Reduced Precipitation Alters Soil Nutrient Dynamics by Regulating the Chemical Properties of Deadwood Substrates
Abstract
1. Introduction
2. Materials and Methods
2.1. Research Site
2.2. Experiment Design
2.3. Sample Collection and Determination
2.4. Data Analysis
3. Results
3.1. Effects of Reduced Precipitation on the Chemical Properties of Deadwood Substrates
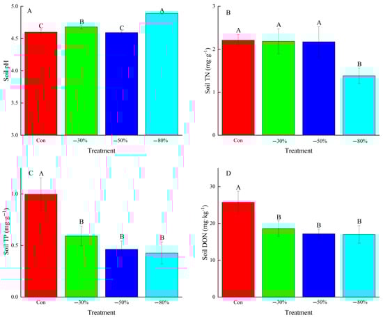
3.2. Effects of Reduced Precipitation on Soil Nutrient Content
3.3. Relationship Between Deadwood Substrate Chemistry and Soil Nutrient Content Under Precipitation Reduction
4. Discussion
4.1. Mechanisms by Which Reduced Precipitation Regulates the Chemical Properties of Deadwood Substrates
4.2. Feedback of Deadwood Substrate Decomposition on Soil Nutrient Dynamics Under Reduced Precipitation
4.3. Mechanistic Pathways by Which Reduced Precipitation Regulates Soil Nutrient Dynamics via Deadwood Chemistry
5. Conclusions
- (1)
- Soil Water Content Control of Deadwood Substrate Chemistry Properties
- (2)
- Feedback of Deadwood Chemical Changes on Soil Nutrient Pools
Author Contributions
Funding
Data Availability Statement
Conflicts of Interest
References
- Knapp, A.K.; Beier, C.; Briske, D.D.; Classen, A.T.; Luo, Y.; Reichstein, M.; Smith, M.D.; Smith, S.D.; Bell, J.E.; Fay, P.A.; et al. Consequences of More Extreme Precipitation Regimes for Terrestrial Ecosystems. BioScience 2008, 58, 811–821. [Google Scholar] [CrossRef]
- Adnan, M.; Badi, W.; Dereczynski, C.; Di Luca, A.; Ghosh, S.; Iskandar, I.; Kossin, J.; Lewis, S.; Otto, F.; Pinto, I.; et al. Weather and Climate Extreme Events in a Changing Climate. In Climate Change 2021—The Physical Science Basis: Working Group I Contribution to the Sixth Assessment Report of the Intergovernmental Panel on Climate Change; Intergovernmental Panel on Climate Change (IPCC); Cambridge University Press: Cambridge, MA, USA, 2023; pp. 1513–1766. ISBN 978-1-009-15788-9. [Google Scholar]
- Allen, C.D.; Macalady, A.K.; Chenchouni, H.; Bachelet, D.; McDowell, N.; Vennetier, M.; Kitzberger, T.; Rigling, A.; Breshears, D.D.; Hogg, E.H.; et al. A Global Overview of Drought and Heat-Induced Tree Mortality Reveals Emerging Climate Change Risks for Forests. For. Ecol. Manag. 2010, 259, 660–684. [Google Scholar] [CrossRef]
- Dijkstra, F.A.; Pendall, E.; Morgan, J.A.; Blumenthal, D.M.; Carrillo, Y.; LeCain, D.R.; Follett, R.F.; Williams, D.G. Climate Change Alters Stoichiometry of Phosphorus and Nitrogen in a Semiarid Grassland. New Phytol. 2012, 196, 807–815. [Google Scholar] [CrossRef] [PubMed]
- Vicca, S.; Bahn, M.; Estiarte, M.; van Loon, E.E.; Vargas, R.; Alberti, G.; Ambus, P.; Arain, M.A.; Beier, C.; Bentley, L.P.; et al. Can Current Moisture Responses Predict Soil CO2 Efflux under Altered Precipitation Regimes? A Synthesis of Manipulation Experiments. Biogeosciences 2014, 11, 2991–3013. [Google Scholar] [CrossRef]
- Ferreira, V.; Graça, M.A.S.; Elosegi, A. A Meta-Analysis of Drought Effects on Litter Decomposition in Streams. Hydrobiologia 2023, 850, 1715–1735. [Google Scholar] [CrossRef]
- Wu, Q.; Peñuelas, J.; Yue, K.; Zhou, Z.; Peng, Y.; Heděnec, P.; Zhang, H.; Ji, Y.; Ma, N.; Chang, S.X.; et al. Asymmetric Responses of Litter Decomposition to Altered Precipitation: Double Evidence from Field Experiments and Global Synthesis. TIG 2025, 3, 100117. [Google Scholar] [CrossRef]
- Bradford, M.A.; Warren II, R.J.; Baldrian, P.; Crowther, T.W.; Maynard, D.S.; Oldfield, E.E.; Wieder, W.R.; Wood, S.A.; King, J.R. Climate Fails to Predict Wood Decomposition at Regional Scales. Nat. Clim. Change 2014, 4, 625–630. [Google Scholar] [CrossRef]
- Magnússon, R.Í.; Tietema, A.; Cornelissen, J.H.C.; Hefting, M.M.; Kalbitz, K. Tamm Review: Sequestration of Carbon from Coarse Woody Debris in Forest Soils. For. Ecol. Manag. 2016, 377, 1–15. [Google Scholar] [CrossRef]
- Talbot, J.M.; Yelle, D.J.; Nowick, J.; Treseder, K.K. Litter Decay Rates Are Determined by Lignin Chemistry. Biogeochemistry 2012, 108, 279–295. [Google Scholar] [CrossRef]
- Kaspari, M.; Garcia, M.N.; Harms, K.E.; Santana, M.; Wright, S.J.; Yavitt, J.B. Multiple Nutrients Limit Litterfall and Decomposition in a Tropical Forest. Ecol. Lett. 2008, 11, 35–43. [Google Scholar] [CrossRef]
- Manzoni, S.; Schimel, J.P.; Porporato, A. Responses of Soil Microbial Communities to Water Stress: Results from a Meta-analysis. Ecology 2012, 93, 930–938. [Google Scholar] [CrossRef]
- Van Geffen, K.G.; Poorter, L.; Sass-Klaassen, U.; Van Logtestijn, R.S.P.; Cornelissen, J.H.C. The Trait Contribution to Wood Decomposition Rates of 15 Neotropical Tree Species. Ecology 2010, 91, 3686–3697. [Google Scholar] [CrossRef] [PubMed]
- Wang, Q.; Wang, S.; Huang, Y. Comparisons of Litterfall, Litter Decomposition and Nutrient Return in a Monoculture Cunninghamia Lanceolata and a Mixed Stand in Southern China. For. Ecol. Manag. 2008, 255, 1210–1218. [Google Scholar] [CrossRef]
- Gao, S.; Cai, Z.-Y.; Yang, C.-C.; Luo, J.-X.; Zhang, S. Provenance-Specific Ecophysiological Responses to Drought in Cunninghamia Lanceolata. J. Plant Ecol. 2021, 14, 1060–1072. [Google Scholar] [CrossRef]
- Floudas, D.; Binder, M.; Riley, R.; Barry, K.; Blanchette, R.A.; Henrissat, B.; Martínez, A.T.; Otillar, R.; Spatafora, J.W.; Yadav, J.S.; et al. The Paleozoic Origin of Enzymatic Lignin Decomposition Reconstructed from 31 Fungal Genomes. Science 2012, 336, 6089. [Google Scholar] [CrossRef]
- Borken, W.; Matzner, E. Reappraisal of Drying and Wetting Effects on C and N Mineralization and Fluxes in Soils. Glob. Change Biol. 2009, 15, 808–824. [Google Scholar] [CrossRef]
- Peng, L.; Hao, G.; Liu, H.; Shen, H.; Zhou, X.; Zang, Y.; Zhang, J.; Zhang, Y. Impacts of Groundwater Depth and Tree Age on the Non-Structural Carbohydrates of Haloxylon Ammodendron. Plant Stress 2024, 14, 100659. [Google Scholar] [CrossRef]
- Hao, B.; Hartmann, H.; Li, Y.; Liu, H.; Shi, F.; Yu, K.; Li, X.; Li, Z.; Wang, P.; Allen, C.D.; et al. Precipitation Gradient Drives Divergent Relationship between Non-Structural Carbohydrates and Water Availability in Pinus Tabulaeformis of Northern China. Forests 2021, 12, 133. [Google Scholar] [CrossRef]
- Yang, H.; Ciais, P.; Chave, J.; Huang, Y.; Ballantyne, A.; Yu, K.; Berzaghi, F.; Wigneron, J.-P. Coarse Woody Debris Are Buffering Mortality-Induced Carbon Losses to the Atmosphere in Tropical Forests. Environ. Res. Lett. 2021, 16, 011006. [Google Scholar] [CrossRef]
- Tláskal, V.; Brabcová, V.; Větrovský, T.; Jomura, M.; López-Mondéjar, R.; Oliveira Monteiro, L.M.; Saraiva, J.P.; Human, Z.R.; Cajthaml, T.; Nunes da Rocha, U.; et al. Complementary Roles of Wood-Inhabiting Fungi and Bacteria Facilitate Deadwood Decomposition. mSystems 2021, 6, 1128. [Google Scholar] [CrossRef]
- Harmon, M.E.; Franklin, J.F.; Swanson, F.J.; Sollins, P.; Gregory, S.V.; Lattin, J.D.; Anderson, N.H.; Cline, S.P.; Aumen, N.G.; Sedell, J.R.; et al. Ecology of Coarse Woody Debris in Temperate Ecosystems. Adv. Ecol. Res. 1986, 15, 133–302. [Google Scholar] [CrossRef]
- López-Mondéjar, R.; Zühlke, D.; Becher, D.; Riedel, K.; Baldrian, P. Cellulose and Hemicellulose Decomposition by Forest Soil Bacteria Proceeds by the Action of Structurally Variable Enzymatic Systems. Sci. Rep. 2016, 6, 25279. [Google Scholar] [CrossRef]
- Schimel, J.P. Life in Dry Soils: Effects of Drought on Soil Microbial Communities and Processes. Annu. Rev. Ecol. Evol. Syst. 2018, 49, 409–432. [Google Scholar] [CrossRef]
- Wild, B.; Schnecker, J.; Alves, R.J.E.; Barsukov, P.; Bárta, J.; Čapek, P.; Gentsch, N.; Gittel, A.; Guggenberger, G.; Lashchinskiy, N.; et al. Input of Easily Available Organic C and N Stimulates Microbial Decomposition of Soil Organic Matter in Arctic Permafrost Soil. Soil Biol. Biochem. 2014, 75, 143–151. [Google Scholar] [CrossRef] [PubMed]
- Chen, T.; Meunier, F.; Peaucelle, M.; Tang, G.; Yuan, Y.; Verbeeck, H. Elevated Atmospheric CO2 Concentration and Vegetation Structural Changes Contributed to Gross Primary Productivity Increase More than Climate and Forest Cover Changes in Subtropical Forests of China. Biogeosciences 2024, 21, 2253–2272. [Google Scholar] [CrossRef]
- Rowland, A.P.; Roberts, J.D. Lignin and Cellulose Fractionation in Decomposition Studies Using Acid-detergent Fibre Methods. Commun. Soil Sci. Plant Anal. 1994, 25, 269–277. [Google Scholar] [CrossRef]
- Liang, K.; Fan, Y.; Feng, H.; Tan, T.; Shi, J. Concentration and Distribution Pattern of Non-Structural Carbohydrate of Phyllostachys Glauca in Different Limestone Habitats. Sci. Silvae Sin. 2019, 55, 22–27. [Google Scholar]
- Vance, E.D.; Brookes, P.C.; Jenkinson, D.S. An Extraction Method for Measuring Soil Microbial Biomass C. Soil Biol. Biochem. 1987, 19, 703–707. [Google Scholar] [CrossRef]
- Davidson, E.A.; Verchot, L.V.; Cattânio, J.H.; Ackerman, I.L.; Carvalho, J.E.M. Effects of Soil Water Content on Soil Respiration in Forests and Cattle Pastures of Eastern Amazonia. Biogeochemistry 2000, 48, 53–69. [Google Scholar] [CrossRef]
- Mäkelä, M.R.; Sietiö, O.-M.; De Vries, R.P.; Timonen, S.; Hildén, K. Oxalate-Metabolising Genes of the White-Rot Fungus Dichomitus Squalens Are Differentially Induced on Wood and at High Proton Concentration. PLoS ONE 2014, 9, e87959. [Google Scholar] [CrossRef]
- Hofrichter, M. Review: Lignin Conversion by Manganese Peroxidase (MnP). Enzym. Microb. Technol. 2002, 30, 454–466. [Google Scholar] [CrossRef]
- Weedon, J.T.; Cornwell, W.K.; Cornelissen, J.H.C.; Zanne, A.E.; Wirth, C.; Coomes, D.A. Global Meta-Analysis of Wood Decomposition Rates: A Role for Trait Variation among Tree Species? Ecol. Lett. 2009, 12, 45–56. [Google Scholar] [CrossRef] [PubMed]
- Baldrian, P. Fungal Laccases—Occurrence and Properties. FEMS Microbiol. Rev. 2006, 30, 215–242. [Google Scholar] [CrossRef] [PubMed]
- Peltier, D.M.P.; Carbone, M.S.; McIntire, C.D.; Robertson, N.; Thompson, R.A.; Malone, S.; LeMoine, J.; Richardson, A.D.; McDowell, N.G.; Adams, H.D.; et al. Carbon Starvation Following a Decade of Experimental Drought Consumes Old Reserves in Pinus Edulis. New Phytol. 2023, 240, 92–104. [Google Scholar] [CrossRef] [PubMed]
- Hoover, D.L.; Rogers, B.M. Not All Droughts Are Created Equal: The Impacts of Interannual Drought Pattern and Magnitude on Grassland Carbon Cycling. Glob. Change Biol. 2016, 22, 1809–1820. [Google Scholar] [CrossRef]
- Austin, A.T.; Ballaré, C.L. Dual Role of Lignin in Plant Litter Decomposition in Terrestrial Ecosystems. Proc. Natl. Acad. Sci. USA 2010, 107, 4618–4622. [Google Scholar] [CrossRef]
- Borken, W.; Davidson, E.A.; Savage, K.; Gaudinski, J.; Trumbore, S.E. Drying and Wetting Effects on Carbon Dioxide Release from Organic Horizons. Soil Sci. Soc. Am. J. 2003, 67, 1888–1896. [Google Scholar] [CrossRef]
- Blagodatskaya, E.; Kuzyakov, Y. Active Microorganisms in Soil: Critical Review of Estimation Criteria and Approaches. Soil Biol. Biochem. 2013, 67, 192–211. [Google Scholar] [CrossRef]
- Sinsabaugh, R.L.; Lauber, C.L.; Weintraub, M.N.; Ahmed, B.; Allison, S.D.; Crenshaw, C.; Contosta, A.R.; Cusack, D.; Frey, S.; Gallo, M.E.; et al. Stoichiometry of Soil Enzyme Activity at Global Scale. Ecol. Lett. 2008, 11, 1252–1264. [Google Scholar] [CrossRef]
- Sardans, J.; Peñuelas, J.; Ogaya, R. Drought-Induced Changes in C and N Stoichiometry in a Quercus Ilex Mediterranean Forest. For. Sci. 2008, 54, 513–522. [Google Scholar] [CrossRef]
- Bolan, N.S.; Adriano, D.C.; Curtin, D. Soil Acidification and Liming Interactions with Nutrientand Heavy Metal Transformationand Bioavailability. Adv. Agron. 2003, 78, 215–272. [Google Scholar]
- Stark, J.M.; Firestone, M.K. Mechanisms for Soil Moisture Effects on Activity of Nitrifying Bacteria. Appl. Environ. Microbiol. 1995, 61, 218–221. [Google Scholar] [CrossRef] [PubMed]
- Schimel, J.; Balser, T.C.; Wallenstein, M. Microbial Stress-Response Physiology and Its Implications for Ecosystem Function. Ecology 2007, 88, 1386–1394. [Google Scholar] [CrossRef] [PubMed]
- Lodge, D.J.; Van Beusekom, A.E.; González, G.; Sánchez-Julia, M.; Stankavich, S. Disturbance Reduces Fungal White-Rot Litter Mat Cover in a Wet Subtropical Forest. Ecosphere 2022, 13, e3936. [Google Scholar] [CrossRef]
- Gessler, A.; Schaub, M.; McDowell, N.G. The Role of Nutrients in Drought-Induced Tree Mortality and Recovery. New Phytol. 2017, 214, 513–520. [Google Scholar] [CrossRef]
- Lajtha, K.; Bowden, R.D.; Crow, S.; Fekete, I.; Kotroczó, Z.; Plante, A.; Simpson, M.J.; Nadelhoffer, K.J. The Detrital Input and Removal Treatment (DIRT) Network: Insights into Soil Carbon Stabilization. Sci. Total Environ. 2018, 640, 1112–1120. [Google Scholar] [CrossRef]











| Experimental Materials | pH | TOC (g·kg−1) | TN (g·kg−1) | TP (g·kg−1) | DOC (mg·kg−1) | DON (mg·kg−1) | MBC (mg·kg−1) |
|---|---|---|---|---|---|---|---|
| Soil | 4.95 ± 0.05 | 37.49 ± 2.80 | 1.60 ± 0.10 | 0.48 ± 0.03 | 179.93 ± 4.44 | 18.20 ± 0.69 | 107.46 ± 4.50 |
| Experimental Materials | Density (g·cm−3) | pH | TOC (g·kg−1) | TN (g·kg−1) | TP (g·kg−1) | Lignin (mg·g−1) | Cellulose (g·kg−1) | Soluble Sugar (mg·g−1) | Starch (mg·g−1) |
|---|---|---|---|---|---|---|---|---|---|
| Cunninghamia lanceolata | 0.40 ± 0.01 | 5.48 ± 0.06 | 546.60 ± 33.30 | 2.74 ± 0.07 | 0.80 ± 0.050 | 329.20 ± 27.80 | 11.25 ± 1.20 | 35.24 ± 2.11 | 55.28 ± 3.12 |
| Treatment | Average Soil Water Content (%) |
|---|---|
| Con | 24.27 ± 0.50 A |
| −30% | 22.37 ± 0.94 B |
| −50% | 18.27 ± 0.51 C |
| −80% | 12.81 ± 0.49 D |
Disclaimer/Publisher’s Note: The statements, opinions and data contained in all publications are solely those of the individual author(s) and contributor(s) and not of MDPI and/or the editor(s). MDPI and/or the editor(s) disclaim responsibility for any injury to people or property resulting from any ideas, methods, instructions or products referred to in the content. |
© 2025 by the authors. Licensee MDPI, Basel, Switzerland. This article is an open access article distributed under the terms and conditions of the Creative Commons Attribution (CC BY) license (https://creativecommons.org/licenses/by/4.0/).
Share and Cite
Luo, L.; Yuan, X.; Wu, C.; Zong, D.; Zhong, X.; Lin, K.; Li, L.; Yang, B.; Han, X.; Luo, C.; et al. Reduced Precipitation Alters Soil Nutrient Dynamics by Regulating the Chemical Properties of Deadwood Substrates. Forests 2025, 16, 1112. https://doi.org/10.3390/f16071112
Luo L, Yuan X, Wu C, Zong D, Zhong X, Lin K, Li L, Yang B, Han X, Luo C, et al. Reduced Precipitation Alters Soil Nutrient Dynamics by Regulating the Chemical Properties of Deadwood Substrates. Forests. 2025; 16(7):1112. https://doi.org/10.3390/f16071112
Chicago/Turabian StyleLuo, Laicong, Xi Yuan, Chunsheng Wu, Dehuan Zong, Xueying Zhong, Kang Lin, Long Li, Bingxu Yang, Xuejiao Han, Chao Luo, and et al. 2025. "Reduced Precipitation Alters Soil Nutrient Dynamics by Regulating the Chemical Properties of Deadwood Substrates" Forests 16, no. 7: 1112. https://doi.org/10.3390/f16071112
APA StyleLuo, L., Yuan, X., Wu, C., Zong, D., Zhong, X., Lin, K., Li, L., Yang, B., Han, X., Luo, C., Deng, W., Li, S., & Liu, Y. (2025). Reduced Precipitation Alters Soil Nutrient Dynamics by Regulating the Chemical Properties of Deadwood Substrates. Forests, 16(7), 1112. https://doi.org/10.3390/f16071112
