Sexual Dimorphism in Nitrogen Allocation Patterns of Fraxinus velutina Torr. Across Developmental Stages
Abstract
1. Introduction
2. Materials and Methods
2.1. Study Site and Sampling Method
2.2. Determination of Photosynthetic Nitrogen Partitioning Ratio
2.2.1. Measurement of Photosynthesis-Light Response Curve
2.2.2. Determination of Photosynthesis-CO2 Response Curve
2.2.3. Calculation of Photosynthetic Nitrogen Partitioning
2.3. Determination of Leaf Nitrogen Content
2.3.1. Determination of Specific Leaf Weight
2.3.2. Determination of Soluble Protein
2.3.3. Determination of Chlorophyll Content and Pigment Nitrogen Content
2.3.4. Determination of Nitrate Nitrogen and Ammonium Nitrogen Content of Leaves
2.3.5. Determination of Total Nitrogen Content of Leaves
2.3.6. Calculation of PNUE
2.4. Data Analysis
3. Results
3.1. Photosynthetic Nitrogen Allocation Between Gender F. velutina at Different Developmental Stages
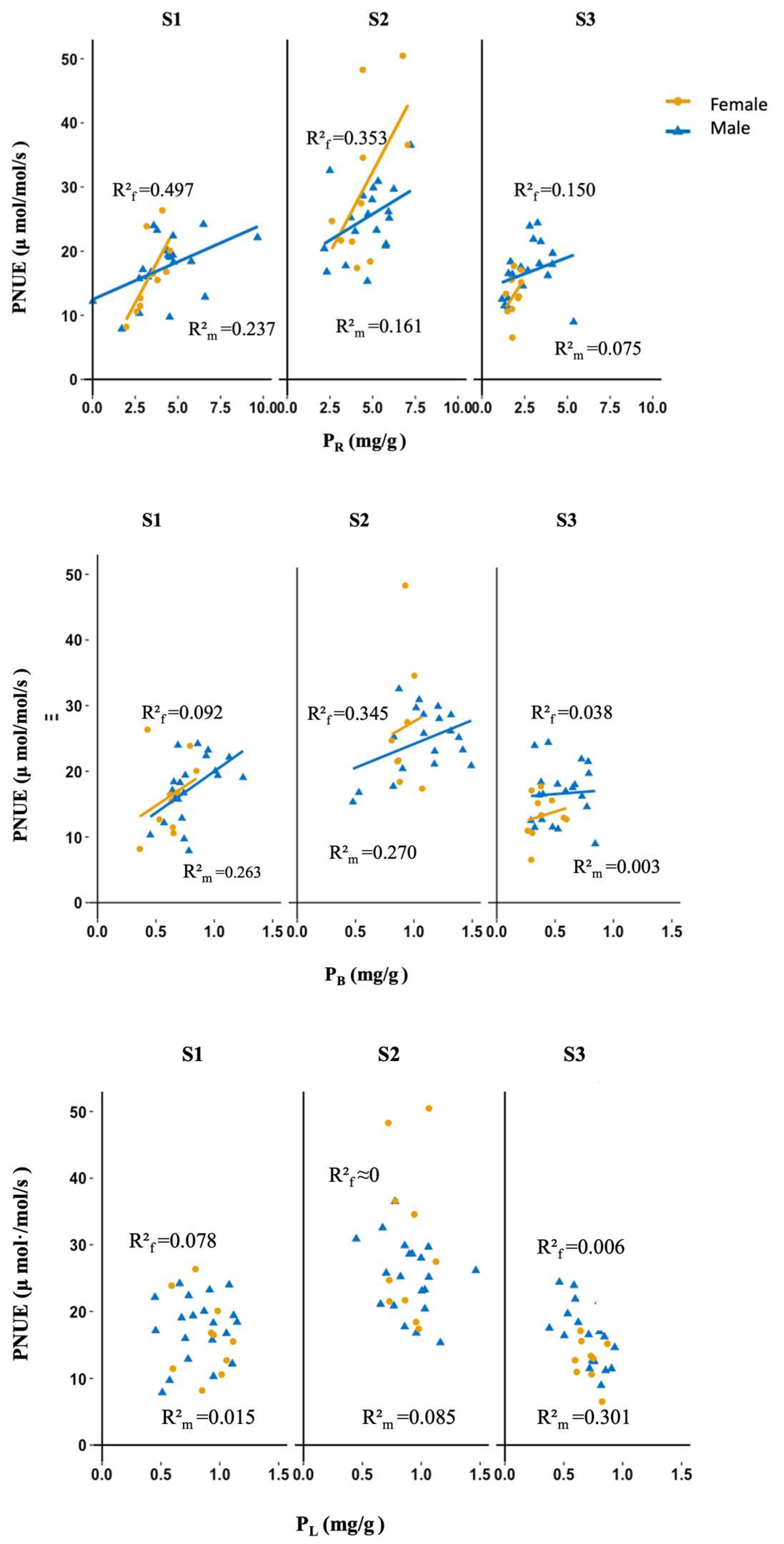
3.2. Effects of Leaf Photosynthetic Nitrogen Allocation on PNUE in Plants of Different Genders
3.3. Inter-Gender Differences in Nitrogen Content of F. velutina Leaves
3.4. Differences in Leaf N Allocation Between Genders F. velutina at Different Developmental Stages
4. Discussion
4.1. Gender Differences in Photosynthetic Nitrogen Allocation and Photosynthetic Nitrogen Use Efficiency
4.2. Effect of Gender and Developmental Stage on Leaf Nitrogen Partitioning
5. Conclusions
Author Contributions
Funding
Data Availability Statement
Conflicts of Interest
Abbreviations
| MDPI | Multidisciplinary Digital Publishing Institute |
| DOAJ | Directory of open access journals |
| TLA | Three letter acronym |
| LD | Linear dichroism |
Appendix A
| Symbol | Units | Definition | Ecological Significance |
|---|---|---|---|
| PR | mg/g | partitioning coefficients for leaf nitrogen in Rubisco | Components of the carboxylation system in plants and is important for carbon supply to higher plants as well as maintaining ecosystems. |
| PB | mg/g | partitioning coefficients for leaf nitrogen in bioenergetics | Components of the carboxylation system in plants and is important in maintaining plant nitrogen conversion and fixation. |
| PL | mg/g | the fraction of leaf nitrogen in thylakoid light trapping components | Light capture system in plant photosynthetic nitrogen is ecologically important for promoting light-energy use efficiency and influencing plant competitiveness and ecosystem structure. |
| PPhot | mg/g | Photosynthetic components | Photosynthetic components are ecologically important for regulating carbon cycling in ecosystems, maintaining biodiversity and productivity. |
| PNUE | μmol/(g·N·s) | The photosynthetic nitrogen use efficiency | It is an important trait of plant leaves, reflecting plant nitrogen utilisation, with implications for leaf economics, physiology and plant survival strategies. |
| DBH | cm | Diameter at breast height | DBH is used ecologically as an indicator of plant growth and ecosystem structure, reflecting plant biomass accumulation, carbon storage capacity, and patterns of resource allocation in ecosystems. |
| Nmass | mg/g | The nitrogen content per unit mass of leaf | Nmass reflects the nitrogen nutritional status of the plant and influences its growth and productivity. |
| Narea | g/m2 | The nitrogen content per unit area of leaf | Closely related to the nitrogen use efficiency of the plant, responding to the plant’s adaptation to the environment. |
| CC | m mol | The chlorophyll content | Involved in photosynthesis in plants, which affects the efficiency of light energy use, growth rate of plants and the carbon cycle of ecosystems. |
| CB | m mol/g | The ratio of chlorophyll to nitrogen in the light-trapping system | Reflects the relationship between plant light energy use efficiency and nitrogen use efficiency and is important for plant growth and reproduction. |
| Ci | μ mol/mol | Intercellular CO2 concentration | It is an important measure of photosynthetic efficiency, reflecting the extent to which carbon dioxide passes from the atmosphere into the interior of plant leaves |
| Rd | µ mol·CO2 /m2/s | Dark respiration rate | It is important to understand carbon metabolism and energy balance in plants and their response to environmental stresses. |
| Vcmax | µ mol/g/s | The CO2-fixing activity per unit of Rubisco | Reflects the carbon fixation efficiency of plants, it is of key importance in assessing the photosynthetic efficiency of plants and productivity of ecosystems. |
| Jmc | µ mol/µ mol/s | The maximum electron transfer rate per unit of Cyt f | Reflects the electron transfer efficiency of the plant, which is important for the photosynthetic efficiency and energy conversion rate of the plant |
| S1 | day | Fruiting period | Plants switch from nutrient growth to reproductive growth and begin to bear fruit. |
| S2 | day | Fruit expansion | The rapid increase in fruit size from the start of fruiting in plants affects the number and size of fruits. |
| S3 | day | Fruit ripening | Fruits gradually ripen and complete reproductive growth, reflecting the reproductive success of the plant |
| Pmax | µ mol·CO2/m2/s | Maximum net photosynthetic rate | Reflects its maximum photosynthetic capacity and is an important indicator of the plant’s growth rate and ability to grow. |
| SLW | g/m2 | Specific leaf weight | Reflects the thickness of the leaf and the density of leaf tissue, which is important for plant leaf quality, photosynthetic efficiency. |
| NW | mg/g | Soluble nitrogen | Reflecting the content of soluble nitrogen in leaves, it is important for the nitrogen uptake capacity of plants and soil nitrogen content. |
| NP | mg/g | Pigmented nitrogen | Reflects the nitrogen content of chlorophyll and other pigments in leaves and is an important indicator of the photosynthetic efficiency, leaf quality and nutritional status of plants. |
| NA | mg/g | Ammoniacal nitrogen | Reflects the content of ammonium nitrogen in plant leaves, which is important for plant ammonium nitrogen utilisation and nitrogen uptake capacity. |
| NN | mg/g | Nitrate nitrogen | Reflects the nitrate nitrogen content of plant leaves, which is important for the nitrate nitrogen uptake capacity of plants as well as the nitrogen cycle of ecosystems. |
| Nother | mg/g | Other nitrogen | Responding to the content of other nitrogen elements in plant leaves is important for plant nitrogen partitioning patterns and nitrogen use efficiency. |
References
- Dawson, T.E.; Bliss, L. Patterns of water use and the tissue water relations in the dioecious shrub, Salix arctica: The physiological basis for habitat partitioning between the sexes. Oecologia 1989, 79, 332–343. [Google Scholar] [CrossRef] [PubMed]
- Dawson, T.E.; Ehleringer, J.R. Gender-specific physiology, carbon isotope discrimination, and habitat distribution in boxelder, Acer negundo. Ecology 1993, 74, 798–815. [Google Scholar] [CrossRef]
- Chen, J.; Dong, T.; Duan, B.; Korpelainen, H.; Niinemets, Ü.; Li, C. Sexual competition and N supply interactively affect the dimorphism and competiveness of opposite sexes in P opulus cathayana. Plant Cell Environ. 2015, 38, 1285–1298. [Google Scholar] [CrossRef] [PubMed]
- Ogden, J. The reproductive strategy of higher plants: II. The reproductive strategy of Tussilago Farfara L. J. Ecol. 1974, 62, 291–324. [Google Scholar] [CrossRef]
- Dayong, Z. Plant Life History Evolution and Reproductive Ecology; Science Press: Beijing, China, 2004. [Google Scholar]
- Leigh, A.; Nicotra, A.B. Sexual dimorphism in reproductive allocation and water use efficiency in Maireana pyramidata (Chenopodiaceae), a dioecious, semi-arid shrub. Aust. J. Bot. 2003, 51, 509–514. [Google Scholar] [CrossRef]
- Correia, O.; Diaz Barradas, M. Ecophysiological differences between male and female plants of Pistacia lentiscus L. Plant Ecol. 2000, 149, 131–142. [Google Scholar] [CrossRef]
- Cepeda-Cornejo, V.; Dirzo, R. Sex-related differences in reproductive allocation, growth, defense and herbivory in three dioecious neotropical palms. PLoS ONE 2010, 5, e9824. [Google Scholar] [CrossRef]
- Yaxue, R. Resource Allocation and Ecosystem Service Function Assessment of Dioecious Fraxinus velutina Torr; Beijing Forestry University: Beijing, China, 2020. [Google Scholar]
- Barrett, S.C.; Hough, J. Sexual dimorphism in flowering plants. J. Exp. Bot. 2013, 64, 67–82. [Google Scholar] [CrossRef]
- Evans, J.R. Photosynthesis and nitrogen relationships in leaves of C3 plants. Oecologia 1989, 78, 9–19. [Google Scholar] [CrossRef]
- Takashima, T.; Hikosaka, K.; Hirose, T. Photosynthesis or persistence: Nitrogen allocation in leaves of evergreen and deciduous Quercus species. Plant Cell Environ. 2004, 27, 1047–1054. [Google Scholar] [CrossRef]
- Zheng Shuxia, S.Z. Photosynthetic properties of plants of different functional types and their relationship with leaf nitrogen content and specific leaf weight. Acta Ecol. Sin. 2007, 27, 171–181. [Google Scholar]
- Onoda, Y.; Hikosaka, K.; Hirose, T. Allocation of nitrogen to cell walls decreases photosynthetic nitrogen-use efficiency. Funct. Ecol. 2004, 18, 419–425. [Google Scholar] [CrossRef]
- Hikosaka, K. Interspecific difference in the photosynthesis–nitrogen relationship: Patterns, physiological causes, and ecological importance. J. Plant Res. 2004, 117, 481–494. [Google Scholar] [CrossRef] [PubMed]
- Makino, A.; Sakuma, H.; Sudo, E.; Mae, T. Differences between maize and rice in N-use efficiency for photosynthesis and protein allocation. Plant Cell Physiol. 2003, 44, 952–956. [Google Scholar] [CrossRef]
- Mu, X.; Chen, Q.; Chen, F.; Yuan, L.; Mi, G. Within-leaf nitrogen allocation in adaptation to low nitrogen supply in maize during grain-filling stage. Front. Plant Sci. 2016, 7, 194737. [Google Scholar] [CrossRef]
- Zhang, S.; Jiang, H.; Zhao, H.; Korpelainen, H.; Li, C. Sexually different physiological responses of Populus cathayana to nitrogen and phosphorus deficiencies. Tree Physiol. 2014, 34, 343–354. [Google Scholar] [CrossRef]
- Bertiller, M.B.; Sain, C.L.; Bisigato, A.J.; Coronato, F.R.; Aries, J.O.; Graff, P. Spatial sex segregation in the dioecious grass Poa ligularis in northern Patagonia: The role of environmental patchiness. Biodivers. Conserv. 2002, 11, 69–84. [Google Scholar] [CrossRef]
- Showalter, A.M. Structure and function of plant cell wall proteins. Plant Cell 1993, 5, 9–23. [Google Scholar] [CrossRef]
- Lambers, H.; Poorter, H. Inherent variation in growth rate between higher plants: A search for physiological causes and ecological consequences. In Advances in Ecological Research; Elsevier: Amsterdam, The Netherlands, 1992; Volume 23, pp. 187–261. [Google Scholar]
- Xi, L.; Yong, L. Varietal difference in the correlation between leaf nitrogen content and photosynthesis in rice (Oryza sativa L.) plants is related to specific leaf weight. J. Integr. Agric. 2016, 15, 2002–2011. [Google Scholar] [CrossRef]
- Yang, W.-H.; Peng, S.; Huang, J.; Sanico, A.L.; Buresh, R.J.; Witt, C. Using leaf color charts to estimate leaf nitrogen status of rice. Agron. J. 2003, 95, 212–217. [Google Scholar] [CrossRef]
- Huang, J.; He, F.; Cui, K.; Buresh, R.J.; Xu, B.; Gong, W.; Peng, S. Determination of optimal nitrogen rate for rice varieties using a chlorophyll meter. Field Crops Res. 2008, 105, 70–80. [Google Scholar] [CrossRef]
- Poorter, H.; Evans, J.R. Photosynthetic nitrogen-use efficiency of species that differ inherently in specific leaf area. Oecologia 1998, 116, 26–37. [Google Scholar] [CrossRef] [PubMed]
- Chunyang, C.J.L. Sex response differences and competition in dioecious plants under environmental stresses. Chin. J. Appl. Environ. Biol. 2014, 20, 743–750. [Google Scholar]
- Yin, X.; Struik, P.C.; Romero, P.; Harbinson, J.; Evers, J.B.; Van Der Putten, P.E.; Vos, J. Using combined measurements of gas exchange and chlorophyll fluorescence to estimate parameters of a biochemical C3 photosynthesis model: A critical appraisal and a new integrated approach applied to leaves in a wheat (Triticum aestivum) canopy. Plant Cell Environ. 2009, 32, 448–464. [Google Scholar] [CrossRef]
- Long, S.P.; Bernacchi, C. Gas exchange measurements, what can they tell us about the underlying limitations to photosynthesis? Procedures and sources of error. J. Exp. Bot. 2003, 54, 2393–2401. [Google Scholar] [CrossRef]
- Niinemets, Ü.; Tenhunen, J. A model separating leaf structural and physiological effects on carbon gain along light gradients for the shade-tolerant species Acer saccharum. Plant Cell Environ. 1997, 20, 845–866. [Google Scholar] [CrossRef]
- Hikosaka, K.; Terashima, I. A model of the acclimation of photosynthesis in the leaves of C3 plants to sun and shade with respect to nitrogen use. Plant Cell Environ. 1995, 18, 605–618. [Google Scholar] [CrossRef]
- Harley, P.; Thomas, R.; Reynolds, J.; Strain, B. Modelling photosynthesis of cotton grown in elevated CO2. Plant Cell Environ. 1992, 15, 271–282. [Google Scholar] [CrossRef]
- Evans, J.R.; Seemann, J.R. The allocation of protein nitrogen in the photosynthetic apparatus: Costs, consequences, and control. Photosynthesis 1989, 8, 183–205. [Google Scholar]
- Jampeetong, A.; Brix, H. Nitrogen nutrition of Salvinia natans: Effects of inorganic nitrogen form on growth, morphology, nitrate reductase activity and uptake kinetics of ammonium and nitrate. Aquat. Bot. 2009, 90, 67–73. [Google Scholar] [CrossRef]
- Makino, A.; Osmond, B. Effects of nitrogen nutrition on nitrogen partitioning between chloroplasts and mitochondria in pea and wheat. Plant Physiol. 1991, 96, 355–362. [Google Scholar] [CrossRef] [PubMed]
- Stitt, M.; Schulze, D. Does Rubisco control the rate of photosynthesis and plant growth? An exercise in molecular ecophysiology. Plant Cell Environ. 1994, 17, 465–487. [Google Scholar] [CrossRef]
- Delph, L.F. Sex-differential resource allocation patterns in the subdioecious shrub Hebe subalpina. Ecology 1990, 71, 1342–1351. [Google Scholar] [CrossRef]
- Aerts, R.; Chapin III, F.S. The mineral nutrition of wild plants revisited: A re-evaluation of processes and patterns. In Advances in Ecological Research; Elsevier: Amsterdam, The Netherlands, 1999; Volume 30, pp. 1–67. [Google Scholar]
- Robinson, D.E.; Wagner, R.G.; Bell, F.W.; Swanton, C.J. Photosynthesis, nitrogen-use efficiency, and water-use efficiency of jack pine seedlings in competition with four boreal forest plant species. Can. J. For. Res. 2001, 31, 2014–2025. [Google Scholar] [CrossRef]
- Marshall, J.D.; Dawson, T.E.; Ehleringer, J.R. Gender-related differences in gas exchange are not related to host quality in the xylem-tapping mistletoe, Phoradendron juniperinum (Viscaceae). Am. J. Bot. 1993, 80, 641–645. [Google Scholar] [CrossRef]
- Gehring, J.L.; Monson, R.K. Sexual differences in gas exchange and response to environmental stress in dioecious Silene latifolia (Caryophyllaceae). Am. J. Bot. 1994, 81, 166–174. [Google Scholar] [CrossRef]
- Laporte, M.M.; Delph, L.F. Sex-specific physiology and source-sink relations in the dioecious plant Silene latifolia. Oecologia 1996, 106, 63–72. [Google Scholar] [CrossRef]
- Wang, X.; Curtis, P.S. Gender-specific responses of Populus tremuloides to atmospheric CO2 enrichment. New Phytol. 2001, 150, 675–684. [Google Scholar] [CrossRef]
- Chen, L.; Dong, T.; Duan, B. Sex-specific carbon and nitrogen partitioning under N deposition in Populus cathayana. Trees 2014, 28, 793–806. [Google Scholar] [CrossRef]
- Feng, Y.-L.; Lei, Y.-B.; Wang, R.-F.; Callaway, R.M.; Valiente-Banuet, A.; Inderjit; Li, Y.-P.; Zheng, Y.-L. Evolutionary tradeoffs for nitrogen allocation to photosynthesis versus cell walls in an invasive plant. Proc. Natl. Acad. Sci. USA 2009, 106, 1853–1856. [Google Scholar] [CrossRef]
- Qing, H.; Cai, Y.; Xiao, Y.; Yao, Y.; An, S. Leaf nitrogen partition between photosynthesis and structural defense in invasive and native tall form Spartina alterniflora populations: Effects of nitrogen treatments. Biol. Invasions 2012, 14, 2039–2048. [Google Scholar] [CrossRef]
- Hikosaka, K.; Shigeno, A. The role of Rubisco and cell walls in the interspecific variation in photosynthetic capacity. Oecologia 2009, 160, 443–451. [Google Scholar] [CrossRef] [PubMed]
- Tang, J.; Cheng, R.; Shi, Z.; Xu, G.; Liu, S.; Centritto, M. Progress in the study of plant leaf nitrogen partitioning and its influencing factors. PLoS ONE 2018, 13, e0192040. [Google Scholar]
- Novriyanti, E.; Watanabe, M.; Makoto, K.; Takeda, T.; Hashidoko, Y.; Koike, T. Photosynthetic nitrogen and water use efficiency of acacia and eucalypt seedlings as afforestation species. Photosynthetica 2012, 50, 273–281. [Google Scholar] [CrossRef]
- Meziane, D.; Shipley, B. Direct and indirect relationships between specific leaf area, leaf nitrogen and leaf gas exchange. Effects of irradiance and nutrient supply. Ann. Bot. 2001, 88, 915–927. [Google Scholar] [CrossRef]
- Díaz-Barradas, M.C.; Zunzunegui, M.; Collantes, M.; Álvarez-Cansino, L.; Novo, F.G. Gender-related traits in the dioecious shrub Empetrum rubrum in two plant communities in the Magellanic steppe. Acta Oecol. 2014, 60, 40–48. [Google Scholar] [CrossRef]
- Delph, L.F.; Meagher, T.R. Sexual dimorphism masks life history trade-offs in the dioecious plant Silene latifolia. Ecology 1995, 76, 775–785. [Google Scholar] [CrossRef]
- Chapin, F.S., III. The cost of tundra plant structures: Evaluation of concepts and currencies. Am. Nat. 1989, 133, 1–19. [Google Scholar] [CrossRef]
- Warren, C.R.; Adams, M.A. Phosphorus affects growth and partitioning of nitrogen to Rubisco in Pinus pinaster. Tree Physiol. 2002, 22, 11–19. [Google Scholar] [CrossRef]
- Warren, C.R.; Adams, M.A. Internal conductance does not scale with photosynthetic capacity: Implications for carbon isotope discrimination and the economics of water and nitrogen use in photosynthesis. Plant Cell Environ. 2006, 29, 192–201. [Google Scholar] [CrossRef]
- Funk, J.L.; Cornwell, W.K. Leaf traits within communities: Context may affect the mapping of traits to function. Ecology 2013, 94, 1893–1897. [Google Scholar] [CrossRef] [PubMed]
- Pickup, M.; Barrett, S.C. Reversal of height dimorphism promotes pollen and seed dispersal in a wind-pollinated dioecious plant. Biol. Lett. 2012, 8, 245–248. [Google Scholar] [CrossRef]
- Teitel, Z.; Pickup, M.; Field, D.; Barrett, S. The dynamics of resource allocation and costs of reproduction in a sexually dimorphic, wind-pollinated dioecious plant. Plant Biol. 2016, 18, 98–103. [Google Scholar] [CrossRef] [PubMed]
- Reich, P.B.; Oleksyn, J. Global patterns of plant leaf N and P in relation to temperature and latitude. Proc. Natl. Acad. Sci. USA 2004, 101, 11001–11006. [Google Scholar] [CrossRef] [PubMed]
- Britto, D.T.; Kronzucker, H.J. Ecological significance and complexity of N-source preference in plants. Ann. Bot. 2013, 112, 957–963. [Google Scholar] [CrossRef]





| Items | Gender | Developmental Stage | Gender × Developmental Stage | |
|---|---|---|---|---|
| PR (mg/g) | F | 3.577 | 19.855 | 0.536 |
| p | 0.063 * | <0.001 *** | 0.587 ns | |
| PB (mg/g) | F | 6.256 | 50.038 | 0.740 |
| p | 0.014 * | <0.001 *** | 0.480 ns | |
| PL (mg/g) | F | 0.237 | 7.007 | 0.169 |
| p | 0.628 | 0.002 ** | 0.681 ns | |
| PPhot (mg/g) | F | 3.917 | 27.814 | 0.515 |
| p | 0.051 * | <0.001 *** | 0.600 ns |
| Gender | Items | PNUE | PR | PB | PL | PPhot |
|---|---|---|---|---|---|---|
| Male | PNUE | 1 | ||||
| PR | 0.487 * | 1 | ||||
| PB | 0.513 * | 0.505 * | 1 | |||
| PL | 0.124 | −0.309 | −0.389 | 1 | ||
| PPhot | 0.379 | 0.721 ** | 0.629 ** | −0.323 | 1 | |
| Female | PNUE | 1 | ||||
| PR | 0.705 * | 1 | ||||
| PB | 0.303 | 0.480 | 1 | |||
| PL | −0.279 | 0.198 | −0.059 | 1 | ||
| PPhot | −0.238 | 0.075 | 0.373 | 0.045 | 1 |
| Gender | Items | PNUE | PR | PB | PL | PPhot |
|---|---|---|---|---|---|---|
| Male | PNUE | 1 | ||||
| PR | 0.402 | 1 | ||||
| PB | 0.520 * | 0.693 ** | 1 | |||
| PL | −0.292 | 0.055 | −0.389 | 1 | ||
| PPhot | 0.381 | 0.721 ** | 0.610 ** | −0.069 | 1 | |
| Female | PNUE | 1 | ||||
| PR | 0.594 | 1 | ||||
| PB | 0.588 | 0.916 ** | 1 | |||
| PL | −0.003 | 0.282 | 0.238 | 1 | ||
| PPhot | 0.595 | 0.746 * | 0.695 * | −0.003 | 1 |
| Gender | Items | PNUE | PR | PB | PL | PPhot |
|---|---|---|---|---|---|---|
| Male | PNUE | 1 | ||||
| PR | 0.274 | 1 | ||||
| PB | 0.058 | 0.752 ** | 1 | |||
| PL | −0.549 * | 0.022 | 0.157 | 1 | ||
| PPhot | 0.734 ** | 0.336 | 0.170 | −0.284 | 1 | |
| Female | PNUE | 1 | ||||
| PR | 0.387 | 1 | ||||
| PB | 0.194 | 0.294 | 1 | |||
| PL | −0.80 | 0.045 | −0.230 | 1 | ||
| PPhot | −0.198 | 0.047 | 0.075 | 0.770 ** | 1 |
| Items | Gender | Pmax (μ mol·CO2/m2/s) | Narea (g/m2) | Nmass (mg/g) | PNUE (μmol/(g·N·s)) | SLW (g/m2) |
|---|---|---|---|---|---|---|
| S1 | Male | 16.07 ± 0.90 Ba | 1.02 ± 0.38 Aa | 22.59 ± 1.44 Aa | 17.44 ± 4.71 Ba | 45.00 ± 16.56 Aa |
| Female | 14.31 ± 0.82 Bb | 0.98 ± 0.31 Aa | 20.32 ± 0.69 Bb | 16.19 ± 5.56 Ba | 48.20 ± 14.09 Aa | |
| S2 | Male | 18.79 ± 0.82 Ab | 0.78 ± 0.17 Ba | 21.18 ± 0.78 Bb | 25.27 ± 5.39 Aa | 36.84 ± 8.44 ABa |
| Female | 21.52 ± 2.16 Aa | 0.83 ± 0.33 ABa | 23.08 ± 0.70 Aa | 30.10 ± 11.35 Aa | 35.85 ± 13.69 Ba | |
| S3 | Male | 10.25 ± 0.52 Ca | 0.66 ± 0.19 Ca | 20.64 ± 0.95 Ba | 16.60 ± 4.24 Ba | 32.02 ± 8.56 Ba |
| Female | 7.87 ± 1.42 Cb | 0.61 ± 0.11 Ba | 18.96 ± 0.62 Cb | 13.25 ± 3.18 Bb | 32.48 ± 6.22 Ba |
| Items | Gender | Developmental Stage | Gender × Developmental Stage | |
|---|---|---|---|---|
| NW | F | 0.017 | 35.804 | 18.951 |
| p | 0.897 ns | <0.001 *** | <0.001 *** | |
| NP | F | 1.597 | 38.700 | 7.226 |
| p | 0.210 ns | <0.001 *** | 0.001 *** | |
| NA | F | 87.111 | 241.196 | 51.014 |
| p | <0.001 *** | <0.001 *** | <0.001 *** | |
| NN | F | 7.999 | 10.520 | 9.424 |
| p | 0.006 ** | <0.001 *** | <0.001 *** | |
| Nother | F | 2.801 | 2.422 | 5.362 |
| p | 0.098 ns | 0.095 ns | 0.006 ** | |
| Nmass | F | 8.591 | 35.287 | 31.253 |
| p | 0.004 ** | <0.001 *** | <0.001 *** |
Disclaimer/Publisher’s Note: The statements, opinions and data contained in all publications are solely those of the individual author(s) and contributor(s) and not of MDPI and/or the editor(s). MDPI and/or the editor(s) disclaim responsibility for any injury to people or property resulting from any ideas, methods, instructions or products referred to in the content. |
© 2025 by the authors. Licensee MDPI, Basel, Switzerland. This article is an open access article distributed under the terms and conditions of the Creative Commons Attribution (CC BY) license (https://creativecommons.org/licenses/by/4.0/).
Share and Cite
Ma, W.; Zhang, B.; Zhang, X. Sexual Dimorphism in Nitrogen Allocation Patterns of Fraxinus velutina Torr. Across Developmental Stages. Forests 2025, 16, 458. https://doi.org/10.3390/f16030458
Ma W, Zhang B, Zhang X. Sexual Dimorphism in Nitrogen Allocation Patterns of Fraxinus velutina Torr. Across Developmental Stages. Forests. 2025; 16(3):458. https://doi.org/10.3390/f16030458
Chicago/Turabian StyleMa, Wenyue, Bijia Zhang, and Xinna Zhang. 2025. "Sexual Dimorphism in Nitrogen Allocation Patterns of Fraxinus velutina Torr. Across Developmental Stages" Forests 16, no. 3: 458. https://doi.org/10.3390/f16030458
APA StyleMa, W., Zhang, B., & Zhang, X. (2025). Sexual Dimorphism in Nitrogen Allocation Patterns of Fraxinus velutina Torr. Across Developmental Stages. Forests, 16(3), 458. https://doi.org/10.3390/f16030458

