |
| 10 | 11,500 (2300) | 3750 (750) |
| 20 | 23,000 (4600) | 7500 (1500) |
| 30 | 34,400 (6880) | 11,300 (2260) |
| 40 | 45,850 (9170) | 15,000 (3000) |
| Fuel Model | ||
|---|---|---|
| Land Cover | Prior to Fuel Treatment | Posterior to Fuel Treatment |
| Pine forest | Litter from medium- to long-needle conifers with a shrub understory (M-PIN, 227) or medium- to long-needle conifer litter (F-PIN) | Pine forest litter (F-PIN, 213) |
| Eucalypt forest | Eucalypt litter and a shrub understory (M-EUC, 223), or eucalypt litter (F-EUC, 211) | Harrowed eucalypt stands with litter (M-EUCd, 224) |
| Other broadleaf forest | Evergreen sclerophyllous hardwood litter and understory shrubs (M-ESC, 222), deciduous litter and a shrub understory (M-CAD, 221) | Litter of deciduous or evergreen hardwoods (F-FOL, 212) |
| Other needleleaf forest | Litter from medium- to long-needle conifers with a shrub understory (M-PIN, 227) or medium- to long-needle conifer litter (F-PIN) | Medium- to long-needle conifer litter (F-PIN) |
| Shrublands | Short or tall Mediterranean/Atlantic shrub vegetation (V-MAa, 233; V-MAb, 234; V-MMa, 236); V-MMb, 237); Sparse herbs and shrubs (V-MH, 235) | Sparse herbs and shrubs (V-MH, 235) |
| Grasslands | Tall (V-Ha, 231) or short herbs (V-Hb, 232) | Sparse herbs and shrubs (V-MH, 235) |
| Agroforestry | Evergreen sclerophyllous hardwood litter and understory shrubs (M-ESC, 222) | Sparse herbs and shrubs (V-MH, 235) |
| Slope | Cost (EUR ha−1) |
|---|---|
| <5% | 253 (143–445) |
| 5%–25% | 455 (260–890) |
| >25% | 657 (378–1334) |
| Extent (ha) | ||
|---|---|---|
| % of the Burned Area Treated | Castelo de Bode | Odelouca |
| 5 | 211 | 37 |
| 10 | 414 | 68 |
| 20 | 815 | 130 |
| 30 | 1209 | 192 |
| 40 | 1596 | 252 |

Appendix B




References
- Almansa, C.; Calatrava, J.; Martínez-Paz, J.M. Extending the Framework of the Economic Evaluation of Erosion Control Actions in Mediterranean Basins. Land Use Policy 2012, 29, 294–308. [Google Scholar] [CrossRef]
- Arias-Navarro, C.; Baritz, R.; Jones, A. The State of Soils in Europe; JRC137600; Arias-Navarro, C., Baritz, R., Jones, A., Eds.; Publications Office of the European Union: Luxembourg, 2024. [Google Scholar] [CrossRef]
- Panagos, P.; Matthews, F.; Patault, E.; De Michele, C.; Quaranta, E.; Bezak, N.; Kaffas, K.; Patro, E.R.; Auel, C.; Schleiss, A.J.; et al. Understanding the Cost of Soil Erosion: An Assessment of the Sediment Removal Costs from the Reservoirs of the European Union. J. Clean. Prod. 2024, 434, 140183. [Google Scholar] [CrossRef]
- Vega, J.A.; Diaz-Ferreiros, F. Wildfire Effects on Soil Erosion. Ecol. Mediterr. 1987, 13, 110–125. [Google Scholar]
- Shakesby, R.; Coelho, C.; Ferreira, A.; Terry, J.; Walsh, R. Wildfire Impacts on Soil-Erosion and Hydrology in Wet Mediterranean Forest, Portugal. Int. J. Wildland Fire 1993, 3, 95. [Google Scholar] [CrossRef]
- Shakesby, R.; Doerr, S. Wildfire as a Hydrological and Geomorphological Agent. Earth-Sci. Rev. 2006, 74, 269–307. [Google Scholar] [CrossRef]
- Shakesby, R.A. Post-Wildfire Soil Erosion in the Mediterranean: Review and Future Research Directions. Earth-Sci. Rev. 2011, 105, 71–100. [Google Scholar] [CrossRef]
- Moody, J.A.; Shakesby, R.A.; Robichaud, P.R.; Cannon, S.H.; Martin, D.A. Current Research Issues Related to Post-Wildfire Runoff and Erosion Processes. Earth-Sci. Rev. 2013, 122, 10–37. [Google Scholar] [CrossRef]
- Vega, J.A.; Fontúrbel, T.; Merino, A.; Fernández, C.; Ferreiro, A.; Jiménez, E. Testing the Ability of Visual Indicators of Soil Burn Severity to Reflect Changes in Soil Chemical and Microbial Properties in Pine Forests and Shrubland. Plant Soil 2013, 369, 73–91. [Google Scholar] [CrossRef]
- Robichaud, P.R.; Ashmun, L.E. Tools to Aid Post-Wildfire Assessment and Erosion-Mitigation Treatment Decisions. Int. J. Wildland Fire 2012, 22, 95–105. [Google Scholar] [CrossRef]
- Boer, M.M.; Sadler, R.J.; Wittkuhn, R.S.; McCaw, L.; Grierson, P.F. Long-Term Impacts of Prescribed Burning on Regional Extent and Incidence of Wildfires-Evidence from 50 Years of Active Fire Management in SW Australian Forests. For. Ecol. Manag. 2009, 259, 132–142. [Google Scholar] [CrossRef]
- Elliot, W.J.; Miller, M.E.; Enstice, N. Targeting Forest Management through Fire and Erosion Modelling. Int. J. Wildland Fire 2016, 25, 876–887. [Google Scholar] [CrossRef]
- Fernandes, P.M.; Davies, G.M.; Ascoli, D.; Fernández, C.; Moreira, F.; Rigolot, E.; Stoof, C.R.; Vega, J.A.; Molina, D. Prescribed Burning in Southern Europe: Developing Fire Management in a Dynamic Landscape. Front. Ecol. Environ. 2013, 11, e4–e14. [Google Scholar] [CrossRef]
- Fernández, C.; Vega, J.A.; Fonturbel, T. Shrub Resprouting Response after Fuel Reduction Treatments: Comparison of Prescribed Burning, Clearing and Mastication. J. Environ. Manag. 2013, 117, 235–241. [Google Scholar] [CrossRef] [PubMed]
- Fernández, C.; Vega, J.A.; Fonturbel, T. The Effects of Fuel Reduction Treatments on Runoff, Infiltration and Erosion in Two Shrubland Areas in the North of Spain. J. Environ. Manag. 2012, 105, 96–102. [Google Scholar] [CrossRef] [PubMed]
- Harrison, N.M.; Stubblefield, A.P.; Varner, J.M.; Knapp, E.E. Finding Balance between Fire Hazard Reduction and Erosion Control in the Lake Tahoe Basin, California-Nevada. For. Ecol. Manag. 2016, 360, 40–51. [Google Scholar] [CrossRef]
- Scott, J.; Helmbrecht, D.; Thompson, M.P.; Calkin, D.E.; Marcille, K. Probabilistic Assessment of Wildfire Hazard and Municipal Watershed Exposure. Nat. Hazards 2012, 64, 707–728. [Google Scholar] [CrossRef]
- Thompson, M.; Scott, J.; Langowski, P.; Gilbertson-Day, J.; Haas, J.; Bowne, E. Assessing Watershed-Wildfire Risks on National Forest System Lands in the Rocky Mountain Region of the United States. Water 2013, 5, 945–971. [Google Scholar] [CrossRef]
- Sidman, G.; Guertin, D.P.; Goodrich, D.C.; Thoma, D.; Falk, D.; Burns, I.S. A Coupled Modelling Approach to Assess the Effect of Fuel Treatments on Post-Wildfire Runoff and Erosion. Int. J. Wildland Fire 2016, 25, 351. [Google Scholar] [CrossRef]
- Salis, M.; Del Giudice, L.; Robichaud, P.R.; Ager, A.A.; Canu, A.; Duce, P.; Pellizzaro, G.; Ventura, A.; Alcasena-Urdiroz, F.; Spano, D.; et al. Coupling Wildfire Spread and Erosion Models to Quantify Post-Fire Erosion before and after Fuel Treatments. Int. J. Wildland Fire 2019, 28, 687–703. [Google Scholar] [CrossRef]
- Robichaud, P.R.; Beyers, J.L.; Neary, D.G. Evaluating the Effectiveness of Postfire Rehabilitation Treatments; Gen. Tech. Rep. RMRS-GTR-63; U.S. Department of Agriculture, Forest Service, Rocky Mountain Research Station: Fort Collins, CO, USA, 2000. [CrossRef]
- Robichaud, P.R.; Ashmun, L.E.; Sims, B.D. Post-Fire Treatment Effectiveness for Hillslope Stabilization; Gen. Tech. Rep. RMRS-GTR-240; Department of Agriculture, Forest Service, Rocky Mountain Research Station: Fort Collins, CO, USA, 2010; p. 62.
- Vega, J.A.; Fontúrbel, M.T.; Fernández, C.; Arellano, A.; Díaz-Raviña, M.; Carballas, T.; Martín, A.; González-Prieto, S.; Merino, A.; Benito, E. Acciones Urgentes Contra la Erosión en Áreas Forestales Quemadas: Guía Para su Planificación en Galicia; Universidad de Santiago de Compostela: Santiago de Compostela, Spain, 2013. [Google Scholar]
- Girona-García, A.; Vieira, D.C.S.; Silva, J.; Fernández, C.; Robichaud, P.R.; Keizer, J.J. Effectiveness of Post-Fire Soil Erosion Mitigation Treatments: A Systematic Review and Meta-Analysis. Earth-Sci. Rev. 2021, 217, 103611. [Google Scholar] [CrossRef]
- Prats, S.A.; Wagenbrenner, J.W.; Martins, M.A.S.; Malvar, M.C.; Keizer, J.J. Mid-Term and Scaling Effects of Forest Residue Mulching on Post-Fire Runoff and Soil Erosion. Sci. Total Environ. 2016, 573, 1242–1254. [Google Scholar] [CrossRef] [PubMed]
- Girona-García, A.; Cretella, C.; Fernández, C.; Robichaud, P.R.; Vieira, D.C.S.; Keizer, J.J. How Much Does It Cost to Mitigate Soil Erosion after Wildfires? J. Environ. Manag. 2023, 334, 117478. [Google Scholar] [CrossRef] [PubMed]
- European Commission—New EU Forest Strategy for 2030. Available online: https://eur-lex.europa.eu/resource.html?uri=cellar:0d918e07-e610-11eb-a1a5-01aa75ed71a1.0001.02/DOC_1&format=PDF (accessed on 24 April 2025).
- Mauri, E.; Paredes, E.H.; Blanco, I.N.; Feced, C.G. Key Recommendations on Wildfire Prevention in the Mediterranean: New Governance for a Comprehensive Approach to Mitigating Wildfire Risks. European Forest Institute. 2023. Available online: https://efi.int/sites/default/files/files/publication-bank/2023/Recommendations%20on%20Wildfire%20Prevention%20in%20Mediterranean%202023.pdf (accessed on 24 April 2025).
- AGIF—National Action Plan. Available online: https://www.agif.pt/en/national-action-plan (accessed on 5 May 2024).
- Pais, S.; Aquilué, N.; Honrado, J.P.; Fernandes, P.M.; Regos, A. Optimizing Wildfire Prevention through the Integration of Prescribed Burning into ‘Fire-Smart’ Land-Use Policies. Fire 2023, 6, 457. [Google Scholar] [CrossRef]
- EPAL—Water Production and Transport in Castelo de Bode Water Dam. Available online: https://www.epal.pt/EPAL/menu/%C3%A1gua/sistema-de-abastecimento/sistema-de-produ%C3%A7%C3%A3o-e-transporte (accessed on 24 April 2025).
- ADP—The Odelouca Water Dam. Available online: https://www.aguasdoalgarve.pt/content/barragem-de-odelouca-0 (accessed on 24 April 2025).
- DGT—Portuguese Land Cover and Land Use Map for 2018. Available online: https://www.dgterritorio.gov.pt/Carta-de-Uso-e-Ocupacao-do-Solo-para-2018 (accessed on 24 April 2025).
- ICNF—Aridity Index for Portugal. Available online: https://sig.icnf.pt/portal/home/item.html?id=0b30c87b509440e88968387a9a494046 (accessed on 24 April 2025).
- FAO. IIASA Harmonized World Soil Database Version 2.0; FAO: Rome, Italy; Laxenburg, Austria, 2023. [Google Scholar] [CrossRef]
- Pereira, J.M.C.; Silva, P.C.; Melo, I.; Oom, D.; Baldassarre, G.; Pereira, M.G. Cartografia de Regimes de Fogo à Escala Da Freguesia (1980–2017). 2022. Available online: https://www.agif.pt/app/uploads/2022/05/Relat%C3%B3rio-Regimes-do-Fogo-%C3%A0-escala-da-freguesia-1980_2017_FW_vs_final.pdf (accessed on 24 April 2025).
- ICNF—The Portuguese Fire Atlas (1975–2023). Available online: https://geocatalogo.icnf.pt/catalogo_tema5.html (accessed on 24 April 2025).
- Finney, M.A. Fire Growth Using Minimum Travel Time Methods. Can. J. For. Res. 2002, 32, 1420–1424. [Google Scholar] [CrossRef]
- Finney, M.A. An Overview of FlamMap Fire Modeling Capabilities. Fuels Manag. Meas. Success Conf. Proc. 2006, 41, 213–220. [Google Scholar]
- Rothermel, R.C. A Mathematical Model for Predicting Fire Spread in Wildland Fuels; Intermountain Forest & Range Experiment Station, Forest Service, US Department of Agriculture: Washington, DC, USA, 1972; p. 115.
- Byram, G.M. Combustion of forest fuels. In Forest Fire: Control and Use; Davis, K.P., Ed.; McGraw-Hill: New York, NY, USA, 1959; pp. 61–89. [Google Scholar]
- Alcasena, F.J.; Ager, A.A.; Salis, M.; Day, M.A.; Vega-Garcia, C. Optimizing Prescribed Fire Allocation for Managing Fire Risk in Central Catalonia. Sci. Total Environ. 2018, 621, 872–885. [Google Scholar] [CrossRef]
- Kalabokidis, K.; Palaiologou, P.; Finney, M. Fire Behavior Simulation in Mediterranean Forests Using the Minimum Travel Time Algorithm. In Proceedings of the Fourth Fire Behavior and Fuels Conference Proceedings—At the Crossroads: Looking Toward the Future in a Changing Environment, St. Petersburg, Russia, 1–4 July 2013; International Association of Wildland Fire: Missoula, MT, USA, 2013; pp. 468–492. [Google Scholar]
- Salis, M.; Del Giudice, L.; Jahdi, R.; Alcasena-Urdiroz, F.; Scarpa, C.; Pellizzaro, G.; Bacciu, V.; Schirru, M.; Ventura, A.; Casula, M.; et al. Spatial Patterns and Intensity of Land Abandonment Drive Wildfire Hazard and Likelihood in Mediterranean Agropastoral Areas. Land 2022, 11, 1942. [Google Scholar] [CrossRef]
- Carlson, A.R.; Hawbaker, T.J.; Bair, L.S.; Hoffman, C.M.; Meldrum, J.R.; Baggett, L.S.; Steblein, P.F. Evaluating a Simulation-Based Wildfire Burn Probability Map for the Conterminous US. Int. J. Wildland Fire 2024, 34, 1–16. [Google Scholar] [CrossRef]
- Muñoz-Sabater, J.; Dutra, E.; Agustí-Panareda, A.; Albergel, C.; Arduini, G.; Balsamo, G.; Boussetta, S.; Choulga, M.; Harrigan, S.; Hersbach, H.; et al. ERA5-Land: A State-of-the-Art Global Reanalysis Dataset for Land Applications. Earth Syst. Sci. Data 2021, 13, 4349–4383. [Google Scholar] [CrossRef]
- Aparício, B.A.; Benali, A.; Pereira, J.M.C.; Sá, A.C.L. MTTfireCAL Package for R—An Innovative, Comprehensive, and Fast Procedure to Calibrate the MTT Fire Spread Modelling System. Fire 2023, 6, 219. [Google Scholar] [CrossRef]
- ICNF. Sistema de Gestão de Informação de Incêndios Florestais (Versão1.1 2015). Available online: https://fogos.icnf.pt/sgif2010/ (accessed on 24 April 2025).
- Lawrence, M.G. The Relationship between Relative Humidity and the Dewpoint Temperature in Moist Air: A Simple Conversion and Applications. Bull. Am. Meteorol. Soc. 2005, 86, 225–233. [Google Scholar] [CrossRef]
- Farr, T.G.; Rosen, P.A.; Caro, E.; Crippen, R.; Duren, R.; Hensley, S.; Kobrick, M.; Paller, M.; Rodriguez, E.; Roth, L.; et al. The Shuttle Radar Topography Mission. Rev. Geophys. 2007, 45. [Google Scholar] [CrossRef]
- Copernicus Land Monitoring Service—High-resolution layer: Tree cover density. Copernicus Land Monitoring Service. Available online: https://land.copernicus.eu/en/products/high-resolution-layer-tree-cover-density (accessed on 24 April 2025).
- Fernandes, P.; Gonçalves, H.; Loureiro, C.; Fernandes, M.; Costa, T.; Cruz, M.G.; Botelho, H. Modelos de combustível florestal para Portugal” in Actas do. 6º Congresso Florestal Nacional; SPCF: Lisboa, Portugal, 2009; pp. 348–354. [Google Scholar]
- Sá, A.C.L.; Benali, A.; Aparicio, B.A.; Bruni, C.; Mota, C.; Pereira, J.M.C.; Fernandes, P.M. A Method to Produce a Flexible and Customized Fuel Models Dataset. MethodsX 2023, 10, 102218. [Google Scholar] [CrossRef]
- Renard, K.G. Predicting Soil Erosion by Water: A Guide to Conservation Planning with the Revised Universal Soil Loss Equation (RUSLE); US Department of Agriculture, Agricultural Research Service: Washington, DC, USA, 1997.
- Panagos, P.; Ballabio, C.; Borrelli, P.; Meusburger, K.; Klik, A.; Rousseva, S.; Tadić, M.P.; Michaelides, S.; Hrabalíková, M.; Olsen, P.; et al. Rainfall Erosivity in Europe. Sci. Total Environ. 2015, 511, 801–814. [Google Scholar] [CrossRef] [PubMed]
- Panagos, P.; Meusburger, K.; Ballabio, C.; Borrelli, P.; Alewell, C. Soil Erodibility in Europe: A High-Resolution Dataset Based on LUCAS. Sci. Total Environ. 2014, 479–480, 189–200. [Google Scholar] [CrossRef] [PubMed]
- Panagos, P.; Borrelli, P.; Meusburger, K. A New European Slope Length and Steepness Factor (LS-Factor) for Modeling Soil Erosion by Water. Geosciences 2015, 5, 117–126. [Google Scholar] [CrossRef]
- Fernández, C.; Vega, J.A.; Vieira, D.C.S. Assessing Soil Erosion after Fire and Rehabilitation Treatments in NW Spain: Performance of Rusle and Revised Morgan-Morgan-Finney Models. L. Degrad. Dev. 2010, 21, 58–67. [Google Scholar] [CrossRef]
- Vieira, D.C.S.; Serpa, D.; Nunes, J.P.C.; Prats, S.A.; Neves, R.; Keizer, J.J. Predicting the Effectiveness of Different Mulching Techniques in Reducing Post-Fire Runoff and Erosion at Plot Scale with the RUSLE, MMF and PESERA Models. Environ. Res. 2018, 165, 365–378. [Google Scholar] [CrossRef]
- Blake, D.; Nyman, P.; Nice, H.; D’souza, F.M.L.; Kavazos, C.R.J.; Horwitz, P. Assessment of Post-Wildfire Erosion Risk and Effects on Water Quality in South-Western Australia. Int. J. Wildland Fire 2020, 29, 240–257. [Google Scholar] [CrossRef]
- Tedim, F.; Leone, V.; Amraoui, M.; Bouillon, C.; Coughlan, M.R.; Delogu, G.M.; Fernandes, P.M.; Ferreira, C.; McCaffrey, S.; McGee, T.K.; et al. Defining Extreme Wildfire Events: Difficulties, Challenges, and Impacts. Fire 2018, 1, 9. [Google Scholar] [CrossRef]
- Keizer, J.J.; Silva, F.C.; Vieira, D.C.S.; González-Pelayo, O.; Campos, I.; Vieira, A.M.D.; Valente, S.; Prats, S.A. The Effectiveness of Two Contrasting Mulch Application Rates to Reduce Post-Fire Erosion in a Portuguese Eucalypt Plantation. Catena 2018, 169, 21–30. [Google Scholar] [CrossRef]
- González-Pelayo, O.; Prats, S.A.; Vieira, A.M.D.; Vieira, D.C.S.; Maia, P.; Keizer, J.J. Impacts of Barley (Hordeum vulgare L.) Straw Mulch on Post-Fire Soil Erosion and Ground Vegetation Recovery in a Strawberry Tree (Arbutus unedo L.) Stand. Ecol. Eng. 2023, 195, 107074. [Google Scholar] [CrossRef]
- Day, M.A.; Ager, A.A.; Houtman, R.M.; Evers, C.R. Prioritizing Restoration and Risk Reduction Landscape Projects with the ForSys Planning System; Gen. Tech. Rep. RMRS-GTR-437; US Department of Agriculture, Forest Service, Rocky Mountain Research Station: Fort Collins, CO, USA, 2023; p. 55.
- Ager, A. Improving the Evaluation of Spatial Optimization Models for Prioritizing Landscape Restoration and Wildfire Risk Reduction Investments. J. Environ. Manag. 2024, 360, 121001. [Google Scholar] [CrossRef]
- Benali, A.; Sá, A.C.L.L.; Pinho, J.; Fernandes, P.M.; Pereira, J.M.C.C. Understanding the Impact of Different Landscape-Level Fuel Management Strategies on Wildfire Hazard. Forests 2021, 12, 522. [Google Scholar] [CrossRef]
- CAOF. Matriz de Beneficiação 2022: Direção-Geral de Agricultura e Desenvolvimento Rural. Available online: https://www.icnf.pt/imprensa/tabelasdereferenciadacaof (accessed on 24 April 2025).
- Grossi, P.; Kunreuther, H.; Patel, C.C. (Eds.) A new approach to managing risk. In Catastrophe Modeling; Springer Science & Business Media: Berlin, Germany, 2005; Volume 25. [Google Scholar]
- Kastridis, A.; Stathis, D.; Sapountzis, M.; Theodosiou, G. Insect Outbreak and Long-Term Post-Fire Effects on Soil Erosion in Mediterranean Suburban Forest. Land 2022, 11, 911. [Google Scholar] [CrossRef]
- Pausas, J.G.; Llovet, J.; Rodrigo, A.; Vallejo, R. Are Wildfires a Disaster in the Mediterranean Basin?—A Review. Int. J. Wildland Fire 2008, 17, 713. [Google Scholar] [CrossRef]
- Vieira, D.C.S.; Borrelli, P.; Jahanianfard, D.; Benali, A.; Scarpa, S.; Panagos, P. Wildfires in Europe: Burned Soils Require Attention. Environ. Res. 2023, 217, 114936. [Google Scholar] [CrossRef]
- Parente, J.; Girona-García, A.; Lopes, A.R.; Keizer, J.J.; Vieira, D.C.S. Prediction, Validation, and Uncertainties of a Nation-Wide Post-Fire Soil Erosion Risk Assessment in Portugal. Sci. Rep. 2022, 12, 1–13. [Google Scholar] [CrossRef]
- Ager, A.A.; Finney, M.A.; Kerns, B.K.; Maffei, H. Modeling Wildfire Risk to Northern Spotted Owl (Strix Occidentalis Caurina) Habitat in Central Oregon, USA. For. Ecol. Manag. 2007, 246, 45–56. [Google Scholar] [CrossRef]
- Buckley, M.; Beck, N.; Bowden, P.; Miller, M.E.; Hill, B.; Luce, C.; Elliot, W.J.; Enstice, N.; Podolak, K.; Winford, E.; et al. Report Prepared for the Sierra Nevada Conservancy, The Nature Conservancy, and USDA Forest Service. In Mokelumne Watershed Avoided Cost Analysis: Why Sierra Fuel Treatments Make Economic Sense; Sierra Nevada Conservancy: Auburn, CA, USA, 2014. Available online: https://burneyhatcreek.opennrm.org/assets/84670bf8b31a2179035739f517d1f959/application/pdf/MACA_Full_Report.pdf (accessed on 3 April 2025).
- Robichaud, P.R.; Elliot, W.J.; Pierson, F.B.; Hall, D.E.; Moffet, C.A. Predicting Postfire Erosion and Mitigation Effectiveness with a Web-Based Probabilistic Erosion Model. CATENA 2007, 71, 229–241. [Google Scholar] [CrossRef]
- Arnold, J.G.; Srinivasan, R.; Muttiah, R.S.; Williams, J.R. Large Area Hydrologic Modeling and Assessment. Part 1: Model Development. JAWRA J. Am. Water Resour. Assoc. 1998, 34, 73–89. [Google Scholar] [CrossRef]
- Morgan, R.P. A Simple Approach to Soil Loss Prediction: A Revised Morgan–Morgan–Finney Model. CATENA 2001, 44, 305–322. [Google Scholar] [CrossRef]
- Panagos, P.; Borrelli, P.; Meusburger, K.; Alewell, C.; Lugato, E.; Montanarella, L. Estimating the Soil Erosion Cover-Management Factor at the European Scale. Land Use Policy 2015, 48, 38–50. [Google Scholar] [CrossRef]
- Panagos, P.; Borrelli, P.; Meusburger, K.; van der Zanden, E.H.; Poesen, J.; Alewell, C. Modelling the Effect of Support Practices (P-Factor) on the Reduction of Soil Erosion by Water at European Scale. Environ. Sci. Policy 2015, 51, 23–34. [Google Scholar] [CrossRef]
- Panagos, P.; Ballabio, C.; Poesen, J.; Lugato, E.; Scarpa, S.; Montanarella, L.; Borrelli, P. A Soil Erosion Indicator for Supporting Agricultural, Environmental and Climate Policies in the European Union. Remote Sens. 2020, 12, 1365. [Google Scholar] [CrossRef]








| Fireline Intensity (kW m−1) | Flame Length (m) | Burn Severity |
|---|---|---|
| <500 | <1.5 | Low |
| 500–2000 | 1.5–2.5 | Moderate |
| >2000 | >2.5 | High |
| Non-Forest | Forest | |||
|---|---|---|---|---|
| Slope | Effectiveness (%) | Cost (EUR ha−1) | Effectiveness (%) | Cost (EUR ha−1) |
| 5%–25% | 63 | 2350 | 67 | 2491 (846–4136) |
| >25% | 86 | 2726 | 71 | 2961 (1034–4888) |
Disclaimer/Publisher’s Note: The statements, opinions and data contained in all publications are solely those of the individual author(s) and contributor(s) and not of MDPI and/or the editor(s). MDPI and/or the editor(s) disclaim responsibility for any injury to people or property resulting from any ideas, methods, instructions or products referred to in the content. |
© 2025 by the authors. Licensee MDPI, Basel, Switzerland. This article is an open access article distributed under the terms and conditions of the Creative Commons Attribution (CC BY) license (https://creativecommons.org/licenses/by/4.0/).
Share and Cite
Benali, A.; Benhalima, Y.; Aparício, B.; Timilsina, S.; Keizer, J.; Ager, A. Comparing Pre- and Post-Fire Strategies to Mitigate Wildfire-Induced Soil Erosion in Two Mediterranean Watersheds. Forests 2025, 16, 1202. https://doi.org/10.3390/f16081202
Benali A, Benhalima Y, Aparício B, Timilsina S, Keizer J, Ager A. Comparing Pre- and Post-Fire Strategies to Mitigate Wildfire-Induced Soil Erosion in Two Mediterranean Watersheds. Forests. 2025; 16(8):1202. https://doi.org/10.3390/f16081202
Chicago/Turabian StyleBenali, Akli, Yacine Benhalima, Bruno Aparício, Sandeep Timilsina, Jacob Keizer, and Alan Ager. 2025. "Comparing Pre- and Post-Fire Strategies to Mitigate Wildfire-Induced Soil Erosion in Two Mediterranean Watersheds" Forests 16, no. 8: 1202. https://doi.org/10.3390/f16081202
APA StyleBenali, A., Benhalima, Y., Aparício, B., Timilsina, S., Keizer, J., & Ager, A. (2025). Comparing Pre- and Post-Fire Strategies to Mitigate Wildfire-Induced Soil Erosion in Two Mediterranean Watersheds. Forests, 16(8), 1202. https://doi.org/10.3390/f16081202

