You are currently viewing a new version of our website. To view the old version click .
Forests
  • Article
  • Open Access

16 March 2025

Dynamic Effects of Close-to-Nature Forest Management on the Growth Investment Strategies of Future Crop Trees

,
,
,
,
,
,
,
and
1
Zhejiang Tiantong Forest Ecosystem National Observation and Research Station, School of Ecological and Environmental Sciences, East China Normal University, Shanghai 200241, China
2
Eastern China Conservation Centre for Wild Endangered Plant Resources, Shanghai Chenshan Botanical Garden, Shanghai 201602, China
3
Ningbo Dihua Forestry Services Co., Ltd., Ningbo 315199, China
*
Authors to whom correspondence should be addressed.
This article belongs to the Section Forest Ecology and Management

Abstract

Close-to-nature forest management is a sustainable forest management approach aimed at achieving a balance between ecological and economic benefits. The cultivation of future crop trees in the later successional stages following the removal of competitive trees is crucial for promoting positive development trajectories of succession. Understanding the dynamic process of growth investment strategies in future crop trees facilitates the rational planning of management cycles and scopes, ultimately enhancing the quality of tree cultivation. This study was conducted in a Pinus massoniana secondary forest with close-to-nature forest management in Ningbo City, Zhejiang Province, using handheld mobile laser scanning technology to precisely reconstruct the structure of future crop trees. Over a period of 2–5 years following the initial implementation of close-to-nature forest management, 3D point cloud data were collected annually from both managed and reference (non-managed) plots. Using these multi-temporal data, we analyzed the dynamics of the investment strategies, structural growth components, and crown competition of future crop trees. A linear mixed-effect model was applied to compare the temporal variations in these indices between the managed and control plots. Our results revealed that the height-to-diameter ratio of the future crop trees gradually declined over time, while the crown-to-diameter ratio initially increased and then decreased in the managed plots. These trends were significantly different from those observed in the control plots. Additionally, the height growth rates of the future crop trees in the managed plots were consistently lower than those in the control plots, whereas the crown and diameter at breast height (DBH) growth rates were higher. Furthermore, the crown gap area between the future crop trees and their neighboring trees gradually diminished, and the crown overlap progressively increased. These results suggest that the investment in height growth, initially driven by crown competition, shifted toward crown and DBH growth following close-to-nature forest management. In the initial stage after the removal of competitive trees, future crop trees benefited from ample crown radial space and minimal crown competition. However, as the crown radial space became increasingly limited, the future crop trees shifted their growth investment toward DBH to enhance mechanical stability and achieve a balanced tree structure. Understanding these dynamic processes and the underlying mechanisms of growth investment strategies contributes to predicting future forest community development, improving forest productivity, maintaining structural diversity, and ensuring sustainable forest management.

1. Introduction

Close-to-nature forest management is a theoretical framework that follows a natural forest succession process, which is designed to enhance the stand structure of plantations and secondary forests, increase productivity, and promote the multifunctionality of forest ecosystems [,,]. This management approach aims to ensure forest ecosystem stability while accelerating the positive development trajectories of succession. It involves the selection of a limited number of future crop trees—characterized by high survival potential, superior timber quality, and belonging to tree species in mid-to-late successional stages with long-term competitiveness [,,]—as the primary cultivation targets. Trees that impede the growth of future crop trees are selectively removed to optimize growing conditions and resource availability [,,]. Following the removal of competition trees, the available growing space for future crop trees increases significantly, and crown competition with neighboring trees is temporarily eliminated, thereby facilitating their rapid initial growth [,]. However, the long-term dynamic growth response of these trees remains uncertain, particularly regarding whether their original growth investment strategies shift in response to changes in their surrounding environment. Understanding the dynamic response of future crop trees’ growth investment strategies under close-to-nature forest management is of critical importance for improving cultivation quality and ensuring the sustainable management of forest resources [].
Tree growth investment strategies are a survival and growth strategy in which trees are allocated limited resources during the growth process, and it is manifested in the resource trade-offs among tree height growth, DBH growth, crown expansion, and so on []. These strategies dynamically adapt to changes in the surrounding abiotic and biotic environment, which are reflected in the growth of structural components such as diameter at breast height (DBH) and tree height []. Trees enhance their mechanical stability by accelerating DBH growth, which refers to the radial expansion of the stem []. Increased DBH growth strengthens the tree’s structural support, enabling it to better withstand external disturbances, particularly wind forces []. In contrast, the rapid vertical growth of tree height primarily responds to competition for light within the canopy environment. By attaining a height advantage, trees can access greater light resources, enhancing their competitive position within the forest stand [,]. Similarly, the radial expansion of the crown is primarily driven by the availability of canopy gaps. When such gaps emerge, trees respond by increasing branch and leaf production, thereby expanding the photosynthetic surface area for carbon fixation and nutrient acquisition. This expansion enhances the tree’s competitive ability to optimize limited spatial resources [].
The height-to-diameter ratio and crown-to-diameter ratio are important indicators for assessing tree stability and growth potential [,,]. These ratios reflect the coordination of various structural components under different growth investment strategies []. An increasing height-to-diameter ratio indicates that trees prioritize height growth. However, when the height-to-diameter ratio exceeds 0.8, mechanical stability is compromised, making trees more susceptible to damage from wind and snow [,]. Conversely, a decreasing height-to-diameter ratio suggests a shift in growth investment from height to radial (DBH) growth. When the ratio falls below 0.45, excessive branching may occur, hindering the tree’s potential to develop into high-quality timber []. During the rapid expansion of the tree crown, the crown-to-diameter ratio significantly increases. This expansion weakens the mechanical stability of the stem, rendering the tree more vulnerable to external disturbances. However, as the crown expands, the nutritional area of the tree also increases, leading to greater carbon accumulation in the trunk. As the mechanical stability strength gradually recovers, the tree exhibits enhanced growth potential [].
The surrounding environment of future crop trees is not static following the removal of competitive trees; rather, it evolves over the course of management. In the early stages following management, the available crown growth space and light-absorbing area of future crop trees increase significantly, which also alleviates competition for soil resources between future crop trees and their neighbors [,]. However, as management years progress, the rapid expansion of both future crop trees and neighboring crowns leads to a substantial reduction in available crown space []. Furthermore, as resource demands increase, competition for light and nutrients between the crowns of future crop trees and neighboring trees is re-established. Despite these dynamics, how future crop trees adjust their growth investment strategies in response to changes in their surrounding environment remains underexplored in current research.
The growth of structural components and changes in the surrounding environment of future crop trees can be accurately measured using multi-temporal scanning data collected through Light Detection and Ranging (LiDAR) technology. In previous studies, tree structural attributes such as height and crown area were primarily obtained using allometric growth equations or manual estimation methods [,], which often introduced significant deviations. In contrast, LiDAR enables the rapid and precise acquisition of three-dimensional forest point cloud data by emitting laser beams, measuring distances, and recording the spatial coordinates of each echo point. Through single-tree segmentation, LiDAR can extract detailed individual tree characteristics, such as DBH, tree height, and crown projection area, with high accuracy [,,]. Furthermore, this technology facilitates the integration and analysis of three-dimensional point cloud data to assess stand structure parameters across various dimensions, locations, and scales [,], making it highly suitable for evaluating the neighborhood environment of future crop trees. Among LiDAR technologies, handheld mobile laser scanning (HMLS), which functions as a human-carried platform, combines with simultaneous localization and mapping (SLAM) algorithms to enable the real-time, efficient, and accurate generation of three-dimensional point cloud data within dense forest environments by simply moving through the area [,]. This technology offers significant advantages in extending the application of LiDAR scanning to enclosed forest settings, enhancing scanning efficiency and precision, and reducing forestry survey costs.
This study was conducted at Tiantong Forest Farm in Ningbo City, Zhejiang Province, China. Over a period of 2 to 5 years following the initial removal of competitive trees, HMLS was used to collect point cloud data from two treatment types: managed plots and reference (unmanaged) plots. Through single-tree segmentation, the tree structural component parameters—including crown projection area, DBH, and tree height—of future crop trees were measured, followed by the calculation of height-to-diameter and crown-to-diameter ratios. Additionally, a canopy height model was constructed to assess the crown gap areas and overlap between future crop trees and their surrounding neighbors. The dynamic variations in these indices between the two treatments were compared using linear mixed-effect models. This study aims to address the following scientific questions: (1) As the primary cultivation target in close-to-nature forest management, how do the growth dynamics of future crop trees’ structural components evolve over successive years of management? Are there significant differences in the growth dynamics of the structural components between future crop trees in managed plots and reference plots? (2) Do the dynamic changes in different structural components influence the original growth investment strategy of future crops trees? If so, what is the dynamic process, and how is it related to the tree crown competition?

2. Materials and Methods

2.1. Study Region and Site

This study was conducted in a Pinus massoniana secondary forest at Tiantong Forest Farm (121°44′14″ E, 29°51′1″ N) in Ningbo City, Zhejiang Province, China. This region is located within a subtropical monsoon climate zone, characterized by mild temperatures, abundant rainfall throughout the year, and distinct seasonal variations. The annual average precipitation is 1374.7 mm, with the majority occurring between April and July. In the 1950s, Pinus massoniana was widely planted at Tiantong Forest Farm, forming extensive pure Pinus massoniana forests. However, beginning in the 1990s, these forests experienced widespread decline due to infestations of pine wood nematodes. Furthermore, the absence of forest management over a decade (1985–1994) allowed pioneer species such as Schima superba, Liquidambar formosana, and various heliophilous shrubs to regenerate extensively. However, limited growth resources caused these pioneer species to remain in a suppressed, shrub-like state for an extended period []. To facilitate the rapid restoration of the secondary forest into a zonal evergreen broad-leaved forest, management interventions were implemented in 1994. These measures included the removal of dead and diseased trees, as well as the clearing of heliophilous shrubs in the understory, while retaining the saplings of Schima superba and Liquidambar formosana. After more than 20 years of forest management, Liquidambar formosana and Schima superba have become the dominant species in different areas of Tiantong Forest Farm, with a forest age of approximately 25 to 30 years. The remaining large-diameter Pinus massoniana trees are confined to the canopy layer, accounting for only 10–15% of the total tree density []. Currently, the dominant tree species in these secondary forests include Schima superba, Liquidambar formosana, and Pinus massoniana. This study’s purposes are increasing the volume of future crop trees and promoting the positive development trajectories of succession by the close-to-nature forest management.

2.2. Experimental Design and Data Collection

2.2.1. Controlled Experimental Design of Close-to-Nature Forest Management

The experimental plots were established in October 2017. Four blocks were designated, with each block divided into two 25 m × 25 m plots, with one assigned to the management treatment and the other to the reference treatment, resulting in a total of eight plots (Figure 1). The site conditions, species composition, and stand developmental stages within each block were essentially uniform (Table 1). Following plot establishment, one plot within each block was randomly selected for close-to-nature forest management and designated as a managed plot (MGT). The management procedures were as follows: individual trees with well-developed crowns, with straight and cylindrical trunks, with no bifurcation or physical damage, being free from disease, and belonging to the species in the mid-to-late successional stages (excluding Pinus massoniana) were selected and marked as future crop trees. Subsequently, trees located in close proximity to the future crop trees, with overlapping crowns, competition for stem development, or adverse effects on growth, were identified as competitive trees and removed to facilitate the growth of future crop trees. Trees that did not interfere with the growth of future crop trees were retained as general trees and left untreated. In the reference plots (CK), trees exhibiting the same characteristics as those in the managed plots were identified and marked as future crop trees using the same criteria. However, no management interventions were applied, allowing them to serve as controls for comparative analysis (Table 2).
Figure 1. Distribution of close-to-nature management (MGT) and reference (CK) plots.
Table 1. Basic information of the experimental field before competitive tree removal.
Table 2. Stem density and stock volume of experiment plots before and after competitive tree removal.
Following management, all woody plants with DBH ≥ 5 cm within the plots were tagged. Since the establishment of the plots, annual surveys have been conducted each autumn. During each survey, data were recorded on tree species, DBH, spatial coordinates, and other relevant attributes. The data used in this study were collected in November from 2019 to 2022, corresponding to 2–5 years after the removal of competitive trees, resulting in a total of four rounds of data collection.

2.2.2. Point Cloud Collection and Preprocessing

This study utilized the ZEB-HORIZON handheld mobile laser scanner (GeoSLAM, Nottingham, UK) to collect point cloud data. This lightweight and portable device is particularly well suited for forest surveys. Equipped with a simultaneous localization and mapping (SLAM) algorithm, it enables data acquisition in environments lacking GPS signal coverage, offering significant advantages in densely vegetated forest areas. Point cloud data were collected annually in November from 2019 to 2022, resulting in four datasets covering all eight plots.
Due to the complexity of visualizing point cloud data, their large volume, redundant information, and the influence of terrain and noise, the raw point cloud underwent a series of preprocessing steps, including decoding, clipping, alignment, thinning, denoising, and elevation normalization (Figure 2). To reduce redundant information, the point cloud data were voxel-thinned. The Statistical Outlier Removal (SOR) method was applied for denoising, which filtered outliers based on statistical metrics (the number of neighborhood points is set to 20; the standard deviation is set to 5) [], thereby improving data quality. Elevation normalization was performed using the Cloth Simulation Filter (CSF) method [] to mitigate terrain effects (cloth resolution is set to 0.25, rigidness is set to 2, and ground points are removed). To ensure the accuracy of spatial positioning, the point cloud data were aligned and transformed based on the LiDAR walking path and the positions of corner markers, ensuring the correct overall orientation. The data were then clipped to match the actual plot boundaries. Clipping and alignment were performed using Trimble RealWorks 10.4 and CloudCompare v2.13. alpha, while thinning, denoising, and elevation normalization were completed using the R packages lidR [], rTLS, and TreeLS [].
Figure 2. (a) Original point clouds; (b) preprocessed point clouds. The color mapping of point clouds represent the height from soil surface.

2.2.3. Future Crop Tree Segmentation and Structural Component Extraction

This study employed a combination of automatic stem segmentation and manual visual canopy segmentation to extract single future crop tree point clouds []. Initially, an improved circular search algorithm based on the Hough transform was used to systematically and automatically segment individual tree stems, providing the coordinates and DBH of each stem (the retrieval height step is set to 0.15 m, the stem is searched within the height range of 1–2.5 m, the maximum DBH is set to 60 cm, the minimum one is set to 15 cm, branches are not considered, and the minimum number of votes is 5) []. Subsequently, field-measured coordinates and DBH values were used to match the corresponding trees in the point cloud, ensuring the accurate identification of individual crop trees. Due to potential inaccuracies in the system-generated tree crown point clouds, manual corrections were applied to refine the automatically segmented crowns. These corrections were informed by field observations, point cloud morphology, and the canopy height model, ensuring that the segmented individual future crop trees point clouds accurately reflected their structural characteristics (Figure 3). Following the precise segmentation of individual future crop trees, the influence of apical branches and leaves on tree height measurement was minimized by using the 90th percentile of the Z-values from the point cloud of each tree to represent tree height in subsequent analyses. The projected area of the tree crown was used to determine the crown projection area (CA). The automated segmentation of individual tree stems was primarily performed using the R package 2.0.4 TreeLS, while future crop tree identification and manual crown corrections were conducted using CloudCompare 2.13 and ArcGIS 10.2.
Figure 3. (a) Auto-segmentation of individual tree point clouds in the plot, (b) individual tree point clouds after auto-segmentation, (c) individual tree point clouds after manual refinement. The red points represent the future crop tree.
The point cloud data were utilized to extract information on the DBH, tree height, and crown area of the future crop trees over four years (2019–2022). The accuracy of the DBH and tree height measurements obtained from the HMLS system was validated using a regression through the original model, comparing them with field measurements collected using a DBH gauge and laser altimeter. The results confirmed that HMLS could reliably and accurately extract the structural components of future crop trees (Figures S1 and S2). Based on these findings, all the structural component data for future crop trees in this study were derived from point cloud analyses. Detailed information on the basic structural components of future crop trees following four years of close-to-nature forest management (as of 2022) is provided in Table S2.

2.3. Data Analysis

2.3.1. Structural Components Growth

We used the relative growth rate ( R G R ) of DBH, tree height, and crown area to characterize the growth of future crop structural components, as calculated by Formula (1):
R G R = ln ( x y e a r 2 ) ln ( x y e a r 1 ) ( y e a r 2 y e a r 1 )
where R G R represents the relative growth rate; ln is the natural logarithm with base e ; x y e a r 2 is the value of the future crop tree’s DBH, tree height, or crown area in y e a r 2 ; x y e a r 1 is in y e a r 1 ; x y e a r 2 must be larger than x y e a r 1 ; y e a r 2 y e a r 1 is the period of the year from y e a r 1 to y e a r 2 .

2.3.2. Investment Strategy of Future Crop Trees

The height-to-diameter ratio, calculated as tree height (m) divided by DBH (cm) [,], is commonly used to assess the investment strategy between height growth and trunk development. The crown-to-diameter ratio is referred to as the crown width (m) divided by DBH (cm). The crown width is derived from the crown projection area (assuming a circular area). The crown-to-diameter ratio is used to evaluate the investment strategy between crown expansion and trunk growth.

2.3.3. Crown Environment Surrounding Future Crop Trees

The crown overlap ( C O ) between the future crop trees and their neighboring trees was quantified to assess crown competition []. The four-nearest-tree method was used to identify the competitive neighbors of each future crop tree, selecting the four closest trees surrounding it []. The crown overlap between the future crop tree and its neighbors was then calculated to quantify the extent of crown competition, as expressed in Formula (2):
C O i = 1 A i × j = 1 N A i j
where C O i represents the crown competition of the i future crop tree, A i is the crown projection area of the i future crop tree, N is the number of neighbors, and A i j is the area of the crown overlap between the i future crop tree and the j neighbor.
Additionally, this study quantified the crown gap area between the future crop trees and their neighboring trees. This was achieved by extracting crown gaps within the defined competition range (as previously described), specifically those adjacent to the crown of the future crop tree and with an area greater than 1 m2. Crown gap extraction was performed utilizing the R package 0.1.6 ForestGapR [].

2.3.4. Statistics Analysis

To evaluate how the growth dynamics of future crop tree structural components are influenced by management, this study employed a linear mixed-effect model to analyze differences in the growth rates of structural components between managed plots and reference plots. Given that the initial size of the structural components is a critical factor influencing tree growth, it was included as a fixed effect in the model. Additionally, while site conditions and species composition were consistent within blocks, variability was observed across blocks. Thus, block-level differences in close-to-nature forest management were incorporated as random effects to account for this variation. The formula is expressed as follows:
R G R i k s t = [ α + β 1 × x M a n a g e m e n t + β 2 × x I n i t i a l + β 3 × x Time + β 4 × x M a n a g e m e n t × T i m e ] f i x e d   p a r t + [ u ( β 1 | s ) + u ( 1 | i / k / s ) ] r a n d o m   p a r t
where R G R i k s t represents the relative growth rate (crown area, DBH, and tree height) of the future crop tree i located in plot k within block s during time period t (consistent with the meaning of T i m e in the formula). In the fixed effects, α represents the intercept, β represents the slope of x , and x denotes the potential variables. x M a n a g e m e n t indicates whether the sample plot is in a managed or unmanaged plot (1 is in a managed one, and 0 is in an unmanaged one); x I n i t i a l represents the initial structural component size; x Time represents a different time period; and x M a n a g e m e n t × T i m e represents the interaction between the management treatment and time period, determining whether the growth dynamics of future crop trees in managed plots differ from those in unmanaged plots. For the random effects, u ( β 1 | s ) represents the variation in β 1 across blocks s , and u ( 1 | i / k / s ) represents the variation in the relative growth rate of future crop trees among each plot k nested in block s over different time periods.
Additionally, to assess whether the investment strategy of future crop trees is influenced by management, a linear mixed-effect model was applied. The model parameters were largely consistent with those in Formula (3), with the primary difference being the replacement of the dependent variable with the height-to-diameter ratio and the crown-to-diameter ratio. Furthermore, considering that the ontogenetic stage drives the investment strategy of future crop trees, DBH was included as a fixed effect to account for its influence on the growth allocation patterns.
Finally, to assess the effect of management on the crown competition intensity and the gap area around future crop tree crowns, the linear mixed-effect model from Formula (3) was utilized. In this case, the dependent variables were replaced with the crown overlap and crown gap area. Additionally, to account for the potential influence of the crown area of future crop trees, the crown area was included as a fixed effect, while the initial size fixed term was excluded from the model.
A linear mixed-effect model was used to analyze the correlation between the crown overlap and the crown gap area in managed plots from 2019 to 2022. The specific model is presented as follows:
C O = [ α + β × x G A P ] f i x e d   p a r t + [ u ( β | t ) ] r a n d o m   p a r t
where C O represents the crown overlap of the future crop trees. In the fixed effects, α represents the intercept, and β represents the slope of x ; x G A P is the crown gap area. In the random effects, u β | t indicates the variation in β across different monitoring years. All the data statistical analyses described above were performed in R version 4.4.1, using the lmer function from the R package lme4 [] to build linear mixed-effect models.

3. Results

3.1. Dynamic Difference in Structural Components’ Growth of Future Crop Trees Between Managed and Reference Plots

The crown growth rate of future crop trees in the managed plots was significantly higher than in the control plots (Figure 4a, PMGT vs. CK < 0.001). Moreover, the difference in the crown growth rate between the two treatments varied significantly over time. The crown growth rate in the managed plots exhibited a declining trend, which was significantly different from the dynamic pattern observed in the control plots (Figure 4a, PMGT vs. CK× Time < 0.001). Additionally, the initial crown size of the future crop trees had a significant negative effect on the crown growth rate (Figure 4a, PInitial CA < 0.001). Similarly, the DBH growth rate of future crop trees in the managed plots was significantly higher than in the reference plots (Figure 4b, PMGT vs. CK < 0.001). However, the tree height growth rate in the managed plots was significantly lower compared to in the reference plots (Figure 4c, PMGT vs. CK < 0.01), with the initial tree height having a significant negative effect on the tree height growth rate (Figure 4c, PInitial TH < 0.01).
Figure 4. Dynamic differences in the relative growth rates of tree crown area (a), diameter at breast height (b), and height (c) of future crop trees between management (MGT) and reference (CK) plots. MGT and CK represent close-to-nature forest management plots and reference plots, respectively, while Time represents the year after the removal of competitive trees. CA, DBH, and TH represent the crown area, diameter at breast height, and height of the future crop tree, respectively. Asterisks (*) indicate significant effects on the relative growth rates (RGRs): * p < 0.05; ** p < 0.01, and *** p < 0.001. Error bars represent 1.96 standard errors around the estimated mean.

3.2. Dynamic Differences in Height-to-Diameter and Crown-to-Diameter Ratio of Future Crop Trees Between Managed and Reference Plots

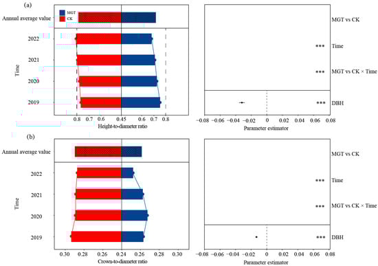
Throughout the entire study period, no significant difference was observed in the height-to-diameter ratio of future crop trees between the managed and reference plots. However, the height-to-diameter ratio in the managed plots exhibited a declining trend, gradually approaching the optimal range (0.45–0.8), whereas the reference plots showed an increasing trend, further deviating from this range. The decline observed in the managed plots was significantly different from the increasing trend in the reference plots (Figure 5a, PMGT vs. CK × Time < 0.001). Additionally, the initial DBH of the future crop trees had a significant negative effect on the height-to-diameter ratio (Figure 5a, PInitial DBH < 0.001). Similarly, no significant difference was detected in the crown-to-diameter ratio between the managed and reference plots over the entire period. However, the crown-to-diameter ratio in the managed plots initially increased and then decreased, which significantly differed from the dynamic pattern observed in the reference plots (Figure 5b, PMGT vs. CK × Time < 0.001). Moreover, the initial DBH of the future crop trees had a significant negative effect on the crown-to-diameter ratio (Figure 5b, PInitial DBH < 0.001).
Figure 5. Dynamic difference in the height-to-diameter ratio (a) and crown-to-diameter ratio (b) of future crop trees between management (MGT) and reference (CK) plots. MGT and CK represent close-to-nature forest management plots and reference plots, respectively, while Time represents the year after the removal of competitive trees. Asterisks (*) indicate significant effects on the dependent variable. *** p < 0.001. In panel (a), the dashed line represents the optimal range of the height-to-diameter ratio, from 0.45 to 0.8.

3.3. Dynamic Difference in Crown Overlap and Crown Gap Area Around Future Crop Trees Between Managed and Reference Plots

The crown overlap of future crop trees in the managed plots was significantly lower than that in the reference plots (Figure 6a, PMGT vs. CK < 0.05). Additionally, significant differences were observed across the years (Figure 6a, PTime < 0.001). In the managed plots, canopy competition exhibited a gradual increasing trend, which significantly differed from the dynamics observed in the reference plots (Figure 6a, PMGT vs. CK × Time < 0.001). Similarly, the crown gap area around future crop trees in the managed plots was significantly larger than that in the reference plots (Figure 6b, PMGT vs. CK < 0.001). Significant differences were also observed across years (Figure 6b, PTime < 0.001). In the managed plots, the crown gap area exhibited a gradual decreasing trend, which significantly differed from the trend in the reference plots (Figure 6b, PMGT vs. CK × Time < 0.001). Furthermore, the crown area of future crop trees had a significant negative effect on the crown gap area (Figure 6b, PCA < 0.05). Lastly, a significant negative correlation was observed between the crown gap area and crown overlap (Figure 7, PCA < 0.001).
Figure 6. Dynamic difference in the crown overlap (a) and crown gap area (b) around future crop trees between management (MGT) and reference (CK) plots. MGT and CK represent close-to-nature forest management plots and reference plots, respectively, while Time represents the year after removing competitive trees. CA represents the crown area. Asterisks (*) indicate significant effects on the dependent variable. * p < 0.05; *** p < 0.001.
Figure 7. Correlation between crown gap area and crown overlap around future crop trees across different years in overall close-to-nature forest management plots. *** indicates p < 0.001.

4. Discussion

Close-to-nature forest management effectively alleviates competition between the future crop trees and their neighboring trees, facilitating their rapid and healthy growth. However, as the future crop trees continue to grow and the management duration increases, the effectiveness of management evolves dynamically. Overall, compared to the future crop trees in the reference plots, those in the managed plots exhibited significantly higher crown and DBH growth rates but significantly lower tree height growth rates. The dynamic analysis revealed a declining trend in the crown growth rate of the future crop trees in the managed plots following the removal of competitive trees. Furthermore, the observed dynamics of the crown-to-diameter and height-to-diameter ratios indicate that, in the later stages of management, future crop trees shifted their growth investment from crown expansion to DBH growth. This strategic adjustment gradually corrected the previously high height-to-diameter ratio induced by competition, bringing them within an optimal range. Additionally, several years after the removal of competitive trees, the crown gap area surrounding the future crop trees diminished annually, resulting in an increase in crown competition intensity. This intensification of competition is likely a key factor contributing to the significant decline in the crown growth rates observed in the future crop trees.
Close-to-nature forest management significantly influences the growth rates of the structural components of the future crop trees, exhibiting distinct dynamic trends over time. These changes simultaneously alter the original growth investment strategies of the future crop trees. In terms of crown growth, close-to-nature forest management alleviates crown competition, leading to a significant acceleration of crown growth rates. However, as the management period extends, this promotion of crown growth gradually diminishes, prompting a shift in the growth investment strategy from crown growth to DBH growth. This transition enhances the mechanical bracing strength of the future crop trees, which is essential for structural stability as the crown area expands and mechanical support weakens following the removal of neighboring competitive trees. This shift ensures resilience to natural disturbances such as typhoons, freezing rain, and snow damage. Furthermore, the reduction in crown competition resulting from the management interventions alters the growth investment strategy for tree height. In unmanaged natural forests, intense canopy competition drives trees to allocate a substantial portion of resources to height growth to gain a competitive advantage in light acquisition, often leading to an excessively high height-to-diameter ratio []. However, following close-to-nature forest management, the future crop trees can access sufficient light resources through radial crown growth, significantly alleviating the pressure for height growth [] and gradually normalizing the height-to-diameter ratio. In forests with lower crown competition, such as some plantations and secondary forests, future crop trees generally experience minimal pressure for height growth. Consequently, thinning in such forests may have little to no impact on tree height growth [].
Following the removal of competitive trees, the crown area of future crop trees increases annually, while the crown gap area simultaneously decreases. This dynamic process leads to an increase in crown competition intensity during the later stages of management. As radial crown growth is a primary strategy for occupying space and expanding the nutrient absorption area [], the crown area of future crop trees expands rapidly in the short term, occupying the available crown gap space left by the removal of competitive trees. Additionally, neighboring trees respond by growing toward the crown gap, further accelerating the reduction in available space around future crop trees. In some cases, overlapping crowns between future crop trees and their neighbors create new competition dynamics. Previous studies have shown that as crown gap areas shrink and competition intensifies, crown growth rates tend to decline and eventually stabilize []. The increased crown competition may also alter the growth conditions of future crop trees, potentially reducing forest productivity [] and diminishing the long-term effectiveness of management interventions.
By monitoring the dynamic changes in the neighborhood environment and growth investment strategies of future crop trees following the removal of competitive trees, the cycle and scope of close-to-nature forest management can be more effectively planned to enhance the quality of future crop trees cultivation. As the optimization of crown competition and the light environment diminishes with an increasing management duration, regular monitoring of crown gap areas and competition indices is essential for planning appropriate management cycles. Furthermore, if the growth rates and investment strategies of the structural components in future crop trees can be accurately assessed using point cloud data, the subsequent management scope and intensity can be scientifically formulated to significantly improve the effectiveness of close-to-nature forest management. For example, management interventions should avoid harvesting future crop trees during their rapid growth phases of crown, DBH, and height development, ensuring that they reach full maturity to achieve a significant and sustained increase in forest productivity. Additionally, selecting future crop trees with height-to-diameter ratios exceeding the optimal range and increasing management intensity —such as removing competitive trees in their vicinity—can alleviate height growth pressure and provide adequate space for crown and DBH growth, promoting the formation of structurally balanced trees.
In the recent research on close-to-nature forest management, authors have paid more attention to cutting methods, forest growing stock, community diversity, soil environments, and ecosystem service functions, but they have overlooked the main source of future timber production—future crop trees [,,,,]. Even if the studies on selective thinning were conducted with regard to the effect of competition on target tree growth, they did not analyze the dynamics of target tree growth, especially in crown and height growth, and they did not estimate the response of investment strategies to forest management [,]. Multi-frequency high-precision measurement on one tree may be the reason for the absence of these studies. Handheld mobile laser scanners with simultaneous localization and mapping could break this technical bottleneck. Crown area and height could also be measured as simply and accurately as DBH. In this study, the observed significant decrease in the height growth of future crop trees after management indicates that this phenomenon will inevitably influence future timber production. However, the previous related studies have never mentioned it. In addition, traditional close-to-nature forest management did not classify the tree layer of competitive trees. Subcanopy layer neighbors around future crop trees could also be selected as competitive trees. But these subcanopy trees exert minimal competitive pressure on the bole growth of future crop trees. Their removal may lead to the loss of subcanopy layers as demonstrated in this study (Figure 3b), thereby reducing forest structural diversity and ecosystem service function. Furthermore, subcanopy competitive trees can prevent the lateral branch growth of future crop trees from increasing under crown height and improve timber quality. And most importantly, when future crop trees are eventually harvested, subcanopy trees within the same area can rapidly grow to fill the resulting gaps and maintain the sustainability of forest management efforts.

5. Conclusions

This study investigated the dynamic effects of close-to-nature forest management on the structural component growth and investment strategies of future crop trees using multi-temporal point cloud data. The findings indicate the following: (1) Close-to-nature forest management altered the original dynamic growth patterns and investment strategies of future crop tree structural components. Following the removal of competitive trees, the initially rapid crown growth declined significantly over management time. In the later stages of management, the growth investment strategy of future crop trees gradually shifted toward accelerated DBH growth, enhancing mechanical stability. Additionally, the removal of competitive trees alleviated height growth pressure resulting from crown competition, leading to a significant reduction in the height-to-diameter ratio to within an optimal range. (2) As the duration of management increased, the available crown growth space gradually diminished, and the crown overlap between future crop trees and their neighbors re-emerged, introducing new crown competition pressures. Consequently, the crown growth rate of future crop trees significantly declined.
Based on these findings, it is essential to continuously monitor the dynamic changes in the structural component growth and investment strategies of future crop trees, as well as crown competition and light environments, during close-to-nature forest management. Such dynamic monitoring facilitates the rational planning of management cycles and scopes, ultimately enhancing the quality of tree cultivation. In the future, optimizing the spatio-temporal data from three-dimensional point clouds could offer valuable insights into evolving forest structural diversity and enable the precise selection of subsequent management cycles for future crop trees. These close-to-nature forest management processes play an important role in maintaining forest structural diversity and achieving sustainable forest management goals. However, the relatively short observation period in this study, which encompassed only a single round of management, presents a limitation in assessing the long-term dynamics of the structural component growth and investment strategies of future crop trees post-management. The purpose of close-to-nature forest management is not focused on short-term timber production. It is to promote positive development trajectories of succession and obtain long-term sustainable timber production. When the forest community develops to a late successional stage, future crop trees are harvested randomly to simulate small-range disturbances in a climax community []. This forest management method is not only beneficial to obtain long-term sustainable timber production but also to ensure forest ecosystem stability through the rapid restoration of a climax community. Meanwhile, the long-term dynamics of structural component growth and investment strategies are used to indicate which future crop tree should be harvested and facilitate the rational planning of long-term management cycles. Consequently, longer-term monitoring will be necessary to comprehensively understand the sustained effects of close-to-nature forest management and to inform adaptive management strategies.

Supplementary Materials

The following supporting information can be downloaded at: https://www.mdpi.com/article/10.3390/f16030523/s1, Table S1: Characteristics of hand-held mobile laser scanning performance parameters; Table S2: Characteristics of future crop trees in 2022; Table S3: Increment in the stock volume of future crop trees; Figure S1: Regression analysis of hand-held mobile laser estimated DBH and filed measured DBH; Figure S2: Regression analysis of hand-held mobile laser estimated tree height and filed measured tree height; Figure S3: Vertical crown projection and the selection of competing trees; Figure S4: Variation of basal area increment between management and reference plots of each block from 2019 to 2022.

Author Contributions

Conceptualization, Z.Z., H.L. and X.W.; methodology, Z.Z. and H.L.; software, Z.Z. and H.L.; validation, Z.Z. and H.L.; formal analysis, Z.Z. and H.L.; investigation, Z.Z. and H.L.; resources, H.L. and X.W.; data curation, Z.Z., H.Y., Q.Y. (Qingsong Yang), S.J., R.C., Y.Q. and Q.Y. (Qiushi Yu); writing—original draft preparation, Z.Z.; writing—review and editing, Z.Z., H.Y. and H.L.; visualization, Z.Z.; supervision, X.W.; project administration, H.L. All authors have read and agreed to the published version of the manuscript.

Funding

This research was funded by the Shanghai Social Development Science and Technology Research Fund and the Special Fund for Scientific Research of Shanghai Landscaping & City Appearance Administrative Bureau, with grant numbers 23DZ1204605 and G252417, respectively.

Data Availability Statement

Data available for research upon request.

Acknowledgments

We sincerely appreciate Zifei Wang, Siyuan Ren, Shuangshuang Zhou, Yue Xu, Xuyang Zhu, and Yi He for their assistance with fieldwork and data collection. Additionally, we extend our deep appreciation to Guochun Shen and Zemei Zheng for their insightful suggestions on this work.

Conflicts of Interest

Rubo Chen was employed by the company Ningbo Dihua Forestry Services Co., Ltd. The remaining authors declare that the research was conducted in the absence of any commercial or financial relationships that could be construed as a potential conflict of interest.

References

  1. Brang, P.; Spathelf, P.; Larsen, J.B.; Bauhus, J.; Bonc Ina, A.; Chauvin, C.; Drossler, L.; Garcia-Guemes, C.; Heiri, C.; Kerr, G.; et al. Suitability of close-to-nature silviculture for adapting temperate European forests to climate change. Forestry 2014, 87, 492–503. [Google Scholar] [CrossRef]
  2. Collado, E.; Piqué, M.; Coello, J.; de-Dios-García, J.; Fuentes, C.; Coll, L. Close-to-Nature Management Effects on Tree Growth and Soil Moisture in Mediterranean Mixed Forests. For. Ecol. Manag. 2023, 549, 121457. [Google Scholar] [CrossRef]
  3. Pinnschmidt, A.; Yousefpour, R.; Nölte, A.; Hanewinkel, M. Close-to-Nature Management of Tropical Timber Plantations Is Economically Viable and Provides Biodiversity Benefits. For. Int. J. For. Res. 2024, 98, 99–116. [Google Scholar] [CrossRef]
  4. Sturm, K. Die natürlichkeit zweier forstorte südöstlich hannovers. Beiträge Naturkunde Niedersachs. 1984, 37, 158–167. [Google Scholar]
  5. Sturm, K. Was bringt die naturgemäβe waldwirtschaft für den naturschutz. NNA Berichte Niedersachs-Naturgemäβe Waldwirtsch. und Naturschutz 1989, 2/3, 154–158. [Google Scholar]
  6. Lu, Y.C. Theory and Practice of Close-to-Nature Forest Management; Science Press: Beijing, China, 2006; p. 6. (In Chinese) [Google Scholar]
  7. Lu, Y.C.; Luan, S.Q.; Zhang, S.G.; Bernhard, V.D.H.; Lei, X.D.; Bao, Y. From Normal Forest to Close-to-nature Forest: Multi-functional Forestry and Its Practice at National, Regional and Forest Management Unit Levels in Germany. World For. Res. 2010, 23, 1–11. (In Chinese) [Google Scholar] [CrossRef]
  8. Dubois, H.; Claessens, H.; Ligot, G. Towards Silviculture Guidelines to Produce Large-Sized Silver Birch (Betula Pendula Roth) Logs in Western Europe. Forests 2021, 12, 599. [Google Scholar] [CrossRef]
  9. Vogel, P.J.; Lhotka, J.M.; Stringer, J.W. Long-Term Effects of Crop Tree Release on Growth and Quality in White-Oak (Quercus Alba L.)-Dominated Stands. For. Sci. 2022, 68, 343–352. [Google Scholar] [CrossRef]
  10. Song, Y.F. Individual Tree Growth Models and Competitors Harvesting Simulation for Target Tree-Oriented Management; Chinese Academy of Forestry: Beijing, China, 2015. (In Chinese) [Google Scholar]
  11. Annighöfer, P.; Petritan, A.M.; Petritan, I.C.; Ammer, C. Disentangling Juvenile Growth Strategies of Three Shade-Tolerant Temperate Forest Tree Species Responding to a Light Gradient. For. Ecol. Manag. 2017, 391, 115–126. [Google Scholar] [CrossRef]
  12. Noyer, E.; Ningre, F.; Dlouhá, J.; Fournier, M.; Collet, C. Time Shifts in Height and Diameter Growth Allocation in Understory European Beech (Fagus Sylvatica L.) Following Canopy Release. Trees 2019, 33, 333–344. [Google Scholar] [CrossRef]
  13. Rozendaal, D.M.A.; During, H.J.; Sterck, F.J.; Asscheman, D.; Wiegeraad, J.; Zuidema, P.A. Long-Term Growth Patterns of Juvenile Trees from a Bolivian Tropical Moist Forest: Shifting Investments in Diameter Growth and Height Growth. J. Trop. Ecol. 2015, 31, 519–529. [Google Scholar] [CrossRef]
  14. Jackson, T.D.; Bittencourt, P.; Poffley, J.; Anderson, J.; Muller-Landau, H.C.; Ramos, P.A.R.; Rowland, L.; Coomes, D. Wind Shapes the Growth Strategies of Trees in a Tropical Forest. Ecol. Lett. 2024, 27, e14527. [Google Scholar] [CrossRef]
  15. Poorter, H.; Niklas, K.J.; Reich, P.B.; Oleksyn, J.; Poot, P.; Mommer, L. Biomass Allocation to Leaves, Stems and Roots: Meta-analyses of Interspecific Variation and Environmental Control. New Phytol. 2012, 193, 30–50. [Google Scholar] [CrossRef] [PubMed]
  16. Hossain, S.M.; Olson, M.G. The Lateral Growth of Branches into Small Canopy Gaps: Implications for Competition between Canopy Trees. Forests 2023, 14, 1350. [Google Scholar] [CrossRef]
  17. Hess, A.F.; Minatti, M.; Costa, E.A.; Schorr, L.P.B.; Rosa, G.T.; Souza, I.A.; Borsoi, G.A.; Liesenberg, V.; Stepka, T.F.; Abatti, R. Height-to-diameter ratios with temporal and dendro/morphometric variables for Brazilian pine in south Brazil. J. For. Res. 2021, 32, 191–202. [Google Scholar] [CrossRef]
  18. Stăncioiu, P.T.; Erbescu, A.A.; Dutcă, I. Live Crown Ratio as an Indicator for Tree Vigor and Stability of Turkey Oak (Quercus cerris L.): A Case Study. Forests 2021, 12, 1763. [Google Scholar] [CrossRef]
  19. Huang, W.Z.; Zhao, J.P.; Wang, C.W.; Yang, T. Effects of Various Planting Density on the Growth of Chinese Fir. J. Hennan Agric. Univ. 1997, 31, 80–86. (In Chinese) [Google Scholar] [CrossRef]
  20. Vieilledent, G.; Courbaud, B.; Kunstler, G.; Dhote, J.F.; Clark, J.S. Individual variability in tree allometry determines light resource allocation in forest ecosystems: A hierarchical Bayesian approach. Oecologia 2010, 163, 759–773. [Google Scholar] [CrossRef]
  21. Wonn, H.T.; O’Hara, K.L. Height: Diameter ratios and stability relationships for four northern Rocky Mountain tree species. West. J. Appl. For. 2001, 16, 87–94. [Google Scholar] [CrossRef]
  22. Cremer, K.W.; Borough, C.J.; Mckinnell, F.H.; Carter, P.R. Effects of stocking and thinning on wind damage in plantations. N. Z. J. For. Sci. 1982, 12, 244–268. [Google Scholar]
  23. Pommerening, A.; Grabarnik, P.; Sveriges, L. Individual-Based Methods in Forest Ecology and Management; Springer International Publishing AG: Cham, Switzerland, 2019; pp. 39–44. [Google Scholar]
  24. Waring, R.H.; Thies, W.G.; Muscato, D. Stem Growth per Unit of Leaf Area: A Measure of Tree Vigor. For. Sci. 1980, 26, 112–117. [Google Scholar]
  25. Miller, G.W.; Stringer, J.W. Effect of Crown Release on Tree Grade and DBH Growth of White Oak Sawtimber in Eastern Kentucky. In Proceedings of the 14th Central Hardwood Forest Conference: Newtown Square, Wooster, OH, USA, 16–19 March 2004; pp. 16–19. [Google Scholar]
  26. Wu, J.Q.; Wang, Y.X.; Yang, Y.; Zhu, T.T.; Zhu, X.D. Effects of crop tree release on stand growth and stand structure of Cunninghamia lanceolata plantation. Chin. J. Appl. Ecol. 2015, 26, 340–348. (In Chinese) [Google Scholar] [CrossRef]
  27. Shi, J.J.; Chen, Z.Z.; Wang, G.H.; Jin, C.S.; Li, Y.N. Impacts of thinning on canopy structure and understory light in secondary poplar-birch forests. Chin. J. Appl. Ecol. 2019, 30, 1956–1964. (In Chinese) [Google Scholar] [CrossRef]
  28. Zambrano, J.; Fagan, W.F.; Worthy, S.J.; Thompson, J.; Uriarte, M.; Zimmerman, J.K.; Umana, M.N.; Swenson, N.G. Tree crown overlap improves predictions of the functional neighbourhood effects on tree survival and growth. J. Ecol. 2019, 107, 887–900. [Google Scholar] [CrossRef]
  29. Biging, G.S.; Dobbertin, M. Evaluation of Competition Indices in Individual Tree Growth Models. For. Sci. 1995, 41, 360–377. [Google Scholar] [CrossRef]
  30. Ko, C.; Lee, S.; Yim, J.; Kim, D.; Kang, J. Comparison of Forest Inventory Methods at Plot-Level between a Backpack Personal Laser Scanning (BPLS) and Conventional Equipment in Jeju Island, South Korea. Forests 2021, 12, 308. [Google Scholar] [CrossRef]
  31. Moe, K.; Owari, T.; Furuya, N.; Hiroshima, T. Comparing Individual Tree Height Information Derived from Field Surveys, LiDAR and UAV-DAP for High-Value Timber Species in Northern Japan. Forests 2020, 11, 223. [Google Scholar] [CrossRef]
  32. Liu, G.; Wang, J.; Dong, P.; Chen, Y.; Liu, Z. Estimating Individual Tree Height and Diameter at Breast Height (DBH) from Terrestrial Laser Scanning (TLS) Data at Plot Level. Forests 2018, 9, 398. [Google Scholar] [CrossRef]
  33. Almeida, D.R.A.; Stark, S.C.; Chazdon, R.; Nelson, B.W.; Cesar, R.G.; Meli, P.; Gorgens, E.B.; Duarte, M.M.; Valbuena, R.; Moreno, V.S.; et al. The effectiveness of lidar remote sensing for monitoring forest cover attributes and landscape restoration. For. Ecol. Manag. 2019, 438, 34–43. [Google Scholar] [CrossRef]
  34. Decuyper, M.; Mulatu, K.A.; Brede, B.; Calders, K.; Armston, J.; Rozendaal, D.M.A.; Mora, B.; Clevers, J.G.P.W.; Kooistra, L.; Herold, M.; et al. Assessing the structural differences between tropical forest types using Terrestrial Laser Scanning. For. Ecol. Manag. 2018, 429, 327–335. [Google Scholar] [CrossRef]
  35. Giannetti, F.; Puletti, N.; Quatrini, V.; Travaglini, D.; Bottalico, F.; Corona, P.; Chirici, G. Integrating terrestrial and airborne laser scanning for the assessment of single-tree attributes in Mediterranean forest stands. Eur. J. Remote Sens. 2018, 51, 795–807. [Google Scholar] [CrossRef]
  36. Ryding, J.; Williams, E.; Smith, M.J.; Eichhorn, M.P. Assessing Handheld Mobile Laser Scanners for Forest Surveys. Remote Sens. 2015, 7, 1095–1111. [Google Scholar] [CrossRef]
  37. Wang, X.H.; Song, Y.C.; Wang, L.Y. Study on Restoration of Evergreen Broad—leaved Forest from Pinus massoniana Forest. Chin. J. Ecol. 2001, 20, 30–32. (In Chinese) [Google Scholar]
  38. Yang, Q.S.; Yang, W.Z.; Ren, S.Y.; Chen, Y.Q. Comparative Analysis of Stand Structure Before and After Interference Tree Thinning of Forest Close-to-Nature Management. J. Fujian For. Sci. Technol. 2019, 46, 1–8. (In Chinese) [Google Scholar] [CrossRef]
  39. Radu, B.R.; Steve, C. 3D is here: Point Cloud Library (PCL). In Proceedings of the 2011 IEEE International Conference on Robotics and Automation, Shanghai, China, 9–13 May 2011; pp. 1–4. [Google Scholar]
  40. Zhang, W.; Qi, J.; Wan, P.; Wang, H.; Yan, G. An Easy-to-Use Airborne LiDAR Data Filtering Method Based on Cloth Simulation. Remote Sens. 2016, 8, 501. [Google Scholar] [CrossRef]
  41. Roussel, J.; Auty, D.; Coops, N.C.; Tompalski, P.; Goodbody, T.R.H.; Meador, A.S.; Bourdon, J.; de Boissieu, F.; Achim, A. lidR: An R package for analysis of Airborne Laser Scanning (ALS) data. Remote Sens. Environ. 2020, 251, 112061. [Google Scholar] [CrossRef]
  42. Conto, T.; Olofsson, K.; Gorgens, E.B.; Rodriguez, L.; Almeida, G. Performance of stem denoising and stem modelling algorithms on single tree point clouds from terrestrial laser scanning. Comput. Electron. Agric. 2017, 143, 165–176. [Google Scholar] [CrossRef]
  43. Camarretta, N.; Harrison, P.A.; Lucieer, A.; Potts, B.M.; Davidson, N.; Hunt, M. Handheld Laser Scanning Detects Spatiotemporal Differences in the Development of Structural Traits among Species in Restoration Plantings. Remote Sens. 2021, 13, 1706. [Google Scholar] [CrossRef]
  44. Liang, X.; Kankare, V.; Hyyppä, J.; Wang, Y.; Kukko, A.; Haggrén, H.; Yu, X.; Kaartinen, H.; Jaakkola, A.; Guan, F.; et al. Terrestrial laser scanning in forest inventories. ISPRS J. Photogramm. Remote Sens. 2016, 115, 63–77. [Google Scholar] [CrossRef]
  45. Opio, C.; Jacob, N.; Coopersmith, D. Height to diameter ratio as a competition index for young conifer plantations in northern British Columbia, Canada. For. Ecol. Manag. 2000, 137, 245–252. [Google Scholar] [CrossRef]
  46. Jiang, Z.H.; Jin, G.Z. Effects of selection cutting on diameter growth and vertical growth among major tree species in the mixed broadleaved-Korean pine forest. Acta Ecol. Sin. 2010, 30, 5843–5852. (In Chinese) [Google Scholar]
  47. Ying, H.G. Studies on the application of stand spatial structure parameters based on the relationship of neighborhood trees. J. Beijing For. Univ. 2013, 35, 1–8. (In Chinese) [Google Scholar] [CrossRef]
  48. Silva, C.A.; Valbuena, R.; Pinage, E.R.; Mohan, M.; de Almeida, D.; North, E.; Jaafar, W.; Papa, D.; Cardil, A.; Klauberg, C. ForestGapR: An r Package for forest gap analysis from canopy height models. Methods Ecol. Evol. 2019, 10, 1347–1356. [Google Scholar] [CrossRef]
  49. Kuznetsova, A.; Brockhoff, P.B.; Christensen, R. lmerTest Package: Tests in Linear Mixed Effects Models. J. Stat. Softw. 2017, 82, 1–26. [Google Scholar] [CrossRef]
  50. Miller, G.W. Effect of Crown Growing Space on the Development of Young Hardwood Crop Trees. North. J. Appl. For. 2000, 17, 25–35. [Google Scholar] [CrossRef]
  51. Wang, Y.X. Theory and Practice of Target Trees Management in Pinus massoniana and Cunninghamia lanceolata Plantation; Chinese Academy of Forestry: Beijing, China, 2012. (In Chinese) [Google Scholar]
  52. Cao, Y.H.; Chen, J.C.; Li, S. Impacts of Different Intermediate Cutting on Crown Structure of Manglietia yuyuanensis in Mixed Stands with Cunninghamia lanceolata. For. Res. 2004, 17, 646–653. (In Chinese) [Google Scholar]
  53. Stimm, K.; Heym, M.; Nagel, R.; Uhl, E.; Pretzsch, H. Long-Term Productivity of Monospecific and Mixed Oak (Quercus petraea [Matt.] Liebl. and Quercus robur L.) Stands in Germany: Growth Dynamics and the Effect of Stand Structure. Forests 2022, 13, 724. [Google Scholar] [CrossRef]
  54. Kubrakov, S.; Porokhniach, I.; Kovalenko, I.; Melnyk, T.; Zhezhkun, A.M. Close-to-Nature Forestry Measures in East Polissia Region of Ukraine. South-East Eur. For. 2023, 14, 15–26. [Google Scholar] [CrossRef]
  55. Blattert, C.; Mutterer, S.; Thrippleton, T.; Diaci, J.; Fidej, G.; Bont, L.G.; Schweier, J. Managing European Alpine Forests with Close-to-Nature Forestry to Improve Climate Change Mitigation and Multifunctionality. Ecol. Indic. 2024, 165, 112154. [Google Scholar] [CrossRef]
  56. Chai, Z.; Zhu, J.; Zhao, Z. Close-to-Nature Management Alleviated Microbial P Limitation in Middle-Aged Masson Pine Plantations: Evidence Derived from Ecoenzymatic Stoichiometry. For. Ecol. Manag. 2025, 580, 122543. [Google Scholar] [CrossRef]
  57. Xu, J.; Tian, H.; Xiao, J.; Li, Z.; Xiao, W.; Yin, R. Effects of Close-to-Nature Forest Management on Carbon Stocks in Pinus Tabulaeformis Plantations in Northern China. Front. For. Glob. Chang. 2025, 7, 1495771. [Google Scholar] [CrossRef]
  58. Fichtner, A.; Sturm, K.; Rickert, C.; Härdtle, W.; Schrautzer, J. Competition Response of European Beech Fagus Sylvatica, L. Varies with Tree Size and Abiotic Stress: Minimizing Anthropogenic Disturbances in Forests. J. Appl. Ecol. 2012, 49, 1306–1315. [Google Scholar] [CrossRef]
  59. Pang, L.; Wang, G.; Sharma, R.P.; Lu, J.; Tang, X.; Fu, L. Simulation of Thinning by Integrating Tree Competition and Species Biodiversity for Target Tree-Based Management of Secondary Forests. Forests 2023, 14, 1896. [Google Scholar] [CrossRef]
Disclaimer/Publisher’s Note: The statements, opinions and data contained in all publications are solely those of the individual author(s) and contributor(s) and not of MDPI and/or the editor(s). MDPI and/or the editor(s) disclaim responsibility for any injury to people or property resulting from any ideas, methods, instructions or products referred to in the content.

Article Metrics

Citations

Article Access Statistics

Multiple requests from the same IP address are counted as one view.