Exploring the Variability in Rill Detachment Capacity as Influenced by Different Fire Intensities in a Semi-Arid Environment
Abstract
1. Introduction
2. Materials and Methods
2.1. Study Area
2.2. Fire Intensity Categorization
2.3. Soil Sampling and Analyses
2.4. Flume Experiments to Measure Rill Detachment Capacity
2.5. Measurement of Soil Physical and Chemical Characteristics
2.6. Statistical Analysis
3. Results
3.1. Effects of Fire on Soil Characteristics
3.2. Rill Detachment Capacity
3.3. Correlation Analysis of Soil Characteristics
3.4. Modeling Rill Detachment Capacity Using Soil Properties
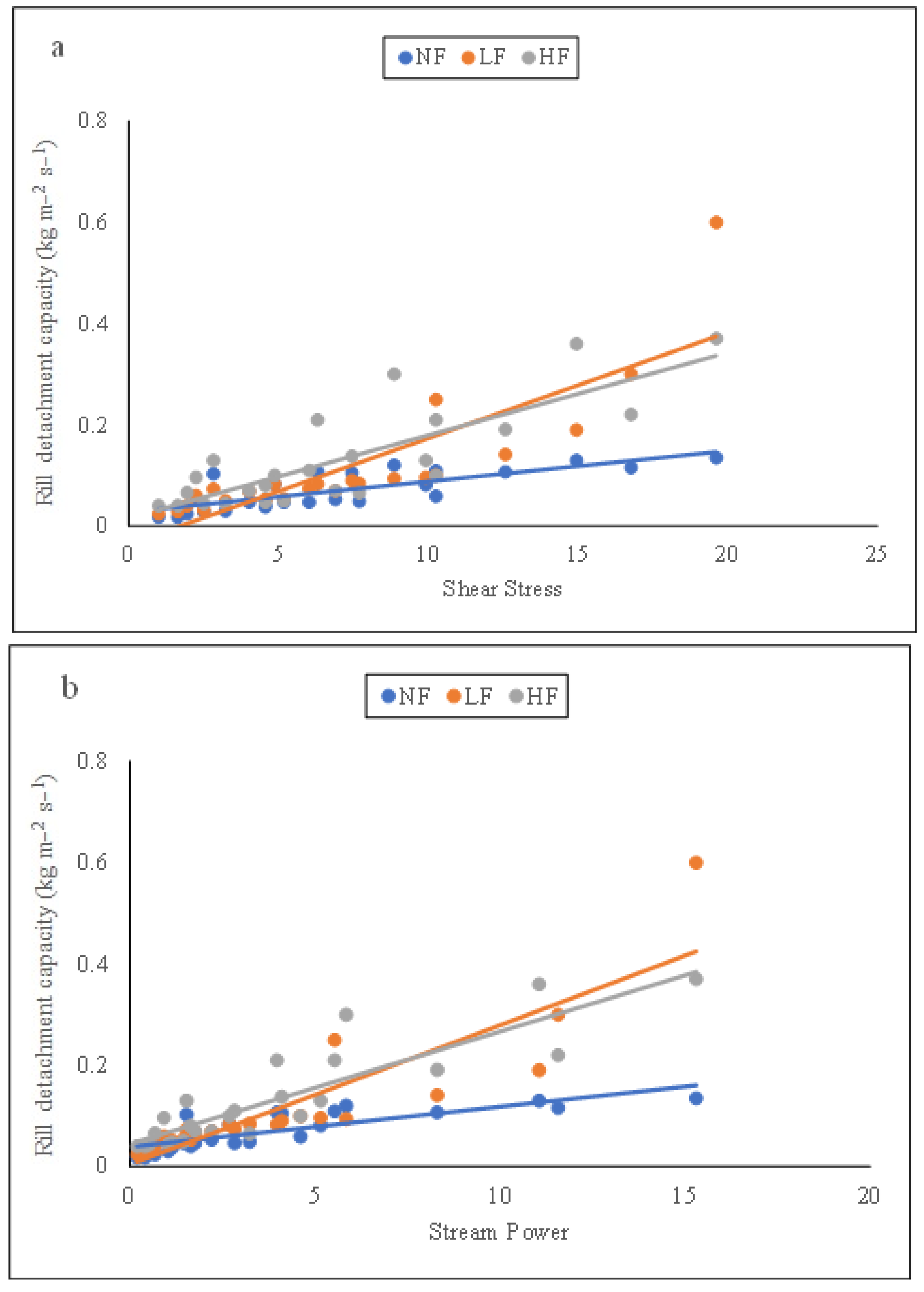
3.5. Relationships Between Rill Detachment Capacity and Hydraulic Parameters
4. Discussion
4.1. Changes in Soil Properties with Fire Intensity
4.2. Impact of Soil Properties on Rill Detachment Capacity
4.3. Hydraulic Parameters and Predictive Model for Predicting Rill Detachment Capacity
4.4. Implications for Soil Erosion Management
5. Conclusions
Author Contributions
Funding
Data Availability Statement
Acknowledgments
Conflicts of Interest
References
- Lucas-Borja, M.E.; Jing, X.; Van Stan, J.T., II; Plaza-Álvarez, P.A.; Gonzalez-Romero, J.; Pena, E.; Moya, D.; Zema, D.A.; de las Heras, J. Changes in soil functionality eight years after fire and post-fire hillslope stabilisation in Mediterranean forest ecosystems. Geoderma 2022, 409, 115603. [Google Scholar] [CrossRef]
- Parhizkar, M.; Lucas-Borja, M.E.; Denisi1, P.; Zema, D.A. Effects of repeated low-severity fires on particle detachment capacity and soil properties in rills of semi-arid forests. Land Degrad. Dev. 2025, in press. [Google Scholar] [CrossRef]
- Ben-Hur, M.; Fernandez, C.; Sarkkola, S.; Cerezal, J.C.S. Overland flow, soil erosion, and stream water quality in forest under different perturbations and climate conditions. In Forest Management and the Water Cycle, Ecological Studies; Bredemeier, M., Cohen, S., Godbold, D.L., Lode, E., Pichler, V., Schleppi, P., Eds.; Springer: Dordrecht, The Netherlands, 2011; pp. 263–289. [Google Scholar]
- Parhizkar, M.; Shabanpour, M.; Khaledian, M.; Cerdà, A.; Rose, C.; Asadi, H.; Lucas-Borja, M.E.; Zema, D.A. Assessing and Modeling Rill detachment capacity by Overland Flow in Forest and Woodland of Northern Iran. Forests 2020, 11, 65. [Google Scholar] [CrossRef]
- Gonzáles, H.; Ocaña, C.L.; Cubas, J.A.; Vega-Nieva, D.J.; Ruíz, M.; Santos, A.; Barboza, E. Impact of forest fire severity on soil physical and chemical properties in pine and scrub forests in high Andean zones of Peru. Trees For. People 2024, 18, 100659. [Google Scholar] [CrossRef]
- Zhang, Y.; Wu, T. Effects of water temperature on soil aggregate stability between soils developed from different parent materials in the subtropical hilly area of China. Catena 2024, 241, 108080. [Google Scholar] [CrossRef]
- Chandra, K.K.; Bhardwaj, A.K. Incidence of forest fire in India and its effect on terrestrial ecosystem dynamics, nutrient and microbial status of soil. Int. J. Agric. For. 2015, 5, 69–78. [Google Scholar]
- Hrelja, I.; Šestak, I.; Bogunović, I. Wildfire impacts on soil physical and chemical properties—A short review of recent studies. Agric. Conspec. Sci. 2020, 85, 293–301. [Google Scholar]
- Zema, D.A.; Lucas-Borja, M.E. Effects of prescribed fire on the post-fire hydrological processes in agro-forest ecosystems: A systematic review and a meta-analysis. Hydrol. Process. 2023, 37, e14957. [Google Scholar] [CrossRef]
- Shakesby, R.A.; Doerr, S.H. Wildfire as a hydrological and geomorphological agent. Earth-Sci. Rev. 2006, 74, 269–307. [Google Scholar] [CrossRef]
- Shakesby, R.A. Post-wildfire soil erosion in the mediterranean: Review and future research directions. Earth-Sci. Rev. 2011, 105, 71–100. [Google Scholar] [CrossRef]
- Lowe, M.-A.; McGrath, G.; Leopold, M. The impact of soil water repellency and slope upon runoff and erosion. Soil Tillage Res. 2021, 205, 104756. [Google Scholar] [CrossRef]
- Zhang, G.H.; Liu, G.B.; Tang, K.M.; Zhang, X.C. Flow detachment of soils under different land uses in the Loess Plateau of China. Trans. Am. Soc. Agric. Biol. Eng. 2008, 51, 883–890. [Google Scholar]
- Di Stefano, C.; Ferro, V.; Palmeri, V.; Pampalone, V. Flow resistance equation for rills. Hydrol. Process. 2017, 31, 2793–2801. [Google Scholar] [CrossRef]
- Sun, D.; Zhang, W.; Lin, Y.; Liu, Z.; Shen, W.; Zhou, L.; Rao, X.; Liu, S.; Cai, X.; He, D.; et al. Soil erosion and water retention varies with plantation type and age. For. Ecol. Manag. 2018, 422, 1–10. [Google Scholar] [CrossRef]
- Ochoa, P.; Fries, A.; Mejía, D.; Burneo, J.I.; Ruíz-Sinoga, J.D.; Cerdà, A. Effects of climate, land cover and topography on soil erosion risk in a semiarid basin of the Andes. CATENA 2016, 140, 31–42. [Google Scholar] [CrossRef]
- Benali, A.; Sa, A.C.; Ervilha, A.R.; Trigo, R.M.; Fernandes, P.M.; Pereira, J.M. Fire spread predictions: Sweeping uncertainty under the rug. Sci. Total Environ. 2017, 592, 187–196. [Google Scholar] [CrossRef]
- Sjostrom, J.; Granstrom, A. Human activity and demographics drive the fire regime in a highly developed European boreal region. Fire Saf. J. 2023, 136, 103743. [Google Scholar] [CrossRef]
- Moody, J.A.; Shakesby, R.A.; Robichaud, P.R.; Cannon, S.H.; Martin, D.A. Current research issues related to post-wildfire runoff and erosion processes. Earth-Sci. Rev. 2013, 122, 10–37. [Google Scholar] [CrossRef]
- Cawson, J.G.; Sheridan, G.J.; Smith, H.G.; Lane, P.N.J. Surface runoff and erosion after prescribed burning and the effect of different fire regimes in forests and shrublands: A review. Int. J. Wildland Fire 2012, 21, 857–872. [Google Scholar] [CrossRef]
- Zema, D.A.; Plaza-Alvarez, P.A.; Xu, X.; Carra, B.G.; Lucas-Borja, M.E. Influence of forest stand age on soil water repellency and hydraulic conductivity in the mediterranean environment. Sci. Total Environ. 2021, 753, 142006. [Google Scholar] [CrossRef]
- Robichaud, P.R.; Lewis, S.A.; Brown, R.E.; Bone, E.D.; Brooks, E.S. Evaluating post-wildfire logging-slash cover treatment to reduce hillslope erosion after salvage logging using ground measurements and remote sensing. Hydrol. Process. 2020, 34, 4431–4445. [Google Scholar] [CrossRef]
- Alcaniz, M.; Úbeda, X.; Cerdà, A. A 13-year approach to understand the effect of prescribed fires and livestock grazing on soil chemical properties in Tivissa, NE Iberian Peninsula. Forests 2020, 11, 1013. [Google Scholar] [CrossRef]
- Carrà, B.G.; Bombino, G.; Lucas-Borja, M.E.; Plaza-Alvarez, P.A.; D’Agostino, D.; Zema, D.A. Prescribed fire and soil mulching with fern in Mediterranean forests: Effects on surface runoff and erosion. Ecol. Eng. 2022, 176, 106537. [Google Scholar] [CrossRef]
- Nasirzadehdizaji, R.; Akyuz, D.E. Predicting the potential impact of forest fires on runoff and sediment loads using a distributed hydrological modeling approach. Ecol. Model. 2022, 468, 109959. [Google Scholar] [CrossRef]
- Khalili Moghadam, B.; Jabarifar, M.; Bagheri, M.; Shahbazi, E. Effects of land use change on soil splash erosion in the semi-arid region of Iran. Geoderma 2015, 241–242, 210–220. [Google Scholar] [CrossRef]
- Doulabian, S.; Shadmehri Toosi, A.; Calbimonte, G.H.; Ghasemi Tousi, E.; Alaghmand, S. Projected climate change impacts on soil erosion over Iran. J. Hydrol. 2021, 598, 126432. [Google Scholar] [CrossRef]
- Emadodin, I.; Bork, H.R. Degradation of soils as a result of long-term human-induced transformation of the environment in Iran: An overview. J. Land Use Sci. 2012, 7, 203–219. [Google Scholar] [CrossRef]
- Nezhadgholam-Zardroodi, M.; Pourbabaei, H.; Ghodskhah-Daryaei, M.; Salehi, A.; Enayati- Charvadeh, S.; Eslamdoust, J. Vegetation dynamics and soil properties following low-intensity wildfire in loblolly pine (Pinus taeda L.) planted forest in Northern Iran. J. For. Sci. 2022, 68, 145–155. [Google Scholar] [CrossRef]
- González-Pelayo, O.; Andreu, V.; Gimeno-García, E.; Campo, J.; Rubio, J.L. Rainfall influence on plot-scale runoff and soil loss from repeated burning in a Mediterranean-shrub ecosystem, Valencia, Spain. Geomorphology 2010, 118, 444–452. [Google Scholar] [CrossRef]
- Lindenmayer, D.B.; Noss, R.F. Salvage logging, ecosystem processes, and biodiversity conservation. Conserv. Biol. 2006, 20, 949–958. [Google Scholar] [CrossRef]
- Parhizkar, M.; Lucas-Borja, M.E.; Zema, D.A. Rill Erosion Due to Wildfire or Deforestation in Forestlands of Northern Iran. Forests 2024, 15, 1926. [Google Scholar] [CrossRef]
- Wang, J.; Stern, M.A.; King, V.M.; Alpers, C.N.; Quinn, N.W.T.; Flint, A.L.; Flint, L.E. PFHydro: A new watershed-scale model for post-fire runoff simulation. Environ. Model. Softw. J. 2020, 123, 104555. [Google Scholar] [CrossRef]
- Parhizkar, M.; Ghasemzadeh, Z.; Shabanpour, M. Reduction in rill detachment capacity by inoculation of Bacillus polymyxa strain BcP26 in deforested lands. Rhizosphere 2023, 25, 100658. [Google Scholar] [CrossRef]
- Evelpidou, N.; Tzouxanioti, M.; Gavalas, T.; Spyrou, E.; Saitis, G.; Petropoulos, A.; Karkani, A. Assessment of fire effects on surface runoff erosion susceptibility: The case of the summer forest fires in Greece. Land 2021, 11, 21. [Google Scholar] [CrossRef]
- Kottek, M.; Grieser, J.; Beck, C.; Rudolf, B.; Rubel, F. Worldmap of the Köppen-Geiger climate classification updated. Meteorol. Z. 2006, 15, 259–263. [Google Scholar] [CrossRef]
- Ramezanpour, H.; Esmaeilnejad, L.; Akbarzadeh, A. Influence of soil physical and mineralogical properties on erosion variations in Marlylands of Southern Guilan Province, Iran. Int. J. Phys. Sci. 2010, 5, 365–378. [Google Scholar]
- Ryan, K.C. Dynamic interactions between forest structure and fire behavior in boreal ecosystems. Silva Fenn 2002, 36, 13–39. [Google Scholar] [CrossRef]
- Wieting, C.; Ebel, B.A.; Singha, K. Quantifying the effects of wildfire on changes in soil properties by surface burning of soils from the Boulder Creek Critical Zone Observatory. J. Hydrol. Reg. Stud. 2017, 13, 43–57. [Google Scholar] [CrossRef]
- Fornwalt, P.J.; Kaufmann, M.R.; Stohlgren, T.J. Impacts of mixed severity wildfire on exotic plants in a Colorado ponderosa pine—Douglas-fir forest. Biol. Invasions 2010, 12, 2683–2695. [Google Scholar] [CrossRef]
- Parhizkar, M.; Shabanpour, M.; Lucas-Borja, M.E.; Zema, D.A.; Li, S.; Tanaka, N.; Cerdà, A. Effects of length and application rate of rice straw mulch on surface runoff and soil loss under laboratory simulated rainfall. Int. J. Sediment Res. 2021, 36, 468–478. [Google Scholar] [CrossRef]
- Zhang, G.-H.; Liu, B.-Y.; Nearing, M.A.; Huang, C.-H.; Zhang, K.-L. Soil detachment by shallow flow. Trans. ASAE 2002, 45, 351. [Google Scholar]
- Abrahams, A.D.; Parsons, A.J.; Luk, S.-H. Field measurement of the velocity of overland flow using dye tracing. Earth Surf. Process Landf. 1986, 11, 653–657. [Google Scholar] [CrossRef]
- Wang, B.; Zhang, G.H.; Yang, Y.F.; Li, F.F.; Liu, J.X. Response of rill detachment capacity to plant root and soil properties in typical grasslands on the Loess Plateau. Agric. Ecosyst. Environ. J. 2018, 266, 68–75. [Google Scholar] [CrossRef]
- Zhang, G.H.; Liu, B.Y.; Liu, G.B.; He, X.W.; Nearing, M.A. Detachment of undisturbed soil by shallow flow. Soil Sci. Soc. Am. J. 2003, 67, 713–719. [Google Scholar] [CrossRef]
- Bagnold, R.A. An approach to the sediment transport problem for general physics. In U.S. Geological Survey Professional Paper 422-I; U.S. Government Printing Office: Washington, DC, USA, 1966. [Google Scholar]
- Yang, C.T. Unit stream power and sediment transport. J. Hydrol. Div. ASCE 1972, 98, 1805–1826. [Google Scholar] [CrossRef]
- Nearing, M.A.; Foster, G.R.; Lane, L.J.; Finkner, S.C. A process-based soil erosion model for USDA-Water Erosion Prediction Project technology. Trans. ASAE 1989, 32, 1587–1593. [Google Scholar] [CrossRef]
- García-Corona, R.; Benito, E.; De Blas, E.; Varela, M.E. Effects of heating on some soil physical properties related to its hydrological behaviour in two north-western Spanish soils. Int. J. Wildland Fire 2004, 13, 195–199. [Google Scholar] [CrossRef]
- Léonard, J.; Richard, G. Estimation of runoff critical shear stress for soil erosion from soil shear strength. Catena 2004, 57, 233–249. [Google Scholar] [CrossRef]
- Martin, D.A.; Moody, J.A. Comparison of soil infiltration rates in burned and unburned mountainous watersheds. Hydrol. Process. 2001, 15, 2893–2903. [Google Scholar] [CrossRef]
- Stoof, C.R.; Wesseling, J.G.; Ritsema, C.J. Effects of fire and ash on soil water retention. Geoderma 2010, 159, 276–285. [Google Scholar] [CrossRef]
- Claessen, M.E.C. Manual for Methods of Soil Analysis; Embrapa Solos: Rio de Janeiro, Brazil, 1997. [Google Scholar]
- Horváth, B.; Opara-Nadi, O.; Beese, F. A simple method for measuring the carbonate content of soils. Soil Sci. Soc. Am. J. 2005, 69, 1066–1068. [Google Scholar] [CrossRef]
- Gee, G.W.; Bauder, J.W. Particle size analysis. In Methods of Soil Analysis. Part 1. Physical and Mineralogical 603 Methods, 2nd ed.; Klute, A., Ed.; ASA and SSSA: Madison, WI, USA, 1986; pp. 404–408. [Google Scholar]
- Dekker, L.W.; Ritsema, C.J. How water moves in a water repellent sandy soil: 1. Potential and actual water repellency. Water Resour. Res. 1994, 30, 2507–2517. [Google Scholar] [CrossRef]
- Parhizkar, M.; Cerdà, A. Modelling effects of human- caused fires on rill detachment capacity based on surface burning of soils in forest lands. J. Hydrol. 2023, 624, 129893. [Google Scholar] [CrossRef]
- Holden, J.; Wearing, C.; Palmer, S.; Jackson, B.; Johnston, K.; Brown, L.E. Fire decreases near-surface hydraulic conductivity and macropore flow in blanket peat. Hydrol. Process. 2014, 28, 2868–2876. [Google Scholar] [CrossRef]
- Alfaro-Leranoz, A.; Badía-Villas, D.; Martí-Dalmau, C.; Escuer-Arregui, M.; Quintana-Esteras, S. The Effects of Fire Intensity on the Biochemical Properties of a Soil Under Scrub in the Pyrenean Subalpine Stage. Fire 2024, 7, 452. [Google Scholar] [CrossRef]
- Alcañiz, M.; Outeiro, L.; Francos, M.; Úbeda, X. Effects of Prescribed Fires on Soil Properties: A Review. Sci. Total Environ. 2018, 613, 944–957. [Google Scholar] [CrossRef]
- Chen, H.; Liu, F. Soil depth and recovery interval mediate soil water repellency under different forest types and fire intensity levels in China: Evidence for ecosystem resiliency. Soil Tillage Res. 2024, 237, 105982. [Google Scholar] [CrossRef]
- Jiménez-Morillo, N.T.; Spangenberg, J.E.; Miller, A.Z.; Jordán, A.; Zavala, L.M.; González-Vila, F.J.; González-Pérez, J.A. Wildfire effects on lipid composition and hydrophobicity of bulk soil and soil size fractions under Quercus suber cover (SW-Spain). Environ. Res. 2017, 159, 394–405. [Google Scholar] [CrossRef]
- Halder, M.; Islam, M.U.; Liu, S.; Guo, Z.; Zhang, Z.; Peng, X. Organic materials quality to control soil aggregation: A meta-analysis. J. Soil Sci. Plant Nutr. 2024, 24, 1857–1870. [Google Scholar] [CrossRef]
- Okebalama, C.B.; Udeani, C.M.; Awaogu, C.E. Aggregate stability and the influence of sodium chloride on dispersion of sandy clay loam soils in Southeastern Nigeria. Glob. J. Agric. Sci. 2024, 23, 49–60. [Google Scholar]
- Parhizkar, M.; Shabanpour, M.; Khaledian, M.; Asadi, H. The evaluation of soil detachment capacity induced by vegetal species based on the comparison between natural and planted forests. J. Hydrol. 2021, 595, 126041. [Google Scholar] [CrossRef]
- Sedaghatkish, F.; Asadi Kapourchal, S.; Parhizkar, M. Oriental beech roots improve soil aggregate stability and reduce soil detachment rate in forest lands. Rhizosphere 2023, 7, 100744. [Google Scholar] [CrossRef]
- Ghasemzadeh, Z.; Parhizkar, M.; Mirmohammadmeygooni, S.; Shabanpour, M.; Chalmers, G. Forest soil inoculation with Bacillus subtilus reduces soil detachment rate to mitigate rill erosion. Rhizosphere 2023, 26, 100707. [Google Scholar] [CrossRef]
- Arnaez, J.; Lasanta, T.; Ruiz-Flaño, P.; Ortigosa, L. Factors affecting runoff and erosion under simulated rainfall in Mediterranean vineyards. Soil Tillage Res. 2007, 93, 324–334. [Google Scholar] [CrossRef]
- Zhao, J.; Wang, Z.; Dong, Y.; Yang, Z.; Govers, G. How soil erosion and runoff are related to land use, topography and annual precipitation: Insights from a meta-analysis of erosion plots in China. Sci. Total Environ. 2022, 802, 149665. [Google Scholar] [CrossRef]
- Kong, J.; Ding, Z.; Cai, W.; Zu, J.; Liu, B.; Yang, J. Topography and wildfire jointly mediate postfire ecosystem multifunctionality in a Chinese boreal forest. Fire 2024, 7, 417. [Google Scholar] [CrossRef]








| Month | Average Maximum Temperature (°C) | Average Minimum Temperature (°C) | Average Temperature (°C) | Rainfall (mm) |
|---|---|---|---|---|
| March | 21.4 | 10.6 | 16.0 | 25.3 |
| April | 25.8 | 15.0 | 20.4 | 35.9 |
| May | 29.9 | 20.3 | 25.1 | 8.6 |
| June | 31.4 | 22.9 | 27.2 | 17.4 |
| July | 30.4 | 22.8 | 26.6 | 26.8 |
| August | 29.9 | 21.7 | 25.8 | 4.9 |
| September | 25.8 | 17.4 | 21.6 | 13.4 |
| October | 18.1 | 11.0 | 14.6 | 29.1 |
| November | 16.2 | 7.5 | 11.9 | 13.0 |
| December | 15.5 | 6.5 | 11.0 | 3.2 |
| January | 12.6 | 3.4 | 8.0 | 52.4 |
| February | 16.8 | 6.2 | 11.5 | 56.0 |
| Annual | 22.8 | 13.8 | 18.3 | 286.0 |
| Experiments | S | q | h | R | τ | ω | ϕ |
|---|---|---|---|---|---|---|---|
| 1 | 0.035 | 0.22 | 0.003 | 0.0029 | 0.997031 | 0.199406 | 0.007 |
| 2 | 0.035 | 0.33 | 0.005 | 0.0048 | 1.630067 | 0.407517 | 0.00875 |
| 3 | 0.035 | 0.44 | 0.006 | 0.006 | 1.937626 | 0.678169 | 0.01225 |
| 4 | 0.035 | 0.56 | 0.007 | 0.006 | 2.239437 | 0.918169 | 0.01435 |
| 5 | 0.035 | 0.67 | 0.009 | 0.008 | 2.826446 | 1.526281 | 0.0189 |
| 6 | 0.088 | 0.22 | 0.003 | 0.0029 | 2.506821 | 0.526432 | 0.01848 |
| 7 | 0.088 | 0.33 | 0.0039 | 0.0037 | 3.230638 | 1.033804 | 0.02816 |
| 8 | 0.088 | 0.44 | 0.0049 | 0.0046 | 4.020313 | 1.768938 | 0.03872 |
| 9 | 0.088 | 0.56 | 0.006 | 0.0057 | 4.871746 | 2.679461 | 0.0484 |
| 10 | 0.088 | 0.67 | 0.0079 | 0.007 | 6.301514 | 3.969954 | 0.05544 |
| 11 | 0.16 | 0.22 | 0.003 | 0.0029 | 4.557856 | 1.139464 | 0.04 |
| 12 | 0.16 | 0.33 | 0.003 | 0.0029 | 4.557856 | 1.640828 | 0.0576 |
| 13 | 0.16 | 0.44 | 0.004 | 0.0038 | 6.018708 | 2.828793 | 0.0752 |
| 14 | 0.16 | 0.56 | 0.005 | 0.005 | 7.451733 | 4.098453 | 0.088 |
| 15 | 0.16 | 0.67 | 0.006 | 0.006 | 8.857721 | 5.846096 | 0.1056 |
| 16 | 0.27 | 0.22 | 0.002 | 0.002 | 5.177859 | 1.4498 | 0.0756 |
| 17 | 0.27 | 0.33 | 0.003 | 0.0029 | 7.691383 | 3.230381 | 0.1134 |
| 18 | 0.27 | 0.44 | 0.0039 | 0.0038 | 9.912186 | 5.154337 | 0.1404 |
| 19 | 0.27 | 0.56 | 0.005 | 0.0048 | 12.5748 | 8.299368 | 0.1782 |
| 20 | 0.27 | 0.67 | 0.006 | 0.0057 | 14.9474 | 11.06108 | 0.1998 |
| 21 | 0.36 | 0.22 | 0.002 | 0.002 | 6.903812 | 2.20922 | 0.1152 |
| 22 | 0.36 | 0.33 | 0.003 | 0.003 | 10.25518 | 4.61483 | 0.162 |
| 23 | 0.36 | 0.44 | 0.003 | 0.0029 | 10.25518 | 5.537795 | 0.1944 |
| 24 | 0.36 | 0.56 | 0.005 | 0.0048 | 16.7664 | 11.56882 | 0.2484 |
| 25 | 0.36 | 0.67 | 0.0059 | 0.0056 | 19.61621 | 15.30065 | 0.2808 |
| Conditions | OC (%) | BD (gcm−3) | MWD mm | WDPT (s) | CaCO3 (%) | Na (ppm) | Ks (cmh−1) |
|---|---|---|---|---|---|---|---|
| NF | 3.585 a | 1.161 b | 0.695 a | 0.440 b | 9.506 a | 10.754 c | 0.771 a |
| LF | 3.072 b | 1.270 ab | 0.382 b | 0.662 b | 7.350 b | 14.412 b | 0.355 b |
| HF | 2.276 c | 1.357 a | 0.238 c | 1.541 a | 6.693 b | 17.608 a | 0.188 c |
| Dc | OC | BD | MWD | WDPT | CaCO3 | Na | Ks | |
|---|---|---|---|---|---|---|---|---|
| Dc | 1 | |||||||
| OC | −0.985 ** | 1 | ||||||
| BD | 0.844 ** | −0.848 ** | 1 | |||||
| MWD | −0.925 ** | 0.936 ** | −0.853 ** | 1 | ||||
| WDPT | 0.937 ** | −0.952 ** | 0.857 ** | −0.832 ** | 1 | |||
| CaCO3 | −0.889 ** | 0.843 ** | −0.823 ** | 0.914 ** | −0.768 * | 1 | ||
| Na | 0.973 ** | −0.967 ** | 0.918 ** | −0.959 ** | 0.92 ** | −0.93 ** | 1 | |
| Ks | −0.918 ** | 0.922 ** | −0.837 ** | 0.981 ** | −0.803 ** | 0.872 ** | −0.931 ** | 1 |
| Independent Variable | Studied Condition | Equation |
|---|---|---|
| Shear stress | NF | Dc = 0.006 τ + 0.0275 R2 = 0.60 |
| LF | Dc = 0.0209 τ − 0.0357 R2 = 0.71 | |
| HF | Dc = 0.0163 τ + 0.0164 R2 = 0.66 | |
| Stream power | NF | Dc = 0.0079 ω + 0.0391 R2 = 0.66 |
| LF | Dc = 0.0275 ω + 0.0042 R2 = 0.78 | |
| HF | Dc = 0.0222 ω + 0.0446 R2 = 0.78 | |
| Unit stream power | NF | Dc = 0.3465P + 0.0378 R2 = 0.51 |
| LF | Dc = 1.2781P − 0.0073 R2 = 0.69 | |
| HF | Dc = 0.9268P + 0.045 R2 = 0.56 |
Disclaimer/Publisher’s Note: The statements, opinions and data contained in all publications are solely those of the individual author(s) and contributor(s) and not of MDPI and/or the editor(s). MDPI and/or the editor(s) disclaim responsibility for any injury to people or property resulting from any ideas, methods, instructions or products referred to in the content. |
© 2025 by the authors. Licensee MDPI, Basel, Switzerland. This article is an open access article distributed under the terms and conditions of the Creative Commons Attribution (CC BY) license (https://creativecommons.org/licenses/by/4.0/).
Share and Cite
Izadpanah Nashroodcoli, M.; Shabanpour, M.; Abrishamkesh, S.; Parhizkar, M. Exploring the Variability in Rill Detachment Capacity as Influenced by Different Fire Intensities in a Semi-Arid Environment. Forests 2025, 16, 1097. https://doi.org/10.3390/f16071097
Izadpanah Nashroodcoli M, Shabanpour M, Abrishamkesh S, Parhizkar M. Exploring the Variability in Rill Detachment Capacity as Influenced by Different Fire Intensities in a Semi-Arid Environment. Forests. 2025; 16(7):1097. https://doi.org/10.3390/f16071097
Chicago/Turabian StyleIzadpanah Nashroodcoli, Masoumeh, Mahmoud Shabanpour, Sepideh Abrishamkesh, and Misagh Parhizkar. 2025. "Exploring the Variability in Rill Detachment Capacity as Influenced by Different Fire Intensities in a Semi-Arid Environment" Forests 16, no. 7: 1097. https://doi.org/10.3390/f16071097
APA StyleIzadpanah Nashroodcoli, M., Shabanpour, M., Abrishamkesh, S., & Parhizkar, M. (2025). Exploring the Variability in Rill Detachment Capacity as Influenced by Different Fire Intensities in a Semi-Arid Environment. Forests, 16(7), 1097. https://doi.org/10.3390/f16071097

